Патент на изобретение №2229296
|
||||||||||||||||||||||||||
(54) ПЯТИЧЛЕННЫЕ ГЕТЕРОЦИКЛЫ В КАЧЕСТВЕ ИНГИБИТОРОВ АДГЕЗИИ ЛЕЙКОЦИТОВ И VLA-4-АНТАГОНИСТОВ
(57) Реферат: Изобретение относится к области медицины и касается средства для ингибирования адгезии и/или миграции лейкоцитов или для ингибирования VLA-4-рецептора, представляющего собой соединение общей формулы (I): Соединения могут быть использованы для лечения и профилактики воспалительных заболеваний, ревматоидного артрита, аллергических заболеваний и др. 9 с. и 24 з.п. ф-лы.
Предметом настоящего изобретения являются пятичленные гетероциклы формулы (I)
в качестве ингибиторов адгезии и миграции лейкоцитов и/или антагонистов относящегося к группе интегринов рецептора адгезии VLA-4. Изобретение относится к применению соединений формулы (I) и фармацевтических композиций, которые содержат такие соединения, для лечения или профилактики заболеваний, вызываемых или связанных с адгезией и/или миграцией лейкоцитов в нежелательном масштабе или в случае которых играют роль взаимодействия клетка-клетка или клетка-матрица, основывающиеся на взаимодействиях VLA-4-рецепторов с их лигандами, например, таких, как воспалительные процессы, ревматоидный артрит или аллергические заболевания, точно так же, как и к применению соединений формулы (I) для получения лекарственных средств в целях использования их в случае таких заболеваний. Далее, изобретение относится к новым соединениям формулы (I).
Интегрины представляют собой группу рецепторов адгезии, которые играют существенную роль в процессах связывания клетка-клетка или клетка-внеклеточная матрица. Они обладают ![]() -гетеродимерной структурой, широко распространены в клетках и имеют высокую степень эволютивного сохранения. К интегринам относится, например, фибриногеновый рецептор к тромбоцитам, который взаимодействует прежде всего с RGD-последовательностью фибриногена, или витронектиновый рецептор к остеокластам, который взаимодействует прежде всего с RGD-последовательностью витронектина или остеопонтина. Интегрины подразделяют на три большие группы: 2-подсемейство с представителями LFA-1, Мас-1 и р150/95, которые в особенности ответственны за взаимодействия клетка-клетка иммунной системы, и подсемейства 1 и 3, представители которых главным образом способствуют соединению клетки с компонентами внеклеточной матрицы (Ruoslahti, Annu. Rev. Biochem., 57, 375 (1988)). Интегрины 1-подсемейства, называемые также VLA-протеины (очень активационный антиген), включают по меньше мере шесть рецепторов, которые специфически взаимодействуют с фибронектином, коллагеном и/или ламинином в качестве лигандов. В VLA-семействе интегрин VLA-4 ( 4 l) является нетипичным, поскольку он ограничен главным образом лимфоидными и миелоидными клетками и при этом является ответственным за взаимодействия клетка-клетка с множеством других клеток. VLA-4, например, способствует взаимодействию Т- или В-лимфоцитов с фрагментом связывания гепарина-II человеческого плазмафибронектина (FN). Связывание VLA-4 с фрагментом связывания гепарина-II плазмафибронектина основывается прежде всего на взаимодействии с LDVP-последовательностью. В отличие от фибриногенового или витронектинового рецептора, VLA-4 не является типичным RGD-связывающим интегрином (Kilger и Holzmann, J. Mol. Meth., 73, 347 (1995)).
Циркулирующие в крови лейкоциты обычно обладают только незначительным сродством к сосудистым эндотелиальным клеткам, которые “выстилают” кровеносные сосуды. Цитокины, вырабатываемые воспаленной тканью, вызывают активацию эндотелиальных клеток и тем самым экспрессию множества антигенов на поверхности клеток. Они включают, например, адгезионные молекулы ELAM-1 (адгезионная молекула-1 эндотелиальной клетки; называется также Е-селектин), которая связывает, в частности, нейтрофилы, ICAM-1 (межклеточная адгезивная молекула-1), которая взаимодействует с LFA-1 (функционально ассоциированный с лейкоцитом антиген-1) лейкоцитов, и VCAM-1 (адгезивная молекула-1 сосудистой клетки), которая связывает различные лейкоциты, в частности лимфоциты (Osborn и др.. Cell, 59, 1203 (1989)). VCAM-1, как и ICAM-1, является членом подсемейства гена иммуноглобулина. VCAM-1 (первоначально называемый INCAM-110) идентифицирован как адгезионная молекула, которая индуцируется в эндотелиальных клетках за счет вырабатываемых воспаленной тканью цитокинов, как фактор некроза опухоли (ФНО) и ИЛ-1 (интерлейкин-1), и липополисахаридов. Elices и др. (Cell, 60, 577 (1990)) показали, что VLA-4 и VCAM-1 образуют пару рецептор-лиганд, которая способствует адгезии лимфоцитов к активированному эндотелию. Связывание VCAM-1 с VLA-4 при этом происходит не за счет взаимодействия VLA-4 с RGD-последовательностью, которой нет в VCAM-1 (Bergelson и др., Current Biology, 5, 615 (1995)). VLA-4, однако, встречается также в других лейкоцитах, и за счет VCAM-1/VLA-4-адгезионного механизма происходит также адгезия других лейкоцитов, чем лимфоциты. VLA-4, таким образом, представляет собой частный пример 1-интегринового рецептора, который играет существенную роль, через лиганды VCAM-1, соответственно, фибронектин, как в случае взаимодействий клетка-клетка, так и при взаимодействиях клетка-внеклеточная матрица.
Индуцированные цитокинами адгезивные молекулы играют важную роль при пополнении лейкоцитами внесосудистых тканей. Лейкоциты в воспаленных областях тканей пополняются за счет клеточных адгезивных молекул, которые экспрессируются на поверхности эндотелиальных клеток и служат в качестве лигандов для протеинов или протеиновых комплексов (рецепторов) на поверхности клеток лейкоцитов (понятия лиганд и рецептор можно также применять взаимозаменяемыми). Лейкоциты из крови прежде всего должны “прилипать” к эндотелиальным клеткам до того, как они могут эмигрировать в синовиальную оболочку. Так как VCAM-1 связан с клетками, которые содержат интегрин VLA-4 ( 4 1), как эозинофилы, Т- и В-лимфоциты, моноциты или также нейтрофилы, он придает ему и VCAM-1/VLA-4-механизму функцию такого рода клетки из кровотока набирать в инфекционные области и очаги воспаления (Elices и др., Cell, 60, 577 (1990); Osborn, Cell, 62, 3 (1990), Issekutz и др., J. Exp. Med., 183, 2175 (1996)).
VCAM-l/VLA-4-адгезивный механизм связан с рядом физиологических и патологических процессов. VCAM-1, кроме как индуцированным цитокином эндотелием, экспрессируется, в частности, еще следующими клетками: миобласты, лимфоидные дендритные клетки и тканевые макрофаги, клетки ревматоидной синовиальной оболочки, стимулированные цитокинами нервные клетки, париентальные эпителиальные клетки боуменовой капсулы, клетки почечного тубулярного эпителия, клетки воспаленной ткани в случае отторжения трансплантата сердца и почек и клетки кишечной ткани в случае заболевания “трансплантат против хозяина”. VCAM-1 находят также экспрессируемым в таких областях ткани артериального эндотелия, которые соответствуют ранним артериосклеротическим бляшкам на модели кролика. Дополнительно, VCAM-1 экспрессируется фолликулярными дендритными клетками человеческих лимфатических узлов и находится в стромальных клетках костного мозга, например, у мыши. Последние данные указывают на функционирование VCAM-1 в развитии В-клетки. VLA-4, кроме как в клетках гематопоэтического происхождения, находится также, например, в линии клеток меланомы, и VCAM-1/VLA-4-адгезивный механизм связан с метастазированием таких опухолей (Rice и др., Scienece, 246, 1303 (1989)).
Главную форму, в которой VCAM-1 ин виво находится в эндотелиальных клетках и которая представляет собой доминирующую форму ин виво, обозначают как VCAM-7D и она содержит семь доменов иммуноглобулина. Домены 4, 5 и 6 по своим аминокислотным последовательностям подобны доменам 1, 2 и 3. Четвертый домен в случае другой, состоящей из шести доменов формы, обозначаемой здесь как VCAM-6D, удален за счет альтернативного сплайсинга. Также VCAM-6D может связывать экспрессирующие VLA-4 клетки.
Другие сведения о VLA-4, VCAM-1, интегринах и адгезивных протеинах находятся, например, в статьях Kilger и Holzmann, J. Mol. Meth., 73, 347 (1995); Elices, Cell Adhesion in Human Disease, Wiley, Chichester, 1995, с.79; Kuijpers, Springer Semin. Immunopathol., 16, 379 (1995).
На основании роли VCAM-1/VLA-4-механизма в случае процессов клеточной адгезии, которые имеют значение, например, при инфекциях, воспалениях или атеросклерозе, была сделана попытка за счет вмешательства в эти адгезивные процессы лечить заболевания, в особенности, например, воспаления (Osbоrn и др. Cell, 59, 1203 (1989)). Одним методом для этой цепи является применение моноклональных антител, которые направлены против VLA-4. Такого рода моноклональные антитела (mAK), которые в качестве VLA-4-антагонистов блокируют взаимодействие между VCAM-1 и VLA-4, известны. Так, например, анти-VLA-4 mAK HP 2/1 и HP 1/3 ингибируют адгезию экспрессирующих VLA-4 Ramos-клеток (подобные В-клеткам клетки) к человеческим эндотелиальным клеткам пуповины и к трансфицированным с помощью VCAM-1 COS-клеткам. Анти-VCAM-1 mAK 4B9 также ингибирует адгезию Ramos-клеток, Jurkat-клеток (подобные Т-клетке клетки) и HL60-клеток (подобные гранулоцитам клетки) к COS-клеткам, трансфицированным с помощью генетических конструкций, которые являются причиной экспрессии VCAM-6D и VCAM-7D. Полученные ин витро данные при использовании антител, которые направлены против 4-субъединицы VLA-4, показывают, что адгезия лимфоцитов на синовиальных эндотелиальных клетках блокируется, адгезия, которая играет роль при ревматоидном артрите (van Dinther-Janssen и др. J. Immunol., 147, 4207 (1991)).
Испытания ин виво показывают, что экспериментальный аутоиммунный энцефаломиелит можно подавлять с помощью анти- 4 mAK. Миграция лейкоцитов в очаг воспаления также блокируется с помощью моноклонального антитела против 4-цепи VLA-4. Влияние на VLA-4-зависимый адгезивный механизм с помощью антител также было исследовано на модели атсмы, чтобы изучить роль VLA-4 в рекрутировании лейкоцитов в воспаленную легочную ткань (USSN 07/821768; европейская заявка на патент 626861). Введение антител против VLA-4 подавляет реакцию в поздней фазе и повышенную реакцию дыхательных путей у аллергических овец.
VLA-4-зависимый механизм клеточной адгезии также исследовали на модели приматов с воспалительным заболеванием пищеварительного тракта (IBD). В этой модели, которая соответствует язвенному колиту у человека, введение антител против VLA-4 вызывало заметное уменьшение острого воспаления.
Кроме того, показано, что VLA-4-зависимая адгезия клеток играет роль при следующих клинических состояниях, включая следующие хронические воспалительные процессы: ревматоидный артрит (Cronstein и Weissmann, Arthritis Rheum., 36, 147 (1993); Elices и др., J. Clin. Invest., 93, 405 (1994)); сахарный диабет (Yang и др., Proc. Natl. Acad. Sci. USA, 90, 10494 (1993)); системная красная волчанка (Takeuchi и др., J. Clin. Invest., 92, 3008 (1993)); аллергии замедленного типа (аллергия типа IV) (Elices и др., Clin. Exp. Rheumatol., 11, 77 (1993)); рассеянный склероз (Yednock и др., Nature, 356, 53 (1992)); малярия (Ockenhouse и др., J. Exp. Med., 176, 1183 (1992)); артериосклероз (Obrien и др., J. Clin. Invest., 92, 945 (1993)); трансплантация (Isobe и др.. Transplantation Proceeding, 26, 867-868 (1994)); различные злокачественные заболевания, например меланома (Renkonen и др.. Am. J. Pathol., 140, 763 (1992)), лимфома (Freedman и др.. Blood, 79, 206 (1992)) и другие (Albelda и др., J. Cell Biol., 114, 1059 (1991)).
Блокирование VLA-4 с помощью пригодных антагонистов в соответствии с этим открывает эффективные терапевтические возможности лечить, например, в особенности различные воспалительные состояния, включая астму и IBD. Особая значимость VLA-4-антагонистов для лечения ревматоидного артрита при этом, как уже говорилось, вытекает из того факта, что лейкоциты из крови прежде всего должны “прилипать” к эндотелиальным клеткам прежде, чем они могут эмигрировать в синовиальную оболочку, и при этой адгезии играет роль VLA-4-рецептор. На то, что благодаря агентам воспаления в эндотелиальных клетках индуцируется VCAM-1 (Osborn, Cell, 62, 3 (1990)); Stoolman, Cell, 56, 907 (1989)), и на рекрутирование различных лейкоцитов в области инфекции и очаги воспаления уже было указано выше. Т-клетки при этом соединяются с активированным эндотелием в основном через LFA-1/1CAM-1- и VLA-4/VCAM-1-адгезивные механизмы (Springer, Cell, 76, 301 (1994)). При ревматоидном артрите в большинстве синовиальных Т-клеток повышена связывающая способность VLA-4 с VCAM-1 (Postigo и др., J. Clin. Invest., 89, 1445 (1992)). Дополнительно наблюдается усиленное сцепление синовиальных Т-клеток с фибронектином (Laffon и др., J. Clin. Invest., 88, 546 (1991); Morales-Ducret и др., J. Immunol 149, 1424 (1992)). VLA-4, следовательно, является высокорегулируемым как в рамках своей экспрессии, так и в отношении своего воздействия на Т-лимфоциты ревматоидной синовиальной мембраны. Блокирование связывания VLA-4 с его физиологическими лигандами VCAM-1 и фибронектином позволяет эффективно предотвращать или уменьшать артикулярные воспалительные процессы. Это подтверждается также экспериментами при использовании антитела HP 2/1 на крысах линии Lewis с адъювантным аритритом, в случае которых наблюдается эффективное предупреждение заболевания (Barbadillo и др. Springer Semin Immunopathol., 16, 427 (1995)). Следовательно, VLA-4 представляет собой важную с точки зрения терапии молекулу-цель.
Вышеупомянутые VLA-4-антитела и использование антител в качестве VLA-4-антагонистов описываются в международных заявках №93/13798, 93/15764, 94/16094, 94/17828 и 95/19790. В международных заявках №94/15958, 95/15973, 96/00581, 96/06108 и 96/20216 описываются пептидные соединения в качестве антагонистов VLA-4. Применение антител и пептидных соединений в качестве лекарственных средств, однако, сопряжено с недостатками, как, например, недостаточная возможность располагать пероральными лекарственными формами, легкая разрушаемость или иммуногенное действие при применении в течение более длительного периода, и, таким образом, существует потребность в антагонистах VLA-4 с благоприятным профилем свойств для использования в терапии и для профилактики.
В международных заявках 94/21607 и 95/14008 описываются замещенные пятичленные гетероциклы, в европейской заявке на патент 449079, европейской заявке на патент 530505(заявка на патент США 5389614), международной заявке 93/18507, европейской заявке на патент 566919 (заявка на патент США 5397796), европейской заявке на патент 580008 (заявка на патент США 5424293) и европейской заявке на патент 584694 (заявка на патент США 5554594) описываются производные гидантоина, которые обладают подавляющими агрегацию тромбоцитов действиями. Однако там нет указания на антагонизм этих соединений к VLA-4.
В настоящее время неожиданно найдено, что эти соединения также подавляют адгезию лейкоцитов и являются антагонистами VLA-4.
Настоящее изобретение, таким образом, относится к применению соединений формулы (I):
где W означает R1-A-C(R13) или R1-А-СН=С;
Y означает карбонил, тиокарбонил или метиленовую группу;
Z означает N(R0), кислород, серу или метиленовую группу;
А означает двухвалентный остаток, выбранный из ряда (С1-С6)-алкилена, (С3-С7)-циклоалкилена, фенилена, фенилен-(С1–С6)-алкила, (С1-С6)-алкиленфенила, фенилен-(С2-С6)-алкенила, или двухвалентный остаток пяти- или шестичленного насыщенного или ненасыщенного цикла, который может содержать 1 или 2 атома азота и может быть одно- или двукратно замещен (С1-С6)-алкилом или дважды связанным кислородом или серой;
В означает двухвалентный остаток, выбранный из ряда (С1-С6)-алкилена, (С2-С6)-алкенилена, фенилена, фенилен-(С1-С3)-алкила, (С1-С3)-алкиленфенила, причем двухвалентный (С1-С6)-алкиленовый остаток может быть незамещен или может быть замещен остатком, выбранным из ряда, (С1-C8)-алкила, (C2-C8)-алкенила, (С2-С8)-алкинила, (С3-С10)-циклоалкила, (С3-С10)-циклоалкил-(С1-С6)-алкила, при необходимости замещенного (С6-С14)-арила, в арильном остатке при необходимости замещенного (С6-С14)-арил-(С1-С6)-алкила, при необходимости замещенного гетероарила и в гетероарильном остатке при необходимости замещенного гетероарил-(С1-С6)-алкила;
D означает С(R2)(R3), N(R3) или CH=C(R3);
Е означает тетразолил, (Р8О)2Р(O), HOS(O)2, R9NHS(О)2 или R10CO;
R означает водород, (С1-С8)-алкил, (С3-С8)-циклоалкил, при необходимости замещенный (С6-С14)-арил или в арильном остатке при необходимости замещенный (С6-С14)-арил-(С1-С8)-алкил;
R0 означает водород, (С1-С8)-алкил, (С3-С12)-циклоалкил, (С3-С12) -циклоалкил-(C1-C8)-алкил, (C6-С12)-бициклоалкил, (С6-С12)-бициклоалкил-(С1-С8)-алкил, (С6-С12)-трициклоалкил, (С6-С12)-трициклоалкил-(С1-С8)-алкил, при необходимости замещенный (С6-С14)-арил, в арильном остатке при необходимости замещенный (С6-С14)-арил-(С1-С8)-алкил, при необходимости замешенный гетероарил, в гетероарильном остатке при необходимости замещенный гетероарил-(С1-С8)-алкил, СНО, (С1-С8)-алкил-СО, (С3-С12)-циклоалкилкарбонил, (С3-С12)-циклоалкил-(С1-С8)-алкил-СО-, (С6-С12)-бициклоалкил-СО, (С6-С12)-бициклоалкил-(С1-С8)-алкил-СО, (С6-С12)-трициклоалкил-СО, (С6-С12)-трициклоалкил-(С1-С8)-алкил-СО, при необходимости замещенный (С6-С14)-арил-СО, при необходимости замещенный в арильном остатке (С6-С14)-арил-(С1-С8)-алкил-СО, при необходимости замещенный гетероарил-СО, в гетероарильном остатке при необходимости замещенный гетероарил-(С1-С8)-алкил-СО, (С1-С8)-алкил-S(O)n, (С3-С12)-циклоалки-S(O)n, (С3-С12)-циклоалкил-(С1-С8)-алкил-S(О)n, (С6-С12)-бициклоалкил-S(О)n, (С6-С12)-бициклоалкил-(С1-С8)-алкил-S(О)n, (С6-С12)-трициклоалкил-S(О)n, (С6-С12)-трициклоалкил-(С1-С8)-алкил-S(О)n, при необходимости замещенный (С6-С14)-арил-S(О)n, при необходимости замещенный в арильном остатке (С6-С14)-арил-(C1-C8)-алкил-S(О)n, при необходимости замещенный гетероарил-S(O)n или при необходимости замещенный в гетероарильном остатке гетероарил-(С1-С8)-алкил-S(O)n, причем n означает 1 или 2;
R1 означает X-NH-C(=NH)-(CH2)p или X1-NH-(CH2)p, причем р означает 0, 1, 2 или 3;
X означает водород, (C1-C6)-алкил, (С1-С6)-алкилкарбонил, (С1-С6)-алкоксикарбонил, (С1-С18)-алкилкарбонилокси-(С1-С6)-алкоксикарбонил, при необходимости замещенный (С6-С14)-арилкарбонил, при необходимости замещенный (С6-C14)-арилоксикарбонил; (C6-C14)-арил-(C1-C6)-алкоксикарбонил, который в арильном остатке также может быть замещен; (R8О)2Р(О), цианогруппу, гидроксил, (С1-С6)-алкоксил; (С6-С14)-арил-(С1-С6)-алкоксил, который в арильном остатке также может быть замещен; или аминогруппу;
Х1 имеет одно из указанных для Х значений или означает R’-NH-C(=N-R”), причем R’ и R”, независимо друг от друга, имеют указанные для Х значения;
R2 означает водород, (С1-С8)-алкил, при необходимости замещенный (С6-С14)-арил, при необходимости замещенный в арильном остатке (С6-С14)-арил-(С1-С8)-алкил или (С3-С8)-циклоалкил;
R3 означает водород, (С1-С8)-алкил, при необходимости замещенный (С6-С14)-арил, при необходимости замещенный в арильном остатке (С6-С14)-арил-(С1-С8)-алкил, (С3-С8)-циклоалкил, (С2-С8)-алкенил, (С2-С8)-алкинил, (С2-С8)-алкенилкарбонил, (С2-С8)-алкинилкарбонил, пиридил, R11NH, R4CO, COOR4, CON(CH3)R14, CONHR14, CSNHR14, COOR15, CON(CH3)R15 или CONHR15;
R4 означает водород или (С1-С28)-алкил, который при необходимости одно- или многократно может быть замещен одинаковыми или различными остатками R4′;
R4′ означает гидроксил, гидроксикарбонил, аминокарбонил, моно- или ди-((С1-С18)-алкил)-аминокарбонил, амино-(С2-С18)-алкиламинокарбонил, амино-(С1-С3)-алкилфенил-(С1-С3)-алкиламинокарбонил, (С1-С18)-алкилкарбониламино-(С1-С3)-алкилфенил-(С1-С3)-алкиламинокарбонил, (С1-С-18)-алкилкарбониламино-(С2-С18)-алкиламинокарбонил; (С6-С14)-арил-(С1-С8)-алкоксикарбонил, который в арильном остатке также может быть замещен; аминогруппу, меркаптогруппу, (С1-С18)-алкоксил, (С1-С18)-алкоксикарбонил, при необходимости замещенный (С3-С8)-циклоалкил, галоген, нитрогруппу, трифторметил или осаток 5;
R5 означает при необходимости замещенный (С6-С14)-арил, при необходимости замещенный (С6-С14)-арил-(С1-С8)-алкил; моно- или бициклический 5-12-членный гетероцикл, который может быть ароматическим, частично гидрированным или полностью гидрированным или может содержать 1, 2 или 3 одинаковых или различных гетероатома, выбранных из ряда азота, кислорода и серы; остаток R6 или остаток R6СО-, причем арильный и независимо от него гетероциклический остатки могут быть одно- или многократно замещены одинаковыми или различными остатками, выбранными из ряда (С1-С18)-алкила, (С1-С18)-алкоксила, галогена, нитрогруппы, аминогруппы или трифторметила;
R6 означает R7R8N, R7О или R7S или аминокислотную боковую цепь, остаток природной или синтетической аминокислоты, иминокислоты, при необходимости N-(С1-С8)-алкилированной или N-((С6-С14)-арил-(С1-С8)-алкилированной) азааминокислоты или дипептида, который в арильном остатке также может быть замещен и/или в котором пептидная связь может быть восстановлена до -NH-CH2-, а также их сложные эфиры и амиды, причем вместо свободных функциональных групп может быть водород или гидроксиметил и/или причем свободные функциональные группы могут быть защищены обычными в химии пептидов защитными группами;
R7 означает водород, (С1-С18)-алкил, (С6-С14)-арил-(С1-С8)-алкил, (С1-С18)-алкилкарбонил, (С1-С18)-алкоксикарбонил, (С6-С14)-арилкарбонил, (С6-С14)-арил-(С1-С8)-алкилкарбонил или (С6-С14)-арил-(С1-С18)-алкоксикарбонил, причем алкильные группы при необходимости могут быть замещены аминогруппой и/или причем арильные остатки могут быть одно- или многократно, предпочтительно однократно, замещены одинаковыми или различными остатками, выбранными из ряда (C1-C8)-алкила, (C1-C8)-алкоксила, галогена, нитрогруппы, аминогруппы и трифторметила; остаток природной или синтетической аминокислоты, иминокислоты, при необходимости N-(С1-С8)-алкилированной или N-((С6-С14)-арил-(С1-С8)-алкилированной) азааминокислоты или дипептида, который в арильной части также может быть замещен и/или в котором пептидная связь может быть восстановлена до -NH-CH2-;
R8 означает водород, (С1-С18)-алкил, при необходимости замещенный (С6-С14)-арил или (C6-C14)-арил-(С1-С8)-алкил, который в арильном остатке также может быть замещен;
R9 означает водород, аминокарбонил, (С1-С18)-алкиламинокарбонил, (С3-С8)-циклоалкиламинокарбонил, при необходимости замещенный (С6-С14)-ариламинокарбонил, (С1-С18)-алкил, при необходимости замещенный (С6-С14)-арил или (С3-С8)-циклоалкил;
R10 означает гидроксил, (С1-С18)-алкоксил, (С6-С14)-арил-(С1-С8)-алкоксил, который в арильном остатке также может быть замещен; при необходимости замещенную (С6-С14)-арилоксигруппу, аминогруппу или моно- или ди-((С1-С18)-алкил)аминогруппу;
R11 означает водород, (С1-С18)-алкил, R12СО, при необходимости замещенный (С6-С14)-арил-S(О)2, (С1-С18)-алкил-S(O)2, при необходимости замещенный в арильном остатке (С6-С14)-арил-(С1-С8)-алкил или R9NHS(O2);
R12 означает водород, (С1-С18)-алкил, (C2-C8)-алкенил, (С2-С8)-алкинил, при необходимости замещенный (С6-С14)-арил, (С1-С18)-алкоксил; (С6-С14)-арил-(С1-С8)-алкоксил, который в арильном остатке может быть замещен; при необходимости замещенную (С6-С14 )-арилоксигруппу, аминогруппу или моно- или ди-((С1-С18)-алкил)-аминогруппу;
R13 означает водород, (С1-С6)-алкил, при необходимости замещенный в арильном остатке (С6-С14)-арил-(С1-С8)-алкил или (С3-С8)-циклоалкил;
R14 означает водород или (С1-С28)-алкил, который при необходимости может быть одно- или многократно замещен одинаковыми или разными остатками, выбранными из ряда гидроксила, гидроксикарбонила, аминокарбонила, моно- или ди-((С1-С18)-алкил)аминокарбонила, амино-(С2-С18)-алкиламинокарбонила, амино-(С1-С3)-алкилфенил-(С1-С3)-алкиламинокарбонила, (С1-С18)-алкилкарбониламино-(С1-С3)-алкилфенил-(С1-С3)-алкиламинокарбонила, (С1-С18)-алкилкарбониламино-(С2-С18)-алкиламинокарбонила; (С6-С14)-арил-(С1-С8)-алкоксикарбонила, который в арильном остатке также может быть замещен; аминогруппы, меркаптогруппы, (С1-С18)-алкоксила, (С1-С18)-алкоксикарбонила, при необходимости замещенного (С3-С8)-циклоалкила, HOS(О)2-(С1-С3)-алкила, R9NHS(О)2-(С1-С3)-алкила, (R8О)2Р(О)-(С1-С3)-алкила, тетразолил-(С1-С3)-алкила, галогена, нитрогруппы, трифторметила и R5;
R15 означает R16-(С1-С6)-алкил или R16;
R16 означает 6-24-членный бициклический или трициклический остаток, который является насыщенным или частично ненасыщенным и который также может содержать 1-4 одинаковых или различных гетероатома, выбранных из ряда азота, кислорода и серы и который также может быть замещен одним или несколькими одинаковыми или различными заместителями из ряда, состоящего из (С1-С4)-алкила и оксогруппы;
b, с, независимо друг от друга, означают 0 или 1, однако
d и f все одновременно не могут означать нуль;
е, g и h, независимо друг от друга, означают 0, 1, 2, 3, 4, 5 или 6;
во всех их стереоизомерных формах и в виде их смесей в любых соотношениях; а также их физиологически приемлемых солей для получения лекарственных средств в целях ингибирования адгезии и/или миграции лейкоцитов или для ингибирования VLA-4-рецептора, следовательно, лекарственных средств для лечения или профилактики заболеваний, при которых в нежелательном масштабе имеет место адгезия лейкоцитов и/или миграция лейкоцитов, или заболеваний, при которых играют роль VLA-4-зависимые адгезивные процессы, например, как воспалительные заболевания, а также к применению соединений формулы (I) при лечении и профилактики такого рода заболеваний.
