Патент на изобретение №2231089
|
||||||||||||||||||||||||||
(54) СПОСОБ ГЕОЭЛЕКТРОРАЗВЕДКИ (ВАРИАНТЫ)
(57) Реферат: Изобретение относится к области геофизических исследований и предназначено для поисков и оконтуривания нефтегазовых залежей. Сущность: возбуждают электромагнитное поле в толще исследуемой среды, пропуская через нее периодическую последовательность прямоугольных импульсов тока с паузами между каждым из них. В конце каждого импульса тока и между импульсами тока в паузах на всем протяжении измеряют мгновенные значения вторых осевых, вторых ортогональных и третьих осевых разностей потенциалов. Кроме этого, выделяют на всем протяжении каждой из пауз по два рядом расположенных по времени мгновенных значения вторых и третьих разностей потенциалов, определяя разности их величин. Из значений всех перечисленных разностей рассчитывают три или четыре множества нормированных электрических параметров. Используя эти параметры, решают обратную задачу на основе дифференциального волнового управления математической физики для напряженности дипольного источника в электрохимически поляризующейся проводящей среде. Находят модель среды, наиболее близкую по геометрическому строению и электрическим параметрам к исследуемой. Строят временные разрезы этой модели по входящим в данное уравнение электрофизическим параметрам, таким как электропроводность элементов среды, коэффициент их вызванной поляризации и постоянная времени спада разности потенциалов вызванной поляризации. 2 с. и 2 з.п. ф-лы, 7 ил. Изобретение относится к области геофизических исследований, а более конкретно к наземным способам геоэлектроразведки с использованием регулируемых искусственных источников электромагнитного поля, и предназначено для поисков и оконтуривания нефтегазовых залежей на основе раздельного определения и картирования свойственных каждому из элементов (горизонтов) толщи осадочных отложений горных пород следующих трех необходимых для решения поставленной задачи электрофизических параметров: удельной электропроводности, вызванной поляризации и постоянной времени спада разности потенциалов вызванной поляризации. Известны способы геоэлектроразведки с искусственным возбуждением исследуемой среды электрическим током (способы сопротивлений на постоянном и переменном токе), которые предназначены для определения только одного электрофизического параметра из перечисленных выше трех, а именно электрического сопротивления, что недостаточно для поисков и оконтуривания нефтегазовых залежей. Среди этих способов наиболее распространенным является импульсный способ на переменном низкочастотном токе – способ становления электрического поля. По результатам полевых измерений данным способом вычисляется электрическое сопротивление с помощью универсальной формулы
где J – измеряемый скачок силы тока в дипольном электрическом источнике;
U – измеряемое напряжение на концах приемных заземлений MN или на клеммах горизонтального незаземленного контура, с помощью которого регистрируется скорость изменения вертикального магнитного поля ;
К – геометрический коэффициент зондирующей установки
(см. “Электроразведка”, Справочник геофизика. Ред. А.Г.Тархов. – М.: Недра, 1980, с.237) [1].
При таком подходе, который применяется обычно при всех традиционных способах определения электрического сопротивления в геоэлектроразведке с регулируемым искусственным источником тока, получают лишь суммарные сведения о всех элементах строения исследуемой среды, в которой развивается поле, так как в ней распределение в пространстве измеряемого тока J источника ничем не контролируется, и информации об указанном распределении в реально существующих трехмерно-неоднородных средах нет. Это означает, что нормирование измеряемого электрического параметра U по силе тока питания J источника бессмысленно, так как ток J не несет никакой информации об исследуемой среде, а несет лишь сведения о мощности генератора тока и о сопротивлении заземления токовых электродов токового диполя.
Таким образом, способы сопротивлений не пригодны для поисков и оконтуривания нефтегазовых залежей по двум причинам: первая – регистрируется только один из необходимых для этой цели трех электрофизических параметров исследуемой среды; вторая – регистрируемый параметр для той же цели слишком грубый, так как в нем регистрируется сопротивление объема всех геологических объектов исследуемой среды, в которой развивается электрическое поле источника тока.
Известны способы геоэлектроразведки, в которых используется эффект вызванной поляризации, присущей осадочным отложениям горных пород и обладающей аномальными значениями в средах, в которых находятся нефтегазовые залежи, например, способ ИНФАЗ-ВП (А.В.Куликов, Е.А.Шемякин. Электроразведка фазовым методом вызванной поляризации. М., Наука, 1978, с.81-88) [2]. При использовании этого способа в качестве интерпретируемого параметра выступает ВП – фазовый сдвиг между напряжением источника и приемника, рассчитываемый для всего осадочного чехла. Послойного его определения не производится. При таком подходе нефтегазовая залежь обнаруживается в виде интегральной аномалии по ВП. Это создает ложное впечатление, что залежь отображается по ВП косвенно за счет ореольного рассеивания углеводородов в “столбе” вышележащих над ней горных пород, в том числе и приповерхностных.
Этот способ обладает еще одним существенным недостатком, а именно регистрируемый им параметр значительно подвержен искажающему его влиянию электрического сопротивления.
Наиболее близким к предложенному является способ геоэлектроразведки (Авторское свидетельство СССР №1223180 от 07.04.86) [3], в котором возбуждают исследуемую среду периодической последовательностью прямоугольных импульсов тока, пропускаемых через заземленную питающую линию (заземленный дипольный электрический источник), и измеряют в точках наблюдения в паузах между импульсами тока первую, вторую и третью осевые разности потенциалов, из которых формируют картируемый параметр уже на основе нормирования не на неинформативный общий ток питания дипольного источника, а на первую разность потенциалов, пропорциональную плотности тока в земле под точкой измерения этой разности (прототип).
Первым недостатком этого способа является то, что он подвержен искажающему влиянию приповерхностных геологических неоднородностей на результаты измерений.
Вторым недостатком этого способа является то, что он подвержен искажающему влиянию теллурических помех вследствие измерения им первых разностей электрических потенциалов переходных процессов, величины которых соразмерны (а иногда даже меньше) величин сигналов теллурических помех.
И, наконец, третьим основным недостатком этого способа, несмотря на его повышенную разрешающую способность при дифференциации геологического разреза, является то, что не удается до конца разделить присущую элементам геологической среды, в том числе с находящимися в ней нефтегазовыми залежами, вызванную поляризацию от переходных электродинамических процессов, связанных с электропроводностью указанных элементов толщи слагающих разрез геологических пород.
В предложенном способе решается задача обнаружения, оконтуривания нефтегазовых залежей и оценка качества их насыщения. Технический результат, позволяющий решить данную задачу, заключается в обеспечении возможности разделения параметров электропроводности и вызванной поляризации, а также дополнительно дает возможность определения постоянной времени спада разности потенциалов вызванной поляризации – важного третьего наряду с двумя первыми параметра.
