Патент на изобретение №2231063
|
||||||||||||||||||||||||||
(54) СПОСОБ ОЦЕНКИ ПРОНИЦАЕМОСТИ ИПРИТА ЧЕРЕЗ ЗАЩИТНЫЕ МАТЕРИАЛЫ
(57) Реферат: Изобретение относится к области исследований методологии оценки защитных свойств материалов от токсичных химикатов, а именно к способу оценки проницаемости , ‘-дихлордиэтилсульфида через защитные материалы спектральным методом качественного анализа по времени защитного действия материала при использовании -(хлорэтил)бутилсульфида в качестве имитатора , ‘-дихлордиэтилсульфида, моделирующего проникающую способность , ‘-дихлордиэтилсульфида (иприта) через защитные материалы средств индивидуальной защиты (СИЗ). Способ определения проницаемости , ‘-дихлордиэтилсульфида через защитные материалы осуществляют спектральным методом качественного анализа по времени защитного действия материала при использовании -(хлорэтил)бутилсульфида в качестве имитатора , ‘-дихлордиэтилсульфида на основании коэффициента пересчета К=ВЗДддс/ВЗДимит, где ВЗДддс и ВЗДимит время защитного действия материала соответственно от , ‘-дихлордиэтилсульфида и имитатора. Достигается упрощение испытаний. 1 табл., 1 ил.
Изобретение относится к области исследований методологии оценки защитных свойств материалов от токсичных химикатов, а именно к способу оценки проницаемости ’ -дихлордиэтилсульфида через защитные материалы спектральным методом качественного анализа по времени защитного действия материала при использовании -(хлорэтил)бутилсульфида в качестве имитатора , ’-дихлордиэтилсульфида, моделирующего проникающую способность , -дихлордиэтилсульфида (иприта) через защитные материалы средств индивидуальной защиты (СИЗ).
Химическая структура -(хлорэтил)бутилсульфида приведена в формуле (1)
Использование имитаторов обусловлено тем, что в последние годы было существенно сокращено количество токсичных химикатов (ТХ), предназначенных для проведения исследований и испытаний по оценке защитных свойств средств индивидуальной защиты (СИЗ) в связи с вступлением в силу Конвенции о запрещении химического оружия. При этом объемы проводимых испытаний образцов СИЗ в ходе их разработки, производства, эксплуатации и хранения остаются на прежнем уровне.
В настоящее время известны способы оценки защитных свойств перспективных образцов материалов и изделий из них от иприта с использованием имитаторов: метилового эфира салициловой кислоты (МЭСК) (Аlат Т., Paul S. Qrasso, Use of Methyl Salicylat as Trialing Chemical Agent Simulant Cdr, CRDEC, ATT N SM CCR-RSP, Aberdeen Proving Ground, MD 21010-5423, 1990), дихлорэтилового эфира (Perspiration poisoning of prottective clothing materials-part III Study of a new agent simulant, a modifed undergarment fabric theoretical protteclive life, USA 1980), диамилсульфида (Second International Simposium on Protection aqainst CWA, Stocrholm, June 1986) и др.
Сущность указанных способов оценки заключается в определении проницаемости иприта (по показателю времени защитного действия) через материалы СИЗ путем использования его имитатора на основании коэффициента пересчета, который является отношением времени защитного действия испытуемых образцов от иприта и имитатора. Наиболее распространенным зарубежом имитатором иприта в методиках оценки защитных свойств материалов СИЗ и изделий СИЗ в целом является малотоксичный МЭСК как наиболее близкий аналог иприта по совокупности физико-химических свойств (молекулярный вес, температура кипения, концентрация насыщенного пара, поверхностное натяжение, растворимость в воде и др.).
В России и за рубежом известны методы количественного химического анализа (КХА) МЭСК, которые применимы для оценки его проницаемости через защитные материалы. К ним относятся методы газожидкостной хроматографии, спектрофотометрические методы в УФ и ИК областях спектров, специфические методы с использованием ионселективных электродов.
Так, например, КХА паров МЭСК, прошедших непосредственно через материалы СИЗК фильтрующего типа, а также по местам сочленений и негерметичности конструкции изделия проводят с помощью прибора MIRA 1A – ирфракрасного детектора (Аlат Т., Paul S. Qrasso, Use of Methyl Salicylat as Trialing Chemical Agent Simulant Cdr, CRDEC, ATT N SM CCR-RSP, Aberdeen Proving Ground, MD 21010-5423, 1990).