Алкильные остатки могут быть линейными или разветвленными. Это имеет значение также тогда, когда они содержат заместители или находятся в качестве заместителей других остатков, например, в алкоксильных, алкоксикарбонильных или аралкильных остатках. Соответствующее действует для алкиленовых остатков. Примерами пригодных (С1-С28)-алкильных остатков являются следующие: метил, этил, пропил, бутил, пентил, гексил, гептил, октил, децил, ундецил, додецил, тридецил, пентадецил, гексадецил, гептадецил, нонадецил, эйкозил, докозил, трикозил, пентакозил, гексакозил, гептакозил, октакозил, изопропил, изобутил, изопентил, неопентил, изогексил, 3-метилфенил, 2,3,5-триметилгексил, втор.-бутил, трет.-бутил, трет.-пентил. Предпочтительными алкильными остатками являются метил, этил, пропил, изопропил, бутил, изобутил, втор.-бутил и трет.-бутил. Примерами алкиленовых остатков являются метилен; этилен; три-, тетра-, пента- и гексаметилен или замещенный алкильным остатком метилен, например метилен, который замещен метильной группой, этильной группой, изопропильной группой, изобутильной группой или трет.-бутильной группой.
Также алкенильный и алкениленовый остатки, а также алкинильные остатки могут быть линейными или разветвленными. Примерами алкенильных остатков являются винил, пропен-1-ил, пропен-2-ил (=аллил), бутенил, 3-метилбутен-2-ил; примерами алкениленовых остатков являются винилен или пропенилен; примерами алкинильных остатков являются этинил, пропин-1-ил или пропин-2-ил (=пропаргил).
Циклоалкильными остатками являются в особенности циклопропил, циклобутил, циклопентил, циклогексил, циклогептил, циклооктил, циклононил, циклодецил, циклоундецил и циклододецил, которые, однако, также могут быть замещены, например, с помощью (С1-С4)-алкила. В качестве примеров замещенных циклоалкильных остатков следует назвать 4-метилциклогексил и 2,3-диметилциклогексил. Аналогичное относится к циклоалкиленовым остаткам.
Обозначаемые как R16 6-24-членные бициклические и трициклические остатки обычно получают путем удаления одного атома водорода из бициклического, соответственно трициклического соединения. Соответствующие исходные бициклы и трициклы в качестве членов цикла могут содержать только атомы углерода, следовательно, речь может идти о бициклоалканах или трициклоалканах; однако они также могут содержать 1-4 одинаковых или разных гетероатома, выбранных из ряда, состоящего из азота, кислорода и серы, следовательно, речь может также идти об аза-, окса- и тиабицикло- и -трициклоалканах. Если содержатся гетероатомы, то предпочтительно содержатся один или два гетероатома, в особенности атомы азота или кислорода. Гетероатомы могут занимать любые положения в би-, соответственно трициклическом каркасе, они могут находиться в мостиках или в случае атомов азота также в головных частях мостиков. Как бицикло- и трициклоалканы, так и их гетероаналоги могут быть полностью насыщенными соединениями или могут содержать одну или несколько двойных связей; предпочтительно они содержат одну или две двойные связи или в особенности они являются полностью насыщенными. Как бицикло- и трициклоалканы, так и гетероаналоги, и как насыщенные, так и ненасыщенные их представители могут быть незамещены или могут быть замещены в любых пригодных положениях одной или несколькими оксогруппами и/или одной или несколькими одинаковыми или различными (С1-С4)-алкильными группами, например метильными или изопропильными группами, предпочтительно метильными группами. Свободная связь би- или трициклического остатка может находиться в любом положении молекулы, следовательно, остаток может быть связан через головной мостиковый атом или атом в мостике. Свободная связь может также находиться в любом с точки зрения стереохимии положении, например в экзо- или эндо-положении.
Примерами основ бициклических систем, от которых может получаться бициклический остаток, являются норборнан (=бицикло/2.2.1/гептан), бицикло/2.2.2/октан и бицикло/3.2.1/ октан. Примерами содержащих гетероатомы систем, ненасыщенных или насыщенных систем являются 7-азабицикло/2.2.1/гептан, бицикло/2.2.2/окт-5-ен или 1,7,7-триметил-2-оксобицикло/2. 2.1/гептан.
Примерами систем, от которых можно производить трициклический остаток, являются твистан (=трицикло/4.4.0.03,8) декан), адамантан (=трицикло/3.3.1.13,7)декан), норадамантан (=трицикло/3.3.1.03,7)-нонан), трицикло/2.2.1.02,6/гептан, трицикло/5.3.2.04,9/додекан, трицикло/5.4.0.02,9/ундекан или трицикло/5.5.1.03,11/тридекан.
Бициклические или трициклические остатки предпочтительно производятся от мостиковых бициклов, соответственно трициклов, следовательно, от систем, в которых циклы имеют общими два или более чем два атомов. Далее, также предпочтительны бициклические или трициклические остатки с 6-18 циклическими атомами, особенно таковые с 7-12 циклическими атомами.
В частности, особенно предпочтительными би- и трициклическими остатками являются 2-норборнильный остаток, также как таковые со свободной связью в экзо-положении, как и таковые со свободной связью в эндо-положении, 2-бицикло-/3.2.1/октильный остаток, 1-адамантильный остаток, 2-адамантильный остаток и норадамантильный остаток, например 3-норадамантильный остаток. Кроме того, предпочтительны 1- и 2-адамантильный остатки.
(С6-С14)-арильными группами являются, например, фенил, нафтил, бифенилил, антрил или флуоренил, причем предпочтительны 1-нафтил, 2-нафтил и в особенности фенил. Арильные остатки, в особенности фенильные остатки, могут быть одно- или многократно, предпочтительно однократно, двукратно или трехкратно, замещены одинаковыми или различными остатками из ряда, состоящего из (С1-С8)-алкила, в особенности (С1-С4)-алкила, (С1-С8)-алкоксила, в особенности (С1-С3)-алкоксила, галогена, нитрогруппы, аминогруппы, трифторметила, гидроксила, метилендиоксигруппы, этилендиоксигруппы, цианогруппы, гидроксикарбонила, аминокарбонила, (С1-С4)-алкоксикарбонила, фенила, феноксигруппы, бензила (R8O)2P(O), (R8О)2Р(О)-О-, тетразолила. Соответствующее действует, например, для таких остатков, как аралкил или арилкарбонил. Аралкильными остатками являются в особенности бензил, а также 1- и 2-нафтилметил, 2-, 3- и 4-бифенилилметил и 9-фторенилметил, которые также могут быть замещены. Замещенными аралкильными остатками являются, например, замещенный в арильной части одним или несколькими (С1-С8)-алкильными остатками, в особенности (С1-С4)-алкильными остатками, бензил и нафтилметил, например, как 2-, 3- и 4-метилбензил, 4-изобутилбензил, 4-трет.-бутилбензил, 4-октилбензил, 3,5-диметилбензил, пентаметилбензил; 2-, 3-, 4-, 5-, 6-, 7- и 8-метил-1-нафтилметил; 1-, 3-, 4-, 5-, 6-, 7- и 8-метил-2-нафтилметил; замещенный в арильной части одним или несколькими (С1-С8)-алкоксильными остатками, в особенности (С1-С4)-алкоксильными остатками, бензил или нафтилметил, например 4-метоксибензил, 4-неопентилоксибензил, 3,5-диметоксибензил, 3,4-метилендиоксибензил, 2,3,4-триметоксибензил, далее, 2-, 3- и 4-нитробензил, галогенбензил, например 2-, 3- и 4-хлорбензил и 2-, 3- и 4-фторбензил, 3,4-дихлобензил, пентафторбензил, трифторметилбензил, например 3- и 4-трифторметилбензил или 3,5-бис (трифторметил)бензил. Замещенные аралкильные остатки, однако, также могут иметь различные заместители. Примерами пиридила являются 2-пиридил, 3-пиридил и 4-пиридил.
В монозамещенных фенильных остатках заместитель может находиться в положении 2, 3 или 4, причем предпочтительны положения 3 и 4. Если фенил замещен двукратно, то заместители могут находиться в положении 1,2, 1,3 или 1,4 по отношению друг к другу. Двукратно замещенный фенил, следовательно, может быть замещен в положении 2, 3, в положении 2, 4, в положении 2, 5, в положении 2, 6, в положении 3, 4 или в положении 3, 5, по отношению к месту связывания. В двукратно замещенных фенильных остатках предпочтительно оба заместителя находятся в положении 3 и в положении 4 по отношению к месту соединения. Соответствующее действует для фениленовых остатков, которые могут быть, например, в виде 1,4-фенилена или в виде 1,3-фенилена.
Фенилен-(С1-С6)-алкил представляет собой в особенности фениленметил и фениленэтил. Фенилен-(С2-С6)-алкенил представляет собой в особенности фениленэтенил и фениленпропенил.
Моно- или бициклическими 5-12-членными гетероциклами являются, например, пирролил, фурил, тиенил, имидазолил, пиразолил, оксазолил, изоксазолил, тиазолил, изотиазолил, тетразолил, пиридил, пиразинил, пиримидинил, индолил, изоиндолил, индазолил, фталазинил, хинолил, изохинолил, хиноксалинил, хиназолинил, циннолинил или бензанеллированное, циклопента-, циклогекса- или циклогепта-аннелированное производное этих остатков.
Если не указано ничего другого, эти гетероциклы могут быть замещены по атому азота (С1-С7)-алкилом, например метилом или этилом, фенилом или фенил-(С1-С4)-алкилом, например бензилом, и/или по одному или нескольким атомам углерода – (С1-С4)-алкилом, галогеном, гидроксилом, (С1-С4)-алкоксилом, например бензилоксигруппой или оксогруппой, и могут быть ароматическими или частично или полностью насыщенными. Азотсодержащие гетероциклы могут быть также в виде N-оксидов.
Остатки ароматических гетероциклов, следовательно, гетероарильные остатки, предпочтительно содержат пятичленный гетероцикл или шестичленный гетероцикл с одним, двумя, тремя или четырьмя, в особенности одним или двумя, одинаковыми или различными гетероатомами, выбранными из ряда азота, кислорода и серы, который также может быть аннелирован, например бензаннелирован, и который может быть замещен одним или несколькими, например одним, двумя, тремя или четырьмя, одинаковыми или различными заместителями. В качестве заместителей используют, например, (С1-С8)-алкил, в особенности (С1-С4)-алкил, (С1-С8)-алкоксил, в особенности (С1-С4)-алкоксил, галоген, нитрогруппу, аминогруппу, трифторметил, гидроксил, метилендиоксигруппу, этилендиоксигруппу, цианогруппу, гидроксикарбонил, аминокарбонил, (С1-С4)-алкоксикарбонил, фенил, феноксигруппу, бензил, бензиоксигруппу (R8О)2-Р(O), (R8O)2Р(O)-O- или тетразолил.
Примерами гетероциклических остатков являются 2- или 3-пирролил, фенилпирролил, например 4- или 5-фенил-2-пирролил, 2-фурил, 3-фурил, 2-тиенил, 3-тиенил, 4-имидазолил, метилимидазолил, например 1-метил-2-, -4- или -5-имидазолил; 1,3-тиазол-2-ил; -2-пиридил, -3-пиридил и -4-пиридил; -2-, -3- или -4-пиридил-N-оксид; 2-пиразинил; -2-, -4- или -5-пиримидил; -2-, -3- или -5-индолил; замещенный 2-индолил, например 1-метил-, 5-метил-, 5-метокси-, 5-бензилокси-, 5-хпор- или 4,5-диметил-2-индолил; 1-бензил-2- или -3-индолил; 4,5,6,7-тетрагидро-2-индолил; циклогепта/b/-5-пирролил; -2-, -3- или -4-хинолил; -1-, -3- или -4-изохинолил; 1-оксо-l,2-дигидро-3-изохинолил; 2-хиноксалинил; 2-бензофуранил; 2-бензотиенил; 2-бензоксазолил или бензотиазолил. Частично гидрированными или полностью гидрированными гетероциклами являются, например, дигидропиридинил, пирролидинил, например -2-, -3- или -4-(N-метилпирролидинил), пиперазинил, морфолинил, тиоморфолинил, тетрагидротиенил, бензодиоксоланил.
Галоген означает фтор, хлор, бром или йод, в особенности фтор или хлор.
Природные или синтетические аминокислоты, если они хиральные, могут находиться в D- или L-форме. Предпочтительными являются -аминокислоты. Например, следует назвать (см. Губен-Вейл, Методы органической химии, том 15/1 и 15/2, изд. Georg Thieme, Штутгарт, 1974)):
Aad, Abu, Abu, ABz, 2ABz, Aca, Ach, Acp, Adpd, Ahb, Aib, Aib, Ala, Ala, А1а, Alg, All, Ama, Amt, Ape, Apm, Apr, Arg, Asn, Asp, Asu, Aze, Azi, Bai, Bph, Can, Cit, Cys, (Cys)2, Cyta, Daad, Dab, Dadd, Dap, Dapm, Dasu, Djen, Dpa, Dtc, Fel, Gln, Glu, Gly, Guv, hAla, hArg, hCys, hGln, hGlu, His, hlle, hLeu, hLys, hMet, hPhe, hPro, hSer, hThr, hTrp, hTyr, Hyl, Hyp, 3Нур, Ile, Ise, Iva, Kyn, Lant, Lcn, Leu, Lsg, Lys, Lys, Lys, Met, Mim, Min, nArg, Nle, Nva, Oly, Orn, Pan, Pec, Pen, Phe, Phg, Pic, Pro, Рrо, Pse, Pya, Pyr, Pza, Qin, Ros, Sar, Sec, Sem, Ser, Thi, Thi, Thr, Thy, Thx, Tia, Tle, Tly, Trp, Trta, Тyr, Val,
… трет.-бутилглицин (Tbg), неопентилглицин (Npg), циклогексилглицин (Chg), циклогексилаланин (Cha), 2-тиенилаланин (Thia), 2,2-дифениламиноуксусная кислота, 2-(n-толил)-2-фениламиноуксусная кислота, 2-(n-хлорфенил)аминоуксусная кислота.
Под аминокислотными боковыми цепями понимают боковые цепи природных или синтетических аминокислот. Азааминокислоты представляют собой природные или синтетические аминокислоты, в которых центральный структурный элемент
заменен на
В качестве остатка иминокислоты в особенности используют остатки гетероциклов из следующей группы: пирролидин-2-карбоновая кислота; пиперидин-2-карбоновая кислота; 1,2,3,4-тетрагидроизохинолин-3-карбоновая кислота; декагидроизохинолин-3-карбоновая кислота; октагидроиндол-2-карбоновая кислота; декагидрохинолин-2-карбоновая кислота; октагидроциклопента/b/пиррол-2-карбоновая кислота; 2-азабицикло/2.2.2/-октан-3-карбоновая кислота; 2-азабицикло/2.2.1/гептан-3-карбоновая кислота; 2-азабицикло/3.1.0)гексан-3-карбоновая кислота; 2-азаспиро/4.4./нонан-3-карбоновая кислота; 2-азаспиро/4.5/декан-3-карбоновая кислота; спиро(бицикло/2.2.1/гептан)-2,3-пирролидин-5-карбоновая кислота, спиро(бицикло/2.2.2/октан)-2,3-пирролидин-5-карбоновая кислота; 2-азатрицикло/4.3.0.16,9/декан-3-карбоновая кислота; декагидроциклогепта/b/пиррол-2-карбоновая кислота; декагидроциклоокта/с/пиррол-2-карбоновая кислота; октагидроциклопента/с/ пиррол-2-карбоновая кислота; октагидроизоиндол-1-карбоновая кислота; 2,3,3а,4,6а-гексагидроциклопента/b/пиррол-2-карбоновая кислота; 2,3,3а,4,5,7а-гексагидроиндол-2-карбоновая кислота; тетрагидротиазол-4-карбоновая кислота; изоксазолидин-3-карбоновая кислота; пиразолидин-3-карбоновая кислота; гидроксипирролидин-2-карбоновая кислота, причем все они при необходимости могут быть замещены (см. следующие формулы):
; ; ; ;
; ; ;
; ; ;
; ; ;
; ; ;
; ; ; ;
; ; ; ;
.
Составляющие основу вышеуказанных остатков гетероциклы известны, например, из заявок на патенты США №4344949, 4374847, 4350704; из европейских патентных заявок №29488, 31741, 46953, 49605, 49658, 50800, 51020, 52870, 79022, 84164, 89637, 90341, 90362, 105102, 109020, 111873, 271865 и 344682.
Дипептиды в качестве структурных элементов могут содержать природные или синтетические аминокислоты, иминокислоты, а также азааминокислоты. Далее, природные или синтетические аминокислоты, иминокислоты, азааминокислоты и дипептиды также могут находиться в виде сложных эфиров, соответственно амидов, как, например, в виде сложного метилового, этилового, изопропилового, изобутилового, трет.-бутилового, бензилового эфира; незамещенного амида, этиламида, семикарбазида или -амино-(С2-С8)-алкиламида.
Функциональные группы аминокислот, иминокислот и дипептидов могут быть защищены. Пригодные защитные группы, как, например, защитные для уретановой функции группы, защитные для карбоксильной функции группы и защитные группы боковых цепей описываются у Hubbuch, Kontakte (Merck) 1979, №3, с.14-23, и у Bullesbach, Kontakte (Merck) 1980, №1, с.23-35. В особенности следует назвать: Aloc, Pyoc, Fmoc, Tcboc, Z, Воc, Ddz, Врос, Adoc, Msc, ос, Z(NO2), Z(Hal)n, Bobz, Iboc, Adpoc, Mboc, Acm, tert-Butyl, OBzL, ONbzl, OMbzl, Bzl, Mob, Pic, Trt.
Физиологически приемлемыми солями соединений формулы (I) являются в особенности фармацевтически применимые или нетоксичные соли.
Такие соли, например, соединений формулы (I), которые содержат кислые группы, например карбоксил, образуются со щелочными или щелочноземельными металлами, как, например, натрий, калий, магний и кальций, а также с физиологически приемлемыми органическими аминами, как, например, триэтиламин, этаноламин или трис(2-гидроксиэтил)амин.
Соединения формулы (I), которые содержат основные группы, например аминогруппу, амидиногруппу или гуанидиногруппу, образуют соли с неорганическими кислотами, как, например, соляная кислота, серная кислота или фосфорная кислота, и с органическими карбоновыми или сульфоновыми кислотами, как, например, уксусная кислота, лимонная кислота, бензойная кислота, малеиновая кислота, фумаровая кислота, винная кислота, метансульфокислота или п-толуолсульфокислота.
Соли соединений формулы (I) можно получать обычными, известными специалисту способами, например, путем соединения с органической или неорганической кислотой или основанием в растворителе или в диспергаторе, или также путем анионного обмена или катионного обмена из других солей.
Соединения формулы (I) могут находиться в стереоизомерных формах. Если соединения формулы (I) содержат один или несколько асимметрических центров, то они, независимо друг от друга, могут иметь S-конфигурацию или R-конфигурацию. К изобретению относятся все возможные стереоизомеры, например энантиомеры и диастереомеры, и смеси двух или более стерео-изомерных форм, например смеси энантиомеров и/или диастереомеров, в любых соотношениях. Энантиомеры, следовательно, в энантиомерно чистой форме, как в виде левовращающих, так и в виде правовращающих антиподов, в форме рацематов и в форме смесей обоих энантиомеров в любых соотношениях составляют предмет изобретения. При наличии цис/транс-изомерии как цис-форма, так и транс-форма и смеси этих форм также составляют предмет изобретения.
Предлагаемые согласно изобретению соединения формулы (I), кроме того, могут содержать подвижные атомы водорода, следовательно, находиться в различных таутомерных формах. Также все эти таутомеры составляют предмет настоящего изобретения. Настоящее изобретение, далее, включает все сольваты соединений формулы (I), например гидраты или аддукты со спиртами, а также производные соединений формулы (I), например сложные эфиры, пролекарства и метаболиты, которые действуют как соединения формулы (I).
Отдельные структурные элементы формулы (I) имеют предпочтительно следующие значения:
W означает предпочтительно R1-A-C(R13);
А означает предпочтительно метилен, этилен, триметилен, тетраметилен, пентаметилен, циклогексилен, фенилен, фениленметил или фениленэтил;
Y означает предпочтительно карбонильную группу;
Z означает предпочтительно N(R0);
В означает предпочтительно метилен, этилен, триметилен, тетраметилен, винилен, фенилен или замещенный метилен или этилен. Особенно предпочтительно В означает двухвалентный метиленовый или этиленовый остаток (=1,2-этилен), причем каждый из этих остатков незамещен или может быть замещен, в особенности представляет собой незамещенный или замещенный метиленовый остаток. В особенности предпочтительно оба этих остатка замещены. Если обозначающий В двухвалентный метиленовый остаток или этиленовый остаток (=1,2-этилен) замещен, то предпочтительно он замещен остатком из ряда, состоящего из (С1-С8)-алкила, (С2-С6)-алкенила, (С2-С6)-алкинила, (C3-C8)-циклоалкила, в особенности (C5-C6)-циклоалкила, (С3-С8)-циклоалкил-(С1-С4)-алкила, в особенности (С5-С6)-циклоалкил-(С1-С4)-алкила, при необходимости замещенного (С6-С10)-арила, при необходимости замещенного в арильном остатке (С6-С10)-арил-(С1-С4)-алкила, при необходимости замещенного гетероарила или при необходимости замещенного в гетероарильном остатке гетероарил-(С1-С4)-алкила; и особенно предпочтительно он замешен (С1-С8)-алкилом, следовательно, линейным или разветвленным алкильным остатком с 1-8 атомами углерода;
D означает предпочтительно С(R2)(R3);
Е означает предпочтительно R10СО;
R означает предпочтительно водород, (С1-С6)-алкил или бензил, в особенности водород, метил или этил;
R0 означает предпочтительно (С1-С8)-алкил, (С3-С8)-циклоалкил, (С3-С8)-циклоалкил-(С1-С4)-алкил, при необходимости замещенный (С6-С14)-арил или при необходимости замещенный в арильном остатке (С6-С14)-арил-(С1-С8)-алкил. R0 особенно предпочтительно означает (С1-С8)-алкил, (С3-С8)-циклоалкил, при необходимости замещенный (С6-С14)-арил или при необходимости замещенный в арильном остатке (С6-С14)-арил-(С1-С8)-алкил; в особенности предпочтительно при необходимости замещенный в арильном остатке (С6-С14)-арил или при необходимости замещенный в арильном остатке (С6-С14)-арил-(С1-С8)-алкил; сверх того, предпочтительно при необходимости замещенный в арильном остатке (С6-С14)-арил-(С1-С4)-алкил. В частности, предпочтительно, когда R0 означает незамещенный или однократно или многократно замещенный в арильном остатке бифенилилметил, нафтилметил или бензил;
R1 означает предпочтительно X-NH-C(=NH), X-NH(C=NX)-NH или X-NH-CH2;
X и Х1 означают предпочтительно водород, (С1-С6)-алкилкарбонил, (С1-С6)-алкоксикарбонил, (С1-С18)-алкилкарбонилокси-(С1-С6)-алкоксикарбонил или (С6-С14)-арил-(С1-С6)-алкоксикарбонил, гидроксил; Х1 к тому же означает R’-NH-C(=N-R”), причем R’ и R”, независимо друг от друга, имеют указанные для Х предпочтительные значения;
R2 означает предпочтительно водород или (С1-С8)-алкил;
R3 означает предпочтительно (С1-С8)-алкил, при необходимости замещенный (С6-С14)-арил, при необходимости замещенный в арильном остатке (С6-С14)-арил-(С1-С8)-алкил, (С3-С8)-циклоалкил, (С2-С8)-алкенил, (С2-С8)-алкинил, пиридил, R11NH, R4CO, COOR4, CON(CH3)R14, CORH14, CSNHR14, COOR15, CON(CH3)R15 или CONHR15; особенно предпочтительно при необходимости замещенный (C6-C14)-арил, R11NH, CON(CH3)R14 или CONНR14;
R4 и R14 означают предпочтительно (С1-С8)-алкил, который при необходимости может быть замещен как указано в определении R4, соответственно R14;
R13 означает предпочтительно водород и в особенности (С1-С6)-алкил, (С3-С8)-циклоалкил или бензил, причем в особенности предпочтительным алкильным остатком, означающим R13, является метильныи остаток;
R15 означает предпочтительно R16-(С1-С3)-алкил или R16, особенно предпочтительно R16-(С1)-алкил или R16. Сверх того, когда R3 означает COOR15, R15 предпочтительно означает экзо-2-норборнил, эндо-2-норборнил или бицикло/3.2.1/октил, а тогда, когда R3 означает CONHR15, R15 означает экзо-2-норборнил, эндо-2-норборнил, 3-норадамантил и в особенности 1-адамантил, 2-адамантил, 1-адамантилметил или 2-адамантилметил;
R16 означает предпочтительно 7-12-членный мостиковый бициклический или трициклический остаток, который является насыщенным или частично ненасыщенным и который также может содержать 1-4 одинаковых или различных гетероатома, выбранных из ряда азота, кислорода и серы, и который также может быть замещен одним или несколькими одинаковыми или различными заместителями, выбранными из ряда (С1-С4)-алкила и оксогруппы;
b, с и d, независимо друг от друга, означают 1;
е, g и h, независимо друг от друга, означают предпочтительно числа 0, 1, 2 или 3.