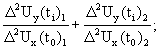
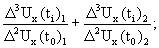
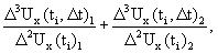
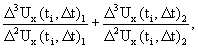
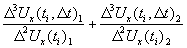
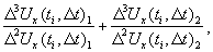
Указанный технический результат достигается тем, что в способе геоэлектроразведки, при котором по оси профиля наблюдения возбуждают электромагнитное поле в толще исследуемой среды, пропуская через нее периодическую последовательность прямоугольных импульсов тока с паузами после каждого из них при помощи дипольного электрического источника, и в каждый период этой последовательности в точках наблюдения измеряют вторую и третью осевые разности электрических потенциалов, согласно изобретению электромагнитное поле возбуждают поочередно двумя дипольными электрическими источниками, расположенными по обе стороны на одинаковом расстоянии от точек наблюдения, и в конце каждого импульса тока измеряют мгновенное значение второй осевой разности электрических потенциалов, а в каждой паузе между импульсами тока на всем протяжении времени существования этой паузы в дискретных точках с постоянным интервалом времени измеряют последовательность мгновенных значений вторых осевых разностей электрических потенциалов, одновременно в тех же дискретных временных точках в каждой паузе между импульсами тока на всем протяжении времени существования этой паузы измеряют последовательность мгновенных значений третьих осевых разностей электрических потенциалов, из значений измеренных разностей электрических потенциалов рассчитывают три множества независимых от силы тока дипольных источников нормированных электрических параметров
где tо – время окончания импульса тока;
ti – точки измерения в паузах тока;
t – интервал времени между двумя ближайшими измеренными мгновенными значениями осевых разностей электрических потенциалов на всем протяжении существования паузы;
2Ux(to)1, 2Ur(to)2 – мгновенные значения второй осевой разности электрических потенциалов в конце импульса тока, измеренные при подаче токов соответственно в первый и второй дипольные электрические источники;
2Uх(ti)1, 2Uх(ti)2 – мгновенные значения вторых осевых разностей электрических потенциалов, измеренные в паузах тока на всем протяжении существования каждой из этих пауз от ее начала до конца через заданные равные интервалы времени t, при подаче токов соответственно в первый и второй дипольные электрические источники;
3Uх(ti)1, 3Uх(ti)2 – мгновенные значения третьих осевых разностей электрических потенциалов, измеренные в паузах тока на всем протяжении существования каждой из этих пауз от ее начала до конца через равные интервалы времени t, при подаче токов соответственно в первый и второй дипольные электрические источники;
2Uх(ti, t)1, 2Uх(ti, t)2 – разности значений между разделенными промежутками времени t двумя ближайшими мгновенными значениями вторых осевых разностей электрических потенциалов, измеренных в паузах тока на всем протяжении существования каждой из этих пауз, при подаче токов соответственно в первый и второй дипольные электрические источники;
3x(ti, t)1, 3Uх(ti, t)2 – разности значений между разделенными промежутками времени t двумя ближайшими мгновенными значениями третьих осевых разностей электрических потенциалов, измеренных в паузах тока на всем протяжении существования каждой из этих пауз, при подаче токов соответственно в первый и второй дипольные электрические источники; используя значения этих нормированных параметров и дифференциальное уравнение математической физики для напряженности электрического поля дипольного источника в электрохимически поляризующейся проводящей среде
где – оператор Гамильтона;
– напряженность электрического поля дипольного источника, выраженная в уравнении для случая гармонического изменения величины электрического поля по времени;
(i 0![]() ) – частотнозависимая электропроводность элементов среды;
0 – электропроводность элементов среды без учета влияния вызванной поляризации;
– коэффициент их вызванной поляризации;
– постоянная времени спада разности потенциалов вызванной поляризации;
решают математическую обратную задачу и определяют присущие каждому элементу среды три электрофизических параметра: удельную электропроводность 0, вызванную поляризацию и постоянную времени спада разности потенциалов вызванной поляризации , и строят три временных разреза по этим параметрам.
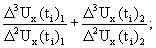
Кроме этого, рассчитывают четвертое множество независимых от силы тока дипольных источников нормированных электрических параметров
и используют его наряду с тремя другими при решении обратной задачи.
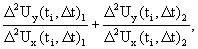
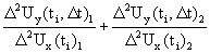
Также указанный технический результат достигается тем, что в способе геоэлектроразведки, при котором по оси наблюдения возбуждают электромагнитное поле в толще исследуемой среды, пропуская через нее периодическую последовательность прямоугольных импульсов тока с паузами после каждого из них, при помощи дипольного электрического источника, и в каждый период этой последовательности в точках наблюдения измеряют вторую осевую разность электрических потенциалов и вторую разность электрических потенциалов по направлению, перпендикулярному к оси профиля, согласно изобретению электромагнитное поле возбуждают поочередно двумя дипольными электрическими источниками, расположенными по обе стороны на одинаковом расстоянии от точек наблюдения, и в конце каждого импульса тока измеряют мгновенное значение второй осевой разности электрических потенциалов, а в каждой паузе между импульсами тока на всем протяжении времени существования этой паузы в дискретных точках с постоянным интервалом времени измеряют последовательность мгновенных значений вторых осевых разностей электрических потенциалов, одновременно в тех же дискретных временных точках в каждой паузе между импульсами тока на всем протяжении времени существования этой паузы измеряют последовательность мгновенных значений вторых разностей электрических потенциалов по направлению, перпендикулярному к оси профиля, из значений измеренных разностей электрических потенциалов рассчитывают три множества независимых от силы тока дипольных источников нормированных электрических параметров
где t0 – время окончания импульса тока;
ti – точки измерения в паузах тока;
t – интервал времени между двумя ближайшими измеренными мгновенными значениями осевых разностей электрических потенциалов на всем протяжении существования паузы;
2Ux(t0)1, 2Ux(t0)2 – мгновенные значения второй осевой разности электрических потенциалов в конце импульса тока, измеренные при подаче токов соответственно в первый и второй дипольные электрические источники;
2Ux(ti)1, 2Ux(ti)2 – мгновенные значения вторых осевых разностей электрических потенциалов, измеренные в паузах тока на всем протяжении существования каждой из этих пауз от ее начала до конца через заданные равные интервалы времени t, при подаче токов соответственно в первый и второй дипольные электрические источники;
2Uy(ti)1, 2Uy(ti)2 – мгновенные значения вторых разностей электрических потенциалов, измеренные по направлению, перпендикулярному к оси профиля, в паузах тока на всем протяжении существования каждой из этих пауз от ее начала до конца через заданные равные интервалы времени t, при подаче токов соответственно в первый и второй дипольные электрические источники;
2Ux(ti, t)1, 2Ux(ti, t)2 – разности значений между разделенными промежутками времени t двумя ближайшими мгновенными значениями вторых осевых разностей электрических потенциалов, измеренных в паузах тока на всем протяжении существования каждой из этих пауз, при подаче токов соответственно в первый и второй дипольные электрические источники;
2Uy(ti, t)1, 2Uy(ti, t)2 – разности значений между разделенными промежутками времени t двумя ближайшими мгновенными значениями вторых разностей электрических потенциалов, измеренных по направлению, перпендикулярному к оси профиля, в паузах тока на всем протяжении существования каждой из этих пауз, при подаче токов соответственно в первый и второй дипольные электрические источники; используя значения этих нормированных параметров и дифференциальное уравнение математической физики для напряженности электрического поля дипольного источника в электрохимически поляризующейся проводящей среде
где – оператор Гамильтона;
– напряженность электрического поля дипольного источника, выраженная в уравнении, для случая гармонического изменения величины электрического поля по времени;
(i 0![]() ) – зависимая от частоты электропроводность элементов среды;
0 – электропроводность элементов среды без учета влияния вызванной поляризации;
– коэффициент их вызванной поляризации;
– постоянная времени спада разности потенциалов вызванной поляризации;
решают математическую обратную задачу и определяют присущие каждому элементу среды три электрофизических параметра: удельную электропроводность 0, вызванную поляризацию и постоянную времени спада разности потенциалов вызванной поляризации , и строят три временных разреза по этим параметрам.
