Патент на изобретение №2230065
|
||||||||||||||||||||||||||
(54) ЗАМЕЩЕННЫЕ ТРИАЗОЛИЛ-1,3,5-ТРИАЗИНЫ В КАЧЕСТВЕ РОСТСТИМУЛЯТОРОВ ПШЕНИЦЫ
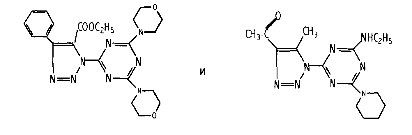
(57) Реферат: Изобретение относится к органической химии и сельскому хозяйству, в частности к производным 1,3,5-триазина в качестве стимуляторов прорастания семян. Описываются замещенные триазолил-1,3,5-триазины строения:
в качестве ростстимуляторов семян и проростков пшеницы. Технический результат – получены новые соединения, обладающие полезными биологическими свойствами. 1 табл.
Изобретение относится к химии и сельскому хозяйству, конкретно к замещенным 1,3,5-триазинам в качестве стимуляторов прорастания семян.
Известно применение индолил-3-уксусной кислоты (гетероауксина) строения:
который используют в качестве стимуляторов прорастания семян ауксинового типа действия, а также для стимуляции укоренения черенков плодовых и косточковых растений путем предварительного замачивания в водном растворе в течение 1 и 6 ч соответственно [см. Регуляторы роста растений./Под редакцией В.С. Шевелухи. – М.: Агропромиздат. 1990. – 192 с.]. Недостатками применения гетероауксина являются относительно высокая стоимость (240 тыс. руб за кг на 10.12.02 г.), узкий спектр рекомендованных для обработки семян и относительно невысокая стимулирующая активность (он слабо стимулирует прибавку длины гипокотиля и корня проростков ).
Известны также 2-цианметилокси-4,6-бис-алкил(диалкил)амино-сим-триазины строения:
который применяют в качестве эффективного модификатора-соотвердителя эпоксидных олигомеров в композициях ангидридного отверждения [см. пат. РФ № 2187505. С.Н. Михайличенко, А.А. Чеснюк, Л.Д. Конюшкин, В.Н. Заплишный. 2-аллиламино-4,6-бис-(этоксикарбоксилатометиламино)-1,3,5-триазин в качестве эффективного модификатора-соотвердителя эпоксидных олигомеров в композициях ангидридного отверждения. Бюл. Изобр., 2002, № 23]. Применение его в качестве ростстимулятора неизвестно.
Техническим решением задачи является увеличение длины гипокотиля и корней проростков пшеницы и расширение ассортимента используемых стимуляторов.
Задача достигается получением новых производных ряда 1,3,5-триазина-2,4-бис(морфолил)-6-[(4’-фенил-5’-этилоксикарбонил-1’,2’,3’-триазол)-1-ил]-1,3,5-триазина и 2-этиламино-4-пиперидил-6-[(4’-метилкарбонил-5’-метил-1’,2’,3’-триазол)-1-ил]-1,3,5-триазина строения:
которые могут быть использованы в качестве эффективных рост-стимуляторов прорастания семян и увеличения длины гипокотиля и корня проростков пшеницы.
Новизна заявленного предложения усматривается в том, что предлагаются новые производные 2-замещенных 1,3,5-триазинов в качестве ростстимуляторов прорастания семян пшеницы, что позволяет увеличить параметры длины гипокотиля и корня. Они отличаются высокой ростстимулирующей активностью даже при высоких (1 10-4 мас.%) разбавлениях, что резко снижает расход по ДВ и улучшает экологическую обстановку, они также относительно просто и из дешевых исходных синтезируются, что снижает их стоимость.
При этом заявленные триазолил-триазины получают известным методом – взаимодействием соответствующих 2-азидо-4,6-дизамещенных 1,3,5-триазинов с эквимольным количеством метиленактивного дикарбонильного соединения в присутствии триэтиламина при температуре 30-40 С [см. Общая органическая химия./Под редакцией Д. Бартона и У.Д. Уоляиса. – М.: Химия, 1981, т.1, с.268]. Исходные 2-азидо-4,6-дизамещенные 1,3,5-триазины получают известным методом [см. Вейганд-Хильгетаг. Методы эксперимента в органической химии. – М.: Химия, 1969, с.443].
