Патент на изобретение №2231057
|
||||||||||||||||||||||||||
(54) СПОСОБ НЕРАЗРУШАЮЩЕГО КОНТРОЛЯ СТЕПЕНИ ПОВРЕЖДЕННОСТИ МЕТАЛЛОВ ЭКСПЛУАТИРУЕМЫХ ЭЛЕМЕНТОВ ТЕПЛОЭНЕРГЕТИЧЕСКОГО ОБОРУДОВАНИЯ
(57) Реферат: Изобретение относится к способам исследования или анализа материалов с помощью акустических волн. Предложен способ неразрушающего контроля степени поврежденности металлов эксплуатируемых элементов теплоэнергетического оборудования, основанный на определении критерия степени поврежденности металлов элементов и определении по нему временной зависимости от момента контроля до вероятного разрушения элемента теплоэнергетического оборудования. При этом замеряют задержку поверхностной волны ультразвуковых колебаний на поверхности металла нового элемента, в зоне аварийного разрушения металла элемента и на поверхности металла в контролируемой зоне элемента, находящегося в процессе эксплуатации. Предложенный способ позволяет дать не только количественную оценку степени поврежденности поверхности металла элемента в процессе его эксплуатации, но и связать его со временем возможно допустимой эксплуатации. 1 с. и 1 з.п. ф-лы. Изобретение относится к способам исследования или анализа материалов с помощью акустических волн, в частности к способам неразрушающего контроля путем исследования скорости распространения акустических волн и измерения скорости их затухания. В процессе длительной эксплуатации энергооборудования при высоких температурах и давлениях в металле происходят сложные физико-химические процессы, связанные в первую очередь с распадом перлитовой составляющей микроструктуры, коагуляцией и сфероидизацией карбидов, образованием микропор либо клиновидных трещин. Наибольшую опасность с точки зрения надежности энергооборудования представляют гибы (отводы) паропроводных и пароперепускных труб, в которых, несмотря на одинаковую температуру эксплуатации прямых участков труб, скорость накопления микроповрежденностей значительно выше, что можно объяснить высоким уровнем дополнительных действующих напряжений, зависящих от формы гиба, компенсационных напряжений, напряжений от весовых нагрузок и др. Измерение степени поврежденности металла вследствие изменения его микроструктуры в процессе эксплуатации непосредственно на объекте довольно сложная и трудоемкая задача. В энергетике существует система контроля за металлом, так называемая система неразрушающего контроля с использованием метода акустической эмиссии (см. Госгортехнадзор России, ГУП и НТЦ “Промышленная безопасность”. Сборник документов. Серия 28. Выпуск 2001 г.). В основу метода акустической эмиссии положена, в частности, работа по оценке надежности металлов паропроводов (см. Смирнов А.Н. Работоспособность теплоустойчивых сталей в зависимости от структурных изменений и оценка ее методом акустической эмиссии: Автореф. дис…канд. техн.наук. – Новокузнецк, 1985). Метод акустической эмиссии основан на испускании материалом упругих волн, вызванных динамической локальной перестройкой его структуры. К недостаткам метода акустической эмиссии как способа неразрушающего контроля степени поврежденности металла следует отнести: – сложность и большую стоимость аппаратуры контроля; – не явную связь между повреждением поверхности металла и временными параметрами процесса разрушения при эксплуатации оборудования. Наиболее близким к изобретению следует отнести метод ультразвукового контроля шероховатости поверхности (см. Васильев А.Г., Муравьев В.В., Смирнов А.Н. Ультразвуковой метод контроля шероховатости поверхности/ РАН. – Дефектоскопия, №2. Отдельный выпуск, 1994). В основу метода положено влияние шероховатости поверхности на распространение поверхностной акустической волны. Процесс измерения скорости ультразвуковых колебаний происходит следующим образом: датчики с фиксированной базой устанавливаются вдоль образующей элемента энергооборудования в исходном состоянии и на образующей эталонного цилиндрического образца, шероховатость поверхности которого замерена и должна соответствовать требованиям, предъявляемым к подготовленным к эксплуатации элементам теплоэнергооборудования. При этом было замечено, что задержка поверхностной волны ультразвуковых колебаний зависит и от повреждений поверхности, не связанных с ее обработкой. К недостаткам метода ультразвукового контроля шероховатости (поврежденности) поверхности следует отнести то обстоятельство, что даже при допущении идентичности влияния шероховатости поверхности металла и структурных изменений его в процессе эксплуатации на скорость ультразвуковых колебаний можно было оценить только количественные изменения состояния металла элемента косвенным способом. Сущность изобретения заключается в определении критерия степени поврежденности металла элементов энергооборудования. Для этого замеряется задержка поверхностной волны ультразвуковых колебаний на поверхности металла нового элемента, задержка поверхностной волны в зоне аварийного разрушения металла элемента и задержка поверхностной волны на поверхности металла в контролируемой зоне элемента, находящегося в процессе эксплуатации. Затем определяется критерий Кn степени поврежденности поверхности металла элемента из соотношения
где W0 – среднестатистическая задержка поверхностной волны на поверхности металла новых элементов;
Wp – среднестатистическая задержка поверхностной волны на поверхности металла в зоне разрушения элемента;
Wt – задержка поверхностной волны на поверхности металла в контролируемой зоне элемента в процессе эксплуатации.