Кроме этого, рассчитывают четвертое множество независимых от силы тока дипольных источников нормированных электрических параметров
и используют его наряду с тремя другими при решении обратной задачи.
Сущность изобретения поясняется чертежами.
На фиг.1 дана блок-схема устройства для реализации предложенного способа с использованием четырехэлектродного датчика третьей разности электрических потенциалов.
На фиг.2 дана блок-схема устройства для реализации предложенного способа с использованием пятиэлектродного датчика третьей разности электрических потенциалов.
На фиг.3 дана блок-схема устройства для реализации предложенного способа с использованием датчика второй разности электрических потенциалов по направлению, перпендикулярному к оси профиля.
На фиг.4 показаны формы импульсов в функции времени t: (a) -форма одного из серий периодических прямоугольных импульсов тока J в сети дипольного источника АВ, (б) – форма одного из импульсов вторых и третьей разностей потенциалов.
На фиг.5 показан пример временного разреза по натуральному логарифму удельного электрического сопротивления (ln ) на одном из профилей зондирования.
На фиг.6 – временной разрез по параметру вызванной поляризации на том же профиле.
На фиг.7 – временной разрез по постоянной времени спада разности потенциалов вызванной поляризации на том же профиле.
Устройство (фиг.1), исполненное в варианте с использованием четырехэлектродного датчика третьей разности электрических потенциалов содержит устанавливаемые в грунт 1 питающие заземления 2 и 3 первого дипольного электрического источника (токового диполя A1B1), подключаемые к генератору 4 прямоугольных токовых импульсов. Для обеспечения синхронизации моментов включения и выключения импульсов тока генератор 4 подключен к радиопередатчику 5 с антенной 6. Устройство также содержит второй токовый диполь А2В2 – заземления 7 и 8, подключаемые ко второму генератору 9 прямоугольных токовых импульсов, синхронизация которого с приемником осуществляется через передатчик 10 с антенной 11.
Приемные заземления 12-M1, 13-М2 и 14-М3 и 15-М4 датчиков второй и третьей осевых разностей последовательно расставлены на оси профиля через равные интервалы на одинаковых расстояниях от питающих заземлений 2 и 3 и 7 и 8. Согласующий усилитель 16 предназначен для измерения второй осевой разности потенциалов 2UM1M4, равной разности двух первых разностей электрических потенциалов UM1M2 и UM3M4 ( 2UM1M4= UM1M2– UM3M4). Согласующий усилитель 17 – для измерения третьей осевой разности потенциалов 3UM1M4( 3UM1M4= UM1M2+ UM3M4-2 UM2M3).
Входы аналого-цифровых преобразователей (АЦП) 18 и 19 подключены к согласующим усилителям 16 и 17, а выходы – ко входам цифровых фильтров 20 и 21; выходы цифровых фильтров 20 и 21 подключены к компьютерному обрабатывающему и регистрирующему блоку 22, к которому также подключен радиоприемник 23, который через приемную антенну 24 принимает от генераторов 4 и 9 синхронизирующие импульсы.
Устройство (фиг.2), исполненное в варианте с использованием пятиэлектродного датчика третьей разности электрических потенциалов, содержит дополнительно пятый измерительный электрод 25-N. Все пять измерительных электродов 12-М1, 13-М2, 25-N, 14-М3 и 15-М4 расположены с равным шагом друг от друга вдоль оси профиля. Датчик второй разности электрических потенциалов, состоящий из трех электродов M1, N и М4, служит для измерения второй разности электрических потенциалов 2UM1M4, равной разности двух первых разностей электрических потенциалов UM1N2 и UNM4 ( 2UM1M4= UM1N– UNM2) Пятиэлектродный датчик третьей разности электрических потенциалов, состоящий из пяти электродов M1, М2, N, М3 и М4, служит для измерения третьей разности электрических потенциалов 3UM1M4, равной разности двух вторых разностей электрических потенциалов 2UM1N и 2UNM4 ( 3UM1M4= 2UM1N– 2UNM4= UM1M2– UM2N– UNM3+ UM3M4). Все последующие элементы устройства по фиг.2 выполнены так же, как и аналогичные элементы устройства по фиг.1.
Устройство (фиг.3), исполненное в варианте с использованием датчика второй ортогональной разности электрических потенциалов по направлению, перпендикулярному к оси профиля, содержит дополнительно два измерительных электрода 26-Му2 и 27-Му2, расположенных равноудаленно от электрода 25-N в перпендикулярном направлении относительно оси профиля. Датчик второй осевой разности электрических потенциалов, состоящий из трех электродов 13-М2, 25-N и 14-М2, служит для измерения второй осевой разности электрических потенциалов 2UM2M3, равной разности двух первых разностей электрических потенциалов UM2N и UNM3 ( 2UM2M3= UM2N– UNM3). Датчик второй ортогональной разности потенциалов, состоящий из трех электродов 26-My1, 25-N и 27-Му2, служит для измерения второй ортогональной разности электрических потенциалов 2UMY1MY2, равной разности двух первых ортогональных разностей электрических потенциалов UMY1N и UNMY2 ( 2UMY1MY2= UMY1N– UNMY2).
Все последующие элементы устройства по фиг.3 выполнены так же, как и аналогичные элементы устройства по фиг.1.
На фиг.4(а) показана форма одного из серии периодических прямоугольных импульсов тока J в цепи дипольного источника АВ в функции времени t. Здесь Т – период одного цикла: импульс тока плюс пауза после него.
На фиг.4(б) показана форма одного из импульсов 2Ux, 2UY и 3Ux. Здесь при времени to показано мгновенное значение 2Ux(t0) в конце существования прямоугольного импульса тока в токовом диполе. Так же показано одно из мгновенных значений 2UX(ti), 2UY(ti) и 3UX(ti) в паузе тока. Также показано одно из значений 2UX(ti, t), 2UY(ti, t), 3UX(ti, t) на одном из интервалов времени t в паузе тока.
Рассмотрим теоретические основы предложенного способа его осуществления и новые возможности геоэлектроразведки, касающиеся распространения электромагнитного поля на основе затухающего волнового уравнения математической физики.
Известно, что электромагнитное поле в плохо проводящей физической среде распространяется по времени t согласно вытекающему из первого и второго уравнений Максвелла дифференциальному затухающему волновому уравнению математической физики для напряженности электрического поля, в том числе и в случае ее импульсного изменения,
где – оператор Гамильтона;
Е – напряженность электрического поля, вольт/м;
– магнитная проницаемость – величина постоянная для немагнитных сред, к числу которых относятся осадочные геологические породы, и равна 4 10-7 Гeнpи/м;
0 – электропроводность неполяризующейся среды, сименс;
– диэлектрическая проницаемость, фарад/м
(В.А.Говорков. Электрические и магнитные поля. М., Госэнергоиздат, 1960, с.257-263) [4].