Использованные диметилформамид и триэтилоамин непосредственно перед употреблением очищают и высушивают по известным методикам [см. А. Гордон, Р. Форд. Спутник химика. М.: Мир. 1976. – 541 с.].
Для сравнения рострегулирующей активности используют известный ростстимулятор ауксинового типа действия индолилуксусную кислоту (гетероауксин) – прототип по применению.
Примеры исполнения заявленного предложения представлены ниже.
Пример 1. 2,4-Биc(мopфoлил)-6-[(4’-фeнил-5’-этилоксикарбонил-1’,2’,3’-триазол)-1-ил]-1,3,5-триазин (МЭКТ).
К раствору 1 г (3,8 ммоль) 2-азидо-4,6-диморфолил-1,3,5-триазина в 10 мл сухого и очищенного диметилфомамида при перемешивании и температуре 20 1 С, прибавляют по каплям смесь 1,48 г (7,6 ммоль) этилового эфира фенилуксусной кислоты и 0,77 г (7,6 ммоль) триэтиламина. Реакционную смесь перемешивают 48 ч при 30-40 С и при перемешивании тонкой струей выливают в 100 мл охлажденной до 10 С воды. Образовавшиеся белые хлопья отфильтровывают, тщательно промывают водой от остатков растворителя и триэтиламина и высушивают при 50-60 С. Получают 1,04 г (60%) МЭКТ в виде белого цвета порошка с т.пл. 204-205 С, не растворимого в воде и растворимого в спирте, ацетоне, хлористом метилене и других полярных органических растворителях.
Найдено, %: С 55,10; Н 6,01; N 25,18. С22H26N8О4.
Вычислено, %: С 54,89; Н 5,84; N 24,98.
ИКС, , см-1 (группа): 1720 с. (С=О); 1600, 1580 ср. (С=С, C=N – сопр. и циануратный цикл.).
ПМР, , м.д. (группа): 7,30-7,45 (5Н, м, НAr); 4,15-4,25 (2Н кв., ОСН2СН3) J=5,5; 3,30-3,75 (16Н м, NCH2+OCH2); 1,15-1,25 (3Н т, ОСН2СН3) J=5,5.
Мол. ион (масс-спектроскопически) 448.
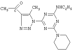
Пример 2. 2-Этиламино-4-пиперидил-6-[(4’-метилкарбонил-3’-метил-1’,2’,3’-триазол)-1-ил-1-1,3,5-триазин (ЭПМТ).
К раствору 1 г (4,3 ммоль) 2-азидо-4-пиперидил-6-этиламино-1,3,5-триазина в 10 мл сухого и очищенного диметилфомамида при перемешивании и температуре 20 1 С прибавляют по каплям смесь 0,99 г (8,6 ммоль) ацетилацетона и 0,87 г (8,6 ммоль) триэтиламина. Реакционную смесь перемешивают 50 ч при 35-40 С и при перемешивании тонкой струей выливают в 100 мл охлажденной до 15 С воды. Образовавшиеся белые хлопья отфильтровывают, тщательно промывают водой от остатков растворителя и триэтиламина и высушивают при 50-60 С. Получают 0,97 г (98,9%) ЭПМТ в виде белого цвета порошка с т.пл. 139-140 С, не растворимого в воде и растворимого в спирте, ацетоне, хлористом метилене и других полярных органических растворителях.
Найдено, %: С 54,66; Н 6,89; N 34,13. C15H22N8O.
Вычислено, %: С 54,52; Н 6,71; N 33,92.
ИКС, , см-1 (группа): 3335-3230 уш.с., (NH); 1665 ср. (С=О); 1590, 1550, 1530 с. (С=С, C=N – сопр. и циануратный цикл.).
ПМР, , м.д. (группа): 7,90 (1Н, с, NH); 3,70-3,85 (2Н кв., NHСН2CH3) J=7,0; 3,35-3,45 (4Н м, NCH2); 2,85 (3Н с. С=ССН3); 2,65 (3Н с, СОСН3); 1,55-1,75 (6Н м, СН2пиперидил)); 1,15-1,25 (3H т, NHCH2CH3) J=7,0.
Мол. ион (масс-спектроскопически) 330.
Пример 3. 2,4-Биc(мopфoлил)-6-[(4’-фeнил-5’-этилоксикарбомил-1’,2’,3’-триазол)-1-ил]-1,3,5-триазин (МЭКТ).