Другой способ КХА, приведенный в этой работе, заключается в концентрировании паров МЭСК в трубках с сорбентом, расположенных на манекене под защитной одеждой, и последующей термической десорбцией в газовый хроматограф с пламенно-ионизационным или фотоионизационным детектором. Так, из трубки, наполненной сорбентом Тепах, МЭСК десорбируют при 250 С в течение 20 мин с эффективностью 95%.
Однако комплекс оборудования и реактивов вышеперечисленных методов включает дорогостоящие приборы. Кроме того, процессы массопереноса иприта и МЭСК через изолирующие защитные материалы различны вследствие существенных отличий в их химическом строении, поэтому способы оценки защитных свойств материалов СИЗ от иприта с использованием МЭСК распространяются только фильтросорбирующие материалы (Аlат Т., Paul S. Qrasso, Use of Methyl Salicylat as Trialing Chemical Agent Simulant Cdr, CRDEC, ATT N SM CCR-RSP, Aberdeen Proving Ground, MD 21010-5423, 1990).
Таким образом, задачей изобретения является разработка способа определения проницаемости иприта через защитные материалы с помощью имитатора иприта (I) с использованием доступного оборудования и реактивов.
Задача достигается путем последовательного выполнения следующих этапов исследований:
1. Оценка возможности определения имитатора (I) спектральным методом качественного анализа, который используется при определении времени защитного действия материалов по иприту.
2. Проведение сравнительных исследований по определению проницаемости защитных материалов с использованием иприта и имитатора (I).
3. Определение корреляционной связи между временем появления индикационного эффекта (ВПИЭ) за испытуемым образцом материалов, соответствующего критерию исчерпания его защитных свойств по иприту и имитатору (I).
Оценку защитных свойств материалов можно провести спектральным методом качественного анализа, основанным на визуальном способе индикации малых количеств иприта, проникших через материалы. В основу метода положена реакция иприта с хлорамином (ХА), при которой выделяется соляная кислота, способная изменять цвет индикатора (Kharasch N. Organic sulphur compounds. Symposium publication division. Oxford, Pergamon Press, 1961, p.1-624).
Индикацию иприта, прошедшего через образец материала, осуществляют визуальным способом при помощи индикаторной системы – ваты, бумаги, ткани или адсорбента, пропитанной растворами хлорамина и индикатора, которые изменяют свой цвет при взаимодействии соляной кислоты с индикатором.
Например, при использовании в качестве индикатора метил оранжевого происходит переход от желтой окраски к малиновой в интервале значений рН 3…4.
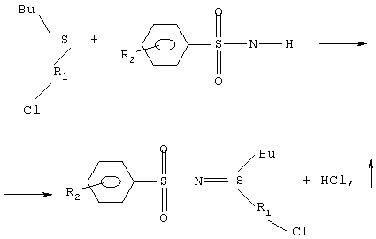
Положение атома серы и структура в молекулах имитатора (I) и иприта подобны, что предопределяет схожесть параметров процессов их химического взаимодействия с ХА с выделением соляной кислоты, вызывающей изменение окраски индикаторной ваты, по реакции:
где R1-alk-;
R2-alk-, alkO-, Hal
Для подтверждения вышесказанного провели сравнительную оценку ВПИЭ у индикаторной ваты по парам иприта и его имитатора (I). Индикаторную вату фиксировали на стекле размером 4 4 см, которое помещали над стеклянной кюветой размером 3 3 5 см. В кюветы наливали иприт и имитатор (I). Расстояние от стекла с индикаторной ватой до зеркала жидкости составляло 3 см. Температура испытаний составляла 21 2 С.
В результате испытаний установлено, что ВПИЭ у индикаторной ваты по парам иприта составляет 30 с, по парам имитатора (I) – 15 с, а по парам МЭСК индикационный эффект отсутствует, что свидетельствует о возможности использования имитатора (I) вместо иприта для оценки проницаемости материалов и сокращении затрат времени на оценку защитных свойств.
На следующем этапе провели оценку проницаемости прорезиненных тканей на основе бутилкаучука (БК) по иприту и его имитатору.
Объектами испытаний являлись прорезиненные ткани на основе БК с односторонним и двусторонним покрытиями.