В случае высокопроводящей среды, к которой относятся осадочные отложения горных пород, в связи с тем, что 0 численно многократно больше , второй член в правой части уравнения (2) мал по сравнению с первым, и его отбрасывают (Л.Л.Ваньян. Основы электромагнитных зондировании. М., “Недра”, 1965, с.28-30) [5]. Физически это означает, что токами смещения в проводящих средах пренебрегают ввиду их малости по сравнению с токами проводимости. Тогда уравнение (2) принимает вид
Это уравнение при его решении позволяет определить всего лишь один электрический параметр элементов среды – электропроводность 0.
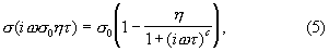
Уравнение (3) является уравнением распространения по времени электромагнитного поля в проводящей неполяризующейся среде, которое совпадает с известным в математической физике уравнением теплопроводности или диффузии и которое в геофизике в способах сопротивлений обычно используют для изучения распространения переменного электромагнитного поля вглубь толщи исследуемых геологических пород, при этом считают, что электропроводность 0 того или иного геологического горизонта является главным и практически единственным определяющим его электрические свойства параметром, обладает своим постоянным значением для каждого горизонта и не зависит от частоты возбуждения электромагнитного поля. Однако геологическим осадочным породам при их возбуждении применяемым в геофизике переменным низкочастотным электрическим током свойственна вызванная им поляризация . Вызванная поляризация есть безразмерная величина, зависящая от электрохимической активности осадочных горных пород. Она определяется как отношение разностей потенциалов, измеренных на образце исследуемой породы после выключения импульсов тока через 0,5 сек ( UВП) и до выключения ( U). Это отношение обычно выражают в процентах
Вызванная поляризация осадочных геологических пород имеет уникальную среди физических параметров стабильность и практически не зависит от состава пород и их температуры. Она для ионопроводящих (осадочных) пород зависит от многих факторов: влажности и пористости, состава и концентрации раствора в порах породы, структуры и размера пор, содержания глинистых минералов и т.д. (В.А.Комаров. Электроразведка методом поляризации. Л., Наука, 1980, с.392) [6]. И, самое главное, как показали широкие практические геоэлектрические исследования предложенным способом на геологических объектах, вызванная поляризация несет основную информацию о присутствии в геологической среде обладающих высокой степенью этой поляризации нефтегазовых залежей.
Установлено (W.H.Pelton, S.H.Ward, P.O.Hallof, W.R.Sill and P.H.Nelson. Mineral discrimination and removal of inductive coupling with multifrequency JP, Geophysics 43, 1978, с.588-603) [7], что электропроводность осадочных горных пород не постоянна, а зависит от вызванной поляризации и от частоты возбуждения электрического поля по предложенной, в частности, K.S.Cole и R.H.Cole в форме гармоничного его изменения по времени эмпирической формуле
в которой эта электропроводность зависит от , 0, и , где
– вызванная поляризация пород, безразмерная величина, обычно выражающаяся в процентах;
– постоянная времени, определяющая скорость спада разности потенциалов, связанной с вызванной поляризацией, сек.;
– гармоничная частота электрического возбуждения, герц;
с – безразмерный показатель степени, который хотя и не является физическим параметром горных пород, но и от него зависит (i 0![]() ).
Вызванная поляризация на низких частотах электрического возбуждения, в отличие от диэлектрической проницаемости , численно не столь мала по сравнению с электропроводностью 0 для осадочных геологических пород, измеренной, например, при токах высоких частот ( ), когда, как это видно из формулы (5), вызванная поляризация не проявляется. Следовательно, вызванной поляризацией при изучении с целью поисков и оконтуривания нефтегазовых залежей геоэлектрических параметров осадочных геологических пород на низкочастотном переменном токе уже пренебрегать нельзя. Известно (Электроразведка. Справочник геофизика. Ред. В.К.Хмелевский и др. М., Недра, 1989, Книга вторая, с.99-102) [8], что для тех или иных осадочных геологических пород через 0,5 сек после выключения импульса возбуждающего тока величина вызванной поляризацией разности потенциалов, несмотря на ее интенсивный спад, еще сохраняет уровни, численные значения которых составляют от 0,2% до 10% от численных значений разностей потенциалов прямого поля, связанных с электропроводностью 0, измеренной, как отмечалось выше, при токах высоких частот, когда вызванная поляризация не проявляется. Чтобы сохранить по форме формулу (5), тепловое уравнение (3) запишем для случая гармонического изменения величины электромагнитного поля по времени, имея в виду, что
и учитывая то, что
и
Тогда уравнение (3) для проводящей неполяризующейся среды с учетом преобразования (6) примет вид
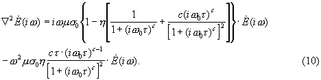
Но поскольку электропроводность осадочных горных пород непостоянна, а зависит от вызванной поляризации и от частоты возбуждения по формуле (5), то уравнение (8) с учетом этой формулы приобретает уже четыре определяющих свойства поляризующейся среды параметра 0, , и с вместо одного 0 и для случая гармоничного изменения величины электромагнитного поля по времени принимает вид
а в общем виде с учетом (5) –
Это уравнение становится уже близким по существу к затухающему волновому уравнению (2) для напряженности электрического поля на низких частотах, по законам которого переменное электромагнитное поле проникает в землю не только благодаря диффузионным токам индукции, вызванным электропроводностью 0, но и благодаря также токам “смещения”, вызванным поляризацией этих же пород. Последнее обстоятельство говорит о том, что возможности геоэлектроразведки для поисков и оконтуривания нефтегазовых залежей на низкочастотном переменном (гармоническом или импульсном) токе выше, чем это считалось ранее. Эти возможности реализуются лишь при двух условиях: первое – когда круг измеряемых электрических нормированных параметров расширяется по крайней мере до необходимых для корректного решения уравнения (9) трех, и второе – когда повышается точность их измерения до такой степени, чтобы выявить особенности кривых переходного процесса становления поля в паузах тока, связанные с вызванной поляризацией. Причем не допускается как нормирующий такой измеряемый способами традиционной геоэлектроразведки параметр, как сила тока J регулируемого искусственного источника, которая не несет никакой информации о распределении плотности тока в земле по глубине в трехмерно-неоднородной геологической среде. Последняя становится уже таковой благодаря присутствию ограниченной по горизонтальным координатам нефтегазовой залежи.
Реализация новых возможностей геоэлектроразведки достигается предложенным способом. А в том, что уравнение (9) является близким по существу к затухающему волновому уравнению для напряженности электрического поля уравнению (2) легко убедиться, разложив формулу (5) в ряд Тейлора относительно разности частот – 0 (где 0 – частота следования импульсов тока возбуждения), используя, в частности, всего лишь два члена этого ряда ввиду его быстрой сходимости при о< -1 (что на практике обычно выполняется). При этом допущении получим уравнение
Как видно, уравнение (10) по форме не отличается от затухающего волнового уравнения для напряженности электрического поля (2) для случая импульсного изменения величин электромагнитного поля. И хотя коэффициент при меньше, чем коэффициент при , но все же не настолько как по сравнению с 0 в проводящей неполяризующейся среде, и пренебрегать вторым членом этого уравнения уже недопустимо.
Уравнение (9) считается близким по своей сути к уравнению (2), а не равное ему аналитически потому, что при его выводе использована эмпирическая формула (5) из-за отсутствия аналитической формулы связи между электропроводностью (i 0![]() ) и вызванной поляризацией .