В условиях, аналогичных примеру 1, из 1 г (3,8 ммоль) 2-азидо-4,6-диморфолил-1,3,5-триазина, 1,48 г (7,6 ммоль) этилового эфира фенилуксусной кислоты и 0,77 г (7,6 ммоль) триэтиламина с той лишь разницей, что 2-азидо-4,6-диморфолил-1,3,5-триазин прибавляют к смеси этилового эфира фенилуксусной кислоты и триэтиламина, а процесс премешивания увеличивают до 60 ч, получают 1,08 г (63,8%) МЭКТ в виде белого цвета порошка, все константы которого соответствуют таковым для МЭКТ в примере 1.
Пример 4. 2-Этиламино-4-пиперидил-6-[(4’-метилкарбонил-5’-метил-1’,2’,3’-триазол)-1-ил]-1,3,5-триазин (ЭПМТ).
В условиях, аналогичных примеру 2, из 1 г (4,3 ммоль) 2-азидо-4-пиперидил-6-этиламино-1,3,5-триазина, 0,99 г (8,6 ммоль) ацетилацетона и 0,87 г (8,6 ммоль) триэтиламина с той лишь разницей, что 2-азидо-4-пиперидил-6-этиламино-1,3,5-триазин прибавляют к смеси ацетилацетона и триэтиламина, а процесс премешивания уменьшают до 45 ч, получают 0,97 г (98,9%) ЭПМТ в виде белого цвета порошка с т.пл. 139-140 С, все константы которого соотвествуют таковым для ЭПМТ в примере 2.
Синтезированные замещенные триазолил-триазины используют в качестве ростстимуляторов семян и проростков пшеницы.
При этом, готовят их водные растворы концентрации 0,01-0,0001 мас.% и осуществляют предпосевную обработку семян пшеницы методом замачивания семян в водном растворе триазолил-триазина соответствующей концентрации в течение 1 ч. Для сравнения используют водный раствор гетероауксина в концентрации 0,001 мас.%. Ввиду плохой растворимости в воде исходные триазолил-триазины и гетероауксин предварительно “подрастворяют” в небольшом количестве спирта. В качестве контроля используют вариант с обработкой семян водой.
Использование замещенных триазолил-триазинов в качестве стимуляторов роста пшеницы иллюстрируется нижеприведенными примерами.
Пример 5. После замачивания в рабочем растворе (или в воде в случае контроля) в течение 1 ч семена просушивали 24 ч в воздушно-конвективном режиме при температуре 20 С и проращивали в чашке Петри на постоянно увлажненной фильтровальной бумаге (25 шт. на вариант в пяти повторностях) при температуре 25±1 С в течение 10 сут. Через 10 дней проводят замеры длины корней и гипокотиля (li), которые сравнивают с контрольными (1k) и определяют относительную длину в %, по формуле:
Полученные данные усредняли, а среднеарифметические значения длины корней и гипокотиля, а также относительную прибавку этих показателей по отношению к контролю в % сводили в таблицу (см. таблицу в конце описания).
Как видно из данных этой таблицы, применение предлагаемых триазолил-триазинов в качестве ростстимуляторов семян пшеницы приводит к нижеследующим результатам.
В случае МЭКТ его применение в качестве ростстимулятора в концентрации 0,01-0,0001 мас.% увеличивает длину гипокотиля в сранении с контролем на 37-51% (56-62 вместо 41 мм), в то время как применение известного ростстимулятора гетероауксин увеличивает этот показатель в сравнении с контролем лишь на 4,2% (42,7 вместо 41 мм). Одновременно длина корня увеличивается на 7-21% (92-104 вместо 86 мм), в то время как применение гетероауксина увеличивает этот показатель лишь на 3,5-6% (89,0-91,1 вместо 86 мм).
В случае ЭПМТ его применение в качестве ростстимулятора в концентрации 0,01-0,0001 мас.% увеличивает длину гипокотиля в сранении с контролем на 37-44% (56-59 вместо 41 мм), в то время как применение известного ростстимулятора гетероауксин увеличивает этот показатель в сравнении с контролем лишь на 4,2% (42,7 вместо 41 мм). Одновременно длина корня увеличивается на 7-16% (92-100 вместо 86 мм), в то время как применение гетероауксина увеличивает этот показатель лишь на 3,5-6% (89,0-91,1 вместо 86 мм).