Комплекс оборудования для испытаний включал: прибор, представляющий диффузионную ячейку (чертеж), термостат для поддержания постоянной температуры испытаний и микрошприц (бюретка с ценой деления 0,002 мл) для нанесения капель на поверхность образцов материалов.
Порядок испытаний был следующий: комплектовали испытуемые образцы материалов бязью, на которую помещали индикаторную вату, распределенную по всей ее площади; образцы закрепляли в приборе между корпусом 2 и дном 1 прибора (индикаторная вата – под стеклом дна 1); приборы помещали в термостат и выдерживали их при температуре испытаний 38 2 С не менее 20 мин, после этого их извлекали из термостата и на поверхность испытуемых образцов материалов при помощи микрошприца наносили капли иприта или его имитатора (I).
При помощи зеркала 3 через каждые 5 мин наблюдали за цветом индикаторной ваты. Время появления малиновой окраски у индикаторной ваты на участке площадью 2…4 мм2 считали временем защитного действия (ВЗД) образцов от иприта и его имитатора (I).
Результаты экспериментальных исследований представлены в таблице.
Анализ данных таблицы показывает, что время защитного действия испытуемых образцов материалов от капель иприта в среднем в 6…10 раз больше, чем при испытаниях по имитатору (I) в аналогичных условиях.
Параметром корреляционной связи является коэффициент пересчета, который представляет собой отношение значений ВЗД по иприту и его имитатору (I):
Коэффициент пересчета для прорезиненной ткани с односторонним полимерным покрытием составляет 9,9, а с двусторонним полимерным покрытием – 5,6.
Таким образом, предлагаемый способ позволяет определять проницаемость иприта через защитные материалы спектральным методом качественного анализа путем использовании -(хлорэтил)бутилсульфида.
Формула изобретения Способ определения проницаемости , ‘-дихлордиэтилсульфида через защитные материалы спектральным методом качественного анализа по времени защитного действия материала при использовании -(хлорэтил)бутилсульфида в качестве имитатора , ‘-дихлордиэтилсульфида, на основании коэффициента пересчета
где ВЗДддс и ВЗДимит – время защитного действия материала соответственно от , ‘-дихлордиэтилсульфида и имитатора.
РИСУНКИ
MM4A Досрочное прекращение действия патента Российской Федерации на изобретение из-за неуплаты в установленный срок пошлины за поддержание патента в силе
Дата прекращения действия патента: 05.10.2004
Извещение опубликовано: 10.06.2006 БИ: 16/2006
|
||||||||||||||||||||||||||

,
Использование имитаторов обусловлено тем, что в последние годы было существенно сокращено количество токсичных химикатов (ТХ), предназначенных для проведения исследований и испытаний по оценке защитных свойств средств индивидуальной защиты (СИЗ) в связи с вступлением в силу Конвенции о запрещении химического оружия. При этом объемы проводимых испытаний образцов СИЗ в ходе их разработки, производства, эксплуатации и хранения остаются на прежнем уровне.
В настоящее время известны способы оценки защитных свойств перспективных образцов материалов и изделий из них от иприта с использованием имитаторов: метилового эфира салициловой кислоты (МЭСК) (Аlат Т., Paul S. Qrasso, Use of Methyl Salicylat as Trialing Chemical Agent Simulant Cdr, CRDEC, ATT N SM CCR-RSP, Aberdeen Proving Ground, MD 21010-5423, 1990), дихлорэтилового эфира (Perspiration poisoning of prottective clothing materials-part III Study of a new agent simulant, a modifed undergarment fabric theoretical protteclive life, USA 1980), диамилсульфида (Second International Simposium on Protection aqainst CWA, Stocrholm, June 1986) и др.
Сущность указанных способов оценки заключается в определении проницаемости иприта (по показателю времени защитного действия) через материалы СИЗ путем использования его имитатора на основании коэффициента пересчета, который является отношением времени защитного действия испытуемых образцов от иприта и имитатора. Наиболее распространенным зарубежом имитатором иприта в методиках оценки защитных свойств материалов СИЗ и изделий СИЗ в целом является малотоксичный МЭСК как наиболее близкий аналог иприта по совокупности физико-химических свойств (молекулярный вес, температура кипения, концентрация насыщенного пара, поверхностное натяжение, растворимость в воде и др.).
В России и за рубежом известны методы количественного химического анализа (КХА) МЭСК, которые применимы для оценки его проницаемости через защитные материалы. К ним относятся методы газожидкостной хроматографии, спектрофотометрические методы в УФ и ИК областях спектров, специфические методы с использованием ионселективных электродов.