Критерий Кn степени поврежденности поверхности металла элемента, выраженный в относительных единицах, позволяет судить о количественной величине поврежденности и прекращать эксплуатацию теплоэнерготического оборудования для замены контролируемого элемента, исходя из соотношения Кn=0,7-0,9.
Для стали марки 12Х1МФ при нормальных условиях эксплуатации 0=6440 нс, Wp=6540 нc.
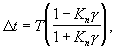
Замеры задержки поверхностной волны для времени эксплуатации 0,25; 0,5; 0,75 от времени работы элемента теплоэнергооборудования до разрушения показали значения Wt соответственно 6454, 6473, 6500 нс, причем критерий состояния поврежденности имел значения Кn соответственно 0,139; 0,328 и 0,602. Так как значения критерия Кп состояния поврежденности металла для нового (Wt=W0) и разрушенного (Wt=Wp) элементов оборудования имеет соответственно значения 0 и 1, то была отмечена его непропорциональная зависимость от времени эксплуатации, в соответствии с которой время до разрушения элемента определяют из соотношения
где Т – среднестатистическое время эксплуатации элемента из определенного металла до его разрушения, ч;
=1-1,2 – коэффициент, учитывающий условия эксплуатации.
Успех использования предлагаемого подхода к задачам прогнозирования и оценки степени поврежденности металла энергооборудования в значительной степени определяется уровнем аппаратно-программных средств поддержки спектрально-акустического метода.
Нами использована автоматизированная спектрально-акустическая система “АСТРОН”. В основу работы аппаратной части системы положен способ подробной регистрации всей серии отраженных акустических импульсов для ее последующей обработки средствами программной части системы. В обрабатывающей части системы (компьютер типа NOTEBOOK) производится последовательное преобразование осциллограммы отраженных импульсов с определенным шагом дискредитации с момента зондирования металла до прихода п-го отраженного импульса.
По значению критерия Кn степени поврежденности поверхности металла можно установить время до вероятного момента разрушения металла элемента, а также рациональный промежуток времени до следующего контрольного замера или определить достаточно точно время замены элемента оборудования до его аварийного разрушения.
Таким образом, предложенный способ впервые позволяет дать не только количественную оценку степени поврежденности поверхности металла элемента в процессе его эксплуатации, но и связать его со временем возможной (допустимой) эксплуатации.
Формула изобретения 1. Способ неразрушающего контроля степени поврежденности металлов эксплуатируемых элементов теплоэнергетического оборудования, включающий определение времени задержки ультразвуковой поверхностной волны, отличающийся тем, что определение времени задержки поверхностной волны производят на поверхности нового элемента, в зоне разрушения элемента и в контролируемой зоне эксплуатируемого элемента, а затем определяют критерий степени поврежденности эксплуатируемого элемента из соотношения
где Кп – критерий степени поврежденности металла в относительных единицах;
W0 – среднестатистическое время задержки ультразвуковой поверхностной волны на поверхности новых элементов, нс;
Wр – среднестатистическое время задержки ультразвуковой поверхностной волны на поверхности металла в зоне разрушения элемента, нс;
W1 – время задержки ультразвуковой поверхностной волны на поверхности эксплуатируемого элемента, нс,
причем замену эксплуатируемого элемента производят при условии Кп=0,7-0,9.