Для предложенного способа задача обнаружения нефтегазовых залежей в исследуемой толще горных пород как математическая обратная задача решается согласно уравнению (9а) в функции времени, т.е. в функции, зависящей от времени глубины проникновения электромагнитного поля, по трем независимым друг от друга параметрам среды: электропроводностью 0; вызванной поляризацией ; постоянной времени спада разности электрических потенциалов вызванной поляризации; и по четвертому, не являющемуся параметром среды показателю степени с, вытекающему из эмпирической формулы (5).
Эта задача, как обратная математическая задача, решается для предложенного первого варианта способа с двумя разновидностями измерительных датчиков третьей разности (четырех- и пятиэлектродных) путем использования всего массива определяемых этим способом, по крайней мере трех независимых от силы тока источников нормированных электрических параметров
в паузах тока в моменты времени ti(0 i n), равных t0, t0+ t, t0+2 t, t0+3 t и т.д. до t0+n t, т.е. до конца паузы, и дифференциального уравнения математической физики (9а) для напряженности электрического поля дипольного источника в электрохимически поляризующейся проводящей среде, в частности, например, одним из методов решения обратной математической задачи – методом подбора (А.Н.Тихонов, В.Я.Арсенин. Методы решения некорректных задач. Москва, “Наука” 1979. стр. 37-43) [9]. При этом для уменьшения количества вариантов подбора используют имеющиеся данные о модели исследуемой геологической среды, например данные бурения опорных или параметрических скважин, которые, как правило, с редким шагом разбурены повсеместно, или данные сейсморазведки, если последняя в районе исследования уже проводилась. В случае отсутствия каких-либо априорных данных о геологическом разрезе что, как правило, при поисковых исследованиях встречается наиболее часто, обратная задача также решается, но с увеличенным количеством вариантов подбора.
В конечном результате решением обратной задачи получают модель среды, наиболее близкую к реальной по геометрическому строению и по значениям параметров о, и для каждого ее элемента и, как следствие этого, разделяют эти три параметра. И, наконец, строят три временных разреза о, и : по вертикальной координате – в функции времени переходного процесса в паузе тока, функционально связанного с глубиной проникновения поля, а следовательно, и с глубиной залегания каждого из горизонтов, найденной в результате решения обратной задачи модели среды; по горизонтальной координате – в функции расстояния между точками зондирования на поверхности земли по заданному профилю; а значения входящих в уравнение (9а) электрофизических параметров о, и , представляют по прилагаемой для каждого разреза цифровой шкале в цветном изображении по цветовой гамме.
С целью более корректного решения обратной задачи дополнительно рассчитывают четвертое множество независимых от силы тока дипольных источников нормированных электрических параметров
и используют его в этом решении наряду с тремя другими (11).
Аналогичным образом обратная математическая задача решается для второго варианта способа с ортогональным датчиком второй разности, где также используется весь массив определенных этим способом трех независимых от силы тока источников нормированных электрических параметров
А с целью более корректного решения обратной задачи дополнительно рассчитывают четвертое множество независимых от силы тока дипольных источников нормированных электрических параметров
и используют его в этом решении наряду с тремя другими (13).
Следует отметить, что датчики высших разностей электрических потенциалов (выше первой) подвержены искажающему влиянию приповерхностных геологических неоднородностей. Но этот недостаток устраняется путем последовательного возбуждения исследуемой среды двумя дипольными источниками тока, расположенными по обе стороны на одинаковом расстоянии от точек наблюдения.
Следует также отметить, что измеряемая вторая разность электрических потенциалов ортогональным датчиком, ось которого расположена перпендикулярно к оси профиля зондирования, свободна от действия электропроводности верхнего слоя геоэлектрического разреза и тем самым гораздо меньше подвержена влиянию электродинамических эффектов, чем измеряемые разности осевыми датчиками. Поэтому при картировании слабоконтрастных по вызванной поляризации нефтегазовых залежей способ с применением ортогональных датчиков второй разности наиболее эффективен. И особенно в тех случаях, когда геологические отложения, в которых находится залежь, перекрыты слоем с высокой электропроводностью.
Исследованиями предложенным способом на нефтегазовых месторождениях установлено, что в присутствии нефтяной или газовой залежи независимо от типа ловушки и ее геометрической формы все три параметра (удельная электропроводность, вызванная поляризация и постоянная времени ) в пределах контура залежи приобретают вид, отображающий аномалию в глубине разреза, там, где находится эта залежь.
Пример конкретного выполнения
На фиг.1, 2 и 3 представлены блок-схемы аппаратуры для реализации предложенного способа. На блок-схеме показаны заземленные в грунт 1 токовые диполи A1B1 (2 и 3) и А2В2(7 и 8), питаемые генераторами 4 и 9 прямоугольных импульсов тока с паузами между ними. На оси диполей на определенном от них расстоянии при помощи измерительных заземлений измеряют мгновенные значения вторых и третьих разностей: по одному в конце каждого токового импульса и в паузе тока через заданные промежутки времени t множество этих разностей на всем протяжении существования пауз. Все указанные измеренные разности усиливают усилителями 16 и 17. Для обеспечения точности измерения, необходимой для того, чтобы выявить связанные с вызванной поляризацией исследуемых пород особенности кривых переходного процесса становления поля в паузах тока, измеренные усилителями 16 и 17 разности оцифровываются аналого-цифровыми преобразователями (АЦП) 18 и 19 с разрядностью 24 и более. Для реализации предложенного способа разработано и изготовлено измерительное устройство с двадцатичетырехразрядным АЦП. В этом устройстве после двадцатичетырехразрядного оцифровывания измеренных сигналов последние при помощи многозвенных цифровых фильтров 20 и 21 отфильтровываются от случайных помех. Отфильтрованные полезные сигналы с выходов цифровых фильтров 20 и 21 поступают на вход компьютерного обрабатывающего и регистрирующего блока 22.
Для обеспечения синхронизации моментов включения и выключения импульсов тока с моментами измерения в приемнике приемных сигналов используют радиопередатчики 5 и 10 и радиоприемник 23 соответственно с передающими антеннами 6 и 11 и приемной 24.
Для определения необходимых четырех нормированных электрических параметров (11), (12), (13) и (14) измеряют мгновенные значения вторых и третьих разностей потенциалов 2Ux(t0), 2Uy(t0) и 3Ux(t0) в конце импульса тока и серию мгновенных значений вторых и третьих разностей потенциалов переходных процессов 2Uх(ti), 2Uу(ti) и 3Uх(ti) в паузах на всем протяжении времени существования пауз между импульсами тока. Также определяют серию разностей значений из каждых двух рядом расположенных по времени мгновенных величин вторых и третьих разностей потенциалов на всем протяжении времени существования пауз между импульсами тока. Эпюры одного из токовых импульсов и измеренных i-тых мгновенных значений вторых и третьей разностей потенциалов в одной из пауз показаны на фиг.4. Индексы 1 и 2 в формулах (11), (12), (13) и (14) обозначают то, что измерение электрических параметров осуществлялось при раздельном возбуждении первого и второго токовых диполей.
На фиг.5, 6 и 7 дан пример картирования временных разрезов предложенным способом.
