Патент на изобретение №2229765
|
||||||||||||||||||||||||||
(54) УСТРОЙСТВО УПРАВЛЕНИЯ И ЗАЩИТЫ АСИНХРОННОГО ДВИГАТЕЛЯ ПРИ НЕПОЛНОФАЗНОМ РЕЖИМЕ
(57) Реферат: Изобретение относится к электротехнике и может быть использовано для управления и защиты асинхронных двигателей при неполнофазном режиме работы питающей сети. Техническим результатом является создание устройства, обеспечивающего надежную защиту двигателя при неполнофазном режиме. Особенность устройства управления и защиты асинхронного двигателя при неполнофазном режиме состоит в том, что оно применимо как на проектируемых, так и на действующих электроустановках, так как в устройстве возможно использовать магнитные пускатели и контакторы действующих электроустановок. Для этого необходимо перемотать намагничивающую катушку пускателя на две секции, чтобы получить доступ к среднему витку катушки, рассчитанной на линейное напряжение. Произведенные расчеты для некоторых типов пускателей третьего габарита показывают, что емкость конденсаторов, включенных последовательно с секциями на время пуска, составляет порядка 2,5 мкФ, а емкость конденсаторов, включаемых на все время включенного состояния пускателей, составляет порядка 0,35 мкФ. Управление устройством осуществляется включением в цепь среднего витка кнопки “Пуск” и “Стоп” или управляющего датчика. Достоинство устройства состоит также в том, что оно может быть внедрено персоналом самих предприятий, не дожидаясь производства устройств на электроаппаратных заводах электроэнергетической отрасли, содержащих двухсекционные катушки на магнитных пускателях и контакторах и комплектующие конденсаторы. 10 ил. Изобретение относится к устройствам, предназначенным для дистанционного управления и защиты двигателей трехфазного тока, в действующих и проектируемых электроустановках, при возникновении неполнофазного режима в питающей сети, и касается конструкции магнитных пускателей и контакторов, используемых в устройстве. Как известно, для дистанционного управления электроустановками, в частности, используются магнитные пускатели и контакторы, включаемые на фазное или линейное напряжение трехфазной сети. (Л-1, стр. 271 и 275). Известно, что при потере напряжения на одной фазе включенный двигатель продолжает работать. На фиг.1 и фиг.2 показана цепь намагничивающего тока, называемого током подпитки. Создаваемая этим током намагничивающая сила Fn=In·Wk достаточна для удержания магнитного пускателя в сработавшем состоянии. В одном случае обрыва фазы возможно включение пускателя и двигателя на две фазы, фиг. 3. Неполнофазный режим работы питающей сети вызывает опасные перегрузки по току у двигателей трехфазного тока и является главной причиной их повреждения. Защита двигателей от перегрузки с помощью теплового реле не обладает в этом случае требуемой степенью надежности. Ненадежная работа устройств защиты асинхронных двигателей на действующих электроустановках является причиной многочисленных случаев их повреждения. Наиболее часто повреждаются двигатели небольшой мощности и двигатели, работающие в автоматическом повторно-кратковременном режиме. Цель изобретения состоит в поиске новых технических решений по созданию устройств, обеспечивающих надежную защиту двигателей при неполнофазном режиме как на действующих, так и на проектируемых электроустановках. На действующих электроустановках поставленная цель достигается тем, что намагничивающая катушка контактора или магнитного пускателя, рассчитанная на линейное напряжение, подключается к трем фазам цепи, питающей электродвигатель, к одной фазе – средним витком напрямую, а к двум другим фазам – крайними витками через последовательно включаемые конденсаторы, фиг. 4. Конденсаторы C1 включаются в цепь катушками кратковременно – на момент пуска двигателя, а конденсаторы С2 – на все время включенного состояния. Емкость конденсаторов первой группы выбирается такой, чтобы ток в катушке при включении пускателя на две фазы был меньше минимального тока, необходимого для срабатывания пускателя, а емкость конденсаторов второй группы такой, чтобы ток, удерживающий пускатель в сработавшем состоянии, при обрыве одной фазы снижался до величины, меньшей необходимого для удержания. Точка присоединения фазы к среднему витку делит катушку на две секции с равным числом витков
В действующих электроустановках доступ к среднему витку катушки пускателя осуществляется путем ее перемотки на две секции.
