Патент на изобретение №2231076
|
||||||||||||||||||||||||||
(54) СПОСОБ ОПРЕДЕЛЕНИЯ ЧАСТОТЫ СЕТЕВОГО НАПРЯЖЕНИЯ
(57) Реферат: Изобретение относится к области цифровой обработки сигналов и может быть использовано для определения частоты сетевого напряжения. Способ основан на перемножении опорного и анализируемого сигналов, суммировании полученных значений на интервале исследования и расчете среднего значения произведения опорного и анализируемого сигналов на каждой частоте опорного сигнала при переборе фазы опорного сигнала от 0 до 180 . По максимуму среднего значения произведения сигналов определяют частоту сетевого напряжения. Опорный сигнал представлен бинарной зондирующей функцией
Данный способ позволяет уменьшить время расчета частоты сетевого напряжения. 3 ил., 2 табл.
Изобретение относится к области цифровой обработки сигналов и может быть использовано для определения частоты сетевого напряжения.
Известен способ определения абсолютного среднего сигнала [патент РФ №2065169, МПК 6 G 01 R 23/16, опубл. 08.10.96]. Сущность способа заключается в формировании опорного синусоидального сигнала с частотой первой гармоники исследуемого сигнала, многократном сдвиге по фазе одного сигнала относительно другого, определении модуля отношений мгновенных значений входного и опорного сигналов в моменты времени, равноотстоящие от середины выбранной полуволны соответствующего сигнала, усреднении полученных значений модулей отношений мгновенных значений сигналов и определении абсолютного среднего исследуемого сигнала
где Uac – абсолютное среднее исследуемого сигнала;
Кс – усредненное значение модулей отношения мгновенных значений сигналов;
Uoac – абсолютное среднее опорного синусоидального сигнала;
Uc – составляющая среднего значения исследуемого сигнала.
Недостатком такого решения является то, что в качестве опорного сигнала используется непрерывная функция – синусоида, а следовательно, большое время расчета абсолютного среднего исследуемого сигнала.
Задачей изобретения является уменьшение времени расчета частоты сетевого напряжения.
Это достигается тем, что в способе определения частоты сетевого напряжения, включающем формирование опорного сигнала, который многократно сдвигают по фазе относительно анализируемого сигнала сетевого напряжения, согласно изобретению в качестве опорного сигнала используется решетчатая зондирующая функция
принимающая на своем периоде два фиксированных отличных от нуля значения в определенные моменты времени tk. Опорный сигнал многократно сдвигают по фазе относительно анализируемого сигнала сетевого напряжения f(t). Оба сигнала представлены отсчетами мгновенных значений для одних и тех же моментов времени
ti=t1,t2,…tN
где N – число разбиений на интервале исследования ТИ, находят моменты времени tk, в которых при различных частотах опорного сигнала 3 и фазах опорного сигнала 3, перемножают значения анализируемого сигнала и опорного в моменты времени tk, суммируют полученные значения на интервале анализируемого сигнала, рассчитывают среднее значение на каждой частоте ССР( ) при переборе фазы опорного сигнала от 0 до 180 , причем из найденных значений на каждой частоте опорного сигнала выбирают максимальное, затем по максимальному среднему значению судят об основной частоте сетевого напряжения f(t).
Заявленный способ определения частоты сетевого напряжения имеет существенные преимущества, так как сокращает время расчета основной частоты сетевого напряжения за счет того, что опорный сигнал на своем периоде принимает только два фиксированных, отличных от нуля, значения в определенные моменты времени tk (фиг.1), следовательно из анализируемого сигнала будут браться только те отсчеты, которые попадают в моменты времени tk.
На фиг.1 приведена решетчатая зондирующая функция.
На фиг.2 приведена аппаратная схема устройства, реализующего рассматриваемый способ определения частоты сетевого напряжения.
На фиг.3 приведен график максимального среднего значения.
В табл. 1 приведены исходные данные тестовых примеров.
В табл. 2 приведены результаты расчетов тестовых примеров.
Заявленный способ может быть осуществлен с помощью схемы (фиг.2), содержащей датчик анализируемого сигнала 1 (ДАС), выход которого соединен с входом программатора подсчета количества точек соответствующих моментам времени tk, перемножения анализируемого сигнала и опорного, расчета среднего значения ССР( j) 2 (П), датчик синусоидального опорного сигнала 3 (ДОС), выход которого соединен с входом программатора вычисления моментов времени tk 4 (ПВТ), выход программатора вычисления моментов времени tk 4 (ПВТ) соединен с входом программатора подсчета количества точек соответствующих моментам времени tk, перемножения анализируемого сигнала и опорного, расчета среднего значения ССР( j) 2 (П), выход программатора подсчета количества точек соответствующих моментам времени tk, перемножения анализируемого сигнала и опорного, расчета среднего значения ССР( j) 2 (П) соединен с входом программатора поиска максимального среднего значения 5 (ПпМ).