Заявленные соединения отличаются высокой стимулирующей активностью и при больших (0,0001 мас.%) разбавлениях, при которых известный гетероауксин увеличение длины гипокотиля вообще не стимулирет, а корня – лишь на 3,5%. В отличие от пятистадийного промышленного синтеза гетероауксина заявленные соединения получаются в одну стадию из доступных и относительно недорогих исходных.
Таким образом, применение заявленных триазолил-триазинов в качестве ростстимуляторов позволяет увеличить длину корней и гипокотиля проростков пшеницы, а также уменьшить расходы средства и расширить ассортимент известных ростстимуляторов.
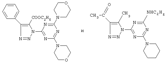
Формула изобретения Замещенные триазолил-1,3,5-триазины строения и
в качестве ростстимуляторов семян и проростков пшеницы.
РИСУНКИ
MM4A Досрочное прекращение действия патента Российской Федерации на изобретение из-за неуплаты в установленный срок пошлины за поддержание патента в силе
Дата прекращения действия патента: 09.01.2005
Извещение опубликовано: 20.09.2006 БИ: 26/2006
|
||||||||||||||||||||||||||

в качестве ростстимуляторов семян и проростков пшеницы. Технический результат – получены новые соединения, обладающие полезными биологическими свойствами. 1 табл.
Изобретение относится к химии и сельскому хозяйству, конкретно к замещенным 1,3,5-триазинам в качестве стимуляторов прорастания семян.
Известно применение индолил-3-уксусной кислоты (гетероауксина) строения:
который используют в качестве стимуляторов прорастания семян ауксинового типа действия, а также для стимуляции укоренения черенков плодовых и косточковых растений путем предварительного замачивания в водном растворе в течение 1 и 6 ч соответственно [см. Регуляторы роста растений./Под редакцией В.С. Шевелухи. – М.: Агропромиздат. 1990. – 192 с.]. Недостатками применения гетероауксина являются относительно высокая стоимость (240 тыс. руб за кг на 10.12.02 г.), узкий спектр рекомендованных для обработки семян и относительно невысокая стимулирующая активность (он слабо стимулирует прибавку длины гипокотиля и корня проростков ).
Известны также 2-цианметилокси-4,6-бис-алкил(диалкил)амино-сим-триазины строения:
который применяют в качестве эффективного модификатора-соотвердителя эпоксидных олигомеров в композициях ангидридного отверждения [см. пат. РФ № 2187505. С.Н. Михайличенко, А.А. Чеснюк, Л.Д. Конюшкин, В.Н. Заплишный. 2-аллиламино-4,6-бис-(этоксикарбоксилатометиламино)-1,3,5-триазин в качестве эффективного модификатора-соотвердителя эпоксидных олигомеров в композициях ангидридного отверждения. Бюл. Изобр., 2002, № 23]. Применение его в качестве ростстимулятора неизвестно.
Техническим решением задачи является увеличение длины гипокотиля и корней проростков пшеницы и расширение ассортимента используемых стимуляторов.
Задача достигается получением новых производных ряда 1,3,5-триазина-2,4-бис(морфолил)-6-[(4’-фенил-5’-этилоксикарбонил-1’,2’,3’-триазол)-1-ил]-1,3,5-триазина и 2-этиламино-4-пиперидил-6-[(4’-метилкарбонил-5’-метил-1’,2’,3’-триазол)-1-ил]-1,3,5-триазина строения:
которые могут быть использованы в качестве эффективных рост-стимуляторов прорастания семян и увеличения длины гипокотиля и корня проростков пшеницы.
Новизна заявленного предложения усматривается в том, что предлагаются новые производные 2-замещенных 1,3,5-триазинов в качестве ростстимуляторов прорастания семян пшеницы, что позволяет увеличить параметры длины гипокотиля и корня. Они отличаются высокой ростстимулирующей активностью даже при высоких (1
10-4 мас.%) разбавлениях, что резко снижает расход по ДВ и улучшает экологическую обстановку, они также относительно просто и из дешевых исходных синтезируются, что снижает их стоимость.
