Патент на изобретение №2230290
|
||||||||||||||||||||||||||
(54) ИЗМЕРИТЕЛЬ ПЛОЩАДИ МЕТАЛЛИЗАЦИИ
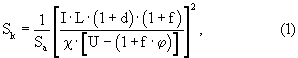
(57) Реферат: Изобретение относится к устройствам контроля геометрических величин электрическими методами, в частности площади металлизации печатных плат в процессе электроосаждения. Технический результат: снижение погрешности измерения площади металлизации путем коррекции результата с учетом изменения площади анода. Сущность изобретения: устройство содержит силовой источник тока, преобразователи тока, напряжения, удельной проводимости в аналоговые сигналы и блоки обработки результатов измерений, преобразующие полученные данные в сигнал площади металлизации. Новым является использование канала измерения площади анода и второго делителя напряжения, осуществляющих коррекцию результатов измерения площади металлизации. 1 ил. Изобретение относится к измерительной технике и может быть использовано для измерения площади электропроводных деталей, погруженных в гальваническую ванну, при электрохимическом осаждении покрытий в процессе металлизации. Известен измеритель площади металлизации [1], содержащий ванну с электролитом, с погруженными в нее электродами, кондуктометрический первичный измерительный преобразователь тока и напряжения гальванопары в сигнал площади, скорректированный на величину удельной проводимости. Но в этом измерителе не учитывается изменение площади анода, растворяемого в процессе нанесения гальванопокрытий, что при использовании прибора в системах автоматического задания плотности тока может привести к росту потерь на брак. Целью изобретения является снижение погрешности измерения при изменении площади анода в процессе металлизации. Указанная цель достигается тем, что в измеритель площади металлизации, содержащий масштабный усилитель, квадратор, сумматор, первый делитель напряжения, индикатор площади, ванну с электролитом, с закрепленными в ней штангами анодом и изделием, источник тока, положительный полюс которого соединен с первым входом преобразователя напряжение – напряжение и через штангу с анодом, а отрицательный – с входом преобразователя ток – напряжение, первый выход которого соединен с первым входом первого делителя напряжения, второй вход преобразователя напряжение – напряжение соединен через штангу с изделием, а выход – с первым входом вычитающего сумматора, к второму входу которого подключен генератор уставки. Выход вычитающего сумматора соединен со вторым входом аналогового перемножителя, первый вход которого через блок измерителя удельной проводимости соединен с выходом кондуктометрического первичного измерительного преобразователя, погруженного в ванну, а выход – с вторым входом первого делителя напряжения. Выход первого делителя напряжения соединен со входом квадратора, а выход масштабного усилителя соединен с индикатором площади. В устройство дополнительно введены блок измерения площади анода и второй делитель напряжения. Первый вход блока измерения площади анода соединен с вторым выходом преобразователя ток – напряжение, а второй вход – с вторым входом преобразователя напряжение – напряжение. Выход блока измерения площади анода соединен с вторым входом второго делителя напряжения, первый вход второго делителя напряжения соединен с выходом квадратора, а выход второго делителя напряжения соединен со входом масштабного усилителя. На чертеже приведена схема измерителя площади металлизации. Источник тока 6 в заполненной электролитом 2 ванне 1, в которую погружены с помощью штанг 3 анод 4 и изделие 5, создает ток, который аналоговым преобразователем ток – напряжение 8 преобразуется в токовый сигнал, а напряжение на гальванопаре аналоговым преобразователем напряжение – напряжение 7 – в сигнал напряжения, который поступает на первый вход вычитающего сумматора 10, на второй вход которого поступает напряжение с генератора уставки 11. В ванну 1 погружен также кондуктометрический первичный измерительный преобразователь (ПИП) 17, подключенный к входу блока измерения удельной проводимости 16, сигнал с выхода которого поступает на первый вход аналогового перемножителя 15, на второй вход которого поступает напряжение с выхода сумматора 10. С выхода аналогового перемножителя 15 сигнал поступает на второй вход первого делителя напряжения 9, на первый вход первого делителя напряжения 9 поступает напряжение с первого выхода преобразователя ток – напряжение 8. Сигнал с выхода первого делителя напряжения 9 поступает на вход квадратора 13. Первый вход блока измерения площади анода 19 соединен с вторым выходом преобразователя ток – напряжение 8, а второй вход блока измерения площади анода 19 соединен с вторым входом преобразователя напряжение – напряжение 7. Сигнал с выхода блока измерения площади анода 19 поступает на второй вход второго делителя напряжения 18. На первый вход второго делителя 18 поступает напряжение с выхода квадратора 13, сигнал с выхода второго делителя 18 через масштабный усилитель 12 подается на индикатор площади 14. В отличие от известных в предлагаемый измеритель площади металлизации введена автоматическая коррекция результатов по изменению площади анода, что обеспечивает более высокую точность измерений. Принцип действия измерителя площади основан на том, что площадь металлизации катода Sk связана с током I и напряжением U на электродах гальванопары соотношением [2, 3]
где Sa – площадь анода;
L – расстояние между анодом и катодом;
d и f – эмпирические коэффициенты, учитывающие потери энергии в электролизе за счет газонаполнения и в контактах электрической цепи соответственно;
– электродная разность потенциалов,
– удельная проводимость электролита.