Предпочтительными для предлагаемого согласно изобретению применения соединениями являются такие, в которых в формуле (I) символы имеют одновременно следующие значения:
W означает R1-A-C(R13) или R1-A-CH=C;
Y означает карбонил, тиокарбонил или метиленовую группу;
Z означает N(R0), кислород, серу или метиленовую группу;
А означает двухвалентный остаток, выбранный из ряда (С1-С6)-алкилена, (С3-С7)-циклоалкилена, фенилена, фенилен-(С1-С6)-алкила, (С1-С6)-алкиленфенила, фенилен-(C2-C6)-алкенила, или двухвалентный остаток пяти- или шестичленного насыщенного или ненасыщенного цикла, который может содержать 1 или 2 атома азота и может быть одно- или двукратно замещен (С1-С6)-алкилом или дважды связанным кислородом или серой;
В означает двухвалентный остаток, выбранный из ряда (С1-С6)-алкилена, (С2-С6)-алкенилена, фенилена, фенилен-(С1-С3)-алкила, (С1-С3)-алкиленфенила;
D означает C(R2)(R3), N(R3) или CH=C(R3);
Е означает тетразолил, (R8O)2P(O), HOS(O)2, R9NHS(O)2 или R10СО;
R и R0, независимо друг от друга, означают водород, (С1-С8) алкил, (С3-С8)-циклоалкил, при необходимости замещенный (С6-С14)-арил или при необходимости замещенный в арильном остатке (C6-C14)-арил-(С1-C8)-алкил;
R1 означает X-NH-C(=NH)-(СН2)p или X1-NH-(CH2)p, причем р означает 0, 1, 2 или 3;
X означает водород, (С1-С6)-алкил, (С1-С6)-алкилкарбонил, (С1-С6)-алкоксикарбонил, (С1-С18)-алкилкарбонилокси-(С1-С6)-алкоксикарбонил, при необходимости замещенный (С6-С14)-арилкарбонил, при необходимости замещенный (С6-С14)-арилоксикарбонил; (С6-С14)-арил-(С1-С6)-алкоксикарбонил, который в арильном остатке также может быть замещен; (R8O)2Р(O), цианогруппу, гидроксил, (С1-С6)-алкоксил; (С6-С14)-арил-(С1-С6)-алкоксил, который в арильном остатке также может быть замещен; или аминогруппу;
Х1 имеет одно из указанных для Х значений или означает R’-NH-C(=N-R”), причем R’ и R”, независимо друг от друга, имеют указанные для Х значения;
R2 означает водород, (С1-С8)-алкил, при необходимости замещенный (С6-С14)-арил, при необходимости замещенный в арильном остатке (С6-С14)-арил-(С1-С8)-алкил или (С3-С8)-циклоалкил;
R3 означает водород, (С1-С8)-алкил, при необходимости замещенный (С6-С14)-арил, при необходимости замешенный в арильном остатке (С6-С14)-арил-(С1-С8)-алкил, (С3-С8)-циклоалкил, (С2-С8)-алкенил, (С2-С8)-алкинил, (С2-С8)-алкенилкарбонил, (С2-С8)-алкинилкарбонил, пиридил, R11NH, R4CO, COOR4, CON(CH3)R14, CONHR14, CSNHR14, COOR15, CON(CH3)R15 или CONHR15;
R4 означает водород или (С1-С28)-алкил, который при необходимости может быть одно- или многократно замещен одинаковыми или разными остатками R4′;
R4′ означает гидроксил, гидроксикарбонил, аминокарбонил, моно- или ди-((С1-С18)-алкил)аминокарбонил, амино-(С2-С18)-алкиламинокарбонил, амино-(С1-С3)-алкилфенил-(С1-C3)-алкиламинокарбонил, (С1-С18)-алкилкарбониламино-(С1-С3)-алкилфенил-(С1-С3)-алкиламинокарбонил, (С1-С18)-алкилкарбониламино-(С2-С18)-алкиламинокарбонил, (С6-С14)-арил-(С1-С8)-алкоксикарбонил, который в арильном остатке также может быть замещен; аминогруппу, меркаптогруппу, (С1-С18)-алкоксил, (С1-С18)-алкоксикарбонил, при необходимости замещенный (С3-С8)-циклоалкил, галоген, нитрогруппу, трифторметил или осаток 5;
R5 означает при необходимости замещенный (С6-С14)-арил, при необходимости замещенный в арильном остатке (С6-С14)-арил-(С1-С8)-алкил, моно- или бициклический, пяти-двенадцатичленный гетероцикл, который может быть ароматическим, частично гидрированным или полностью гидрированным и который может содержать один, два или три одинаковых или различных гетероатома, выбранных из ряда азота, кислорода и серы; остаток R6 или остаток R6СО-, причем арил и независимо от него гетероцикл могут быть одно- или многократно замещены одинаковыми или различными остатками, выбранными из ряда, состоящего из (С1-С18)-алкила, (С1-С18)-алкоксила, галогена, нитрогруппы, аминогруппы или трифторметила;
R6 означает R7R8N, R7О или R7S или аминокислотную боковую цепь, остаток природной или синтетической аминокислоты, иминокислоты, при необходимости N-(С1-C8)-алкилированной или N-((C6-C14)-арил-(С1-С8)-алкилированной) азааминокислоты или дипептида, который в арильном остатке также может быть замещен и/или в котором пептидная связь может быть восстановлена до -NH-CH2, а также их сложные эфиры и амиды, причем вместо свободных функциональных групп может быть водород или гидроксиметил и/или причем свободные функциональные группы могут быть защищены обычными в химии пептидов защитными группами;
R7 означает водород, (С1-С18)-алкил, (С6-С14)-арил-(С1-С8)-алкил, (С1-С18)-алкилкарбонил, (С1-С18)-алкоксикарбонил, (С6-С14)-арилкарбонил, (С6-С14)-арил-(С1-С8)-алкилкарбонил или (С6-С14)-арил-(С1-С18)-алкоксикарбонил, причем алкильные группы могут быть замещены аминогруппой и/или причем арильные остатки могут быть одно- или многократно, предпочтительно однократно, замещены одинаковыми или различными остатками из ряда, состоящего из (С1-С8)-алкила, (С1-С8)-алкоксила, галогена, нитрогруппы, аминогруппы и трифторметила; остаток природной или синтетической аминокислоты, иминокислоты, при необходимости N-(С1-С8)-алкилированной или N-((С6-С14)-арил-(С1-С8)-алкилированной)азааминокислоты или дипептида, который в арильной части также может быть замещен и/или в котором пептидная связь может быть восстановлена до -NH-CH2-;
R8 означает водород, (С1-С18)-алкил, при необходимости замешенный (C6-C14)-арил или (C6-C14)-арил-(С1-С8)-алкил, который в арильном остатке также может быть замещен;
R9 означает водород, аминокарбонил, (С1-С18)-алкиламинокарбонил, (С3-С8)-циклоалкиламинокарбонил, при необходимости замещенный (С6-С14)-ариламинокарбонил, (С1-С18)-алкил, при необходимости замещенный (С6-С14)-арил или (С3-С8)-циклоалкил;
R10 означает гидроксил, (С1-С18)-алкоксил, (С6-С14)-арил-(С1-С8)-алкоксил, который в арильном остатке также может быть замещен; при необходимости замещенную (С6-С14)-арилоксигруппу, аминогруппу или моно- или ди-((С1-С18)-алкил)аминогруппу;
R11 означает водород, (С1-С18)-алкил, R12СО, при необходимости замещенный (С6-С14)-арил-S(О)2, (С1-С18)-алкил-S(O)2, при необходимости замещенный в арильном остатке (С6-С14)-арил-(С1-С8)-алкил или R9NHS(О)2;
R12 означает водород, (С1-С18)-алкил, (С2-С8)-алкенил, (С2-С8)-алкинил, при необходимости замещенный (С6-С14)-арил, (С1-С18)-алкоксил; (С6-С14)-арил-(С1-С8)-алкоксил, который в арильном остатке может быть также замещен; при необходимости замещенную (С6-С14)-арилоксигруппу, аминогруппу или моно- или ди-((С1-С18)алкил)-аминогруппу;
R13 означает водород, (С1-С6)-алкил, при необходимости замещенный в арильном остатке (С6-С14)-арил-(С1-С8)-алкил или (С3-С8)-циклоалкил;
R14 означает водород или (С1-С28)-алкил, который может быть однократно или многократно замещен одинаковыми или различными остатками, выбранными из ряда гидроксила, гидроксикарбонила, аминокарбонила, моно- или ди-((C1-C18)-алкил)аминокарбонила, амино-(С2-С18)-алкиламинокарбонила, амино-(С1-С3)-алкилфенил-(С1-С3)-алкиламинокарбонила, (С1-С18)-алкилкарбониламино-(С1-С3)-алкилфенил-(С1-С3)-алкиламинокарбонила, (С1-С18)-алкилкарбониламино-(С2-С18)-алкиламинокарбонила, (С6-С14)-арил-(С1-С8)-алкоксикарбонила, который в арильном остатке также может быть замещен; аминогруппы, меркаптогруппы, (С1-С18)-алкоксила, (С1-С18)-алкоксикарбонила, при необходимости замещенного (С3-С8)-циклоалкила, HOS(О)2-(С1-С3)-алкила, R9NHS(О)2-(С1-С3)-алкила, (R8О)2Р(О)-(С1-С3)-алкила, тетразолил-(С1-С3)-алкила, галогена, нитрогруппы, трифторметила и R5;
R15 означает R16-(С1-С6)-алкил или R16;
R16 означает 6-24-членный бициклический или трициклический остаток, который является насыщенным или частично ненасыщенным и который также может содержать 1-4 одинаковых или различных гетероатома, выбранных из ряда азота, кислорода и серы, и который также может быть замещен одним или несколькими одинаковыми или различными заместителями из ряда, состоящего из (С1-С4)-алкила и оксогруппы;
b, с, независимо друг от друга, означают 0 или 1, однако
d и f все одновременно не могут означать нуль;
е, g и h, независимо друг от друга, означают 0, 1, 2, 3, 4, 5 или 6;
во всех их стереоизомерных формах и в виде их смесей в любых соотношениях, а также их физиологически приемлемые соли.
Особенно предпочтительными соединениями формулы (I) являются такие, где одновременно:
W означает R1-А-СН=С, в котором А означает фениленовый остаток, или
W означает R1-A-C(R13), в котором А означает двухвалентный остаток, выбранный из ряда метилена, этилена, триметилена, тетраметилена, пентаметилена, циклогексилена, фенилена, фениленметила;
В означает двухвалентный остаток, выбранный из ряда метилена, этилена, триметилена, тетраметилена, винилена, фенилена или замещенного метилена или этилена;
Е означает R10СО;
R означает водород, (С1-С6)-алкил или бензил;
R0 означает (С1-С8)-алкил, (С3-С8)-циклоалкил, при необходимости замещенный (С6-С14)-арил или при необходимости замещенный в арильном остатке (С6-С14)-арил-(C1-C8)-алкил;
R1 означает X-NH-C(=NH), X-NH-C(=NX)-NH или X-NH-CH2;
X означает водород, (С1-С6)-алкилкарбонил, (С1-С6)-алкоксикарбонил, (С1-С8)-алкилкарбонилокси-(С1-С6)-алкоксикарбонил, (С6-С14)-арил-(С1-С6)-алкоксикарбонил или гидроксил;
R2 означает водород или (С1-С8)-алкил;
R3 означает (C1-C8)-алкил, при необходимости замещенный (С6-С14)-арил, (C6-C14)-арил-(C1-C8)-алкил, (C3-C8)-циклоалкил, (С2-С8)-алкенил, (C2-C8)-алкинил, пиридил, R11NH, R4CO, COOR4, CONHR14, COOR15 и CONHR15;
и е, g и h, независимо друг от друга, означают числа 0, 1, 2 или 3;
во всех их стереоизомерных формах и в виде их смесей в любых соотношениях, а также их физиологически приемлемые соли.
В особенности предпочтительными соединениями формулы (1) являются такие, где
W означает R1-А-С(R13) и R13 означает (С1-С6)-алкил, при необходимости замещенный в арильном остатке (С6-С14)-арил-(С1-С8)-алкил или (С3-С8)-циклоалкил,
во всех их стереоизомерных формах и в виде их смесей в любых соотношениях, а также их физиологически приемлемые соли.
Один ряд особо предпочтительных соединений формулы (I) образуют такие соединения, где
R3 означает при необходимости замещенный (С6-С14)-арил, COOR4, R11NH или CONHR14, причем -NHR14 означает остаток -аминокислоты, ее -амино-(С2-С8)-алкиламида, ее (С1-С8)-алкилового эфира или ее (С6-С14)-арил-(С1-С4)-алкилового эфира,
во всех их стереоизомерных формах и в виде их смесей в любых соотношениях, а также их физиологически приемлемые соли. Обозначаемый как –NHR14 остаток -аминокислоты обычно получают путем удаления одного атома водорода из аминогруппы аминокислоты. В этом ряду особо предпочтительно, когда R3 означает CONHR14, причем –NHR14 означает остаток таких аминокислот, как валин, лизин, фенилглицин, фенилаланин или триптофан, или их (С1-С8)-алкиловых эфиров или (C6-C14)-арил-(С1-С4)-алкиловых эфиров.
Кроме того, предпочтительными соединениями формулы (1) в этом ряду являются такие, где одновременно
W означает R1-A-C(R13);
Y означает карбонильную группу;
Z означает N(P0);
А означает этилен, триметилен, тетраметилен, пентаметилен, циклогексилен, фенилен или фениленметил;
В означает незамещенный или замещенный метиленовый остаток;
D означает C(R2)(R3);
Е означает R10CO;
R означает водород или (С1-С4)-алкил, в особенности водород, метил или этил;
R0 означает (С1-С8)-алкил, (С3-С8)-циклоалкил, при необходимости замещенный (С6-С14)-арил или при необходимости замещенный в арильном остатке (С6-С14)-арил-(С1-С8)-алкил;
R1 означает H2N-C(=NH), H2-C(=NH)-NH или Н2N-СН2;
R2 означает водород;
R3 означает остаток CONHR14;
R10 означает гидроксил или (С1-С8)-алкоксил, предпочтительно (С1-С4)-алкоксил;
R13 означает (C1-C6)-алкил, (С3-С7)-циклоалкил или бензил, в особенности метил;
R14 означает метил, который замещен гидроксикарбонилом или остатком, выбранным из ряда (С1-С4)-алкила, фенила и бензила, или метил, который замещен (С1-С8)-алкоксикарбонилом, предпочтительно (С1-С4)-алкоксикарбонилом и остатком, выбранным из ряда (С1-С4)-алкила, фенила и бензила;
b, с и d означают 1;
e, f и g означают нуль;
h означает 1 или 2, предпочтительно 1;
во всех их стереоизомерных формах и в виде их смесей в любых соотношениях, а также их физиологически приемлемые соли.
Если –NHR14 означает (С1-С8)-алкиловый эфир -аминокислоты, соответственно, содержит R14 в качестве алкоксикарбонильного остатка, то предпочтительным является метиловый, этиловый, изопропиловый, изобутиловый или трет.-бутиловый сложный эфир; если –NHR14 означает (С6-С14)-арил-(С1-С4)-алкиловый эфир -аминокислоты, то предпочтителен бензиловый сложный эфир.
Другой ряд особо предпочтительных соединений формулы (I) образуют такие соединения, где одновременно
W означает R1-A-CH=C, в котором А означает фениленовый остаток, или W означает R1-А-С(R13), в котором А означает двухвалентный остаток, выбранный из ряда метилена, этилена, триметилена, тетраметилена, пентаметилена, циклогексилена, фенилена, фениленметила;
В означает двухвалентный остаток, выбранный из ряда метилена, этилена, триметилена, тетраметилена, винилена, фенилена или замещенного метилена или этилена;
Е означает R10СО;
R означает водород или (С1-С6)-алкил;
R0 означает (С1-С8)-алкил, (С3-С8)-циклоалкил, при необходимости замещенный (С6-С14)-арил или при необходимости замещенный в арильном остатке (С6-С14)-арил-(C1-C8)-алкил;
R1 означает X-NH-C(=NH), X-NH-C(=NX)-NH или X-NH-CH2;
X означает водород, (C1-C6)-алкилкарбонил, (С1-С6)-алкоксикарбонил, (С1-С8)-алкилкарбонилокси-(С1-С6)-алкоксикарбонил, (C6-C14)-арил-(С1-С6)-алкоксикарбонил или гидроксил;
R2 означает водород или (С1-С8)-алкил;
R3 означает CONHR15 или CONHR14, причем R14 в этом случае означает незамещенный или замещенный одним или несколькими (С6-С14)-арильными остатками (С1-С8)-алкильный остаток;
R15 означает R16-(С1-С6)-алкил или R16, причем R16 означает 7-12-членный мостиковый бициклический или трициклический остаток, который является насыщенным или частично ненасыщенным и который может содержать 1-4 одинаковых или различных гетероатома, выбранных из ряда азота, кислорода и серы, и который также может быть замещен одним или несколькими одинаковыми или различными заместителями из ряда, состоящего из (С1-С4)-алкила и оксогруппы, и в особенности R15 означает адамантильный остаток или адамантилметильный остаток;
е, g и h, независимо друг от друга, означают числа 0, 1, 2 или 3;
b, с и d означают 1;
во всех их стереоизомерных формах и в виде их смесей в любых соотношениях, а также их физиологически приемлемые соли.
Сверх того, предпочтительными соединениями формулы (I) в этом ряду являются такие, где одновременно
W означает R1-A-C(R13);
Y означает карбонильную группу;
Z означает N(R0);
А означает этилен, триметилен, тетраметилен, пентаметилен, циклогексилен, фенилен или фениленметил;
В означает незамещенный или замещенный метиленовый остаток;
D означает С(R2)(R3);
Е означает R10СО;
R означает водород или (С1-С4)-алкил, в особенности водород, метил или этил;
R0 означает (C1-C8)-алкил, (С3-С8)-циклоалкил, при необходимости замещенный (С6-С14)-арил или при необходимости замещенный в арильном остатке (С6-С14)-арил-(С1-С8)-алкил;
R1 означает H2N-C(=NH), H2N-C(=NH)-NH или H2N-CH2;
R2 означает водород;
R3 означает CONHR15 или CONHR14, причем R14 в этом случае означает незамещенный или замещенный одним или несколькими (C6-C10)-арильными остатками (С1-С6)-алкильный остаток;
R10 означает гидроксил или (С1-С8)-алкоксил, предпочтительно (С1-С4)-алкоксил;
R13 означает (С1-С6)-алкил, (С3-С7)-циклоалкил или бензил, в особенности метил;
R15 означает адамантильный остаток или адамантилметильный остаток;
b, с и d означают 1;
e, f и g означают нуль;
h означает 1 или 2, предпочтительно 1;
во всех их стереоизомерных формах и в виде их смесей в любых соотношениях, а также их физиологически приемлемые соли.
Далее, ряд особо предпочтительных соединений формулы (1) образуют такие соединения, где одновременно
W означает R1-A-C(R13);
Y означает карбонильную группу;
Z означает N(R0);
А означает этилен, триметилен, тетраметилен, пентаметилен, циклогексилен, фенилен, фениленметил;
В означает незамещенный или замещенный метиленовый остаток или этиленовый остаток;
D означает С(R2)(R3);
Е означает R10СО;
R означает водород или (С1-С4)-алкил, в особенности водород, метил или этил;
R0 означает (С1-С8)-алкил, (С3-С8)-циклоалкил, при необходимости замещенный (С6-С14)-арил или при необходимости замещенный в арильном остатке (С6-С14)-арил-(С1-С8)-алкил;
R1 означает H2N-C(=NH), H2N-C(=NH)-NH или H2N-CH2;
R2 означает водород;
R3 означает незамещенный фенильный или нафтильный остаток; фенильный остаток или нафтильный остаток, замещенный одним, двумя или тремя одинаковыми или различными остатками, выбранными из ряда (С1-С4)-алкила, (С1-С4)-алкоксила, гидроксила, галогена, трифторметила, нитрогруппы, метилендиоксигруппы, этилендиоксигруппы, гидроксикарбонила, (С1-С4)-алкоксикарбонила, аминокарбонила, цианогруппы, фенила, феноксигруппы, бензила и бензилоксигруппы; пиридильный остаток, (С1-C4)-алкильный остаток, (C2-C4)-алкенильный остаток, (С2-С4)-алкинильный остаток или (С5-С6)-циклоалкильный остаток, и в особенности R3 означает незамещенный или замещенный фенильный остаток или нафтильный остаток,
R10 означает гидроксил или (С1-С8)-алкоксил, в особенности (С1-С4)-алкоксил; и предпочтительно R10 означает остаток, выбранный из ряда гидроксила, метоксигруппы, этоксигруппы, пропоксигруппы и изопропоксигруппы;
R13 означает (С1-С6)-алкил, (С3-С7)-циклоалкил или бензил, в особенности метил;
b, с и d означают 1;
е, f и g означают нуль;
h означает 1 или 2, предпочтительно 1;
во всех их стереоизомерных формах и в виде их смесей в любых соотношениях, а также их физиологически приемлемые соли.
Наконец, ряд особо предпочтительных соединении формулы (1) образуют такие соединения, где одновременно
W означает R1-A-C(R13);
Y означает карбонильную группу;
Z означает N(R0);
А означает этилен, триметилен, тетраметилен, пентаметилен, циклогексилен, фенилен, фениленметил;
В означает незамещенный или замещенный метиленовый остаток или этиленовый остаток;
D означает C(R2)(R3);
E означает R10CO;
R означает водород или (С1-С4)-алкил, в особенности водород, метил или этил;
R0 означает (С1-С8)-алкил, (С3-С8)-циклоалкил, при необходимости замещенный (С6-С14)-арил или при необходимости замещенный в арильном остатке (С6-С14)-арил-(C1-C8)-алкил;
R1 означает Н2N-C(=NH), H2N-C(=NH)-NH или Н2N-CH2;
R2 означает водород;
R3 означает R11NH;
R10 означает гидроксил или (С1-С8)-алкоксил, в особенности (С1-С4)-алкоксил; и предпочтительно R10 означает остаток, выбранный из ряда гидроксила, метоксигруппы, этоксигруппы, пропоксигруппы и изопропоксигруппы;
R13 означает (С1-С6)-алкил, (C3-C7)-циклоалкил или бензил, в особенности метил;
b, с, d и е означают 1;
f и g означают нуль;
h означает нуль;
во всех их стереоизомерных формах и в виде их смесей в любых соотношениях, а также их физиологически приемлемые соли.
Совершенно особо предпочтительными соединениями формулы (I) являются такие, где означающий группу В замещенный метиленовый остаток или замещенный этиленовый остаток в качестве заместителей содержит остаток из ряда, состоящего из (C1-C8)-алкила, (С2-С6)-алкенила, (С2-С6)-алкинила, (С3-С8)-циклоалкила, в особенности (С5-С6)-циалоалкила, (С3-С8)-циклоалкил-(С1-С4)-алкила, в особенности (С5-С6)-циклоалкил-(С1-С4)-алкила, при необходимости замещенного (С6-С10)-арила, при необходимости замещенного в арильной части (С6-С10)-арил-(С1-С4)-алкила, при необходимости замещенного гетероарила и при необходимости замещенного в гетероарильном остатке гетероарил-(С1-С4)-алкила; во всех их стереизомерных формах и в виде их смесей в любых соотношениях, а также их физиологически приемлемые соли. Еще более особо предпочтительными соединениями формулы (I) являются такие, где В означает незамещенный метиленовый остаток или метиленовый остаток, который замещен (С1-С8)-алкильным остатком, в особенности (С1-С6)-алкильным остатком; во всех их стереоизомерных формах и в виде их смесей в любых соотношениях, а также их физиологически приемлемые соли.