При этом заявленные триазолил-триазины получают известным методом – взаимодействием соответствующих 2-азидо-4,6-дизамещенных 1,3,5-триазинов с эквимольным количеством метиленактивного дикарбонильного соединения в присутствии триэтиламина при температуре 30-40
С [см. Общая органическая химия./Под редакцией Д. Бартона и У.Д. Уоляиса. – М.: Химия, 1981, т.1, с.268]. Исходные 2-азидо-4,6-дизамещенные 1,3,5-триазины получают известным методом [см. Вейганд-Хильгетаг. Методы эксперимента в органической химии. – М.: Химия, 1969, с.443].
Использованные диметилформамид и триэтилоамин непосредственно перед употреблением очищают и высушивают по известным методикам [см. А. Гордон, Р. Форд. Спутник химика. М.: Мир. 1976. – 541 с.].
Для сравнения рострегулирующей активности используют известный ростстимулятор ауксинового типа действия индолилуксусную кислоту (гетероауксин) – прототип по применению.
Примеры исполнения заявленного предложения представлены ниже.
Пример 1. 2,4-Биc(мopфoлил)-6-[(4’-фeнил-5’-этилоксикарбонил-1’,2’,3’-триазол)-1-ил]-1,3,5-триазин (МЭКТ).
К раствору 1 г (3,8 ммоль) 2-азидо-4,6-диморфолил-1,3,5-триазина в 10 мл сухого и очищенного диметилфомамида при перемешивании и температуре 20
1
, см-1 (группа): 1720 с. (С=О); 1600, 1580 ср. (С=С, C=N – сопр. и циануратный цикл.).
ПМР,
, м.д. (группа): 7,30-7,45 (5Н, м, НAr); 4,15-4,25 (2Н кв., ОСН2СН3) J=5,5; 3,30-3,75 (16Н м, NCH2+OCH2); 1,15-1,25 (3Н т, ОСН2СН3) J=5,5.
Мол. ион (масс-спектроскопически) 448.
Пример 2. 2-Этиламино-4-пиперидил-6-[(4’-метилкарбонил-3’-метил-1’,2’,3’-триазол)-1-ил-1-1,3,5-триазин (ЭПМТ).
К раствору 1 г (4,3 ммоль) 2-азидо-4-пиперидил-6-этиламино-1,3,5-триазина в 10 мл сухого и очищенного диметилфомамида при перемешивании и температуре 20
Полученные данные усредняли, а среднеарифметические значения длины корней и гипокотиля, а также относительную прибавку этих показателей по отношению к контролю в % сводили в таблицу (см. таблицу в конце описания).
Как видно из данных этой таблицы, применение предлагаемых триазолил-триазинов в качестве ростстимуляторов семян пшеницы приводит к нижеследующим результатам.
В случае МЭКТ его применение в качестве ростстимулятора в концентрации 0,01-0,0001 мас.% увеличивает длину гипокотиля в сранении с контролем на 37-51% (56-62 вместо 41 мм), в то время как применение известного ростстимулятора гетероауксин увеличивает этот показатель в сравнении с контролем лишь на 4,2% (42,7 вместо 41 мм). Одновременно длина корня увеличивается на 7-21% (92-104 вместо 86 мм), в то время как применение гетероауксина увеличивает этот показатель лишь на 3,5-6% (89,0-91,1 вместо 86 мм).
В случае ЭПМТ его применение в качестве ростстимулятора в концентрации 0,01-0,0001 мас.% увеличивает длину гипокотиля в сранении с контролем на 37-44% (56-59 вместо 41 мм), в то время как применение известного ростстимулятора гетероауксин увеличивает этот показатель в сравнении с контролем лишь на 4,2% (42,7 вместо 41 мм). Одновременно длина корня увеличивается на 7-16% (92-100 вместо 86 мм), в то время как применение гетероауксина увеличивает этот показатель лишь на 3,5-6% (89,0-91,1 вместо 86 мм).
Заявленные соединения отличаются высокой стимулирующей активностью и при больших (0,0001 мас.%) разбавлениях, при которых известный гетероауксин увеличение длины гипокотиля вообще не стимулирет, а корня – лишь на 3,5%. В отличие от пятистадийного промышленного синтеза гетероауксина заявленные соединения получаются в одну стадию из доступных и относительно недорогих исходных.
Таким образом, применение заявленных триазолил-триазинов в качестве ростстимуляторов позволяет увеличить длину корней и гипокотиля проростков пшеницы, а также уменьшить расходы средства и расширить ассортимент известных ростстимуляторов.
и
в качестве ростстимуляторов семян и проростков пшеницы.