Из (1) вытекает, что
являются постоянными.
Таким образом, для определения площади металлизации изделия k следует реализовать алгоритм (2), для этого необходимо сформировать сигналы: тока I, напряжения U, контактной разности потенциалов k, удельной проводимости и площади анода Sa.
Для формирования токового сигнала введен преобразователь ток – напряжение 8, одновременно осуществляющий развязку силовой и измерительной цепей. Если крутизна преобразования ток – напряжение С, то на первом выходе блока 8 формируется сигнал
Сигнал напряжения гальванопары формируется преобразователем напряжение – напряжение 7, т.е.
где В – масштабный коэффициент блока 7.
Контактная разность потенциалов k определяется составом гальваноцепи и в данном технологическом процессе постоянна. Она определяется по справочным данным [2] и задается генератором уставки 11. Но для удобства реализации измерителя выгодно генератором уставки 11 задавать величину напряжения В· k. Тогда на выходе вычитающего сумматора 10 с учетом (6) получим
Если коэффициент преобразования блока измерения удельной проводимости 16 М, то сигнал кондуктометрического ПИП 17 на выходе блока 16 преобразуется в напряжение
Напряжения Uc и U вводятся на входы аналогового перемножителя 15 и на его выходе имеем
где N – масштабный коэффициент перемножителя 15.
На входы делителя напряжения 9 вводятся сигналы: Ui в качестве делимого и Un – делителя, поэтому выходное напряжение с учетом (5) и (9) равно
где D – масштабный коэффициент деления.
С выхода делителя 9 напряжение поступает на вход квадратора 13, на выходе которого действует напряжение
где Е – масштабный коэффициент квадратора.
Сигнал площади анода, формируемый блоком измерения площади ранода 19, равен
где R – коэффициент преобразования блока 19.
Напряжение с выхода блока измерения площади анода Ua подается на вход делителя напряжения 18 в качестве делителя, а напряжение Uk, с выхода квадратора 13 – в качестве делимого, тогда выходное напряжение делителя 18 с учетом (10) и (12) равно
где Т – масштабный коэффициент деления.
Напряжение UT подается на вход масштабного усилителя 12 и с его выхода на индикатор площади 14. На выходе масштабного усилителя 12 с коэффициентом передачи К формируется напряжение, равное
Для обеспечения прямого отсчета площади металлизации коэффициент К выбирается равным
где F – коэффициент, имеющий размерность
С учетом (13) и (14) имеем
Сравнивая выражения (16) и (2), находим, что они идентичны, т.е. (16) реализует алгоритм (2) измерения площади металлизации Sk.
Измеритель площади металлизации работает следующим образом. Изделие 5, закрепленное на штанге 3, опускается в ванну с электролитом 2. В ванне на второй штанге закреплены анод 4 и кондуктометрический ПИП 17. Источник питания 6 создает в ванне ток, который аналоговым преобразователем ток -напряжение 8 преобразуется в напряжение токового сигнала Ui, а напряжение на электродах гальванопары 4-5 аналоговым преобразователем напряжение – напряжение 7 – в сигнал напряжения Uu. В вычитающем сумматоре 10 реализуется вычитание из сигнала напряжения Uu напряжения, пропорционального электродной разности потенциалов В· k, поступающего от генератора уставки 11.
Блок измерения удельной проводимости электролита 16 формирует напряжение, пропорциональное удельной проводимости электролита U , которое перемножается аналоговым перемножителем 15 на выходное напряжение вычитающего сумматора 10. В делителе 9 формируется сигнал, пропорциональный отношению ток – напряжение гальванопары 4-5, который после возведения в квадрат блоком 13 преобразуется в сигнал квадрата эффективной площади гальванопары, пропорциональный произведению Sk·Sa. Сигнал квадрата эффективной площади гальванопары с выхода квадратора 13 подается на вход делимого блока 18, а сигнал площади анода, сформированный в блоке измерения площади анода 19, – на вход делителя блока 18. В результате на выходе делителя напряжения 18 формируется сигнал, пропорциональный площади изделия Sk. Для обеспечения прямого отсчета площади металлизации изделия сигнал Sk вводится на индикатор площади металлизации 14 через масштабный усилитель 12.
Автоматический учет изменения площади анода при его растворении в процессе эксплуатации позволяет увеличить точность измерения площади катода, что при включении измерителя металлизации в состав систем автоматического управления током гальванических ванн обеспечивает уменьшение расхода материалов, сокращение энергопотребления, повышение степени автоматизации процесса нанесения покрытий. Так, при использовании предложенного измерителя площади металлизации совместно с устройством контроля площади анода по [4] в составе широко распространенной гальванической установки фирмы Schering – DYNA точность установки тока повышается на 7-10 процентов.
Структура нового измерителя площади металлизации содержит в основном блоки, выпускаемые в бескорпусном исполнении, что позволяет оформлять устройство в виде гибридной интегральной микросхемы. Предложенный алгоритм обработки данных обеспечивает линейный выход по информативному параметру.