На фиг.5 показан временной разрез по натуральному логарифму удельного электрического сопротивления (ln ) на одном из профилей зондирования в Обской губе. К логарифмической шкале электрических сопротивлений пришлось прибегнуть в связи с тем, что диапазон электрических сопротивлений, слагающих данный разрез пород, колеблется в очень широких пределах от одного Ом м в водоносных пластах-коллекторах до тысяч Ом м в зоне вечной мерзлоты, которая проявляется в районе берегов Обской губы (на чертеже красным цветом) на отметках по профилю Х от 2 км до 6,5 км и от 26,5 км до 33 км и по глубине от 0 км до 0,4 км. На глубине около двух километров на всем протяжении профиля проявляется зона пониженных сопротивлений (темно-синий цвет), связанная с пластами-коллекторами, причем в пределах профиля от 16-го километра до 33-го километра коллектор гипсометрически приподнят, а от 2-го километра до 16-го километра – приспущен. Кроме того, в разрезе на глубине примерно от 1,4 километра до 1,9 километра (по профилю от 10-ти километров до 14-ти километров) наблюдаются высокоомные включения (бело-желтый цвет), видимо определившие изменения высоты горизонта-коллектора по профилю на 15-том километре.
На фиг.6 показан временной разрез по параметру вызванной поляризации на том же примере, что и на фиг.3. На этой фигуре четко проявляются две аномалии вызванной поляризации (зелено-красный цвет): первая – на глубине примерно от 1 км до 1,2 км и по профилю от 16 км до 31 км (приуроченная к газовой залежи в Сеноманском горизонте); вторая – на глубине примерно 2 км и по профилю от 14 км до 32 км (приуроченная к газоконденсатной залежи в Альб-Абтском горизонте).
На фиг.7 показан временной разрез по постоянной времени на том же профиле, что и на фиг.5. Временной разрез на фиг.7 по параметру мало отличается по форме от временного разреза на фиг.6 по параметру . Разница между ними, в основном, состоит лишь в том, что постоянная времени в той или иной мере определяет качество насыщения. Так, насыщение залежи в Альб-Абтском горизонте более тяжелыми углеводородами (газоконденсатом) проявилось аномалией с более длительными временами спада (на фиг.7 – красным цветом по сравнению с зеленым цветом в газовой залежи Сеноманского горизонта).
Предложенный способ реализован в виде комплекса питающей, измерительной и обрабатывающей аппаратуры. Как уже отмечалось выше, исследованиями предложенным способом на множестве нефтегазовых месторождений установлено, что в присутствии нефтяной или газовой залежи независимо от типа ловушки и ее геометрической формы все три параметра 0, и в пределах контура залежи приобретают вид, отображающий аномалию в глубине разреза там, где находится эта залежь, и коэффициент удачи геофизического поиска нефтегазовых залежей с применением предлагаемого способа повышается практически до ста процентов. Последнее дает существенный экономический эффект в деле поиска и разведки скоплений углеводородов.
Формула изобретения 1. Способ геоэлектроразведки, при котором по оси профиля наблюдения возбуждают электромагнитное поле в толще исследуемой среды, пропуская через нее периодическую последовательность прямоугольных импульсов тока с паузами после каждого из них при помощи дипольного электрического источника, и в каждый период этой последовательности в точках наблюдения измеряют вторую и третью осевые разности электрических потенциалов, отличающийся тем, что электромагнитное поле возбуждают поочередно двумя дипольными электрическими источниками, расположенными по обе стороны на одинаковом расстоянии от точек наблюдения, и в конце каждого импульса тока измеряют мгновенное значение второй осевой разности электрических потенциалов, а в каждой паузе между импульсами тока на всем протяжении времени существования этой паузы в дискретных точках с постоянным интервалом времени измеряют последовательность мгновенных значений вторых осевых разностей электрических потенциалов, одновременно в тех же дискретных временных точках в каждой паузе между импульсами тока на всем протяжении времени существования этой паузы измеряют последовательность мгновенных значений третьих осевых разностей электрических потенциалов, из значений измеренных разностей электрических потенциалов рассчитывают три множества независимых от силы тока дипольных источников нормированных электрических параметров:
где t0 – время окончания импульса тока;
ti – точки измерения в паузах тока;
t – интервал времени между двумя ближайшими измеренными мгновенными значениями осевых разностей электрических потенциалов на всем протяжении существования паузы;
2Ux(t0)1, 2Ux(t0)2 – мгновенные значения второй осевой разности электрических потенциалов в конце импульса тока, измеренные при подаче токов соответственно в первый и второй дипольные электрические источники;
2Ux(ti)1, 2Ux(ti)2 – мгновенные значения вторых осевых разностей электрических потенциалов, измеренные в паузах тока на всем протяжении существования каждой из этих пауз от ее начала до конца через заданные равные интервалы времени t, при подаче токов соответственно в первый и второй дипольные электрические источники;
3Ux(ti)1, 3Ux(ti)2 – мгновенные значения третьих осевых разностей электрических потенциалов, измеренные в паузах тока на всем протяжении существования каждой из этих пауз от ее начала до конца через равные интервалы времени t, при подаче токов соответственно в первый и второй дипольные электрические источники;
2Ux(ti, t)1, 2Ux(ti, t)2 – разности значений между разделенными промежутками времени t двумя ближайшими мгновенными значениями вторых осевых разностей электрических потенциалов, измеренных в паузах тока на всем протяжении существования каждой из этих пауз, при подаче токов соответственно в первый и второй дипольные электрические источники;
3Ux(ti, t)1, 3Ux(ti, t)2 – разности значений между разделенными промежутками времени t двумя ближайшими мгновенными значениями третьих осевых разностей электрических потенциалов, измеренных в паузах тока на всем протяжении существования каждой из этих пауз, при подаче токов соответственно в первый и второй дипольные электрические источники;
используя значения этих нормированных параметров и дифференциальное уравнение математической физики для напряженности электрического поля дипольного источника в электрохимически поляризующейся проводящей среде
где – оператор Гамильтона;
– напряженность электрического поля дипольного источника, выраженная в уравнении для случая гармонического изменения величины электрического поля по времени;
(i 0![]() ) – частотнозависимая электропроводность элементов среды;
0 – электропроводность элементов среды без учета влияния вызванной поляризации;
– коэффициент их вызванной поляризации;
– постоянная времени спада разности потенциалов вызванной поляризации,
решают математическую обратную задачу и определяют присущие каждому элементу среды три электрофизических параметра: удельную электропроводность 0, вызванную поляризацию и постоянную времени спада разности потенциалов вызванной поляризации , и строят три временных разреза по этим параметрам.
2. Способ геоэлектроразведки по п.1, отличающийся тем, что рассчитывают четвертое множество независимых от силы тока дипольных источников нормированных электрических параметров
и используют его наряду с тремя другими при решении обратной задачи.