В общем, предпочтительны соединения формулы (I), которые в центрах хиральности, например, у находящегося в конфигурации D хирального атома углерода и в центре W в пятичленном гетероцикле в формуле (I) обладают единой конфигурацией.
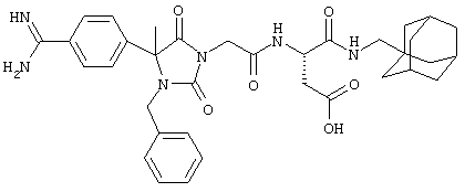
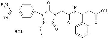
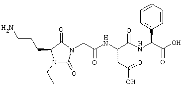
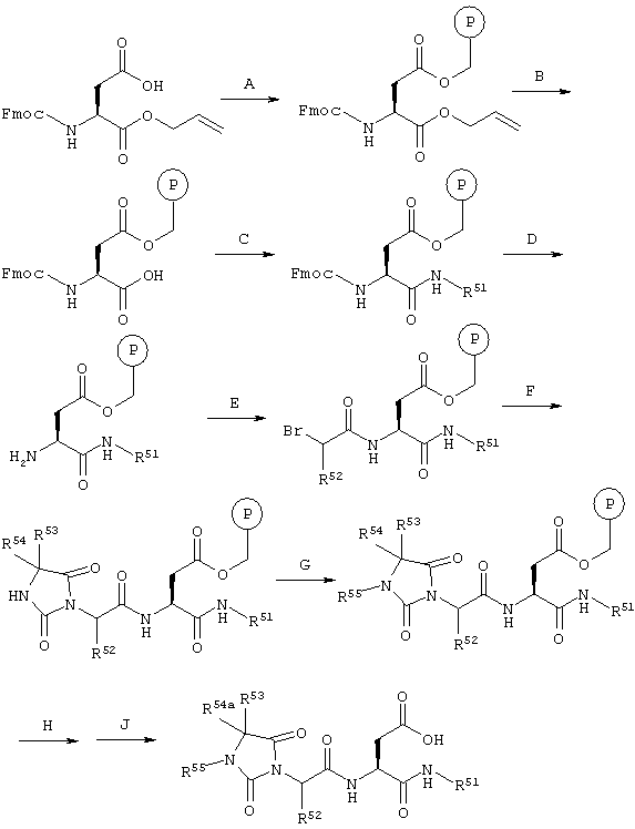
Соединения формулы (I) можно получать, например, путем фрагментной конденсации соединения формулы (II):
с соединением формулы (III):
причем W, Y, Z, В, D, Е, R, а также b, d, e, f, g и h имеют вышеуказанное значение и G означает гидроксикарбонил, (С1-С6)-алкоксикарбонил, остаток активированных производных карбоновой кислоты, как хлорангидридов кислот или активированных сложных эфиров, или изоцианатогруппу.
Для конденсации соединений формулы (II) с соединениями формулы (III) предпочтительно используют сами по себе известные методы сочетания химии пептидов (см., например, Губен-Вейл, Методы органической химии, том 15/1 и 15/2, изд. Georg Thieme, Штутгарт, 1974). Для этого, как правило, необходимо, чтобы имеющиеся, не реагирующие аминогруппы во время конденсации были защищены затем снова удаляемыми защитными группами. То же самое относится к не участвующим в реакции карбоксильным группам, которые находятся предпочтительно в виде (С1-С6)-алкилового, бензилового или трет.-бутилового сложного эфира. Защита аминогрупп является излишней, когда генерируемые аминогруппы еще находятся в виде нитро- или цианогрупп и образуются лишь после реакции сочетания, например, путем гидрирования. После реакции сочетания имеющиеся защитные группы отщепляют пригодным образом. Например, нитрогруппы (защита гуанидиногруппы), бензилоксикарбонильные группы и сложные бензиловые эфиры можно удалять путем гидрирования. Защитные группы трет.-бутилового типа отщепляют в кислых условиях, в то время как 9-фторенилметоксикарбонильный остаток удаляют с помощью вторичных аминов. Соединения формулы (I), например, также можно получать тем, что соединения синтезируют обычными методами постепенно на твердой фазе, как это поясняется ниже в примерах.
Соединения формулы (II), в которой W означает R1-А-С(R13), Y означает карбонильную группу и Z означает NR0, можно получать, например, тем, что сначала соединения формулы (IV):
по реакции Бухерера превращают в соединения формулы (V):
в которой также, как и в формуле (IV), R1, R13 и А имеют вышеуказанное значение (Н.T. Bucherer, V.A. Lieb, J. Prakt. hem., 141, 5 (1934)).
Соединения формулы (VI):
в которой R1, R13, А, В и G имеют вышеуказанное значение, затем можно получать тем, что соединения формулы (V), например, сначала вводят во взаимодействие с алкилирующим агентом, который вводит остаток -B-G в молекулу. Взаимодействие соединений формулы (VI) с вторым реагентом формулы R0-LG, в которой R0 имеет вышеуказанные значения и LG означает нуклеофильно замещаемую удаляемую группу, например галоген, в особенности хлор или бром, (С1-С4)-алкоксил, возможно, замещенную феноксигруппу или гетероциклическую удаляемую группу, как, например, имидазолил, приводит к соответствующим соединениям формулы (II). Эти превращения можно осуществлять аналогично известным специалисту методам. При этом в зависимости от конкретного случая, как это осуществляют во всех стадиях синтеза соединений формулы (I), функциональные группы, которые могут приводить к побочным реакциям или к нежелательным реакциям, можно временно блокировать путем приспособленной к проблеме синтеза стратегии защитных групп, что известно специалисту.
Если W означает R1-А-СН=С, то этот структурный элемент можно вводить, например, тем, что по аналогии с известными методами альдегид конденсируют с пятичленным гетероциклом, который содержит метиленовую группу в соответствующем группе W положении.
Соединения формулы (I), в которых пятичленный гетероцикл представляет собой диоксо- или триоксооксозамещенное имидазолидиновое кольцо, в котором W означает R1-А-С(R13), можно также получать следующим образом.
Путем реакции -аминокислот или N-замещенных -аминокислот или предпочтительно их эфиров, например метилового, этилового, трет.-бутилового или бензилового эфира, например, соединения формулы (VII):
где R0, R1, R13 и А имеют вышеуказанное значение, с изоцианатом или изотиоцианатом, например, формулы (VIII):
где В, D, Е и R, а также b, c, d, e, f, g и h имеют вышеуказанные значения и U означает изоцианато- или изотиоцианатогруппу, получают производные мочевины или тиомочевины, например, формулы (IX):
для которой имеют значение вышеуказанные определения и в которой V означает кислород или серу, которые путем нагревания с кислотой при омылении сложноэфирной функции циклизуют до соединений формулы (Iа):
в которой V означает кислород или серу, W означает R1-А-С-(R13), а остальные символы имеют вышеуказанные значения. Циклизацию соединений формулы (IX) до соединений формулы (1а) можно проводить также путем обработки с помощью оснований в инертном растворителе, например, путем обработки гидридом натрия в апротонном растворителе, таком как диметилформамид.
Во время циклизации гуанидиногруппы можно блокировать с помощью защитных групп, как, например, нитрогруппа. Аминогруппы могут находиться в защищенной форме или еще в виде нитро- или цианогруппы, которую позднее можно восстанавливать до аминогруппы или в случае цианогруппы также можно превращать ее в формамидиногруппу.
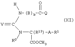
Соединения формулы (I), в которых пятичленный гетероцикл представляет собой диоксо- или триоксооксозамещенное имидазолидиновое кольцо, в котором W означает R1-А-С(R13) и с означает 1, также можно получать тем, что соединение формулы (VII) вводят во взаимодействие с изоцианатом или изотиоцианатом формулы (X):
в которой B, U и b имеют указанное в случае формулы (VIII) значение и Q означает алкоксигруппу, например (С1-С4)-алкоксигруппу, как метоксигруппа, этоксигруппа или трет.-бутоксигруппа, (С6-С14)-арилоксигруппу, например феноксигруппу, или (С6-С14)-арил-(С1-С4)-алкоксигруппу, например как бензилоксигруппа. При этом получают соединение формулы (XI):
в которой А, В, V, Q, R0, R1, R13 и b имеют вышеуказанные в случае формул (IX) и (X) значения, которое затем под воздействием кислоты или основания, как описано выше для циклизации соединений формулы (IX), циклизуют до соединения формулы (XII):
в которой В, Q, V, W, R0 и b имеют вышеуказанные в случае формул (Iа) и (X) значения. Затем из соединения формулы (XII) путем гидролиза группы CO-Q до карбоновой кислоты СООН и последующего сочетания с соединением формулы (III), как описывается выше для сочетания соединений формулы (II) и формулы (III), получают соединение формулы (Iа). Также в этом случае во время циклизации функциональные группы могут находиться в защищенной форме или в виде предшественников, например гуанидиногруппы блокируют с помощью нитрогруппы или аминогруппы находятся в защищенной форме или еще в виде нитро- или цианогруппы, которые позднее можно восстанавливать до аминогруппы или в случае цианогруппы также можно ее превращать в формамидиногруппу.
Другим способом получения соединений формулы (Iа) является, например, введение во взаимодействие соединений формулы (XIII):
в которой W означает R1-A-C(R13) и остальные определения имеют вышеуказанное значение, с фосгеном, тиофосгеном или соответствующими эквивалентами (аналогично S. Goldschmidt M. Wick, Liebigs Ann. Chem., 575, 217-231 (1952)); C. Tropp, Chem. Ber., 61, 1431-1439 (1928)).
Переведение аминогруппы в гуанидиногруппу можно осуществлять с помощью следующих реагентов:
1. O-метилизомочевина (S. Weiss и H. Kroramer, Chemiker Zeitung, 98, 617-618 (1974));
2. S-метилизотиомочевина (R.F. Borne, M.L. Forrester, I.W. Waters, J. Med. Chem., 20, 771-776 (1977));
3. Нитро-S-метилизотиомочевина (L.S. Hafner и R.E. Evans, J. Org. Chem., 24, 57 (1959));
4. Формамидиносульфокислота (К. Kim, Y.-T. Lin и H.S. Mosher, Tetrah. Lett., 29, 3183-3186 (1988));
5. 3,5-диметилпиразол-1-ил-формамидинийнитрат (F.L. Scott, D.G. O’Donovan и J. Reilly, J. Amer. Chem. Soc., 75, 4053-4054 (1953));
6. N,N’-ди-трет.-бутоксикарбонил-S-метилизотиомочевина (R.J. Bergeron и J.S. McManis, J. Org. Chem. 52, 1700-1703 (1987));
7. N-алкоксикарбонил-, N,N’-диалкоксикарбонил-, N-алкилкарбонил и N,N’-диалкилкарбонил-S-метилизотиомочевина (H. Wollweber, H. Kolling, E. Niemers, A. Widdig, P. Andrews, H.-P. Schulz и H. Thomas, Azzneim. Forsch./Drug Res., 34, 531-542 (1984)).
Амидины можно получать из соответствующих цианосоединений путем присоединения спиртов (например, как метанол или этанол) в кислой безводной среде (например, как диоксан, метанол или этанол) и последующего аминолиза, например, путем обработки аммиаком в спиртах, как, например, изопропанол, метанол или этанол (G. Wagner, P. Richter и Ch. Garbe, Pharmazia, 29, 12-55 (1974)). Другим способом получения амидинов является присоединение сероводорода к цианогруппе с последующим метилированием образовавшегося тиоамида и затем введением во взаимодействие с аммиаком (патент ГДР №235866).
В отношении получения соединений формулы (I) далее следует сослаться полностью на следующие публикации: международные заявки 94/21607 и 95/14008; европейские заявки на патент №449079, 530505 (заявка на патент США 5389614); международная заявка 93/18057; европейские заявки на патент № 566919 (заявка на патент США 5397796), 580008 (заявка на патент США 5424293) и 584694 (заявка на патент США 5554594), а также международная заявка 96/33976.
Соединения формулы (I) являются антагонистами рецептора адгезии VLA-4. Они обладают способностью ингибировать процессы взаимодействия клетка-клетка и клетка-матрица, при которых играют роль взаимодействия между VLA-4 с его лигандами. Эффективность соединений формулы (I) можно доказать, например, в опыте, в котором определяют связывание клеток, которые имеют VLA-4-рецептор, например лейкоцитов, с лигандами этого рецептора, например с VCAM-l, которые для этой цели предпочтительно также можно получать с помощью генной инженерии. Подробное изложение такого опыта приводится ниже в описании. В особенности соединения формулы (I) могут ингибировать адгезию и миграцию лейкоцитов, например сцепление лейкоцитов с эндотелиальными клетками, которое, как пояснено выше, регулируется VCAM-l/VLA-4-адгезивным механизмом.
Соединения формулы (I) и их физиологически приемлемые соли поэтому пригодны для лечения и профилактики заболеваний, которые основаны на взаимодействии между VLA-4-рецептором и его лигандами или на которые можно влиять путем подавления этого взаимодействия, и в особенности они пригодны для лечения и профилактики заболеваний, которые, по меньшей мере, частично возникают вследствие адгезии лейкоцитов и/или миграции лейкоцитов в нежелательном масштабе или связаны с этим и для предупреждения, ослабления или лечения которых нужно уменьшать адгезию и/или миграцию лейкоцитов. Таким образом, их можно использовать, например, при воспалительных явлениях, возникающих по разным причинам, в качестве уменьшающих интенсивность воспаления средств. Соединения формулы (I) согласно настоящему изобретению находят применение, например, для лечения или профилактики ревматоидного артрита, воспалительных заболеваний пищеварительного тракта (язвенный колит), системной красной волчанки или для лечения или профилактики воспалительных заболеваний центральной нервной системы, как, например, рассеянный склероз, для лечения или профилактики астмы или аллергий, например аллергии замедленного типа (аллергия типа IV), далее, для лечения или профилактики сердечно-сосудистых заболеваний, артериосклероза, рестенозов, для лечения или профилактики диабета, для предотвращения повреждения трансплантатов органов, для подавления роста опухолей или метастазирования опухолей в случае различных злокачественных образований, для лечения малярии, а также других заболеваний, при которых в целях их предупреждения, ослабления или лечения является необходимым блокирование интегрина VLA-4 и/или влияние на активность лейкоцитов. Соединения формулы (I) и их соли, далее, можно применять для диагностических целей, например при диагнозах ин витро, и в качестве вспомогательного средства при биохимических исследованиях, при которых стремятся к блокированию VLA-4 или влиянию на взаимодействия клетка-клетка или клетка-матрица.
Соединения формулы (I) и их физиологически приемлемые соли согласно изобретению можно вводить животному, предпочтительно млекопитающему и в особенности человеку в качестве лекарственного средства для лечения или профилактики. Их можно вводить индивидуально, в виде смесей друг с другом или в форме фармацевтических композиций, которые можно вводить кишечно или парентерально и которые в качестве активной составной части содержат эффективную дозу, по меньшей мере, одного соединения формулы (I) и/или его физиологически приемлемых солей наряду с обычными, фармацевтически приемлемыми носителями и/или добавками. Предметом настоящего изобретения является также применение фармацевтических композиций, которые содержат одно или несколько соединений формулы (I) и/или их физиологически приемлемых солей, для вышеуказанного согласно изобретению использования соединений формулы (I). Фармацевтические композиции обычно содержат примерно 0,5-90 мас.% терапевтически эффективных соединений формулы (I) и/или их физиологически приемлемых солей.
Лекарственные средства можно вводить перорально, например, в форме пилюль, таблеток, таблеток в целлофановой упаковке, драже, гранулятов, твердых и мягких желатиновых капсул, растворов, сиропов, эмульсий или суспензий. Введение, однако, также можно осуществлять ректально, например, в форме суппозиториев или парентерально, например, в форме растворов для инъекции или вливания, микрокапсул или палочек, или подкожно, например, в форме мазей или настоек, или другим путем, например в форме спрея для введения через нос или аэрозольных смесей.
Используемые согласно изобретению фармацевтические препараты получают само по себе известным образом, причем наряду с соединением или соединениями формулы (I) и/или их физиологически приемлемыми солями применяют инертные неорганические и/или органические носители. Для получения пилюль, таблеток, драже и твердых желатиновых капсул можно использовать, например, лактозу, кукурузный крахмал или его производные, тальк, стеариновую кислоту или ее соли и т.д. Носителями для мягких желатиновых капсул и суппозиториев являются, например, жиры, воски, полутвердые и жидкие многоатомные спирты, природные или отвержденные масла. В качестве носителей для получения растворов, например растворов для инъекции, или эмульсий, или сиропов пригодны, например, вода, спирты, глицерин, многоатомные спирты, сахароза, инвертный сахар, глюкоза, растительные масла и т.д. В качестве носителей для микрокапсул, имплантатов или палочек пригодны, например, сополимеры гликолевой кислоты с молочной кислотой.
Наряду с активными веществами и носителями, фармацевтические препараты могут содержать еще добавки, как, например, наполнители, порофоры, связующие, придающие скользкость (таблеткам) агенты, смачиватели, стабилизаторы, эмульгаторы, консерванты, подслащивающие агенты, красители, придающие вкус или ароматизирующие агенты, загустители, разбавители, буферные вещества, далее, растворители или агенты растворения или средства для достижения пролонгированного действия, а также соли для изменения осмотического давления, средства для покрытия или антиоксиданты. Они могут содержать также два или более соединений формулы (I) и/или их физиологически приемлемых солей. Далее, наряду, по меньшей мере, с одним соединением формулы (I) и/или его физиологически приемлемыми солями, они могут еще содержать одно или несколько других терапевтически или профилактически активных веществ, например вещества с подавляющим воспаление действием.
Дозу можно изменять в широких пределах и в каждом отдельном случае приспосабливать к индивидуальным данным. В общем, при введении перорально суточная доза составляет примерно 0,01-100 мг/кг, предпочтительно 0,1-10 мг/кг, в особенности 0,3-2 мг/кг массы тела для достижения эффективных результатов. При внутривенном введении суточная доза составляет в общем примерно 0,01-50 мг/кг, предпочтительно 0,01-10 мг/кг массы тела. Суточную дозу, в особенности при введении больших количеств, можно разделять на несколько, например на 2, 3 или 4 разовые дозы. При необходимости, в зависимости от индивидуального поведения, может оказаться необходимым отклонение от указанной суточной дозы в большую или меньшую сторону. Фармацевтические препараты обычно содержат 0,2-500 мг, предпочтительно 1-100 мг активного вещества формулы (I) и/или его физиологически приемлемых солей на дозу.
Определенные соединения формулы (I) еще не раскрыты в уровне техники. Предметом настоящего изобретения являются также само по себе эти новые соединения (per se).
Настоящее изобретение, таким образом, относится, во-первых, также само по себе (per se) к соединениям формулы (Ib):
где W означает R1-A-CH или R1-А-СН=С;
Y означает карбонил, тиокарбонил или метиленовую группу;
А означает двухвалентный остаток из ряда, состоящего из (С1-С6)-алкилена, (С3-С7)-циклоалкилена, фенилена, фенилен-(C1-C6)-алкила, (С1-С6)-алкиленфенила, фенилен-(С2-С6)-алкенила; или двухвалентный остаток пяти- или шестичленного насыщенного или ненасыщенного цикла, который может содержать 1 или 2 атома азота и может быть одно- или двукратно замещен (С1-С6)-алкилом или дважды связанным кислородом или серой;
В означает двухвалентный остаток, выбранный из ряда (С1-С6)-алкилена, (С2-С6)-алкенилена, фенилена, фенилен-(С1-С3)-алкила, (С1-С3)-алкиленфенила;
D означает С(R2)(R3);
Е означает тетразолил, (R8O)2P(O), HOS(O)2, R9NHS(O)2 или R10CO;
R означает водород, (С1-С8)-алкил, (С3-С8)-циклоалкил, при необходимости замещенный (С6-С14)-арил или при необходимости замещенный в арильном остатке (С6-С14)-арил-(С1-С8)-алкил;
R0 означает (С7-С8)-алкил, (С3-С8)-циклоалкил, при необходимости замещенный (С6-С14)-арил или при необходимости замещенный в арильном остатке (С6-С14)-арил-(С1-С8)-алкил;
R1 означает X-NH-C(=NH)-(СН2)p или X1-NH-(CH2)p, причем р означает числа 0, 1, 2 или 3;
X означает водород, (С1-С6)-алкил, (С1-С6)-алкилкарбонил, (С1-С6)-алкоксикарбонил, (С1-С18)-алкилкарбонилокси-(С1-С6)-алкоксикарбонил, при необходимости замещенный (С6-С14)-арилкарбонил, при необходимости замещенный (С6-С14)-арилоксикарбонил; (С6-С14)-арил-(С1-С6)-алкоксикарбонил, который в арильном остатке также может быть замещен; (R8О)2Р(О), цианогруппу, гидроксил, (С1-С6)-алкоксил; (С6-С14)-арил-(С1-С6)-алкоксил, который в арильном остатке также может быть замещен; или аминогруппу;
X1 имеет одно из указанных для Х значений или означает R’-NH-C(=NR”), причем R’ и R”, независимо друг от друга, имеют указанные для Х значения;
R2 означает водород или фенил;
R3 означает водород, COOR4, CON(CH3)R4 или CONHR4;
R4 означает водород или (С1-С28)-алкил, который при необходимости может быть одно- или многократно замещен одинаковыми или разными остатками R4′;
R4′ означает гидроксил, гидроксикарбонил, аминокарбонил, моно- или ди-((С1-С18)-алкил)аминокарбонил, амино-(С2-С18)-алкиламинокарбонил, амино-(С1-С3)-алкилфенил-(С1-С3)-алкиламинокарбонил, (С1-С18)-алкилкарбониламино-(С1-С3)-алкилфенил-(С1-С3)-алкиламинокарбонил, (С1-С18)-алкилкарбониламино-(С2-С18)-алкиламинокарбонил, (С6-С14)-арил-(С1-С8)-алкоксикарбонил, который в арильном остатке также может быть замещен; аминогруппу, меркаптогруппу, (С1-С18)-алкоксил, (С1-С18)-алкоксикарбонил, при необходимости замещенный (С3-С8)-циклоалкил, галоген, нитрогруппу, трифторметил или остаток R5;
R5 означает при необходимости замещенный (С6-С14)-арил, при необходимости замешенный в арильном остатке (С6-С14)-арил-(С1-С8)-алкил, моно- или бициклический 5-12-членный гетероцикл, который может быть ароматическим, частично гидрированным или полностью гидрированным и который может содержать один, два или три одинаковых или различных гетероатома, выбранных из ряда азота, кислорода и серы; остаток R6 или остаток R6СО-, причем арильный и независимо от него гетероциклический остатки могут быть одно- или многократно замещены одинаковыми или различными остатками, выбранными из ряда (С1-С18)-алкила, (С1-С18)-алкоксила, галогена, нитрогруппы, аминогруппы или трифторметила;
R6 означает R7R8N, R7О или R7S или аминокислотную боковую цепь, остаток природной или синтетической аминокислоты, иминокислоты, при необходимости N-(С1-С8)-алкилированной или N-((С6-С14)-арил-(С1-С8)-алкилированной) азааминокислоты или дипептида, который в арильном остатке также может быть замещен и/или в котором пептидная связь может быть восстановлена до -NH-CH2-, а также их сложные эфиры или амиды, причем вместо свободных функциональных групп при необходимости может быть водород или гидроксиметил и/или причем свободные функциональные группы могут быть защищены обычными в химии пептидов защитными группами;
R7 означает водород, (С1-С18)-алкил, (С6-С14)-арил-(С1-С18)-алкил, (С1-С18)-алкилкарбонил, (С1-С18)-алкоксикарбонил, (С6-С14)-арилкарбонил, (С6-С14)-арил-(С1-С8)-алкилкарбонил или (С6-С14)-арил-(С1-С18)-алкилоксикарбонил, причем алкильные группы при необходимости могут быть замещены аминогруппой и/или причем арильные остатки могут быть одно- или многократно, предпочтительно однократно, замещены одинаковыми или различными остатками, выбранными из ряда (С1-С8)-алкила, (С1-С8)-алкоксила, галогена, нитрогруппы, аминогруппы и трифторметила; остаток природной или синтетической аминокислоты, иминокислоты, при необходимости N-(С1-С8)-алкилированной или N-((С6-С14)-арил-(С1-С8)-алкилированной) азааминокислоты или дипептида, который в арильном остатке также может быть замещен и/или в котором пептидная связь может быть восстановлена до -NH-CH2-;
R8 означает водород, (С1-С18)-алкил, при необходимости замещенный (С6-С14)-арил или (С6-С14)-арил-(С1-С8)-алкил, который в арильном остатке также может быть замещен;
R9 означает водород, аминокарбонил, (С1-С18)-алкиламинокарбонил, (С3-С8)-циклоалкиламинокарбонил, при необходимости замещенный (С6-С14)-ариламинокарбонил, (С1-С18)-алкил, при необходимости замещенный (С6-С14)-арил или (С3-С8)-циклоалкил;
R10 означает гидроксил, (С1-С18)-алкоксил; (С6-С14)-арил-(С1-С8)-алкоксил, который в арильном остатке также может быть замещен; при необходимости замещенную (С6-С14)-арилоксигруппу, аминогруппу или моно- или ди-((С1-С18)-алкил)аминогруппу;
b, с и d, независимо друг от друга, могут означать нуль или 1, однако все одновременно не могут означать нуль;
n означает числа 0, 1, 2, 3, 4, 5 или 6;
во всех их стереоизомерных формах или в виде их смесей в любых соотношениях, а также их физиологически приемлемым солям.