В качестве датчика анализируемого сигнала 1 (ДАС), датчика опорного сигнала 3 (ДОС) может быть использован датчик тока – промышленный прибор КЭИ-0,1, или датчик напряжения – трансформатор напряжения (220/5 В). Программатор вычисления моментов времени tk 4 (ПВТ), программатор подсчета количества точек, соответствующих моментам времени tk, перемножения анализируемого сигнала и опорного, расчета среднего значения ССР( j) 2 (П) и программатор поиска максимального среднего значения 5 (ПпМ) могут быть выполнены на микроконтроллере серии 51 производителя atmel AT89S53. Для работы пользователя может быть предусмотрена кнопочная клавиатура FT008, имеющая 8 кнопок, предназначенных для включения питания, запуска измерения, сохранения эталонного значения и сегментный индикатор SCD 55100 для вывода круговой частоты j и максимального среднего значения ССР,МАКС.
С выхода датчика анализируемого сигнала 1 (ДАС) анализируемый сигнал сетевого напряжения, например
f(ti)=u(ti)=220.5·sin(2· ·50.1·ti+45 )+5·sin(2· ·150.3·ti+135 )+
+2·sin(2· ·250.5·ti+225 ), (табл. 1, пример 1),
где u(ti) – многочастотный сигнал напряжения,
ti=t1,t2,…tN
– число разбиений на интервале Ти,
t=1·10-4 с – шаг дискретизации сигнала u(ti),
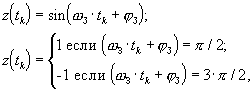
поступает на вход программатора подсчета количества точек, соответствующих моментам времени tk, перемножения анализируемого сигнала и опорного, расчета среднего значения ССР( j) 2 (П), одновременно с анализируемым сигналом с выхода датчика опорного сигнала 3 (ДОС) опорный сигнал вида z(ti)=1·sin( З·ti+![]() ) например,
z(ti)=1·sin(2· ·50.1·ti+45 )
где 3=2· ·50.1 рад/с,
3=45 ,
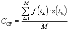
с такой же дискретностью массива значений t, как у анализируемого сигнала, а также частота опорного сигнала 3=2· ·50.1 рад/с и фазовый угол 3=45(поступают на вход программатора вычисления моментов времени tk 4 (ПВТ). В программаторе вычисления моментов времени tk 4 (ПВТ) рассчитываются моменты времени tk, которые поступают на вход программатора подсчета количества точек соответствующих моментам времени tk, перемножения анализируемого сигнала и опорного, расчета среднего значения ССР( j) 2 (П), в программаторе подсчета количества точек, соответствующих моментам времени tk, перемножения анализируемого сигнала и опорного, расчета среднего значения ССР( j) 2 (П) выбираются значения анализируемого сигнала и опорного соответствующие моментам времени tk перемножаются, а также рассчитывается среднее значение по формуле , где f(tk) – значение анализируемого сигнала в моменты времени tk,
z(tk) – значение опорного сигнала в моменты времени tk,
М – число отсчетов, соответствующих моментам времени tk.
В данном случае М=50, ССР=217.4909 В.
С выхода программатора подсчета количества точек соответствующих моментам времени tk, перемножения анализируемого сигнала и опорного, расчета среднего значения ССР( j) 2 (П) значение ССР( j) поступает на вход программатора поиска максимального среднего значения 5 (ПпМ), на вход которого также подается значение частоты опорного сигнала 3=2· ·50.1. При совпадении частоты и фазового угла опорного сигнала с частотой и фазовым углом гармонической составляющей, присутствующей в анализируемом сигнале, получаем максимальное значение постоянной составляющей (фиг.3), которое значительно отличается от значений постоянных составляющих частот, не присутствующих в сигнале. В данном случае ССР( j)=ССР,МАКС( j)=217.4909. С выхода программатора поиска максимального среднего значения 5 (ПпМ) снимают максимальное среднее значение ССР,МАКС( j)=217.4909 В и частоту 3=2· ·50.1 рад/с. Результаты вычислений сведены в табл. 2, пример 1. В табл.1 приведены тестовые примеры, в табл. 2 приведены результаты расчетов тестовых примеров. По результатам расчетов приведенных в табл. 2 видно, что для однозначного определения основной частоты сетевого напряжения достаточно взять интервал исследования ТИ=0.5 с.