3. Способ геоэлектроразведки, при котором по оси профиля наблюдения возбуждают электромагнитное поле в толще исследуемой среды, пропуская через нее периодическую последовательность прямоугольных импульсов тока с паузами после каждого из них при помощи дипольного электрического источника, и в каждый период этой последовательности в точках наблюдения измеряют вторую осевую разность электрических потенциалов, отличающийся тем, что электромагнитное поле возбуждают поочередно двумя дипольными электрическими источниками, расположенными по обе стороны на одинаковом расстоянии от точек наблюдения, и в конце каждого импульса тока измеряют мгновенное значение второй осевой разности электрических потенциалов, а в каждой паузе между импульсами тока на всем протяжении времени существования этой паузы в дискретных точках с постоянным интервалом времени измеряют последовательность мгновенных значений вторых осевых разностей электрических потенциалов, одновременно в тех же дискретных временных точках в каждой паузе между импульсами тока на всем протяжении времени существования этой паузы измеряют последовательность мгновенных значений вторых разностей электрических потенциалов по направлению, перпендикулярному оси профиля, из значений измеренных разностей электрических потенциалов рассчитывают три множества независимых от силы тока дипольных источников нормированных электрических параметров:
где t0 – время окончания импульса тока;
ti – точки измерения в паузах тока;
t – интервал времени между двумя ближайшими измеренными мгновенными значениями осевых разностей электрических потенциалов на всем протяжении существования паузы;
2Ux(t0)1, 2Ux(t0)2 – мгновенные значения второй осевой разности электрических потенциалов в конце импульса тока, измеренные при подаче токов соответственно в первый и второй дипольные электрические источники;
2Ux(ti)1, 2Ux(ti)2 – мгновенные значения вторых осевых разностей электрических потенциалов, измеренные в паузах тока на всем протяжении существования каждой из этих пауз от ее начала до конца через равные интервалы времени t, при подаче токов соответственно в первый и второй дипольные электрические источники;
2Uy(ti)1, 2Uy(ti)2 – мгновенные значения вторых разностей электрических потенциалов, измеренные по направлению, перпендикулярному оси профиля, в паузах тока на всем протяжении существования каждой из этих пауз от ее начала до конца через равные интервалы времени t, при подаче токов соответственно в первый и второй дипольные электрические источники;
2Ux(ti, t)1, 2Ux(ti, t)2 – разности значений между разделенными промежутками времени t двумя ближайшими мгновенными значениями вторых осевых разностей электрических потенциалов, измеренных в паузах тока на всем протяжении существования каждой из этих пауз, при подаче токов соответственно в первый и второй дипольные электрические источники;
2Uy(ti, t)1, 2Uy(ti, t)2 – разности значений между разделенными промежутками времени t двумя ближайшими мгновенными значениями вторых разностей электрических потенциалов, измеренных по направлению, перпендикулярному оси профиля, в паузах тока на всем протяжении существования каждой из этих пауз, при подаче токов соответственно в первый и второй дипольные электрические источники,
используя значения этих нормированных параметров и дифференциальное уравнение математической физики для напряженности электрического поля дипольного источника в электрохимически поляризующейся проводящей среде
где – оператор Гамильтона;
– напряженность электрического поля дипольного источника, выраженная в уравнении для случая гармонического изменения величины электрического поля по времени;
(i 0![]() ) – частотнозависимая электропроводность элементов среды;
0 – электропроводность элементов среды без учета влияния вызванной поляризации;
– коэффициент их вызванной поляризации;
– постоянная времени спада разности потенциалов вызванной поляризации,
решают математическую обратную задачу и определяют присущие каждому элементу среды три электрофизических параметра: удельную электропроводность 0, вызванную поляризацию и постоянную времени спада разности потенциалов вызванной поляризации , и строят три временных разреза по этим параметрам.
4. Способ геоэлектроразведки по п.3, отличающийся тем, что рассчитывают четвертое множество независимых от силы тока дипольных источников нормированных электрических параметров
и используют его наряду с тремя другими при решении обратной задачи.
РИСУНКИ
MM4A – Досрочное прекращение действия патента СССР или патента Российской Федерации на изобретение из-за неуплаты в установленный срок пошлины за поддержание патента в силе
Дата прекращения действия патента: 09.07.2006
Извещение опубликовано: 10.06.2007 БИ: 16/2007
|
||||||||||||||||||||||||||

с помощью универсальной формулы
где J – измеряемый скачок силы тока в дипольном электрическом источнике;
U – измеряемое напряжение на концах приемных заземлений MN или на клеммах горизонтального незаземленного контура, с помощью которого регистрируется скорость изменения вертикального магнитного поля
;
К – геометрический коэффициент зондирующей установки
(см. “Электроразведка”, Справочник геофизика. Ред. А.Г.Тархов. – М.: Недра, 1980, с.237) [1].
При таком подходе, который применяется обычно при всех традиционных способах определения электрического сопротивления в геоэлектроразведке с регулируемым искусственным источником тока, получают лишь суммарные сведения о всех элементах строения исследуемой среды, в которой развивается поле, так как в ней распределение в пространстве измеряемого тока J источника ничем не контролируется, и информации об указанном распределении в реально существующих трехмерно-неоднородных средах нет. Это означает, что нормирование измеряемого электрического параметра
ВП – фазовый сдвиг между напряжением источника и приемника, рассчитываемый для всего осадочного чехла. Послойного его определения не производится. При таком подходе нефтегазовая залежь обнаруживается в виде интегральной аномалии по
где tо – время окончания импульса тока;
ti – точки измерения в паузах тока;
где
– оператор Гамильтона;
– напряженность электрического поля дипольного источника, выраженная в уравнении для случая гармонического изменения величины электрического поля по времени;
(i
и используют его наряду с тремя другими при решении обратной задачи.
Также указанный технический результат достигается тем, что в способе геоэлектроразведки, при котором по оси наблюдения возбуждают электромагнитное поле в толще исследуемой среды, пропуская через нее периодическую последовательность прямоугольных импульсов тока с паузами после каждого из них, при помощи дипольного электрического источника, и в каждый период этой последовательности в точках наблюдения измеряют вторую осевую разность электрических потенциалов и вторую разность электрических потенциалов по направлению, перпендикулярному к оси профиля, согласно изобретению электромагнитное поле возбуждают поочередно двумя дипольными электрическими источниками, расположенными по обе стороны на одинаковом расстоянии от точек наблюдения, и в конце каждого импульса тока измеряют мгновенное значение второй осевой разности электрических потенциалов, а в каждой паузе между импульсами тока на всем протяжении времени существования этой паузы в дискретных точках с постоянным интервалом времени измеряют последовательность мгновенных значений вторых осевых разностей электрических потенциалов, одновременно в тех же дискретных временных точках в каждой паузе между импульсами тока на всем протяжении времени существования этой паузы измеряют последовательность мгновенных значений вторых разностей электрических потенциалов по направлению, перпендикулярному к оси профиля, из значений измеренных разностей электрических потенциалов рассчитывают три множества независимых от силы тока дипольных источников нормированных электрических параметров
где t0 – время окончания импульса тока;
ti – точки измерения в паузах тока;
где
– оператор Гамильтона;
– напряженность электрического поля дипольного источника, выраженная в уравнении, для случая гармонического изменения величины электрического поля по времени;
и используют его наряду с тремя другими при решении обратной задачи.
Сущность изобретения поясняется чертежами.
На фиг.1 дана блок-схема устройства для реализации предложенного способа с использованием четырехэлектродного датчика третьей разности электрических потенциалов.
На фиг.2 дана блок-схема устройства для реализации предложенного способа с использованием пятиэлектродного датчика третьей разности электрических потенциалов.
На фиг.3 дана блок-схема устройства для реализации предложенного способа с использованием датчика второй разности электрических потенциалов по направлению, перпендикулярному к оси профиля.