Все вышеуказанные пояснения для формулы (I), например, в отношении алкильных остатков, арильных остатков и т.д. соответственно также относятся к соединениям формулы (Ib). Также вышеуказанные предпочтительные значения действуют здесь соответственно.
Вышеприведенные пояснения в отношении получения соединений формулы (I) и их применения точно также относятся и к соединениям формулы (Ib). Эти соединения, естественно, также являются ингибиторами адгезии лейкоцитов и/или антагонистами VLA-4-рецептора и пригодны для лечения и профилактики заболеваний, которые возникают вследствие адгезии лейкоцитов и/или миграции лейкоцитов в нежелательном масштабе или связаны с этим или в случае которых играют роль взаимодействия клетка-клетка или клетка-матрица, основанные на переменных действиях VLA-4-рецепторов с их лигандами, например воспалительных процессов. Предметом настоящего изобретения, далее, являются соединения формулы (Ib), используемые в качестве лекарственного средства, а также фармацевтические препараты, которые содержат одно или несколько соединений формулы (Ib) и/или их физиологически приемлемых солей, наряду с фармацевтически приемлемыми носителями и/или добавками, причем вышеприведенные пояснения относятся и к этим фармацевтическим препаратам.
Определенные соединения формулы (I) неясно раскрыты в уровне техники и представляют собой выбор из множества соединений, описываемых в международной заявке WO-A-95/14008. Предметом настоящего изобретения также являются эти само по себе новые соединения per se. Таким образом, настоящее изобретение, во-вторых, относится также per se само по себе к соединениям формулы (Iс):
где W означает R1-A-C(R13);
Y означает карбонил, тиокарбонил или метиленовую группу;
А означает фениленовый остаток;
В означает двухвалентный остаток, выбранный из pядa (С1-С6)-алкилена, (С2-С6)-алкенилена, фенилена, фенилен-(С1-С3)-алкила, (С1-С3)-алкиленфенила;
D означает C(R2)(RЗ), N(R3) или CH=C(R3);
Е означает тетразолил, (R8O)2Р(О), HOS(O)2, R9NHS(O)2 или R10CO;
R означает водород, (С1-С8) -алкил, (C3-C8)-циклоалкил, при необходимости замещенный (С6-С14)-арил или при необходимости замещенный (С6-С14)-арил или при необходимости замещенный в арильном остатке (С6-С14)-арил-(С1-С8)-алкил;
R0 означает при необходимости замещенный в арильном остатке (С6-С14)-арил-(С1-С8)-алкил;
R1 означает X-NH-C(=NH)-(СН2)p или X1-NH-(CH2)p, причем р означает 0, 1, 2 или 3;
X означает водород, (С1-C6)-алкил, (C1-C6)-алкилкарбонил, (С1-С6)-алкоксикарбонил, (С1-С18)-алкилкарбонилокси-(С1-С6)-алкоксикарбонил, при необходимости замещенный (С6-С14)-арилкарбонил, при необходимости замещенный (С6-С14)-арилоксикарбонил; (С6-С14)-арил-(С1-С6)-алкоксикарбонил, который в арильном остатке также может быть замещен; (R8O)2Р(O), цианогруппу, гидроксил, (С1-С6)-алкоксил; (С6-С14)-арил-(С1-С6)-алкоксил, который в арильном остатке также может быть замещен; или аминогруппу;
X1 имеет одно из указанных для Х значений или означает R’-NH-C(=N-R”), причем R’ и R”, независимо друг от друга, имеют указанные для Х значения;
R2 означает водород, (С1-С8)-алкил, при необходимости замещенный (С6-С14)-арил, при необходимости замещенный в арильном остатке (С6-С14)-арил-(С1-С8)-алкил или (С3-С8)-циклоалкил;
R3 означает водород, (С1-С8)-алкил, при необходимости замещенный (С6-С14)-арил, при необходимости замещенный в арильном остатке (C6-C14)-арил-(C1-C8)-алкил, (С3-С8)-циклоалкил, (С2-С8)-алкенил, (С2-С8)-алкинил, (С2-С8)-алкенилкарбонил, (С2-С8)-алкинилкарбонил, пиридил, R11NH, R4CO, COOR4, CON(CH3)R14, CONHR14, CSNHR14, COOR15, CON(CH3)R15 или CONHR15;
R4 означает водород или (С1-С28)-алкил, который при необходимости может быть одно- или многократно замещен одинаковыми или разными остатками R4′;
R4′ означает гидроксил, гидроксикарбонил, аминокарбонил, моно- или ди-((С1-С18)-алкил)-аминокарбонил, амино-(С2-С18)-алкиламинокарбонил, амино-(С1-С3)-алкилфенил-(С1-С3)-алкиламинокарбонил, (С1-С18)-алкилкарбониламино-(С1-С3)-алкилфенил-(С1-С3)-алкиламинокарбонил, (С1-С18)-алкилкарбониламино-(С2-С18)-алкиламинокарбонил; (С6-С14)-арил-(С1-С8)-алкоксикарбонил, который в арильном остатке также может быть замещен; аминогруппу, меркаптогруппу, (С1-С18)-алкоксил, (С1-С18)-алкоксикарбонил, при необходимости замещенный (С3-С8)-циклоалкил, галоген, нитрогруппу, трифторметил или остаток R5;
R5 означает при необходимости замещенный (С6-С14)-арил, при необходимости замещенный в арильном остатке (С6-С14)-арил-(С1-С8)-алкил, моно- или бициклический 5-12-членный гетероцикл, который может быть ароматическим, частично гидрированным или полностью гидрированным и который может содержать один, два или три одинаковых или различных гетероатома, выбранных из ряда азота, кислорода и серы; остаток R6 или остаток R6СО-, причем арильный и независимо от него гетероциклический остатки могут быть однократно или многократно замещены одинаковыми или различными остатками, выбранными из ряда (С1-C18)-алкила, (С1-С18)-алкоксила, галогена, нитрогруппы, аминогруппы или трифторметила;
R6 означает R7R8N, R7О или R7S или аминокислотную боковую цепь, остаток природной или синтетической аминокислоты, иминокислоты, при необходимости N-(С1-С8)-алкилированной или N-((C6-C14)-арил-(C1-C8)-алкилированной) азааминокислоты или дипептида, который в арильном остатке также может быть замещен и/или в котором пептидная связь может быть восстановлена до -NH-CH2-, а также их сложные эфиры и амиды, причем вместо свободных функциональных групп при необходимости могут быть водород или гидроксиметил и/или причем свободные функциональные группы могут быть защищены обычными в химии пептидов защитными группами;
R7 означает водород, (С1-С18)-алкил, (С6-С14)-арил-(С1-С8)-алкил, (С1-С18)-алкилкарбонил, (С1-С18)-алкоксикарбонил, (С6-С14)-арилкарбонил, (С6-С14)-арил-(С1-С8)-алкилкарбонил или (С6-С14)-арил-(С1-С18)-алкоксикарбонил, причем алкильные группы при необходимости могут быть замещены аминогруппой и/или причем арильные остатки могут быть одно- или многократно, предпочтительно однократно, замещены одинаковыми или различными остатками, выбранными из ряда (С1-С8)-алкила, (С1-С8)-алкоксила, галогена, нитрогруппы, аминогруппы и трифторметила; остаток природной или синтетической аминокислоты, иминокислоты, при необходимости N-(С1-С8)-алкилированной или N-((С6-С14)-арил-(C1-C8)-алкилированной) азааминокислоты или дипептида, который в арильном остатке также может быть замещен и/или в котором пептидная связь может быть восстановлена до -NH-CH2-;
R8 означает водород, (С1-С18)-алкил, при необходимости замещенный (С6-С14)-арил или (С6-С14)-арил-(С1-С8)-алкил, который в арильном остатке также может быть замещен;
R9 означает водород, аминокарбонил, (С1-С18)-алкиламинокарбонил, (С3-С8)-циклоалкиламинокарбонил, при необходимости замещенный (С6-С14)-ариламинокарбонил, (С1-С18)-алкил, при необходимости замещенный (С6-С14)-арил или (С3-С8)-циклоалкил;
R10 означает гидроксил, (С1-С18)-алкоксил, (С6-С14)-арил-(С1-С8)-алкоксил, который в арильном остатке также может быть замещен; при необходимости замещенную (С6-С14)-арилоксигруппу, аминогруппу или моно- или ди-((С1-С18)-алкил)аминогруппу;
R11 означает водород, (С1-С18)-алкил, R12СО, при необходимости замещенный (С6-С14)-арил-S(О)2, (С1-С18)-алкил-S(О)2, при необходимости замещенный в арильном остатке (C6-C14)-арил-(C1-C8)-алкил или R9NHS(O)2;
R12 означает водород, (С1-С18)-алкил, (С2-С8)-алкенил, (С2-С8)-алкинил, при необходимости замещенный (С6-С14)-арил, (С1-С18)-алкоксил; (С6-С14)-арил-(С1-С18)-алкоксил, который также в арильном остатке может быть замещен; при необходимости замещенную (С6-С14)-арилоксигруппу или моно- или ди-((С1-С18)-алкил)-аминогруппу;
R13 означает (С1-С6)-алкил, при необходимости замещенный в арильном остатке (С6-С14)-арил-(С1-С8)-алкил или (C3-С8)-цикловлкил;
R14 означает водород или (С1-С28)-алкил, который при необходимости может быть одно- или многократно замещен одинаковыми или разными остатками, выбранными из ряда гидроксила, гидроксикарбонила, аминокарбонила, моно- или ди-((С1-С18)-алкил) аминокарбонила, амино-(С2-С18)-алкиламинокарбонила, амино-(С1-С3)-алкилфенил-(С1-С3)-алкиламинокарбонила, (С1-С18)-алкилкарбониламино-(С1-С3)-алкилфенил-(С1-С3)-алкиламинокарбонила, (С1-С18)-алкилкарбониламино-(С2-С18)алкиламинокарбонила; (С6-С14)-арил-(С1-С8)-алкоксикарбонила, который также может быть замещен в арильном остатке; аминогруппы, меркаптогруппы, (С1-С18)-алкоксила, (С1-С18)-алкоксикарбонила, при необходимости замещенного (С3-С8)-циклоалкила, HOS(О)2-(С1-С3)-алкила, R9NHS(О)2-(С1-С3)-алкила, (R8О)2Р(О)-(С1-С3)-алкила, тетразолил-(С1-С3)-алкила, галогена, нитрогруппы, трифторметила и R5;
R15 означает R16-(С1-С6)-алкил или R16;
R16 означает 6-24-членный бициклический или трициклический остаток, который является насыщенным или частично ненасыщенным и который может содержать также 1-4 одинаковых или различных гетероатома, выбранных из ряда азота, кислорода и серы, и который также может быть замещен одним или несколькими одинаковыми или различными заместителями из ряда, состоящего из (С1-С4)-алкила и оксогруппы;
b, с, d и f, независимо друг от друга, означают нуль или 1, однако все одновременно не могут означать нуль;
е, g и h, независимо друг от друга, означают 0, 1, 2, 3, 4, 5 или 6;
во всех их стереоизомерных формах и в виде их смесей в любых соотношениях, а также их физиологически приемлемым солям.
Все вышеуказанные пояснения для формулы (I), например, в отношении алкильных остатков, арильных остатков и т.д. соответственно также относятся к соединениям формулы (Iс). Также вышеуказанные предпочтительные значения действуют здесь соответственно. Особенно предпочтительно в соединениях формулы (Iс), кроме того, независимо друг от друга, b означает 1, с означает 1, d означает 1, f означает нуль и g означает нуль, е и h особенно предпочтительно, независимо друг от друга, означают нуль или 1. Также особенно предпочтительно, когда Y в соединениях формулы (Iс) означает карбонильную группу.
Вышеприведенные пояснения в отношении получения соединений формулы (I) и их применения точно также относятся и к соединениям формулы (Iс). Эти соединения, естественно, также являются ингибиторами адгезии лейкоцитов и/или антагонистами VLA-4-рецептора и пригодны для лечения и профилактики заболеваний, которые возникают вследствие адгезии лейкоцитов и/или миграции лейкоцитов в нежелательном масштабе или связаны с этим или в случае которых играют роль взаимодействия клетка-клетка или клетка-матрица, основанные на взаимодействиях VLA-4-рецепторов с их лигандами, например воспалительных процессов. Предметом настоящего изобретения, далее, являются соединения формулы (Iс), используемые в качестве лекарственного средства, а также фармацевтические препараты, которые содержат одно или несколько соединений формулы (Iс) и/или их физиологически приемлемых солей наряду с фармацевтически приемлемыми носителями и/или добавками, причем также вышеприведенные пояснения относятся к этим фармацевтическим препаратам.
Далее, в уровне техники неясно еще раскрыты соединения формулы (I), в которой b означает 1 и В означает замещенный алкиленовый остаток. Предметом настоящего изобретения, таким образом, само по себе (per se) также являются соединения формулы (Id):
где W означает R1-A-C(R13) или R1-A-CH=C;
Y означает карбонил, тиокарбонил или метиленовую группу;
Z означает N(R0);
А означает двухвалентный остаток, выбранный из ряда (С1-С6)-алкилена, (С3-С7)-циклоалкилена, фенилена, фенилен-(С1-C6)-алкила, (С1-С6)-алкиленфенила, фенилен-(С2-С6)-алкенила; или двухвалентный остаток пяти- или шестичленного насыщенного или ненасыщенного цикла, который может содержать 1 или 2 атома азота и может быть одно- или двукратно замещен (С1-С6)-алкилом или дважды связанным кислородом или серой;
В означает двухвалентный (С1-С6)-алкиленовый остаток, который замещен остатком, выбранным из ряда (С1-С8)-алкила, (С2-С8)-алкенила, (С2-С8)-алкинила, (С3-С10)-циклоалкила, (С3-С10)-циклоалкил-(С1-С6)-алкила, при необходимости замещенного (С6-С14)-арила, при необходимости замещенного в арильном остатке (С6-С14)-арил-(С1-С6)-алкила, при необходимости замещенного гетероарила и при необходимости замещенного в гетероарильном остатке гетероарил-(С1-С6)-алкила;
D означает C(R2)(R3), N(R3) или CH=C(R3);
Е означает тетразолил, (R8O)2P(O), HOS(O)2, R9NHS(О)2 или R10СО;
R означает водород, (С1-С8)-алкил, (С3-С8)-циклоалкил, при необходимости замещенный (С6-С14)-арил или при необходимости замещенный в арильном остатке (С6-С14)-арил-(С1-С8)-алкил;
R0 означает водород, (С1-С8)-алкил, (С3-С12)-циклоалкил, (С3-С12)-циклоалкил-(С1-С8)-алкил, (С6-С12)-бициклоалкил, (С6-С12)-бициклоалкил-(С1-С8)-алкил, (С6-С12)-трициклоалкил, (С6-С12)-трициклоалкил-(С1-С8)-алкил, при необходимости замещенный (С6-С14)-арил, при необходимости замещенный в арильном остатке (С6-С14)-арил-(С1-С8)-алкил, при необходимости замещенный гетероарил, при необходимости замещенный в гетероарильном остатке гетероарил-(С1-C8)-алкил, формил, (С1-С8)-алкил-СО, (С3-С12)-циклоалкил-СО, (С3-С12)-циклоалкил-(С1-С8)-алкил-СО, (С6-С12)-бициклоалкил-СО, (С6-С12)-бициклоалкил-(С1-С8)-алкил-СО, (С6-С12)-трициклоалкил-СО, (С6-С12)-трициклоалкил-(С1-С8)-алкил-СО, при необходимости замещенный (С6-С14)-арил-СО, при необходимости замещенный в арильном остатке (С6-С14)-арил-(С1-С8)-алкил-СО, при необходимости замещенный гетероарил-СО, при необходимости замещенный в гетероарильном остатке гетероарил-(С1-С8)-алкил-СО, (С1-С8)-алкил-S(О)n, (С3-С12)-циклоалкил-S(О)n, (С3-С12)-циклоалкил-(С1-С8)-алкил-S(О)n, (С6-С12)-бициклоалкил-S(О)n, (С6-С12)-бициклоалкил-(С1-С8)-алкил-S(О)n, (С6-С12)-трициклоалкил-S(О)n, (C6-С12)-трициклоалкил-(С1-С8)-алкил-S(О)n, при необходимости замещенный (С6-С14)-арил-S(О)n, при необходимости замещенный в арильном остатке (С6-С14)-арил-(С1-C8)-алкил-S(О)n, при необходимости замещенный гетероарил-S(О)n или при необходимости замещенный в гетероарильном остатке гетероарил-(С1-С8)-алкил-S(О)n, причем n означает 1 или 2;
R1 означает X-NH-C(=NH)-(СН2)p или X1-NH-(CH2)p, причем р означает 0, 1, 2 или 3;
Х означает водород, (С1-С6)-алкил, (С1-С6)-алкилкарбонил, (С1-С6)-алкоксикарбонил, (С1-С18)-алкилкарбонилокси-(С1-С6)-алкоксикарбонил, при необходимости замещенный (С6-С14)-арилкарбонил, при необходимости замещенный (С6-C14)-арилоксикарбонил; (С6-С14)-арил- (С1-С6)-алкоксикарбонил, который в арильном остатке также может быть замещен; (R8O)2Р(O), цианогруппу, гидроксил, (С1-С6)-алкоксил; (С6-С14)-арил-(С1-С6)-алкоксил, который в арильном остатке также может быть замещен; или аминогруппу;
Х1 имеет одно из указанных для Х значений или означает R’-NH-C(=N-R”), причем R’ и R”, независимо друг от друга, имеют указанные для Х значения;
R2 означает водород, (С1-С8)-алкил, при необходимости замещенный (С6-С14)-арил, при необходимости замещенный в арильном остатке (С6-С14)-арил-(С1-С8)-алкил или (С3-С8)-циклоалкил;
R3 означает водород, (С1-С8)-алкил, при необходимости замешенный (С6-С14)-арил, при необходимости замещенный в арильном остатке (С6-С14)-арил-(С1-С8)-алкил, (С3-С8)-циклоалкил, (С2-С8)-алкенил, (С2-С8)-алкинил, (С2-С8)-алкенилкарбонил, (С2-С8)-алкинилкарбонил, пиридил, R11NH, R4CO, COOR4, CON(CH3)R14, CONHR14, CSNHR14, COOR15, CON(CH3)R15 или CONHR15;
R4 означает водород или (С1-C28)-алкил, который при необходимости может быть одно- или многократно замещен одинаковыми или различными остатками R4′;
R4′ означает гидроксил, гидроксикарбонил, аминокарбонил, моно- или ди-((С1-С18)-алкил)аминокарбонил, амино-(С2-С18)алкиламинокарбонил, амино-(С1-С3)-алкилфенил-(С1-С3)-алкиламинокарбонил, (С1-С18)алкилкарбониламино-(С1-C3)-алкилфенил-(С1-С3)-алкиламинокарбонил, (С1-С18)-алкилкарбониламино-(С2-С18)-алкиламинокарбонил, (С6-С14)-арил-(С1-С8)-алкоксикарбонил, который в арильном остатке также может быть замещен; аминогруппу, меркаптогруппу, (С1-С18)-алкоксил, (С1-С18)-алкоксикарбонил, при необходимости замещенный (С3-С8)-циклоалкил, галоген, нитрогруппу, трифторметил или остаток R5;
R5 означает при необходимости замещенный (С6-С14)-арил, при необходимости замещенный в арильном остатке (С6-С14)-арил-(С1-С8)-алкил, моно- или бициклический 5-12-членный гетероцикл, который может быть ароматическим, частично гидрированным или полностью гидрированным и который может содержать один, два или три одинаковых или различных гетероатома, выбранных из ряда азота, кислорода и серы; остаток R6 или остаток R6СО-, причем арильный остаток и независимо от него гетероциклический остаток могут быть одно- или многократно замещены одинаковыми или различными остатками, выбранными из ряда (С1-С18)-алкила, (С1-С18)-алкоксила, галогена, нитрогруппы, аминогруппы или трифторметила;
R6 означает R7R8N, R7О или R7S или аминокислотную боковую цепь, остаток природной или синтетической аминокислоты, иминокислоты, при необходимости N-(С1-С8)-алкилированной или N-((C6-C14)-арил-(C1-C8)-алкилированной) азааминокислоты или дипептида, который в арильной части также может быть замещен и/или в котором пептидная связь может быть восстановлена до -NH-CH2-, а также их сложные эфиры и амиды, причем вместо свободных функциональных групп при необходимости может быть водород или гидроксиметил и/или причем свободные функциональные группы могут быть защищены обычными в химии пептидов защитными группами;
R7 означает водород, (С1-С18)-алкил, (С6-С14)-арил-(С1-С8)-алкил, (С1-С18)-алкилкарбонил, (С1-С18)-алкоксикарбонил, (С1-С18)-арилкарбонил, (C6-C14)-арил-(С1-C8)-алкилкарбонил или (С6-С14)-арил-(С1-С18)-алкилоксикарбонил, причем алкильные группы при необходимости могут быть защищены аминогруппой и/или причем арильные остатки могут быть одно- или многократно, предпочтительно однократно, замещены одинаковыми или различными остатками, выбранными из ряда (С1-С8)-алкила, (С1-С8)-алкоксила, галогена, нитрогруппы, аминогруппы и трифторметила; остаток природной или синтетической аминокислоты, иминокислоты, при необходимости – (С1-С8)-алкилированной или N-((С6-С14)-арил-(С1-С8)-алкилированной) азааминокислоты или дипептида, который в арильном остатке также может быть замещен и/или в котором пептидная связь может быть восстановлена до -NH-CH2-;
R8 означает водород, (С1-С18)-алкил, при необходимости замещенный (С6-С14)-арил или (С6-С14)-арил-(С1-С8)-алкил, который в арильном остатке также может быть замещен;
R9 означает водород, аминокарбонил, (С1-С18)-алкиламинокарбонил, (С3-С8)-циклоалкиламинокарбонил, при необходимости замещенный (С6-C14)-ариламинокарбонил, (С1-С18)-алкил, при необходимости замещенный (С6-С14)-арил или (С3-С8)-циклоалкил;
R10 означает гидроксил, (С1-С18)-алкоксил; (С6-С14)-арил-(С1-С8)-алкоксил, который в арильном остатке также может быть замещен; при необходимости замещенную (С6-С14)-арилоксигруппу, аминогруппу или моно- или ди-((С1-С18)-алкил)аминогруппу;
R11 означает водород, (С1-С18)-алкил, R12СО, при необходимости замещенный (С6-С14)-арил-S(O)2, при необходимости замещенный в арильном остатке (С6-С14)-арил-(С1-С8)-алкил или R9NHS(O)2;
R12 означает водород, (С1-С18)-алкил, (С2-С8)-алкенил, (С2-С8)-алкинил, при необходимости замещенный (С6-С14)-арил, (С1-С18)-алкоксил; (С6-С14)-арил-(С1-С8)-алкоксил, который в арильном остатке также может быть замещен; при необходимости замещенную (С6-С14)-арилоксигруппу, аминогруппу или моно- или ди-((С1-С18)-алкил) аминогруппу;
R13 означает водород, (С1-С6)-алкил, при необходимости замещенный в арильном остатке (С6-С14)-арил-(С1-С8)-алкил или (С3-С8)-циклоалкил;
R14 означает водород или (С1-С28)-алкил, который при необходимости может быть одно- или многократно замещен одинаковыми или различными остатками, выбранными из ряда гидроксила, гидроксикарбонила, аминокарбонила, моно- или ди-((С1-С18)-алкил)аминокарбонила, амино-(С2-С18) алкиламинокарбонила, амино-(С1-С3)-алкилфенил-(С1-C3)-алкиламинокарбонила, (С1-С18)-алкилкарбониламино-(С1-С3)-алкилфенил-(С1-С3)-алкиламинокарбонила, (С1-С18)-алкилкарбониламино-(C2-C18)-алкиламинокарбонила; (С6-С14)-арил-(С1-С8)-алкоксикарбонила, который в арильном остатке также может быть замещен; аминогруппы, меркаптогруппы, (С1-С18)-алкоксила, (С1-С18)-алкоксикарбонила, при необходимости замещенного (С3-С8)-циклоалкила, HOS(O)2-(С1-С3)-алкила, R9NHS(О)2-(С1-С3)-алкила, (R8О)2Р(О)-(С1-С3)-алкила, тетразолил-(С1-С3)-алкила, галогена, нитрогруппы, трифторметила и R5;
R15 означает R16-(С1-С6)-алкил или R16;
R16 означает 6-24-членный бициклический или трициклический остаток, который является насыщенным или частично ненасыщенным и который также может содержать 1-4 одинаковых или различных гетероатома, выбранных из ряда азота, кислорода и серы, и который также может быть замещен одним или несколькими одинаковыми или различными заместителями из ряда, состоящего из (С1-С4)-алкила и оксогруппы;
c, d и f, независимо друг от друга, означают нуль или 1, однако все одновременно не могут означать нуль;
е, g и h, независимо друг от друга, означают 0, 1, 2, 3, 4, 5 или 6;
во всех их стереоизомерных формах и в виде их смесей в любых соотношениях, а также их физиологически приемлемые соли.
Все вышеуказанные пояснения для формулы (I), например, в отношении алкильных остатков, арильных остатков и т.д. соответственно также относятся и к соединениям формулы (Id). Также вышеуказанные предпочтительные значения действуют здесь соответственно. Кроме того, в соединениях формулы (Id) особенно предпочтительно, независимо друг от друга, с означает 1, d означает 1, f означает 0 и g означает 0, е и h особенно предпочтительно, независимо друг от друга, означают 0 или 1. В отношении группы В, кроме того, для соединений формулы (Id) имеет значение следующее.