Так, например, КХА паров МЭСК, прошедших непосредственно через материалы СИЗК фильтрующего типа, а также по местам сочленений и негерметичности конструкции изделия проводят с помощью прибора MIRA 1A – ирфракрасного детектора (Аlат Т., Paul S. Qrasso, Use of Methyl Salicylat as Trialing Chemical Agent Simulant Cdr, CRDEC, ATT N SM CCR-RSP, Aberdeen Proving Ground, MD 21010-5423, 1990).
Другой способ КХА, приведенный в этой работе, заключается в концентрировании паров МЭСК в трубках с сорбентом, расположенных на манекене под защитной одеждой, и последующей термической десорбцией в газовый хроматограф с пламенно-ионизационным или фотоионизационным детектором. Так, из трубки, наполненной сорбентом Тепах, МЭСК десорбируют при 250
С в течение 20 мин с эффективностью 95%.
Однако комплекс оборудования и реактивов вышеперечисленных методов включает дорогостоящие приборы. Кроме того, процессы массопереноса иприта и МЭСК через изолирующие защитные материалы различны вследствие существенных отличий в их химическом строении, поэтому способы оценки защитных свойств материалов СИЗ от иприта с использованием МЭСК распространяются только фильтросорбирующие материалы (Аlат Т., Paul S. Qrasso, Use of Methyl Salicylat as Trialing Chemical Agent Simulant Cdr, CRDEC, ATT N SM CCR-RSP, Aberdeen Proving Ground, MD 21010-5423, 1990).
Таким образом, задачей изобретения является разработка способа определения проницаемости иприта через защитные материалы с помощью имитатора иприта (I) с использованием доступного оборудования и реактивов.
Задача достигается путем последовательного выполнения следующих этапов исследований:
1. Оценка возможности определения имитатора (I) спектральным методом качественного анализа, который используется при определении времени защитного действия материалов по иприту.
2. Проведение сравнительных исследований по определению проницаемости защитных материалов с использованием иприта и имитатора (I).
3. Определение корреляционной связи между временем появления индикационного эффекта (ВПИЭ) за испытуемым образцом материалов, соответствующего критерию исчерпания его защитных свойств по иприту и имитатору (I).
Оценку защитных свойств материалов можно провести спектральным методом качественного анализа, основанным на визуальном способе индикации малых количеств иприта, проникших через материалы. В основу метода положена реакция иприта с хлорамином (ХА), при которой выделяется соляная кислота, способная изменять цвет индикатора (Kharasch N. Organic sulphur compounds. Symposium publication division. Oxford, Pergamon Press, 1961, p.1-624).
Индикацию иприта, прошедшего через образец материала, осуществляют визуальным способом при помощи индикаторной системы – ваты, бумаги, ткани или адсорбента, пропитанной растворами хлорамина и индикатора, которые изменяют свой цвет при взаимодействии соляной кислоты с индикатором.
Например, при использовании в качестве индикатора метил оранжевого происходит переход от желтой окраски к малиновой в интервале значений рН 3…4.
Положение атома серы и структура в молекулах имитатора (I) и иприта подобны, что предопределяет схожесть параметров процессов их химического взаимодействия с ХА с выделением соляной кислоты, вызывающей изменение окраски индикаторной ваты, по реакции:
где R1-alk-;
R2-alk-, alkO-, Hal
Для подтверждения вышесказанного провели сравнительную оценку ВПИЭ у индикаторной ваты по парам иприта и его имитатора (I). Индикаторную вату фиксировали на стекле размером 4
4 см, которое помещали над стеклянной кюветой размером 3
2
Анализ данных таблицы показывает, что время защитного действия испытуемых образцов материалов от капель иприта в среднем в 6…10 раз больше, чем при испытаниях по имитатору (I) в аналогичных условиях.
Параметром корреляционной связи является коэффициент пересчета, который представляет собой отношение значений ВЗД по иприту и его имитатору (I):
Коэффициент пересчета для прорезиненной ткани с односторонним полимерным покрытием составляет 9,9, а с двусторонним полимерным покрытием – 5,6.
Таким образом, предлагаемый способ позволяет определять проницаемость иприта через защитные материалы спектральным методом качественного анализа путем использовании
где ВЗДддс и ВЗДимит – время защитного действия материала соответственно от