2. Способ по п.1, отличающийся тем, что время эксплуатации элемента определяют из соотношения
где t – время работы эксплуатируемого элемента до его вероятного разрушения от момента контроля, ч;
Т – среднестатистический срок эксплуатации элемента до его разрушения, ч;
– коэффициент, учитывающий условия эксплуатации элемента, =1 1,2.
MM4A – Досрочное прекращение действия патента СССР или патента Российской Федерации на изобретение из-за неуплаты в установленный срок пошлины за поддержание патента в силе
Дата прекращения действия патента: 14.05.2009
Извещение опубликовано: 27.06.2010 БИ: 18/2010
NF4A Восстановление действия патента СССР или патента Российской Федерации на изобретение
Дата, с которой действие патента восстановлено: 10.07.2010
Извещение опубликовано: 10.07.2010 БИ: 19/2010
|
||||||||||||||||||||||||||

где W0 – среднестатистическая задержка поверхностной волны на поверхности металла новых элементов;
Wp – среднестатистическая задержка поверхностной волны на поверхности металла в зоне разрушения элемента;
Wt – задержка поверхностной волны на поверхности металла в контролируемой зоне элемента в процессе эксплуатации.
Критерий Кn степени поврежденности поверхности металла элемента, выраженный в относительных единицах, позволяет судить о количественной величине поврежденности и прекращать эксплуатацию теплоэнерготического оборудования для замены контролируемого элемента, исходя из соотношения Кn=0,7-0,9.
Для стали марки 12Х1МФ при нормальных условиях эксплуатации 0=6440 нс, Wp=6540 нc.
Замеры задержки поверхностной волны для времени эксплуатации 0,25; 0,5; 0,75 от времени работы элемента теплоэнергооборудования до разрушения показали значения Wt соответственно 6454, 6473, 6500 нс, причем критерий состояния поврежденности имел значения Кn соответственно 0,139; 0,328 и 0,602. Так как значения критерия Кп состояния поврежденности металла для нового (Wt=W0) и разрушенного (Wt=Wp) элементов оборудования имеет соответственно значения 0 и 1, то была отмечена его непропорциональная зависимость от времени эксплуатации, в соответствии с которой время до разрушения элемента определяют из соотношения
где Т – среднестатистическое время эксплуатации элемента из определенного металла до его разрушения, ч;
=1-1,2 – коэффициент, учитывающий условия эксплуатации.
Успех использования предлагаемого подхода к задачам прогнозирования и оценки степени поврежденности металла энергооборудования в значительной степени определяется уровнем аппаратно-программных средств поддержки спектрально-акустического метода.
Нами использована автоматизированная спектрально-акустическая система “АСТРОН”. В основу работы аппаратной части системы положен способ подробной регистрации всей серии отраженных акустических импульсов для ее последующей обработки средствами программной части системы. В обрабатывающей части системы (компьютер типа NOTEBOOK) производится последовательное преобразование осциллограммы отраженных импульсов с определенным шагом дискредитации с момента зондирования металла до прихода п-го отраженного импульса.
По значению критерия Кn степени поврежденности поверхности металла можно установить время до вероятного момента разрушения металла элемента, а также рациональный промежуток времени до следующего контрольного замера или определить достаточно точно время замены элемента оборудования до его аварийного разрушения.
Таким образом, предложенный способ впервые позволяет дать не только количественную оценку степени поврежденности поверхности металла элемента в процессе его эксплуатации, но и связать его со временем возможной (допустимой) эксплуатации.
где Кп – критерий степени поврежденности металла в относительных единицах;
W0 – среднестатистическое время задержки ультразвуковой поверхностной волны на поверхности новых элементов, нс;
Wр – среднестатистическое время задержки ультразвуковой поверхностной волны на поверхности металла в зоне разрушения элемента, нс;
W1 – время задержки ультразвуковой поверхностной волны на поверхности эксплуатируемого элемента, нс,
причем замену эксплуатируемого элемента производят при условии Кп=0,7-0,9.
2. Способ по п.1, отличающийся тем, что время эксплуатации элемента определяют из соотношения
где
t – время работы эксплуатируемого элемента до его вероятного разрушения от момента контроля, ч;
Т – среднестатистический срок эксплуатации элемента до его разрушения, ч;
1,2.