Обозначаемый группой В (С1-С6)-алкиленовый остаток в соединениях формулы (Id) предпочтительно представляет собой (С1-С4)-алкиленовый остаток, особенно предпочтительно метиленовый или этиленовый остаток (=1,2-этилен), еще более особенно предпочтительно метиленовый остаток. Заместитель в группе В, во-первых, может включать цикл, когда речь идет о заместителях, выбранных из ряда (С3-С10)-циклоалкила, (С3-С10)-циклоалкил-(С1-С6)-алкила, при необходимости замещенного (С6-С14)-арила, при необходимости замещенного в арильном остатке (С6-С14)-арил-(С1-С6)-алкила, при необходимости замешенного гетероарила и при необходимости замещенного в гетероарильном остатке гетероарил-(С1-С6)-алкила, и, во-вторых, может быть ациклическим, когда речь идет о заместителе, выбранном из ряда (С1-С8)-алкила, (C2-С8)-алкенила и (С2-С8)-алкинила. Каждый из этих ациклических заместителей может содержать 2, 3, 4, 5, 6, 7 или 8 атомов углерода и в случае насыщенного алкильного остатка также 1 атом углерода. В случае алкенильных и алкинильных остатков двойная или тройная связь может находиться в любом положении и в случае двойной связи имеет место цис- или транс-конфигурация. Как было пояснено выше, эти алкильные, алкенильные и алкинильные остатки могут быть линейными или разветвленными.
В качестве примеров заместителей, которые может содержать обозначаемый как В (С1-С6)-алкиленовый остаток, следует назвать метил, этил, н-пропил, н-бутил, н-пентил, н-гексил, н-гептил, н-октил, изопропил, изобутил, изопентил, изогексил, втор.-бутил, трет.-бутил, трет.-пентил, неопентил, неогексил, 3-метилпентил, 2-этилбутил, винил, аллил, 1-пропенил, 2-бутенил, 3-бутенил, 3-метил-2-бутенил, этинил, 1-пропинил, 2-пропинил, 6-гексинил, фенил, бензил, 1-фенилэтил, 2-фенилэтил, 3-фенилпропил, 4-бифенилилметил, циклопропил, циклопропилметил, циклопентил, циклогексил, циклогексилметил, 2-циклогексилэтил, 3-циклооктилпропил, 2-пиридил, 3-пиридил, 4-пиридил, 4-пиридилметил, 2-(4-пиридил)-этил, 2-фурилметил, 2-тиенилметил, 3-тиенилметил или 2-(3-индолил)этил.
Предпочтительными соединениями формулы (Id) являются такие, где одновременно
W означает R1-A-C(R13);
Y означает карбонил;
Z означает N (R0);
А означает двухвалентный остаток, выбранный из ряда (С3-С7)-циклоалкилена, фенилена, фенилен-(С1-С6)-алкила, (С1-C6)-алкиленфенила, или двухвалентный остаток пяти- или шестичленного насыщенного или ненасыщенного цикла, который может содержать 1 или 2 атома азота и может быть одно- или двукратно замещен (С1-С6)-алкилом или дважды связанным кислородом или серой;
В означает двухвалентный метиленовый или этиленовый остаток, который замещен остатком, выбранным из ряда (С1-С8)-алкила, (С2-С8)-алкенила, (С2-С8)-алкинила, (С3-С10)-циклоалкила, (С3-С10)-циклоалкил-(С1-С6)-алкила, при необходимости замещенного (С6-С14)-арила, при необходимости замещенного в арильном остатке (С6-С14)-арил-(С1-С6)-алкила, при необходимости замещенного гетероарила и при необходимости замещенного в гетероарильном остатке гетероарил-(С1-С6)-алкила;
D означает С(R2)(R3);
Е означает тетразолил или R10СО;
R означает водород или (С1-С8)-алкил;
R0 означает водород, (С1-С8)-алкил, (С3-С12)-циклоалкил, (С3-С12)-циклоалкил-(С1-С8)-алкил, (С6-С12)-бициклоалкил, (С6-С12)-бициклоалкил-(С1-С8)-алкил, (С6-С12)-трициклоалкил, (С6-С12)-трициклоалкил-(С1-С8)-алкил, при необходимости замещенный (С6-С14)-арил, при необходимости замещенный в арильном остатке (С6-С14)-арил-(С1-С8)-алкил, при необходимости замещенный гетероарил, при необходимости замещенный в гетероарильном остатке гетероарил-(C1-C8)-алкил, формил, (C1-C8)-алкил-СО, (С3-С12)-циклоалкил-СО, (С3-С12)-циклоалкил-(С1-С8)-алкил-СО, (С6-С12)-бициклоалкил-СО, (С6-С12)-бициклоалкил-(С1-С8)-алкил-СО, (C6-C12)-трициклоалкил-СО, (С6-С12)-трициклоалкил-(С1-С8)-алкил-СО, при необходимости замещенный (С6-С14)-арил-СО, при необходимости замещенный в арильном остатке (C6-C14)-арил-(С1-С8)-алкил-СО, при необходимости замещенный гетероарил-СО, при необходимости замешенный в гетероарильном остатке гетероарил-(С1-С8)-алкил-СО, (C1-C8)-алкил-S(O)n, (С3-С12)-циклоалкил-S(O)n, (С3-С12)-циклоалкил-(C1-C8)-алкил-S(О)n, (С6-С12)-бициклоалкил-S(О)n, (С6-С12)-бициклоалкил-(С1-С8)-алкил-S(О)n, (C6-C12)-трициклоалкил-S(О)n, (С6-С12)-трициклоалкил-(С1-С8)-алкил-S(О)n, при необходимости замещенный (С6-С14)-арил-S(О)n, при необходимости замещенный в арильном остатке (С6-С14)-арил-(С1-С8)-алкил-S(О)n, при необходимости замещенный гетероарил-S(О)n или при необходимости замещенный в гетероарильном остатке гетероарил-(С1-С8)-алкил-S(О)n, причем n означает 1 или 2;
R1 означает X-NH-C(=NH)-(СН2)p или X1-NH-(CH2)p, причем р означает 0, 1, 2 или 3;
X означает водород, (С1-С6)-алкил, (С1-С6)-алкилкарбонил, (С1-С6)-алкоксикарбонил, (С1-С18)-алкилкарбонилокси-(С1-С6)-алкоксикарбонил, при необходимости замещенный (С6-С14)-арилкарбонил, при необходимости замещенный (С6-С14)-арилоксикарбонил; (С6-С14)-арил-(С1-С6)-алкоксикарбонил, который в арильном остатке также может быть замещен; цианогруппу, гидроксил, (С1-С6)-алкоксил; (С6-С14)-арил-(С1-С6)-алкоксил, который в арильном остатке также может быть замещен; или аминогруппу;
X1 имеет одно из указанных для Х значений или означает R’-NH-C(=N-R”), причем R’ и R”, независимо друг от друга, имеют указанные для Х значения;
R2 означает водород или (С1-С8)-алкил;
R3 означает водород, (С1-С8)-алкил, при необходимости замещенный (С6-С14)-арил, при необходимости замещенный в арильном остатке (С6-С14)-арил-(С1-С8)-алкил, (С3-С8)-циклоалкил, (С2-С8)-алкенил, (С2-С8)-алкинил, (С2-С8)-алкенилкарбонил, (С2-С8)-алкинилкарбонил, пиридил, R11NH, CON(CH3)R14, CONHR14, CON(CH3)R15 или CONHR15;
R5 означает при возможности замещенный (С6-С14)-арил, при возможности замещенный в арильном остатке (С6-С14)-арил-(С1-С8)-алкил, моно- или бициклический 5-12-членный гетероцикл, который может быть ароматическим, частично гидрированным или полностью гидрированным и который может содержать один, два или три одинаковых или различных гетероатома, выбранных из ряда азота, кислорода и серы; или означает остаток R6СО-, причем арильный остаток и независимо от него гетероциклический остаток могут быть одно- или многократно замещены одинаковыми или различными остатками, выбранными из ряда (С1-С8)-алкила, (С1-С8)-алкоксила, галогена, нитрогруппы, аминогруппы или трифторметила;
R6 означает остаток природной или синтетической аминокислоты, иминокислоты, возможно N-(С1-С8)-алкилированной или N-((С6-С14)-арил-(С1-С8)-алкилированной) азааминокислоты или дипептида, который в арильном остатке также может быть замещен, а также их сложные эфиры и амиды, причем свободные функциональные группы могут быть защищены обычными в химии пептидов защитными группами;
R10 означает гидроксил, (С1-С18)-алкоксил; (С6-С14)-арил-(С1-С8)-алкоксил, который в арильном остатке также может быть замещен; при необходимости замещенную (С6-С14)-арилоксигруппу, аминогруппу или моно- или ди-((С1-С18)-алкил)аминогруппу;
R11 означает R12CO, при необходимости замещенный (С6-С14)-арил-S(О)2 или (С1-С18)-алкил-S(О)2;
R12 означает водород, (С1-С18)-алкил, (С2-С8)-алкенил, (С2-С8)-алкинил, при необходимости замещенный (С6-С14)-арил, (С1-С18)-алкоксил; (C6-C14)-арил-(С1-C8)-алкоксил, который в арильном остатке также может быть замещен, или при необходимости замещенную (С6-С14)-арилоксигруппу;
R13 означает водород или (С1-С4)-алкил;
R14 означает (С1-С10)-алкил, который при необходимости может быть одно- или многократно замещен одинаковыми или разными остатками из ряда, состоящего из гидроксила, гидроксикарбонила, аминокарбонила, моно- или ди-((С1-С18)-алкил) аминокарбонила, (С6-С14)-арил-(С1-С8)-алкоксикарбонила, который в арильном остатке также может быть замещен, (С1-С8)-алкоксила, (С1-С8)-алкоксикарбонила, при необходимости замещенного (С3-С8)-циклоалкила, тетразолил-(С1-С3)-алкила, трифторметила и R5;
R15 означает R16-(С1-С6)-алкил или R16;
R16 означает 6-24-членный бициклический или трициклический остаток, который является насыщенным или частично ненасыщенным и который также может содержать 1-4 одинаковых или различных гетероатома, выбранных из ряда азота, кислорода и серы, и который также может быть замещен одним или несколькими одинаковыми или различными заместителями, выбранными из ряда (С1-С4)-алкила и оксогруппы;
с и d означает 1 и f означает нуль;
е и h, независимо друг от друга, означают ноль или 1, а g означает ноль;
во всех их стереоизомерных формах и в виде их смесей в любых соотношениях, а также их физиологически приемлемые соли.
Особенно предпочтительными соединениями формулы (Id) являются такие, где остаток, который замещен группой В, представляет собой (С1-С8)-алкильный остаток, во всех их стереоизомерных формах и в виде их смесей в любых соотношениях, а также их физиологически приемлемые соли.
Вышеприведенные пояснения в отношении получения соединений формулы (I) и их применения точно также действуют и для соединений формулы (Id). Эти соединения, естественно, также являются ингибиторами адгезии лейкоцитов и/или антагонистами VLA-4-рецептора и пригодны для лечения и профилактики заболеваний, которые возникают вследствие адгезии лейкоцитов и/или миграции лейкоцитов в нежелательном масштабе или связаны с этим или в случае которых играют роль взаимодействия клетка-клетка или клетка-матрица, основанные на переменных действиях VLA-4-рецепторов с их лигандами, например воспалительных процессов. Предметом настоящего изобретения, далее, являются соединения формулы (Id), используемые в качестве лекарственного средства, а также лекарственные средства, которые содержат одно или несколько соединений формулы (Id) и/или их физиологически приемлемых солей наряду с фармацевтически приемлемыми носителями и/или добавками, причем вышеприведенные пояснения действуют также для этих фармацевтических препаратов.
В уровне техники нераскрыты соединения формулы (I), в которой R0 означает ацильный остаток, сульфонильный остаток или сульфинильный остаток. Предметом настоящего изобретения, таким образом, далее, являются также (per se) само по себе соединения формулы (Iе):
где W означает R1-A-C(R13) или R1-A-CH=С;
Y означает карбонил, тиокарбонил или метиленовую группу;
Z означает N(R0), кислород, серу или метиленовую группу;
А означает двухвалентный остаток, выбранный из ряда, состоящего из (C1-C6)-алкилена, (С3-С7)-циклоалкилена, фенилена, фенилен-(C1-C6)-алкила, (C1-C6)-алкиленфенила, фенилен-(С2-С6)-алкенила, или двухвалентный остаток пяти- или шестичленного насыщенного или ненасыщенного цикла, который может содержать 1 или 2 атома азота и может быть одно- или двукратно замещен (С1-С6)-алкилом или дважды связанным кислородом или серой;
В означает двухвалентный остаток, выбранный из ряда (С1-С6)-алкилена, (С2-С6)-алкенилена, фенилена, фенилен-(С1-С3)-алкила, (С1-С3)-алкиленфенила;
D означает С(R2)(R3), N(R3) или CH=C(R3);
Е означает тетразолил, (R8O)2P(O), HOS(О)2 или R10СО;
R означает водород, (С1-С8)-алкил, (С3-С8)-циклоалкил, при необходимости замещенный (С6-С14)-арил или при необходимости замещенный в арильном остатке (С6-С14)-арил-(С1-С8)-алкил;
R0 означает формил, (С1-С8)-алкил-СО, (С3-С12)-циклоалкил-СО, (С3-С12)-циклоалкил-(С1-С8)-алкил-СО, (С6-С12)-бициклоалкил-СО, (С6-С12)-бициклоалкил-(С1-С8)-алкил-СО, (С6-С12)-трициклоалкил-СО, (С6-С12)-трициклоалкил-(С1-С8)-алкил-СО, при необходимости замещенный (С6-С14)-арил-СО, при необходимости замещенный в арильном остатке (C6-C14)-арил-(С1-С8)-алкил-СО, при необходимости замещенный гетероарил-СО, при необходимости замещенный в гетероарильном остатке гетероарил-(С1-С8)-алкил-СО, (С1-С8)-алкил-S(О)n, (С3-С12)-циклоалкил-S(О)n, (С3-С12)-циклоалкил-(С1-С8)-алкил-S(O)n, (С6-С12)-бициклоалкил-S(O)n, (С6-С12)-бициклоалкил-(С1-С8)-алкил-S(О)n, (C6-C12)-трициклоалкил-S(О)n, (С6-С12)-трициклоалкил-(С1-С8)-алкил-S(О)n, при необходимости (С6-С14)-арил-S(O)n, при необходимости замещенный в арильном остатке (C6-C14)-арил-(С1-С8)-алкил-S(О)n, при необходимости замещенный гетероарил-S(О)n или при необходимости замещенный в гетероарильном остатке гетероарил-(С1-С8)-алкил-S(О)n, причем n означает 1 или 2;
R1 означает X-NH-C(=NH)-(СН2)p или X1-NH-(CH2)p, причем р означает 0, 1, 2 или 3;
X означает водород, (С1-С6)-алкил, (С1-С6)-алкилкарбонил, (С1-С6)-алкоксикарбонил, (С1-С18)-алкилкарбонилокси-(С1-С6)-алкоксикарбонил, возможно замещенный (С6-С14)-арилкарбонил, при необходимости замещенный (С6-С14)-арилоксикарбонил; (С6-С14)-арил-(С1-С6)-алкоксикарбонил, который в арильном остатке также может быть замещен; (R8O)2P(O), цианогруппу, гидроксил, (С1-С6)-алкоксил; (С6-С14)-арил-(С1-С14)-алкоксил, который в арильном остатке также может быть замещен, или аминогруппу;
X1 имеет одно из указанных для Х значений или означает R’-NH-C(=NP”), причем R’ и R”, независимо друг от друга, имеют указанные для Х значения;
R2 означает водород, (С1-С8)-алкил, при необходимости замещенный (С6-С14)-арил, при необходимости замещенный в арильном остатке (C6-C14)-арил-(С1-C8)-алкил или (С3-С8)-циклоалкил;
R3 означает водород, (С1-С8)-алкил, при необходимости замещенный (С6-С14)-арил, при необходимости замещенный в арильном остатке (С6-С14)-арил-(С1-С8)-алкил, (С3-C8)-циклоалкил, (C2-C8)-алкенил, (C2-C8)-алкинил, (С2-С8)-алкенилкарбонил, (С2-С8)-алкинилкарбонил, пиридил, R11NH, R4CO, COOR4, CON(CH3)R14, CONHR14, CSNHR14, COOR15, CON(CH3)R15 или CONHR15;
R4 означает водород или (С1-С28)-алкил, который при необходимости может быть одно- или многократно замещен одинаковыми или разными остатками R4′;
R4′ означает гидроксил, гидроксикарбонил, аминокарбонил, моно- или ди-((С1-С18)-алкил)аминокарбонил, амино-(С2-С18)-алкиламинокарбонил, амино-(С1-С3)-алкилфенил-(С1-С3)-алкиламинокарбонил, (С1-С18)-алкилкарбониламино-(С1-С3)-алкилфенил-(С1-С3)-алкиламинокарбонил, (С1-С18)-алкилкарбониламино-(С2-С18)-алкиламинокарбонил; (С6-С14)-арил-(С1-С8)-алкоксикарбонил, который в арильном остатке также может быть замещен; аминогруппу, меркаптогруппу, (С1-С18)-алкоксил, (С1-С18)-алкоксикарбонил, при необходимости замещенный (С3-С8)-циклоалкил, галоген, нитрогруппу, трифторметил или остаток R5;
R5 означает при необходимости замещенный (С6-С14)-арил, при необходимости замещенный в арильном остатке (С6-С14)-арил-(С1-С8) -алкил; моно- или бициклический 5-12 членный гетероцикл, который может быть ароматическим, частично гидрированным или полностью гидрированным и может содержать один, два или три одинаковых или различных гетероатома, выбранных из ряда азота, кислорода и серы; остаток R6 или остаток R6-СО-, причем арильный остаток и независимо от него гетероциклический остаток могут быть одно- или многократно замещены одинаковыми или различными остатками, выбранными из ряда (С1-С18)-алкила, (С1-С18)-алкоксила, галогена, нитрогруппы, аминогруппы или трифторметила;
R6 означает R7R8N, R7О или R7S или аминокислотную боковую цепь, остаток природной или синтетической аминокислоты, иминокислоты, при необходимости N-(С1-С8)-алкилированной или N-((С6-С14)-арил-(С1-С8)-алкилирсванной) азааминокислоты или дипептида, который в арильном остатке также может быть замещен и/или в котором пептидная связь может быть восстановлена до -NH-CH2-, а также их сложные эфиры и амиды, причем вместо свободных функциональных групп при необходимости может быть водород или гидроксиметил и/или причем свободные функциональные группы могут быть защищены обычными в химии пептидов защитными группами;
R7 означает водород, (С1-С18)-алкил, (С6-С14)-арил-(С1-С8)-алкил, (С1-С18)-алкилкарбонил, (С1-С18)-алкоксикарбонил, (C6-C14)-арилкарбонил, (C6-C14)-арил-(C1-C8)-алкилкарбонил или (C6-C14)-арил-(C1-C18)-алкоксикарбонил, причем алкильные группы при необходимости замещены аминогруппой и/или причем арильные остатки могут быть одно- или многократно, предпочтительно однократно, замещены одинаковыми или различными остатками, выбранными из ряда (C1-C8)-алкила, (С1-С8)-алкоксила, галогена, нитрогруппы, аминогруппы и трифторметила; остаток природной или синтетической аминокислоты, иминокислоты, возможно N-(С1-С8)-алкилированной или N-((С6-С14)-арил-(С1-С8)-алкилированной) азааминокислоты или дипептида, который в арильном остатке также может быть замещен и/или в котором пептидная связь может быть восстановлена до -NH-CH2-;
R8 означает водород, (С1-С18)-алкил, при необходимости замещенный (С6-С14)-арил или (С6-С14)-арил-(С1-С8)-алкип, который в арильном остатке может быть также замещен;
R9 означает водород, аминокарбонил, (С1-С18)-алкиламинокарбонил, (С3-С8)-циклоалкиламинокарбонил, при необходимости замещенный (С6-С14)-ариламинокарбонил, (С1-С18)-алкил, при необходимости замещенный (С6-С14)-арил или (С3-С8)-циклоалкил;
R10 означает гидроксил, (С1-С18)-алкоксил; (С6-С14)-арил-(С1-С8)-алкоксил, который в арильном остатке также может быть замещен; при необходимости замещенную (С6-С14)-арилоксигруппу, аминогруппу или моно- или ди-((С1-С18)-алкил)аминогруппу;
R11 означает водород, (С1-С18)-алкил, R12СО, при необходимости замещенный (C6-C14)-арил-S(O)2, (С1-С18)-алкил-S(О)2, при необходимости замещенный в арильном остатке (С6-С14)-арил-(С1-С8)-алкил или R9NHS(O)2;
R12 означает водород, (C1-C18)-алкил, (С2-С8)-алкенил, (С2-С8)-алкинил, при необходимости замещенный (С6-С14)-арил, (С1-С18)-алкоксил, (С6-С14)-арил-(С1-С8)-алкоксил, который в арильном остатке также может быть замещен; при необходимости замещенную (С6-С14)-арилоксигруппу, аминогруппу или моно- или ди-((С1-С18)-алкил) аминогруппу;
R13 означает водород, (С1-С6)-алкил, при необходимости замещенный в арильном остатке (С6-С14)-арил-(С1-С8)-алкил или (С3-С8)-циклоалкил;
R14 означает водород или (С1-С28)-алкил, который при необходимости может быть одно- или многократно замещен одинаковыми или различными остатками, выбранными из ряда гидроксила, гидроксикарбонила, аминокарбонила, моно- или ди-((С1-С18)-алкил)аминокарбонила, амино-(С1-С3)-алкиламинокарбонила, амино-(С1-С3)-алкилфенил-(С1-С3)-алкиламинокарбонила, (С1-С18)-алкилкарбониламино-(С1-С3)-алкилфенил-(С1-С3)-алкиламинокарбонила, (С1-С18)-алкилкарбониламино-(С2-С18)-алкиламинокарбонила; (С6-С14)-арил-(С1-С8)-алкоксикарбонила, который в арильном остатке также может быть замещен; аминогруппы, меркаптогруппы, (С1-С18)-алкоксила, (С1-С18)-алкоксикарбонила, при необходимости замещенного (С3-С8)-циклоалкила, HOS(O)2-(С1-С3)-алкила, R9NHS(O)2-(С1-С3)-алкила, (R8О)2Р(О)-(С1-С3)-алкила, тетразолил-(С1-С3)-алкила, галогена, нитрогруппы, трифторметила и R5;
R15 означает R16-(С1-С6)-алкил или R16;
R16 означает 6-24-членный бициклический или трициклический остаток, который является насыщенным или частично ненасыщенным и который также может содержать 1-4 одинаковых или различных гетероатома, выбранных из ряда азота, кислорода и серы, и который также может быть замещен одним или несколькими одинаковыми или различными заместителями, выбранными из ряда, состоящего из (С1-С4)-алкила и оксогруппы;
b, с, d и f, независимо друг от друга, означают нуль или 1, однако все одновременно не могут означать нуль;
е, g и h, независимо друг от друга, означают 0, 1, 2, 3, 4, 5 или 6;
во всех их стереоизомерных формах и в виде их смесей в любых соотношениях, а также их физиологически приемлемые соли.
Все вышеприведенные пояснения для формулы (I), например, в отношении алкильных остатков, арильных остатков и т.д. действуют соответственно также для соединений формулы (Ie). Также вышеуказанные предпочтительные значения действуют здесь соответственно.
Вышеприведенные пояснения для получения соединений формулы (I) и их применения точно также действуют и для соединений формулы (Ie). Эти соединения, естественно, также являются ингибиторами адгезии лейкоцитов и/или антагонистами VLA-4-рецептора и пригодны для лечения и профилактики заболеваний, которые возникают вследствие адгезии лейкоцитов и/или миграции лейкоцитов в нежелательном масштабе или связаны с этим или в случае которых играют роль взаимодействия клетка-клетка или клетка-матрица, основанные на переменных действиях VLA-4-рецепторов с их лигандами, например воспалительных процессов. Предметом настоящего изобретения, далее, являются соединения формулы (Iе), используемые в качестве лекарственного средства, а также фармацевтические препараты, которые содержат одно или несколько соединений формулы (Iе) и/или их физиологически приемлемых солей наряду с фармацевтически приемлемыми носителями и/или добавками, причем также вышеприведенные пояснения действуют снова для этих фармацевтических препаратов.
ПРИМЕРЫ
Продукты идентифицируют с помощью масс-спектров (МС) и/или ЯМР-спектров. Соединения, которые очищают путем хроматографии при использовании растворителя, который содержит, например, уксусную кислоту или трифторуксусную кислоту, и затем подвергают сушке вымораживанием, в зависимости от осуществления сушки вымораживанием содержат частично еще происходящую от растворителя кислоту, следовательно, получаются частично или полностью в форме соли используемой кислоты, например в виде соли уксусной кислоты или трифторуксусной кислоты.
Используемые далее сокращения имеют следующие значения:
ДМФА – N,N-диметилформамид
ТГФ – тетрагидрофуран
ДЦК – N,N’-дициклогексилкарбодиимид
HOBt – 1-гидроксибензотриазол
HOOBt – 3-гидрокси-4-оксо-3,4-дигидро-1,2,3-бензотриазин
OBut – трет.-бутоксигруппа
ПРИМЕР 1
((R, S)-4-(4-(Аминоиминометил)-фенил)-4-метил-2,5-диоксоимидазолидин-1-ил)-ацетил-L-аспартил-L-фенилглицин
1а). (R, S)-4-(4-Цианофенил)-4-метил-2,5-диоксоимидазолидин
20 г (138 ммоль) п-Ацетилбензонитрила, 115,6 г (1,21 моль) карбоната аммония и 11,6 г (178 ммоль) цианида калия растворяют в смеси из 50% этанола и 50% воды. Смесь перемешивают в течение 5 часов при 55 С и выдерживают в течение ночи при комнатной температуре. В растворе устанавливают рН 6,3 с помощью 6 н. соляной кислоты и затем перемешивают в течение двух часов при комнатной температуре. Осадок отфильтровывают под вакуумом, промывают водой и сушат в высоком вакууме над пентоксидом фосфора. Выход составляет 22,39 г (75%).