На фиг.4 показаны формы импульсов в функции времени t: (a) -форма одного из серий периодических прямоугольных импульсов тока J в сети дипольного источника АВ, (б) – форма одного из импульсов вторых и третьей разностей потенциалов.
На фиг.5 показан пример временного разреза по натуральному логарифму удельного электрического сопротивления (ln
где
– оператор Гамильтона;
Е – напряженность электрического поля, вольт/м;
– магнитная проницаемость – величина постоянная для немагнитных сред, к числу которых относятся осадочные геологические породы, и равна 4
10-7 Гeнpи/м;
– диэлектрическая проницаемость, фарад/м
(В.А.Говорков. Электрические и магнитные поля. М., Госэнергоиздат, 1960, с.257-263) [4].
В случае высокопроводящей среды, к которой относятся осадочные отложения горных пород, в связи с тем, что
Это уравнение при его решении позволяет определить всего лишь один электрический параметр элементов среды – электропроводность
Вызванная поляризация осадочных геологических пород имеет уникальную среди физических параметров стабильность и практически не зависит от состава пород и их температуры. Она для ионопроводящих (осадочных) пород зависит от многих факторов: влажности и пористости, состава и концентрации раствора в порах породы, структуры и размера пор, содержания глинистых минералов и т.д. (В.А.Комаров. Электроразведка методом поляризации. Л., Наука, 1980, с.392) [6]. И, самое главное, как показали широкие практические геоэлектрические исследования предложенным способом на геологических объектах, вызванная поляризация несет основную информацию о присутствии в геологической среде обладающих высокой степенью этой поляризации нефтегазовых залежей.
Установлено (W.H.Pelton, S.H.Ward, P.O.Hallof, W.R.Sill and P.H.Nelson. Mineral discrimination and removal of inductive coupling with multifrequency JP, Geophysics 43, 1978, с.588-603) [7], что электропроводность осадочных горных пород не постоянна, а зависит от вызванной поляризации и от частоты возбуждения электрического поля по предложенной, в частности, K.S.Cole и R.H.Cole в форме гармоничного его изменения по времени эмпирической формуле
в которой эта электропроводность зависит от
,
), когда, как это видно из формулы (5), вызванная поляризация не проявляется. Следовательно, вызванной поляризацией при изучении с целью поисков и оконтуривания нефтегазовых залежей геоэлектрических параметров осадочных геологических пород на низкочастотном переменном токе уже пренебрегать нельзя. Известно (Электроразведка. Справочник геофизика. Ред. В.К.Хмелевский и др. М., Недра, 1989, Книга вторая, с.99-102) [8], что для тех или иных осадочных геологических пород через 0,5 сек после выключения импульса возбуждающего тока величина вызванной поляризацией разности потенциалов, несмотря на ее интенсивный спад, еще сохраняет уровни, численные значения которых составляют от 0,2% до 10% от численных значений разностей потенциалов прямого поля, связанных с электропроводностью
и учитывая то, что
и
Тогда уравнение (3) для проводящей неполяризующейся среды с учетом преобразования (6) примет вид
Но поскольку электропроводность осадочных горных пород непостоянна, а зависит от вызванной поляризации и от частоты возбуждения по формуле (5), то уравнение (8) с учетом этой формулы приобретает уже четыре определяющих свойства поляризующейся среды параметра
а в общем виде с учетом (5) –
Это уравнение становится уже близким по существу к затухающему волновому уравнению (2) для напряженности электрического поля на низких частотах, по законам которого переменное электромагнитное поле проникает в землю не только благодаря диффузионным токам индукции, вызванным электропроводностью
Как видно, уравнение (10) по форме не отличается от затухающего волнового уравнения для напряженности электрического поля (2) для случая импульсного изменения величин электромагнитного поля. И хотя коэффициент при
меньше, чем коэффициент при
, но все же не настолько как
в паузах тока в моменты времени ti(0
i
и используют его в этом решении наряду с тремя другими (11).
Аналогичным образом обратная математическая задача решается для второго варианта способа с ортогональным датчиком второй разности, где также используется весь массив определенных этим способом трех независимых от силы тока источников нормированных электрических параметров
А с целью более корректного решения обратной задачи дополнительно рассчитывают четвертое множество независимых от силы тока дипольных источников нормированных электрических параметров
и используют его в этом решении наряду с тремя другими (13).
Следует отметить, что датчики высших разностей электрических потенциалов (выше первой) подвержены искажающему влиянию приповерхностных геологических неоднородностей. Но этот недостаток устраняется путем последовательного возбуждения исследуемой среды двумя дипольными источниками тока, расположенными по обе стороны на одинаковом расстоянии от точек наблюдения.
Следует также отметить, что измеряемая вторая разность электрических потенциалов ортогональным датчиком, ось которого расположена перпендикулярно к оси профиля зондирования, свободна от действия электропроводности верхнего слоя геоэлектрического разреза и тем самым гораздо меньше подвержена влиянию электродинамических эффектов, чем измеряемые разности осевыми датчиками. Поэтому при картировании слабоконтрастных по вызванной поляризации нефтегазовых залежей способ с применением ортогональных датчиков второй разности наиболее эффективен. И особенно в тех случаях, когда геологические отложения, в которых находится залежь, перекрыты слоем с высокой электропроводностью.
Исследованиями предложенным способом на нефтегазовых месторождениях установлено, что в присутствии нефтяной или газовой залежи независимо от типа ловушки и ее геометрической формы все три параметра (удельная электропроводность, вызванная поляризация
где t0 – время окончания импульса тока;
ti – точки измерения в паузах тока;
где
– оператор Гамильтона;
– напряженность электрического поля дипольного источника, выраженная в уравнении для случая гармонического изменения величины электрического поля по времени;
и используют его наряду с тремя другими при решении обратной задачи.
3. Способ геоэлектроразведки, при котором по оси профиля наблюдения возбуждают электромагнитное поле в толще исследуемой среды, пропуская через нее периодическую последовательность прямоугольных импульсов тока с паузами после каждого из них при помощи дипольного электрического источника, и в каждый период этой последовательности в точках наблюдения измеряют вторую осевую разность электрических потенциалов, отличающийся тем, что электромагнитное поле возбуждают поочередно двумя дипольными электрическими источниками, расположенными по обе стороны на одинаковом расстоянии от точек наблюдения, и в конце каждого импульса тока измеряют мгновенное значение второй осевой разности электрических потенциалов, а в каждой паузе между импульсами тока на всем протяжении времени существования этой паузы в дискретных точках с постоянным интервалом времени измеряют последовательность мгновенных значений вторых осевых разностей электрических потенциалов, одновременно в тех же дискретных временных точках в каждой паузе между импульсами тока на всем протяжении времени существования этой паузы измеряют последовательность мгновенных значений вторых разностей электрических потенциалов по направлению, перпендикулярному оси профиля, из значений измеренных разностей электрических потенциалов рассчитывают три множества независимых от силы тока дипольных источников нормированных электрических параметров:
где t0 – время окончания импульса тока;
ti – точки измерения в паузах тока;
где
– оператор Гамильтона;
– напряженность электрического поля дипольного источника, выраженная в уравнении для случая гармонического изменения величины электрического поля по времени;
и используют его наряду с тремя другими при решении обратной задачи.