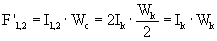
При полнофазном режиме работы питающей сети токи в секциях сдвинуты по фазе на 120 . Создаваемые токами намагничивающие силы также сдвинуты на 120
F1=I1·Wc; F2=I2·Wc
(фиг. 5).
При неполнофазном режиме возможны два случая.
1. Обрыв фазы, к которой присоединен средний виток (средняя точка) катушки, фиг. 6.
Намагничивающую силу в этом случае создают две секции, соединенные последовательно и включенные на линейное напряжение
F’k=Ik·Wk
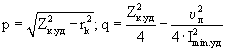
2. Обрыв фазы, подключенной к крайним виткам, фиг. 7 и фиг. 8.
Намагничивающая сила в этом случае создается одной секцией, включенной на линейное напряжение
Кроме того, в этом случае намагничивающая сила создается током подпитки, проходящим через включенные главные контакты пускателя и статорную обмотку
Fn=In·Wc
Эта дополнительная намагничивающая сила, создаваемая секцией, подключенной к оборванной фазе, находится в противофазе с намагничивающей силой, создаваемой секцией, включенной непосредственно на линейное напряжение, ослабляет намагничивающую силу катушки и является положительным фактором
F’k=F1.2-Fn
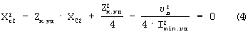
Расчет емкости, включаемой на все время сработавшего состояния пускателя, производится с учетом первого случая обрыва. Расчетная схема представлена на фиг. 9.
Сопротивление цепи – Zц.уд, при котором ток в цепи катушки ограничивается до Imin.уд, минимально необходимого для удержания пускателя в сработавшем состоянии, согласно Л1, стр. 118, равно
Решая совместно уравнения (1) и (2) относительно Хс2, имеем
Полученное расчетное уравнение представляет собой квадратное уравнение вида x2+px-q=0, где XC2=X;
Значения величин в расчетном уравнении
Zк.уд; rк; Imin.уд; Imin.вкл на действующих электроустановках находят измерением и по паспортным данным;
л – линейное напряжение трехфазной сети.
По найденному значению емкостного сопротивления конденсатора вычисляют его емкость и напряжение
Л1, стр. 115
С2=Imin.уд·XC2
По каталогу выбирается ближайшее меньшее значение емкости.
Активное сопротивление катушки пускателя во включенном состоянии пускателя во много раз меньше индуктивного и им можно пренебречь.
С учетом этого обстоятельства расчетная формула принимает более компактный вид
Выбор емкости конденсаторов, включаемых в цепь катушки пускателя при пуске двигателя, осуществляется согласно расчетной схеме фиг.10 по аналогичным формулам
C1=Imin.вкл·Xc1
При полнофазном режиме токи Imin.вкл и Imin.уд увеличиваются в раз, что и обеспечивает нормальное функционирование пускателя.
Предлагаемое техническое решение по управлению и защите асинхронных двигателей при возникновении неполнофазного режима пригодно как для действующих, так и для проектируемых электроустановок.
Устройство не известно по источникам технической информации, обладает полезной и существенной новизной и требуемым уровнем патентоспособности.
Источники информации
1. Электротехника с основами промышленной электроники, В.Е.Китаев, П.С.Шляпинтох, изд. Высшая школа, М., 1973 год.
2. Защита асинхронных электродвигателей от работы на двух фазах, кандидат технических наук Е.Н.Зимин, УДК 321.313.333: 621.316.925.
3. Бюллетени технической информации №№8, 21, 22 за 1978 год и №№5,15 за 1979 год.
4. Статистика местных предприятий о повреждаемости асинхронных двигателей.