Источники информации
1. А.с. СССР №1763881, 1992, БИ №35.
2. Гальванические покрытия в машиностроении. Справочник т.1. Под ред. М.А. Шлугера. – М.: Машиностроение, 1985.
3. Данилов Ю.В., Подкин Ю.Г. Гальванический измеритель площади покрытий. ПТЭ, №5, 1989.
4. А.с. СССР №1763880, 1992, БИ №35.
Формула изобретения Измеритель площади металлизации, содержащий масштабный усилитель, квадратор, сумматор, первый делитель напряжения, индикатор площади, ванну с электролитом, с закрепленными в ней штангами анодом и изделием, источник тока, положительный полюс которого соединен с первым входом преобразователя напряжение – напряжение и через штангу – с анодом, а отрицательный – с входом преобразователя ток – напряжение, первый выход которого соединен с первым входом первого делителя напряжения, второй вход преобразователя напряжение – напряжение соединен через штангу с изделием, а выход – с первым входом вычитающего сумматора, к второму входу которого подключен генератор уставки, выход вычитающего сумматора соединен со вторым входом аналогового перемножителя, первый вход которого через блок измерителя удельной проводимости соединен с выходом кондуктометрического первичного измерительного преобразователя, погруженного в ванну, а выход – с вторым входом первого делителя напряжения, выход первого делителя напряжения соединен со входом квадратора, а выход масштабного усилителя соединен с индикатором площади, отличающийся тем, что в устройство дополнительно введены блок измерения площади анода и второй делитель напряжения, первый вход блока измерения площади анода соединен с вторым выходом преобразователя ток – напряжение, а второй вход – с вторым входом преобразователя напряжение – напряжение, выход блока измерения площади анода соединен с вторым входом второго делителя напряжения, первый вход второго делителя напряжения соединен с выходом квадратора, а выход второго делителя напряжения соединен со входом масштабного усилителя. РИСУНКИ
MM4A Досрочное прекращение действия патента Российской Федерации на изобретение из-за неуплаты в установленный срок пошлины за поддержание патента в силе
Дата прекращения действия патента: 22.03.2005
Извещение опубликовано: 10.06.2006 БИ: 16/2006
|
||||||||||||||||||||||||||

где Sa – площадь анода;
L – расстояние между анодом и катодом;
d и f – эмпирические коэффициенты, учитывающие потери энергии в электролизе за счет газонаполнения и в контактах электрической цепи соответственно;
– электродная разность потенциалов,
– удельная проводимость электролита.
Из (1) вытекает, что
являются постоянными.
Таким образом, для определения площади металлизации изделия k следует реализовать алгоритм (2), для этого необходимо сформировать сигналы: тока I, напряжения U, контактной разности потенциалов
Сигнал напряжения гальванопары формируется преобразователем напряжение – напряжение 7, т.е.
где В – масштабный коэффициент блока 7.
Контактная разность потенциалов
Если коэффициент преобразования блока измерения удельной проводимости 16 М, то сигнал кондуктометрического ПИП 17 на выходе блока 16 преобразуется в напряжение
Напряжения Uc и U
где N – масштабный коэффициент перемножителя 15.
На входы делителя напряжения 9 вводятся сигналы: Ui в качестве делимого и Un – делителя, поэтому выходное напряжение с учетом (5) и (9) равно
где D – масштабный коэффициент деления.
С выхода делителя 9 напряжение поступает на вход квадратора 13, на выходе которого действует напряжение
где Е – масштабный коэффициент квадратора.
Сигнал площади анода, формируемый блоком измерения площади ранода 19, равен
где R – коэффициент преобразования блока 19.
Напряжение с выхода блока измерения площади анода Ua подается на вход делителя напряжения 18 в качестве делителя, а напряжение Uk, с выхода квадратора 13 – в качестве делимого, тогда выходное напряжение делителя 18 с учетом (10) и (12) равно
где Т – масштабный коэффициент деления.
Напряжение UT подается на вход масштабного усилителя 12 и с его выхода на индикатор площади 14. На выходе масштабного усилителя 12 с коэффициентом передачи К формируется напряжение, равное
Для обеспечения прямого отсчета площади металлизации коэффициент К выбирается равным
где F – коэффициент, имеющий размерность
С учетом (13) и (14) имеем
Сравнивая выражения (16) и (2), находим, что они идентичны, т.е. (16) реализует алгоритм (2) измерения площади металлизации Sk.
Измеритель площади металлизации работает следующим образом. Изделие 5, закрепленное на штанге 3, опускается в ванну с электролитом 2. В ванне на второй штанге закреплены анод 4 и кондуктометрический ПИП 17. Источник питания 6 создает в ванне ток, который аналоговым преобразователем ток -напряжение 8 преобразуется в напряжение токового сигнала Ui, а напряжение на электродах гальванопары 4-5 аналоговым преобразователем напряжение – напряжение 7 – в сигнал напряжения Uu. В вычитающем сумматоре 10 реализуется вычитание из сигнала напряжения Uu напряжения, пропорционального электродной разности потенциалов В·