Масс-спектр (бомбардировка быстрыми атомами): 216,1 (М+Н)+.
1б). Метиловый эфир ((R, S)-4-(4-цианофенил)-4-метил-2,5-диоксо-имидазолидин-1-ил) уксусной кислоты
1,068 г (46,67 ммоль) Натрия в атмосфере азота растворяют в 110 мл абсолютного метанола. Прозрачный раствор смешивают с 10 г (46,67 ммоль) (R, S)-4-(4-цианофенил)-4-метил-2,5-диоксоимидазолидина и смесь кипятят с обратным холодильником в течение двух часов. Добавляют 7,75 г (46,68 ммоль) иодида калия и в течение часа прикапывают раствор 4,53 мл метилового эфира хлоруксусной кислоты (51,3 ммопь) в 5 мл метанола. Кипятят в течение 6 часов, выдерживают в течение ночи при комнатной температуре и концентрируют. Маслянистый остаток хроматографируют на силикагеле с помощью смеси дихлорметана с этилацетатом в соотношении 9:1. Выход составляет 8,81 г (66%).
Масс-спектр (бомбардировка быстрыми атомами): 288 (М+H)+.
1в). Гидрохлорид метилового эфира ((R, S)-4-(4-этоксииминометил)-фенил)-4-метил-2,5-диоксоимидазолидин-1-ил) уксусной кислоты
Суспензию 4 г (13,92 ммоль) метилового эфира ((R, S)-4-(4-цианофенил)-4-метил-2,5-диоксоимидазолидин-1-ил) уксусной кислоты в 60 мл абсолютного этанола охлаждают до 0 С. В суспензию пропускают осушенный газообразный хлороводород, причем температуру все время поддерживают ниже 10 С до тех пор, пока в ИК-спектре более не будет обнаруживаться относящаяся к нитрилу полоса. Этанольный раствор смешивают с 200 мл диэтилового эфира и выдерживают в течение ночи при температуре 4 С. Осадок отфильтровывают под вакуумом и высушивают в высоком вакууме. Выход составляет 3,96 г (77%).
Масс-спектр (бомбардировка быстрыми атомами): 334 (М+Н)+.
1г). Гидрохлорид метилового эфира ((R, S)-4-(4-(аминоиминометил)-фенил)-4-метил-2,5-диоксоимидазолидин-1-ил) уксусной кислоты
3,96 г (10,7 ммоль) Гидрохлорида метилового эфира ((R, S)-4-(4-(этоксиминометил)фенил)-4-метил-2,5-диоксоимидазолидин-1-ил) уксусной кислоты суспендируют в 40 мл изопропанола и смешивают с 11,9 мл 2 н. раствора аммиака в изопропаноле. Реакционную смесь перемешивают в течение двух часов при температуре 50 С. Смесь охлаждают и затем смешивают с 200 мл диэтилового эфира. Осадок отфильтровывают под вакуумом и высушивают в высоком вакууме. Выход составляет 3,27 г (89%).
Масс-спектр (бомбардировка быстрыми атомами): 305 (М+Н)+.
1д). Гидрохлорид ((R, S)-4-(4-аминоиминометил)-фенил)-4-метил-2,5-диоксоимидазолидин-1-ил) уксусной кислоты
3,27 г (9,6 ммоль) Гидрохлорида метилового эфира ((R,S)-4-(4-(аминоиминометил)фенил)-4-метил-2,5-диоксоимидазолидин-1-ил) уксусной кислоты растворяют в 50 мл концентрированной соляной кислоты. Раствор кипятят в течение 6 часов и затем концентрируют. Выход составляет 2,73 г (87%).
Масс-спектр (бомбардировка быстрыми атомами): 291,2 (М+Н)+.
1е). Гидрохлорид ди-трет.-бутилового эфира ((R, S)-4-(4-(аминоиминометил)-фенил)-4-метил-2,5-диоксоимидазолидин-1-ил)ацетил-L-аспартил-L-фенилглицина
К раствору 1 г (3,06 ммоль) гидрохлорида ((R, S)-4-(4-(аминоиминометил)фенил)-4-метил-2,5-диоксоимидазолидин-1-ил) уксусной кислоты, 1,27 г (3,06 ммоль) H-Asp (Obut)-Phg-Obut-гидрохлорида и 413 мг HOBt в 10 мл диметилформамида при температуре 0 С добавляют 673 мг ДЦК (3,06 ммоль). Перемешивают в течение часа при 0 С и в течение четырех часов при комнатной температуре. Затем смесь до конца недели оставляют стоять в холодильной камере, осадок отфильтровывают под вакуумом и фильтрат концентрируют. Для очистки вещество хроматографируют на силикагеле с помощью смеси дихлорметана с метанолом, ледяной уксусной кислотой и водой в соотношении 8,5:1,5:0,15:0,15. Выход составляет 920 мг продукта в виде масла (содержит еще уксусную кислоту).
Масс-спектр (бомбардировка быстрыми атомами): 651,3 (М+Н)+.
1ж). ((R, S)-4-(4-(Аминоиминометил)-фенил)-4-метил-2,5-диоксоимидазолидин-1-ил)ацетил-L-аспартил-L-фенилглицин
920 мг Гидрохлорида ди-трет.-бутилового эфира ((R, S)-4-(4- (аминоиминометил)фенил)-4-метил-2,5-диоксоимидазолидин-1-ил)ацетил-L-аспартил-L-фенилглицина растворяют в смеси из 5,4 мл трифторуксусной кислоты, 0,6 мл воды и 0,6 мл димеркаптоэтана. Выдерживают в течение часа при комнатной температуре и концентрируют в вакууме водоструйного насоса. Для очистки вещество хроматографируют на сефадексе LH20 с помощью смеси из ледяной уксусной кислоты, н-бутанола и воды. Фракции с чистым веществом концентрируют. Остаток растворяют в воде и подвергают сушке вымораживанием. Выход составляет 390 мг.
(с=1, в метаноле).
Масс-спектр (бомбардировка быстрыми атомами): 539,2 (М+Н)+.
ПРИМЕР 2
((R, S)-4-(4-(Аминоиминометил)фенил)-3,4-диметил-2,5-ди-оксоимидазолидин-1-ил)-ацетил-L-аспартил-L-фенилглицин
2а). Метиловый эфир ((R, S)-4-(4-цианофенил)-3,4-диметил-2,5-диоксоимидазолидин-1-ил) уксусной кислоты
3 г (10,4 ммоль) Метилового эфира ((R, S)-4-(4-цианофенил)-4-метил-2,5-диоксоимидазолидин-1-ил) уксусной кислоты растворяют в 15 мл безводного диметилформамида в атмосфере аргона. В противотоке аргона добавляют 275,5 мг дисперсии гидрида натрия в минеральном масле (11,4 ммоль). Реакционную смесь перемешивают в течение 15 минут при комнатной температуре, затем смешивают с 721 мкмоль (11,4 ммоль) метилиодида. Перемешивают 4 часа при комнатной температуре и затем оставляют стоять в течение ночи при комнатной температуре. Раствор концентрируют. Для очистки вещество хроматографируют на силикагеле с помощью смеси дихлорметана с этилацетатом в соотношении 9,5:0,5. Фракции с чистым веществом концентрируют. Выход составляет 2,14 г масла (68%).
Масс-спектр (бомбардировка быстрыми атомами): 302,2 (М+Н)+.
2б). Гидрохлорид метилового эфира ((R, S)-4-(4-(этоксиминометил)-фенил)-3,4-диметил-2,5-диоксоимидазолидин-1-ил) уксусной кислоты
Раствор 2,56 г (8,5 ммоль) метилового эфира ((R, S)-4-(4-цианофенил)-3,4-метил-2,5-диоксоимидазолидин-1-ил) уксусной кислоты в 40 мл абсолютного этанола охлаждают до температуры 0 С. В раствор пропускают осушенный газообразный хлороводород, причем температуру все время поддерживают ниже 10 С, до тех пор, пока в ИК-спектре не будет обнаруживаться относящаяся к нитрилу полоса. Этанольный раствор концентрируют до объема 20 мл и смешивают с 200 мл диэтилового эфира. Суспензию концентрируют и остаток высушивают в высоком вакууме. Выход составляет 2,27 г (76%).
Масс-спектр (бомбардировка быстрыми атомами): 348,1 (M+H)+.
2в). Гидрохлорид метилового эфира ((R, S)-4-(4-(аминоиминометил)-фенил)-3,4-диметил-2,5-диоксоимидазолидин-1-ил) уксусной кислоты
2,26 г (6,4 ммоль) Гидрохлорида метилового эфира ((R, S)-4-(4- (этоксиминометил)фенил)-3,4-диметил-2,5-диоксоимидазолидин-1-ил) уксусной кислоты суспендируют в 25 мл изопропанола и смешивают с 7,2 мл 2 н. раствора аммиака в изопропаноле. Реакционную смесь перемешивают в течение 2,5 часов при температуре 50 С, затем охлаждают и смешивают с 200 мл диэтилового эфира. Осадок отфильтровывают под вакуумом и высушивают в высоком вакууме. Выход составляет 1,03 г (45%).
Масс-спектр (бомбардировка быстрыми атомами): 319,4 (М+Н)+.
2г). Гидрохлорид ((R, S)-4-(4-(аминоиминометил)-фенил)-3,4-диметил-2,5-диоксоимидазолидин-1-ил) уксусной кислоты
1 г (2,8 ммоль) Гидрохлорида метилового эфира ((R, S)-4-(4-(аминоиминометил)-фенил)-3,4-диметил-2,5-диоксоимидазолидин-1-ил) уксусной кислоты растворяют в 20 мл концентрированной соляной кислоты. Раствор кипятят в течение 6 часов и затем концентрируют. Выход составляет 770 мг (81%).
Масс-спектр (бомбардировка быстрыми атомами): 305 (М+Н)+.
2д). Гидрохлорид ди-трет.-бутилового эфира ((R, S)-4-(4-аминоиминометил)фенил)-3,4-диметил-2,5-диоксоимидазолидин-1-ил) ацетил-L-аспартил-L-фенилглицина
К раствору 340 мг (1 ммоль) гидрохлорида ((R, S)-4-(4-(аминоиминометил)фенил)-3,4-диметил-2,5-диоксоимидазолидинон-1-ил) уксусной кислоты, 415 мг (1 ммоль) H-Asp (Obut)-Phg-Obut-гидрохлорида и 135 мг HOBt в 7 мл диметилформамида при 0 С добавляют 220 г (1 ммоль) ДЦК. Добавляют 0,13 мл N-этилморфолина, вплоть до достижения рН 5,0, и перемешивают в течение часа при температуре 0 С и в течение двух часов при комнатной температуре. Затем смесь выдерживают до конца недели в холодильной камере, осадок отфильтровывают под вакуумом и фильтрат концентрируют. Для очистки вещество хроматографируют на сефадексе LH20 с помощью смеси из ледяной уксусной кислоты, н-бутанола и воды. Фракции с чистым веществом концентрируют, остаток растворяют в воде и подвергают сушке вымораживанием. Выход составляет 377 мг (57%).
Масс-спектр (бомбардировка быстрыми атомами): 665,2 (М+Н)+.
2е). ((R, S)-4-(4-(Аминоиминометил)-фенил)-3,4-диметил-2,5-диоксо-имидазолидин-1-ил)-ацетил-L-аспартил-L-фенилглицин
370 мг (0,53 ммоль) Гидрохлорида ди-трет.-бутилового эфира ((R, S)-4-(4-(аминоиминометил)-фенил)-3,4-диметил-2,5-диоксоимидазолидин-1-ил)ацетил)-L-аспартил-L-фенилглицина растворяют в смеси из 3,6 мл трифторуксусной кислоты, 0,4 мл воды и 0,4 мл димеркаптоэтана. Выдерживают в течение часа при комнатной температуре и концентрируют затем в вакууме водоструйного насоса. Для очистки вещество хроматографируют на сефадексе LH2О с помощью смеси из ледяной уксусной кислоты, н-бутанола и воды. Фракции с чистым веществом концентрируют, остаток растворяют в воде и подвергают сушке вымораживанием. Выход составляет 210 мг (72%) белого твердого вещества.
(с=1, в метаноле).
Масс-спектр (бомбардировка быстрыми атомами): 553,2 (М+Н)+.
Соединения примеров 3-17 получают аналогично методике примера 2.
ПРИМЕР 3
((R, S)-4-(4-(аминоиминометил)-фенил)-3-этил-4-метил-2,5-диоксоимидазолидин-1-ил)ацетил-L-аспартил-L-фенилглицин
Масс-спектр (бомбардировка быстрыми атомами): 567,2 (М+Н)+.
ПРИМЕР 4
((R, S)-4-(4-(Аминоиминометил)-фенил)-3-бензил-4-метил-2,5-диоксоимидазолидин-1-ил)-ацетил-L-аспартил-L-фенилглицин
Масс-спектр (бомбардировка быстрыми атомами): 629,0 (М+Н)+.
ПРИМЕР 5
((R, S)-4-(4-(Аминоиминометил)-фенил)-3-(4-трет.-бутилбензил)-4-метил-2,5-диоксоимидазолидин-1-ил)ацетил-L-аспартил-L-фенилглицин
Масс-спектр (бомбардировка быстрыми атомами): 685,4 (М+Н)+.
ПРИМЕР 6
((R, S)-4-(4-(Аминоиминометил)-фенил-3-(2,3,4,5,6-пентафторбензил)-4-метил-2,5-диоксоимидазолидин-1-ил)ацетил-L-аспартил-L-фенилглицин
Масс-спектр (бомбардировка быстрыми атомами): 719,3 (М+Н)+.
ПРИМЕР 7
((R, S)-4-(4-(Аминоиминометил)-фенил)-3-(4-нитробензил)-4-метил-2,5-диоксоимидазолидин-1-ил)ацетил-L-аспартил-L-фенилглицин
Масс-спектр (бомбардировка быстрыми атомами): 674,3 (М+Н)+.
ПРИМЕР 8
((R, S)-4-(4-(Аминоиминометил)-фенил)-3-(3,5-диметилбензил)-4-метил-2,5-диоксоимидазолидин-1-ил)ацетил-L-аспартил-L-фенилглицин
Масс-спектр (бомбардировка быстрыми атомами): 657,3 (М+Н)+.
ПРИМЕР 9
((R, S)-4-(4-(Аминоиминометил)-фенил)-3-((2-нафтил)метил)-4-метил-2,5-диоксоимидазолидин-1-ил) ацетат-L-аспартил-L-фенилглицин
Масс-спектр (бомбардировка быстрыми атомами): 679,2 (М+Н)+.
ПРИМЕР 10
((R, S)-4-(4-(Аминоиминометил)-фенил)-3-((2-(фенилсульфонилметил)-бензил-4-метил-2,5-диоксиимидазолидин-1-ил)ацетил-L-аспартил-L-фенилглицин
Масс-спектр (бомбардировка быстрыми атомами): 783,2 (М+Н)+.
ПРИМЕР 11
((R, S)-4-(4-(Аминоиминометил)-фенил)-3-((2-бифенилил)-метил)-4-метил-2,5-диоксоимидазолидин-1-ил)-ацетил-L-аспартил-L-фенилглицин
Масс-спектр (бомбардировка быстрыми атомами): 705,2 (М+Н)+.
ПРИМЕР 12
((R, S)-4-(4-(Аминоиминометил)-фенил)-3-(4-метилбензил)-4-метил-2,5-диоксоимидазолидин-1-ил)-ацетил-L-аспартил-L-фенилглицин
Масс-спектр (бомбардировка быстрыми атомами): 643,3 (М+Н)+.
ПРИМЕР 13
((R, S)-4-(4-(Аминоиминометил)-фенил)-3-((1-нафтил)-метил)-4-метил-2,5-диоксоимидазолидин-1-ил)-ацетил-L-аспартил-L-фенилглицин
Масс-спектр (бомбардировка быстрыми атомами): 679,3 (М+Н)+.
ПРИМЕР 14
((R, S)-4-(4-(Аминоиминометил)-фенил)-3-((4-бифенилил)метил)-4-метил-2,5-диоксоимидазолидин-1-ил)-ацетил-L-аспартил-L-фенилглицин
Масс-спектр (бомбардировка быстрыми атомами): 705,3 (М+Н)+.
ПРИМЕР 15
((R, S)-4-(4-(Аминоиминометил)-фенил)-3-(4-трифторметилбензил) -4-метил-2,5-диоксоимидазолидин-1-ил)-ацетил-L-аспартил-L-фенилглицин
Масс-спектр (бомбардировка быстрыми атомами): 697,3 (М+Н)+.
ПРИМЕР 16
((R, S)-4-(4-(Аминоиминометил)-фенил)-3-(3,5-бис (трифторметил) бензил)-4-метил-2,5-диоксоимидазолидин-1-ил)-ацетил-L-аспартил-L-фенилглицин
Масс-спектр (бомбардировка быстрыми атомами): 765,2 (М+Н)+.
ПРИМЕР 17
((R, S)-4-(4-(Аминоиминометил)-фенил)-3-(пентаметилбензил)-4-метил-2,5-диоксоимидазолидин-1-ил)-ацетил-L-аспартил-L-фенилглицин
Масс-спектр (бомбардировка быстрыми атомами): 699,3 (М+Н)+.
ПРИМЕР 18
((R, S)-4-(4-(Аминоиминометил)-фенил)-3-((4-бифенилил)-метил) 4-метил-2,5-диоксоимидазолидин-1-ил)-ацетил-L-N-метиласпартил-L-фенилглицин
18а). Бензиловый эфир ((S)-3-бензилоксикарбонил-5-оксо-1,3-оксазолидин-4-ил) уксусной кислоты
3,57 г (10 ммоль) -Бензилового эфира L-N-бензилоксикарбонил-аспарагиновой кислоты растворяют в 300 мл толуола. Добавляют 4,5 г (50 ммоль) триоксана, 5,7 мл (0,03 ммоль) п-толуолсульфокислоты, а также 3 молекулярного сита. Смесь кипятят с обратным холодильником в течение 30 минут и затем концентрируют в вакууме. Для очистки вещество хроматографируют на силикагеле с помощью смеси толуола с этилацетатом в соотношении 3:2. Выход составляет 2,94 г (80%).
Масс-спектр (бомбардировка быстрыми атомами): 370,2 (М+Н)+.
18б). -Бензиловый эфир L-N-бензилоксикарбонил-N-метил-аспарагиновой кислоты
886 мг (2,4 ммоль) Бензилового эфира ((S)-3-бензилоксикарбонил-5-оксо-1,3-оксазолидин-4-ил) уксусной кислоты растворяют в 25 мл смеси в соотношении 1:1 дихлорметана и триэтилсилана. Добавляют молекулярное сито 3 и затем порциями добавляют 2 мл эфирата трифторида бора. Реакционную смесь перемешивают 2 часа при комнатной температуре. Реакционный раствор разбавляют дихлорметаном и органическую фазу затем встряхивают с водным раствором гидрокарбоната натрия. Органическую фазу концентрируют и остаток высушивают в вакууме. Выход составляет 820 мг (92%).
Масс-спектр (бомбардировка быстрыми атомами): 394,3 (М+Н)+.
18в). Трет.-Бутиловый эфир L-N-бензилоксикарбонил-N-метил-аспартил-( – сложный бензиловый эфир) -L-фенилглицина
197 мг (0,5 ммоль) -Бензилового эфира L-N-бензилоксикарбонил-N-метил-аспарагиновой кислоты, 122 мг (0,5 ммоль) H-Phg-Obut-гидрохлорида, 164 мг (0,5 ммоль) TOTU (О-((циано-этоксикарбонилметилен)амино)-N,N,N’,N’-тетраметилуронийтетрафторборат) и 225 мкл (1,5 ммоль) диизопропилэтиламина при температуре 0 С растворяют в 3 мл безводного диметилформамида. Перемешивают 10 минут при 0 C и 1,5 часа при комнатной температуре и затем реакционный раствор концентрируют. Остаток распределяют между этилацетатом и 1000 мл раствора KHSO4/K2SO4 (50 кг KHSO4 и 100 г K2SO4 в 1000 мл воды). Органическую фазу промывают трижды раствором гидрокарбоната натрия, водой и насыщенным раствором хлорида натрия, сушат над сульфатом натрия и концентрируют в вакууме. Для очистки вещество хроматографируют на силикагеле с помощью смеси толуола с этилацетатом в соотношении 10:1. Выход составляет 214 мг (76%).
Масс-спектр (бомбардировка быстрыми атомами): 561,3 (М+Н)+.
18г). Гидрохлорид трет.-бутилового эфира L-N-метиласпартил-L-фенилглицина
2,98 г (5,32 ммоль) трет.-Бутилового эфира L-N-бензилоксикарбонил-N-метил-аспартил (сложный -бензиловый эфир)-L-фенилглицина растворяют в 300 мл метанола и в автобюретке при добавке 2 н. метанольного раствора хлороводорода при значении рН 6,5 гидрируют в присутствии палладия-на-активном угле. Катализатор отфильтровывают под вакуумом через кизельгур и фильтрат концентрируют. Остаток растирают с диэтиловым эфиром, отфильтровывают под вакуумом и высушивают.
Выход составляет 1,623 г (82%).
Масс-спектр (бомбардировка быстрыми атомами): 337,3 (М+Н)+.
18д). трет.-Бутиловый эфир ((R, S)-4-(4-аминоиминометил)-фенил) -3-((4-бифенилил)-метил)-4-метил-2,5-диоксоимидазолидин-1-ил)-ацетил-L-N-метил-аспартил-L-фенилглицина
К раствору 123 мг (0,25 ммоль) гидрохлорида ((R, S)-4-(4-аминоиминометил)-фенил)-3-((4-бифенил)-метил)-4-метил-2,5-диоксоимидазолидин-1-ил) уксусной кислоты, 84 мг (0,25 ммоль) Н-(N-метил-Аsр)-Phg-Obut-гидрохлорида и 33,8 мг (0,25 ммоль) HOBt в 5 мл диметилформамида при температуре 0 С добавляют 55 мг (0,25 ммоль) ДЦК. Перемешивают в течение часа при 0 С и в течение 4-х часов при комнатной температуре. Затем реакционную смесь оставляют стоять в течение ночи при комнатной температуре, осадок отфильтровывают под вакуумом и фильтрат концентрируют.
Выход составляет 270 мг сырого продукта.
Масс-спектр (бомбардировка быстрыми атомами): 775,2 (М+Н)+.
18е). ((R, S)-4-(4-(Аминоиминометил)-фенил)-3-((4-бифенилил)-метил)-4-метил-2,5-диоксоимидазолидин-1-ил)-ацетил-L-N-метиласпартил-L-фенилглицин
270 мг трет.-Бутилового эфира ((R, S)-4-(4-(аминоиминометил)-фенил)-3-((бифенил-4-ил)-метил)-4-метил-2,5-диоксоимидазолидин-1-ил)-ацетил-L-N-метиласпартил-L-фенилглицина растворяют в смеси из 2,7 мл трифторуксусной кислоты и 0,3 мл воды. Выдерживают в течение часа при комнатной температуре и концентрируют в вакууме водоструйного насоса. Для очистки вещество хроматографируют на сефадексе LH20 с помощью смеси из ледяной уксусной кислоты, н-бутанола и воды. Фракции с чистым веществом концентрируют, остаток растворяют в воде и подвергают сушке вымораживанием. Выход: 30 мг твердого вещества белого цвета (15%).
Масс-спектр (бомбардировка быстрыми атомами): 719,0 (М+Н)+.
ПРИМЕР 19
((R, S)-4-(4-(Аминоиминометил)-фенил)-3-бензил-4-метил-2,5-диоксоимидазолидин-1-ил)-ацетил-L-N-метиласпартил-L-фенилглицин
Соединение примера 19 получают аналогично методике примера 18. Масс-спектр (бомбардировка быстрыми атомами): 643,2 (М+Н)+.
Соединения примеров 20-25 получают аналогично описанному в примере 2.
ПРИМЕР 20
((R, S)-4-(4-(Аминоиминометил)-фенил)-3,4-дибензил-2,5-диоксоимидазолидин-1-ил)-ацетил-L-аспартил-L-фенилглицин
Масс-спектр (бомбардировка быстрыми атомами): 705,2 (M+H)+.
ПРИМЕР 21
((R, S)-4-(4-(Аминоиминометил)-фенил)-3-бензил-4-метил-2,5-диоксоимидазолидин-1-ил)-ацетил-L-аспартил-L-валин
Масс-спектр (бомбардировка быстрыми атомами): 595,2 (М+Н)+.
ПРИМЕР 22
((R, S)-4-(4-(Аминоиминометил)-фенил)-3-бензил-4-метил-2,5-диоксоимидазолидин-1-ил)-ацетил-L-аспартил-L-лейцин
Масс-спектр (бомбардировка быстрыми атомами): 609,3 (М+Н)+.
ПРИМЕР 23
((R, S)-4-(4-(Аминоиминометил)-фенил)-3-бензил-4-метил-2,5-диоксоимидазолидин-1-ил)-ацетил-L-аспартил-L-серин
Масс-спектр (бомбардировка быстрыми атомами): 583,2 (M+H)+.
ПРИМЕР 24
((R, S)-4-(4-(Аминоиминометил)-фенил)-3-бензил-4-метил-2,5-диоксоимидазолидин-1-ил)-ацетил-L-аспартил-L-фенилаланин
Масс-спектр (бомбардировка быстрыми атомами): 643,3 (М+Н)+.