Формула изобретения Устройство управления и защиты асинхронного двигателя при неполнофазном режиме работы питающей сети, состоящее из магнитного пускателя или контактора и двух групп конденсаторов, регулирующих ток в катушке, не допуская включения пускателя на две фазы и его работу на двух фазах, отличающееся тем, что катушка пускателя включается на три фазы цепи, питающей двигатель, – к одной фазе средним витком напрямую, к двум другим фазам – крайними витками через последовательно присоединяемые конденсаторы: одной группы – на момент включения пускателя, другой – на все время ее включенного состояния, емкость конденсаторов первой группы выбирается такой, чтобы ток при попытке включения на две фазы был меньше минимального тока срабатывания пускателя, а емкость конденсаторов второй группы такой, чтобы ток, удерживающий пускатель в сработавшем состоянии, при обрыве одной фазы снижался до величины, меньшей необходимого для удержания. РИСУНКИ
MM4A – Досрочное прекращение действия патента СССР или патента Российской Федерации на изобретение из-за неуплаты в установленный срок пошлины за поддержание патента в силе
Дата прекращения действия патента: 30.11.2006
Извещение опубликовано: 20.01.2008 БИ: 02/2008
|
||||||||||||||||||||||||||

В действующих электроустановках доступ к среднему витку катушки пускателя осуществляется путем ее перемотки на две секции.
При полнофазном режиме работы питающей сети токи в секциях сдвинуты по фазе на 120
. Создаваемые токами намагничивающие силы также сдвинуты на 120
(фиг. 5).
При неполнофазном режиме возможны два случая.
1. Обрыв фазы, к которой присоединен средний виток (средняя точка) катушки, фиг. 6.
Намагничивающую силу в этом случае создают две секции, соединенные последовательно и включенные на линейное напряжение
F’k=Ik·Wk
2. Обрыв фазы, подключенной к крайним виткам, фиг. 7 и фиг. 8.
Намагничивающая сила в этом случае создается одной секцией, включенной на линейное напряжение
Кроме того, в этом случае намагничивающая сила создается током подпитки, проходящим через включенные главные контакты пускателя и статорную обмотку
Fn=In·Wc
Эта дополнительная намагничивающая сила, создаваемая секцией, подключенной к оборванной фазе, находится в противофазе с намагничивающей силой, создаваемой секцией, включенной непосредственно на линейное напряжение, ослабляет намагничивающую силу катушки и является положительным фактором
F’k=F1.2-Fn
Расчет емкости, включаемой на все время сработавшего состояния пускателя, производится с учетом первого случая обрыва. Расчетная схема представлена на фиг. 9.
Сопротивление цепи – Zц.уд, при котором ток в цепи катушки ограничивается до Imin.уд, минимально необходимого для удержания пускателя в сработавшем состоянии, согласно Л1, стр. 118, равно
Решая совместно уравнения (1) и (2) относительно Хс2, имеем
Полученное расчетное уравнение представляет собой квадратное уравнение вида x2+px-q=0, где XC2=X;
Значения величин в расчетном уравнении
Zк.уд; rк; Imin.уд; Imin.вкл на действующих электроустановках находят измерением и по паспортным данным;
л – линейное напряжение трехфазной сети.
По найденному значению емкостного сопротивления конденсатора вычисляют его емкость и напряжение
Л1, стр. 115
Выбор емкости конденсаторов, включаемых в цепь катушки пускателя при пуске двигателя, осуществляется согласно расчетной схеме фиг.10 по аналогичным формулам
C1=Imin.вкл·Xc1
При полнофазном режиме токи Imin.вкл и Imin.уд увеличиваются в
раз, что и обеспечивает нормальное функционирование пускателя.
Предлагаемое техническое решение по управлению и защите асинхронных двигателей при возникновении неполнофазного режима пригодно как для действующих, так и для проектируемых электроустановок.
Устройство не известно по источникам технической информации, обладает полезной и существенной новизной и требуемым уровнем патентоспособности.
Источники информации
1. Электротехника с основами промышленной электроники, В.Е.Китаев, П.С.Шляпинтох, изд. Высшая школа, М., 1973 год.
2. Защита асинхронных электродвигателей от работы на двух фазах, кандидат технических наук Е.Н.Зимин, УДК 321.313.333: 621.316.925.
3. Бюллетени технической информации №№8, 21, 22 за 1978 год и №№5,15 за 1979 год.
4. Статистика местных предприятий о повреждаемости асинхронных двигателей.