Формула изобретения Способ определения частоты сетевого напряжения, включающий формирование опорного сигнала, который многократно сдвигают по фазе относительно анализируемого сигнала, отличающийся тем, что для анализируемого сигнала сетевого напряжения f(t) и опорного сигнала z(t)
представленных отсчетами мгновенных значений для одних и тех же моментов времени ti=t1, t2,…, tN, где N – число разбиений на интервале ТИ, находят моменты времени tk, в которых
при различных частотах опорного сигнала Зj и фазах опорного сигнала З, перемножают значения анализируемого сигнала и опорного сигнала в моменты времени tk, суммируют полученные значения на интервале исследования ТИ, рассчитывают среднее значение на каждой частоте при переборе фазы опорного сигнала от 0 до 180 , причем из найденных значений на каждой частоте опорного сигнала выбирают максимальное среднее значение, далее по максимальному среднему значению судят о частоте сетевого напряжения f(t).
РИСУНКИ
MM4A – Досрочное прекращение действия патента СССР или патента Российской Федерации на изобретение из-за неуплаты в установленный срок пошлины за поддержание патента в силе
Дата прекращения действия патента: 03.07.2005
Извещение опубликовано: 20.03.2007 БИ: 08/2007
|
||||||||||||||||||||||||||

до 180
Данный способ позволяет уменьшить время расчета частоты сетевого напряжения. 3 ил., 2 табл.
Изобретение относится к области цифровой обработки сигналов и может быть использовано для определения частоты сетевого напряжения.
Известен способ определения абсолютного среднего сигнала [патент РФ №2065169, МПК 6 G 01 R 23/16, опубл. 08.10.96]. Сущность способа заключается в формировании опорного синусоидального сигнала с частотой первой гармоники исследуемого сигнала, многократном сдвиге по фазе одного сигнала относительно другого, определении модуля отношений мгновенных значений входного и опорного сигналов в моменты времени, равноотстоящие от середины выбранной полуволны соответствующего сигнала, усреднении полученных значений модулей отношений мгновенных значений сигналов и определении абсолютного среднего исследуемого сигнала
где Uac – абсолютное среднее исследуемого сигнала;
Кс – усредненное значение модулей отношения мгновенных значений сигналов;
Uoac – абсолютное среднее опорного синусоидального сигнала;
Uc – составляющая среднего значения исследуемого сигнала.
Недостатком такого решения является то, что в качестве опорного сигнала используется непрерывная функция – синусоида, а следовательно, большое время расчета абсолютного среднего исследуемого сигнала.
Задачей изобретения является уменьшение времени расчета частоты сетевого напряжения.
Это достигается тем, что в способе определения частоты сетевого напряжения, включающем формирование опорного сигнала, который многократно сдвигают по фазе относительно анализируемого сигнала сетевого напряжения, согласно изобретению в качестве опорного сигнала используется решетчатая зондирующая функция
принимающая на своем периоде два фиксированных отличных от нуля значения в определенные моменты времени tk. Опорный сигнал многократно сдвигают по фазе относительно анализируемого сигнала сетевого напряжения f(t). Оба сигнала представлены отсчетами мгновенных значений для одних и тех же моментов времени
ti=t1,t2,…tN
где N – число разбиений на интервале исследования ТИ, находят моменты времени tk, в которых
при различных частотах опорного сигнала
3 и фазах опорного сигнала
3, перемножают значения анализируемого сигнала и опорного в моменты времени tk, суммируют полученные значения на интервале анализируемого сигнала, рассчитывают среднее значение на каждой частоте ССР(
·50.1·ti+45
– число разбиений на интервале Ти,
t=1·10-4 с – шаг дискретизации сигнала u(ti),
поступает на вход программатора подсчета количества точек, соответствующих моментам времени tk, перемножения анализируемого сигнала и опорного, расчета среднего значения ССР(
, где f(tk) – значение анализируемого сигнала в моменты времени tk,
z(tk) – значение опорного сигнала в моменты времени tk,
М – число отсчетов, соответствующих моментам времени tk.
В данном случае М=50, ССР=217.4909 В.
С выхода программатора подсчета количества точек соответствующих моментам времени tk, перемножения анализируемого сигнала и опорного, расчета среднего значения ССР(
представленных отсчетами мгновенных значений для одних и тех же моментов времени ti=t1, t2,…, tN, где N – число разбиений на интервале ТИ, находят моменты времени tk, в которых
при различных частотах опорного сигнала