ПРИМЕР 25
Метиловый эфир ((R, S)-4-(4-(Аминоиминометил)-фенил)-3-бензил-4-метил-2,5-диоксоимидазолидин-1-ил)-ацетил-L-аспартил-L-фенилглицина
Масс-спектр (бомбардировка быстрыми атомами): 643,2 (М+Н)+.
ПРИМЕР 26
((R, S)-4-(4-(Аминоиминометил)-фенил)-3-бензил-4-метил-2,5-диоксоимидазолидин-1-ил)-ацетил-L-аспартил-(2-адамантил-амид)
Масс-спектр (бомбардировка быстрыми атомами): 629,5 (М+Н)+.
ПРИМЕР 27
((R, S)-4-(4-(Аминоиминометил)-фенил)-3-бензил-4-метил-2,5-диоксоимидазолидин-1-ил)-ацетил-L-аспартил-(1-адамантил-амид)
Масс-спектр (бомбардировка быстрыми атомами): 629,3 (М+Н)+.
ПРИМЕР 28
((R, S)-4-(4-(Аминоиминометил)-фенил)-3-бензил-4-метил-2,5-диоксоимидазолидин-1-ил)-ацетил-L-аспартил-((1-адамантилметил)амид
Масс-спектр (бомбардировка быстрыми атомами): 643,4 (М+Н)+.
Соединения примеров 29 и 30 являются диастереомерами. Одно из соединений примеров 29 и 30 в центре хиральности у атома углерода в положении 4 имидазолинового цикла имеет (S)-конфигурацию, а другое – (R)-конфигурацию. Соединения получают из соединения примера 4 путем разделения с помощью препаративной высокоэффективной жидкостной хроматографии (ВЭЖХ) (элюирующее средство: смесь ацетонитрила с водой и ацетатом аммония в соотношении 18:83:0,1).
ПРИМЕР 29: Диастереомер I
((S или R)-4-(4-(Аминоиминометил)-фенил)-3-бензил-4-метил-2,5-диоксоимидазолидин-1-ил)-ацетил-L-аспартил-L-фенилглицин
Масс-спектр (бомбардировка быстрыми атомами): 628,3 (М+Н)+.
ПРИМЕР 30: Диастереомер II
((R или S)-4-(4-(Аминоиминометил)-фенил)-3-бензил-4-метил-2,5-диоксоимидазолидин-1-ил)-ацетил-L-аспартил-L-фенилглицин
Масс-спектр (бомбардировка быстрыми атомами): 628,3 (М+Н)+.
ПРИМЕР 31
Гидрохлорид (R, S)-3-((R, S)-4-(4-(аминоиминометил)-фенил)-3,4-диметил-2,5-диоксоимидазолидин-1-ил)-ацетиламино)-3-фенилпропионовой кислоты
Масс-спектр (бомбардировка быстрыми атомами): 452 (М+Н)+.
ПРИМЕР 32
Гидрохлорид (R, S)-3-((R, S)-4-(4-(аминоиминометил)-фенил-3-этил-4-метил-2,5-диоксоимидазолидин-1-ил)-ацетиламино)-3-фенилпропионовой кислоты
Масс-спектр (бомбардировка быстрыми атомами): 466 (М+Н)+.
ПРИМЕР 33
Гидрохлорид (R, S)-3-(((R, S)-4-(4-(Аминоиминометил)-фенил)-3-бензил-4-метил-2,5-диоксоимидазолидин-1-ил)-ацетиламино)-3-фенилпропионовой кислоты
Масс-спектр (бомбардировка быстрыми атомами): 528,3 (М+Н)+.
ПРИМЕР 34
Гидрохлорид 3-(((R, S)-4-(4-(аминоиминометил)-фенил)-3-бензил-4-метил-2,5-диоксоимидазолидин-1-ил)-ацетиламино) пропионовой кислоты
Масс-спектр (бомбардировка быстрыми атомами): 452,3 (М+Н)+.
ПРИМЕР 35
((S)-4-(3-аминопропил)-3-этил-2,5-диоксоимидазолидин-1-ил)-ацетил-L-аспартил-L-фенилглицин
Соединение получают аналогично стадиям а)-д) примера 36 и соответствующему соединению примера 36 д). трет.-Бутиловый сложный эфир расщепляют с помощью трифторуксусной кислоты.
Масс-спектр (бомбардировка быстрыми атомами): 492,6 (М+Н)+.
ПРИМЕР 36
((S)-4-(3-Гуанидинопропил)-3-этил-2,5-диоксоимидазолидин-1-ил)-ацетил-L-аспартил-D-фенилглицин
36а). Этиловый эфир ((S)-4-(3-бензилоксикарбониламинопропил)-2,5-диоксоимидазолидин-1-ил) уксусной кислоты
52 г (185,7 ммоль H-Orn(Z)-ОСН3 и 24,15 мл (185,7 ммоль) этилморфолина растворяют в 500 мл ДМФА и охлаждают до температуры 0 С. Затем при перемешивании прикапывают 23,77 мл (185,7 ммоль) этилового эфира изоцианатоуксусной кислоты и выдерживают в течение ночи при повышении температуры до комнатной. Для обработки ДМФА удаляют в вакууме и остаток обрабатывают с помощью 500 мл этилацетата. Этилацетатный раствор многократно промывают водой, этилацетатную фазу охлаждают в течение ночи при 0 С и осадившийся продукт отфильтровывают. Затем его еще раз перекристаллизуют из этилацетата. Выход составляет 55,4 г (79%).
Масс-спектр (химическая ионизация): 378 (М+Н)+.
36б). Этиловый эфир ((S)-4-(3-бензилоксикарбониламинопропил)-3-этил-2,5-диоксоимидазолидин-1-ил) уксусной кислоты
6,74 г (17,8 ммоль) Этилового эфира ((S)-4-(3-бензил-оксикарбониламинопропил)-2,5-диоксоимидазолидин-1-ил) уксусной кислоты в 40 мл ДМФА охлаждают до 0 С. Затем порциями добавляют 0,49 г (20 ммоль) гидрида натрия. После этого смешивают с 2,18 г (20 ммоль) этилбромида и выдерживают в течение ночи при комнатной температуре. По окончании реакции растворитель удаляют в вакууме и сырой продукт разделяют путем хроматографии на силикагеле с помощью смеси дихлорметана с метанолом, этилацетатом и водой в соотношении 99:1:0,1:0,1). Выход составляет 5,4 г (75%).
Масс-спектр (электронное распыление): 406 (М+Н)+.
36в). ((S)-4-(3-бензилоксикарбониламинопропил)-3-этил-2,5-диоксоимидазолидин-1-ил) уксусная кислота
2,025 г (5 ммоль) Этилового эфира ((S)-4-(3-бензилоксикарбониламинопропил)-3-этил-2,5-диоксоимидазолидин-1-ил) уксусной кислоты растворяют в 15 мл этанола и смешивают с 50 мл 0,1 н. раствора гидроксида лития. Перемешивают в течение четырех дней при комнатной температуре. По окончании реакции смешивают с 200 мл воды и с помощью лимонной кислоты устанавливают рН 3. Водную фазу экстрагируют этил-ацетатом, органическую фазу промывают многократно водой и концентрируют. Остаток хроматографируют на силикагеле с помощью смеси дихлорметана с метанолом в соотношении 8:3. Выход составляет 810 мг (40%).
Масс-спектр (электронное распыление): 378,3 (М+Н)+.
36г). Ди-трет.-бутиловый эфир ((S)-4-(3-бензилоксикарбониламинопропил)-3-этил-2,5-диоксоимидазолидин-1-ил)-ацетил-L-аспартил-D-фенилглицина
810 мг (2,15 ммоль) ((S)-4-(3-Бензилоксикарбониламинопропил)-3-этил-2,5-диоксоимидазолидин-1-ил) уксусной кислоты в 10 мл ДМФА смешивают с 87 мг (2,36 ммоль) ДЦК и 290 мг (2,15 ммоль) HOBt и перемешивают в течение 30 минут. Затем добавляют 928 мг (2,15 ммоль) H-Asp(Obut)-D-Phg-OBut и 280 мкл (2,15 ммоль) N-этилморфолина. Оставляют реагировать в течение ночи. По окончании реакции растворитель удаляют в вакууме, остаток обрабатывают дихлорметаном и осадившуюся дициклогексилмочевину отфильтровывают под вакуумом. Раствор концентрируют и остаток хроматографируют на силикагеле с помощью смеси дихлорметана с метанолом, уксусной кислотой и водой в соотношении 97:3:0,1:0,1. Выход составляет 1,5 г (94%).
Масс-спектр (электронное распыление): 738,4 (М+Н)+.
36д). Ди-трет.-бутиловый эфир ((S)-4-(3-аминопропил)-3-этил-2,5-диоксоимидазолидин-1-ил)-ацетил-L-аспартил-D-фенилглицина
1,5 г (2,03 ммоль) Ди-трет.-бутилового эфира (S)-4-(3-бензилоксикарбониламинопропил)-3-этил-2,5-диоксоимидазолидин-1-ил)-ацетил-L-аспартил-D-фенилглицина растворяют в 70 мл метанола, смешивают с 0,5 г 10%-ного палладия-на-угле в качестве катализатора и гидрируют. По окончании реакции катализатор отфильтровывают под вакуумом, фильтрат концентрируют и остаток высушивают в вакууме. Выход: 1,2 (92%).
Масс-спектр: 604,3 (М+Н)+.
36е). Ди-трет.-бутиловый эфир ((S)-4-(3-гуанидинопропил)-3-этил-2,5-диоксоимидазолидин-1-ил)-ацетил-L-аспартил-D-фенилглицина
1 г (1,56 ммоль) Ди-трет.-бутилового эфира ((S)-4-(3-аминопропил)-3-этил-2,5-диоксоимидазолидин-1-ил)-ацетил-L-аспартил-D-фенилглицина растворяют в 17 мл ДМФА. К раствору добавляют 0,228 г (1,56 ммоль) 1Н-пиразол-1-карбоксамидин-гидрохлорида и 0,8 мл (4,68 ммоль) диизопропилэтиламина и оставляют реагировать в течение ночи. По окончании реакции растворитель удаляют в вакууме и остаток очищают путем хроматографии на силикагеле с помощью смеси дихлорметана с метанолом, уксусной кислотой и водой в соотношении 95:5;0,5:0,5. Выход составляет 0,68 г (68%).
Масс-спектр (электронное распыление): 646,4 (М+Н)+.
36ж). ((S)-4-(3-Гуанидинопропил)-3-этил-2,5-диоксоимидазолидин-1-ил)-ацетил-L-аспартил-D-фенилглицин
0,68 г (1,05 ммоль) Ди-трет.-бутилового эфира ((S)-4-(3-гуанидинопропил)-3-этил-2,5-диоксоимидазолидин-1-ил)-ацетил-L-аспартил-D-фенилглицина растворяют в 10 мл смеси из трифторуксусной кислоты и воды в соотношении 95:5. Спустя 30 минут реакционный раствор концентрируют в вакууме и остаток обрабатывают с помощью 100 мл воды. Затем с помощью смолы Амберлит IRA 93/45 превращают в уксуснокислую соль и путем хроматографии на сефадексе G25 очищают при использования 1 М уксусной кислоты. Выход составляет 0,181 г (32%).
Масс-спектр (бомбардировка быстрыми атомами): 534,3 (М+Н)+.
ПРИМЕР 37
((S)-4-(3-Аминопропил)-3-бензил-2,5-диоксоимидазолидин-1-ил)-ацетил-L-аспартил-L-фенилглицин
Соединение примера 37 получают по методике примера 35.
Масс-спектр (бомбардировка быстрыми атомами): 553,6 (М+Н)+.
Соединения примеров 38-40 получают аналогично методике примера 36.
ПРИМЕР 38
((S)-4-(3-Гуанидинопропил)-3-бензил-2,5-диоксоимидазолидин-1-ил)-ацетил-L-аспартил-L-фенилглицин
Масс-спектр (бомбардировка быстрыми атомами): 596,4 (M+H)+.
ПРИМЕР 39
((S)-4-(3-Гуанидинопропил)-3-бензил-2,5-диоксоимидазолидин-1-ил)-ацетил-D-аспартил-L-фенилглицин-L-тирозин-гидрохлорид
Масс-спектр (бомбардировка быстрыми атомами): 792,4 (M+H)+.
ПРИМЕР 40
((S)-4-(3-Гуанидинопропил)-3-бензил-2,5-диоксоимидазолидин-1-ил)-ацетил-D-глутамил-L-фенилглицин-L-тирозин-гидрохлорид
Масс-спектр (бомбардировка быстрыми атомами): 806,4 (М+Н)+.
ПРИМЕР 41
((S)-4-(4-(Аминоиминометил)-фенил)-3-((2-нафтил)-метил)-4-метил-2,5-диоксоимидазолидин-1-ил)-ацетил-L-аспартил-L-фенилглицин
Соединение получают путем разделения ((R, S)-4-(4-аминоиминометил)-фенил)-3-((2-нафтил)-метил)-4-метил-2,5-диоксоимидазолидин-1-ил)-ацетил-L-аспартил-L-фенилглицина (см., например, 9) с помощью среднеэффективной жидкостной хроматографии (жидкостной хроматографии среднего давления; СЭЖХ) на силикагеле.
(+)-Масс-спектр (электронное распыление): 679,3 (М+Н)+.
ПРИМЕР 42
(R, S)-4-(((R, S)-4-(4-(Аминоиминометил)-фенил)-3-бензил-4-метил-2,5-диоксоимидазолидин-1-ил)-ацетиламино)-2-(4-метоксибензил)-пропионовая кислота
(+)-Масс-спектр (электронное распыление): 572,3 (М+Н)+.
ПРИМЕР 43
(R, S)-3-(((R, S)-4-(4-(Аминоиминометил)-фенил)-3-бензил-4-метил-2,5-диоксоимидазолидин-1-ил)-ацетиламино)-2-фенил-пропионовая кислота
(+)-Масс-спектр (электронное распыление): 528,3 (М+Н)+.
ПРИМЕР 44
(R, S)-3-(((R, S)-4-(4-(Аминоиминометил)-фенил)-3-бензил-4-метил-2,5-диоксоимидазолидин-1-ил)-ацетиламино)-2-((нафт-1-ил) метил)-пропионовая кислота
(+)-Масс-спектр (электронное распыление): 592,4 (М+Н)+.
ПРИМЕР 45
(R, S)-3-(((R, S)-4-(4-(Аминоиминометил)-фенил)-3-бензил-4-метил-2,5-диоксоимидазолидин-1-ил)-ацетиламино)-2-(4-трет.-бутилбензил)-пропионовая кислота
(+)-Масс-спектр (электронное распыление): 598,4 (М+Н)+.
ПРИМЕР 46
(S)-3-(((R, S)-4-(4-(Аминоиминометил)-фенил)-3-бензил-4-метил-2,5-диоксоимидазолидин-1-ил)-ацетиламино)-2-бензилоксикарбониламинопропионовая кислота
46а). трет.-Бутиловый эфир (S)-3-амино-2-бензилоксикарбониламинопропионовой кислоты
10 г (42 ммоль) (S)-3-Амино-2-бензилоксикарбониламино-пропионовой кислоты в смеси из 100 мл диоксана, 100 мл изобутилена и 8 мл концентрированной серной кислоты при давлении азота 20 атм в течение трех дней встряхивают в автоклаве. Избыточный изобутилен отдувают и к остающемуся раствору добавляют 150 мл диэтилового эфира и 150 мл насыщенного раствора гидрокарбоната натрия. Фазы разделяют и водную фазу экстрагируют дважды по 100 мл диэтиловым эфиром. Объединенные органические фазы промывают дважды по 100 мл водой и сушат над сульфатом натрия. После удаления растворителя в вакууме получают 9,58 г (78%) продукта в виде масла бледно-желтого цвета.
46б). трет.-Бутиловый эфир (S)-3-(((R, S)-4-(4-(аминоиминометил)-фенил)-3-бензил-4-метил-2,5-диоксоимидазолидин-1-ил)-ацетиламино)-2-бензилоксикар-бониламинопропионовой кислоты
208 мг (0,5 ммоль) Гидрохлорида ((R, S)-4-(4-аминоиминометил)фенил)-3-бензил-4-метил-2,5-диоксоимидазолидин-1-ил) уксусной кислоты (получен аналогично методике примера 2а) при использовании бензилбромида вместо метилиодида и последующих реакций; см. примеры 2б).-2г).) и 81,5 мг (0,5 ммоль) HOOBt суспендируют в 5 мл ДМФА и при 0 С смешивают со 110 мг (0,55 ммоль) ДЦК. Перемешивают в течение 1 часа при 0 С и в течение 1 часа при комнатной температуре и затем добавляют 147 мг (0,5 ммоль) трет.-бутилового эфира (S)-3-амино-2-бензилоксикарбониламинопропионовой кислоты, перемешивают 2 часа при комнатной температуре и оставляют стоять в течение ночи при комнатной температуре. Растворитель удаляют в вакууме и остаток хроматографируют на силикагеле с помощью смеси дихлорметана с метанолом, ледяной уксусной кислотой и водой в соотношении 9:1:0,1:0,1. После концентрирования и сушки вымораживанием получают 225 мг (69%) трет-бутилового эфира (S)-3-(((R, S)-4-(4-(аминоиминометил)-фенил)-3-бензил-4-метил-2,5-диоксоимидазолидин-1-ил)ацетиламино)-2-бензилоксикарбониламинопропионовой кислоты в виде бесцветного твердого вещества.
46в). (S)-3-(((R, S)-4-(4-(Аминоиминометил)-фенил)-3-бензил-4-метил-2,5-диоксоимидазолидин-1-ил)-ацетиламино)-2-бензилоксикарбониламинопропионовая кислота
220 мг (0,33 ммоль) трет.-Бутилового эфира (S)-3-(((R, S)-4- (4-(аминоиминометил)-фенил)-3-бензил-4-метил-2,5-диоксоимидазолидин-1-ил)-ацетиламино)-2-бензилоксикарбониламинопропионовой кислоты в 5 мл 90%-ной трифторуксусной кислоты выдерживают в течение часа при комнатной температуре. После концентрирования в вакууме остаток хроматографируют на силикагеле с помощью смеси дихлорметана с метанолом, ледяной уксусной кислотой и водой в соотношении 8:2:0,2:0,2.
После концентрирования фракций продукта и сушки вымораживанием получают 155 мг (78%) (S)-3-(((R, S)-4-(4-(аминоиминометил)-фенил)-3-бензил-4-метил-2,5-диоксоимидазолидин-1-ил)-ацетиламино)-2-бензилоксикарбониламинопропионовой кислоты в виде бесцветного твердого вещества. Масс-спектр (бомбардировка быстрыми атомами): 601,3 (М+Н)+.
ПРИМЕР 47
(R)-3-(((R, S)-4-(4-(Аминоиминометил)-фенил-3-((2-нафтил) метил)-4-метил-2,5-диоксоимидазолидин-1-ил)-ацетиламино)-2-бензилоксикарбониламинопропионовая кислота
Синтез осуществляют аналогично методике примера 46 при использовании (R)-3-амино-2-бензилоксикарбониламино-трет.-бутилового сложного эфира вместо (S)-изомера и 2-бромметилнафталина вместо бензилбромида.
(+)-Масс-спектр (электронное распыление): 651,3 (М+Н)+.
ПРИМЕР 48
(S)-3-(((R, S)-4-(4-(Аминоиминометил)-фенил)-3-бензил-4-метил-2,5-диоксоимидазолидин-1-ил)-ацетил-N-метиламино)-2-бензилоксикарбониламинопропионовая кислота
Синтез осуществляют аналогично методике примера 46 при использовании трет.-бутилового эфира (S)-2-бензилоксикарбониламино-3-(N-метиламино) пропионовой кислоты (получен из трет.-бутилового эфира (S)-3-амино-2-бензилоксикарбониламинопропионовой кислоты аналогично S.С. Miller, Т.S. Scanlan, J. Am. Сhem., Soc., 119, 2301 (1997)).
(+)-Масс-спектр (электронное распыление): 615,3 (М+Н)+.
ПРИМЕР 49
((R, S)-4-(4-(Аминоиминометил)-фенил)-3-бензил-4-метил-2,5-диоксо-имидазолидин-1-ил)-ацетил-L-аспарагиновая кислота
(+)-Масс-спектр (электронное распыление): 496,1 (М+Н)+.
ПРИМЕР 50
((R, S)-2-((S)-4-(4-Аминоиминометил)-фенил)-3-бензил-4-метил-2,5-диоксоимидазолидин-1-ил)-2-(2-метилпропил)-ацетил)-L-аспартил-L-фенилглицин
50а). (S)-4-(4-Цианофенил)-4-метил-2,5-диоксоимидазолидин (соединение 50.1)
6 г (22,2 ммоль) (S)-4-(4-Бромфенил)-4-метил-2,5-диоксоимидазолидина и 9 г (100,2 ммоль) цианида меди-(1) в 57 мл ДМФА кипятят с обратным холодильником в течение 5 часов. После охлаждения до комнатной температуры реакционную смесь смешивают с водой и этилацетатом и при охлаждении с помощью 2 н. соляной кислоты устанавливают рН-значение, равное 2. После отфильтровывания водную фазу экстрагируют дважды этилацетатом. Объединенные органические фазы промывают водой и насыщенным раствором хлорида натрия, сушат над сульфатом натрия и после отфильтровывания фильтрат концентрируют в вакууме. Сырой продукт хроматографируют на силикагеле с помощью смеси дихлорметана с метанолом в соотношении 95:5. После концентрирования содержащих продукт фракций получают 2,74 г (57%) соединения 50.1.
50б). трет.-Бутиловый эфир (R, S)-2-((S)-4-(4-цианофенил)-4-метил-2,5-диоксоимидазолидин-1-ил)-4-метилпентановой кислоты (соединение 50.2)
К раствору 1 г (4,64 ммоль) соединения 50.1 в 15 мл абсолютного ДМФА в атмосфере аргона добавляют 128 мг (5,35 ммоль) гидрида натрия, перемешивают в течение двух часов при комнатной температуре, добавляют 1,23 г (4,9 ммоль) трет.-бутилового эфира D, L-2-бром-4-метилпентановой кислоты (соединение 50.7) (получение см. в п.50ж).) и перемешивают 4 часа при комнатной температуре. После добавления следующих 40 мг гидрида натрия смесь выдерживают в течение трех дней при комнатной температуре, растворитель удаляют в вакууме и остаток распределяют между этилацетатом и водой.
С помощью насыщенного раствора KHSO4/K2SO4 устанавливают значение рН, равное 4, фазы разделяют и водную фазу экстрагируют дважды этилацетатом. Объединенные органические фазы сушат над сульфатом натрия, отфильтровывают от осушителя и фальтрат концентрируют в вакууме. Остаток фильтруют через силикагель при использовании смеси гептана с этилацетатом в соотношении 2:1, затем 1:2. После концентрирования содержащих продукт фракций получают 666 мг (37%) соединения 50.2.
50в). трет.-Бутиловый эфир (R, S)-2-((S)-4-(4-цианофенил)-3-бензил-4-метил-2,5-диоксоимидазолидин-1-ил)-4-метилпентановой кислоты (соединение 50.3)
К раствору 990 мг (2,56 ммоль) соединения 50.2 в абсолютном ДМФА в атмосфере аргона и при температуре 0 С добавляют 74 мг (3,07 ммоль) гидрида натрия, перемешивают в течение 1 часа при комнатной температуре, добавляют 334 мкл (2,81 ммоль) бензилбромида и перемешивают 1,5 часа при комнатной температуре. Растворитель удаляют в вакууме, остаток распределяют между водой и этилацетатом и после разделения фаз водную фазу экстрагируют этилацетатом. Объединенные органические фазы сушат над сульфатом натрия, осушитель отфильтровывают и фильтрат концентрируют в вакууме. Получают 1,22 г (100%) соединения 50.3.
50г). трет.-Бутиловый эфир (R, S)-2-((S)-4-(4-(аминогидроксиминометил)-фенил)-3-бензил-4-метил-2,5-диоксоимидазолидин-1-ил)-4-метилпентановой кислоты (соединение 50.4)
К раствору 1,21 г (2,54 ммоль) соединения 50.3 в 30 мл этанола добавляют 353 мг (6,08 ммоль) гидроксиламмонийхлорида и 1,05 мл (7,62 ммоль) триэтиламина и смесь кипятят в течение двух часов с обратным холодильником. Растворитель удаляют в вакууме, остаток обрабатывают смесью воды с этилацетатом и после разделения фаз водную фазу экстрагируют дважды этилацетатом. Объединенные органические фазы сушат над сульфатом натрия, осушитель отфильтровывают и растворитель удаляют в вакууме. Получают 1,16 г (90%) соединения 50.4.
50д). Гидрохлорид (R, S)-2-((S)-4-(4-(Аминоиминометил)-фенил)-3-бензил-4-метил-2,5-диоксоимидазолидин-1-ил)-4-метилпентановой кислоты (соединение 50.5)
Раствор 850 мг (1,67 ммоль) соединения 50.4 в 50 мл уксусной кислоты гидрируют в присутствии никеля Ренея. Спустя два часа катализатор отфильтровывают, фильтрат концентрируют в вакууме, остаток растворяют в 10%-ной уксусной кислоте, раствор подвергают сушке вымораживанием и остаток растворяют в 10 мл 90%-ной трифторуксусной кислоты. После выдерживания в течение 15 минут при комнатной температуре трифторуксусную кислоту удаляют в вакууме, остаток концентрируют дважды с толуолом, смешивают с 0,5 н соляной кислотой и подвергают сушке вымораживанием. Получают 700 мг (87%) соединения 50.5.
50е). ((R, S)-2-((S)-4-(4-(Аминоиминометил)-фенил)-3-бензил-4-метил-2,5-диоксоимидазолидин-1-ил)-2-(2-метилпропил)-ацетил)-L-аспартил-L-фенилглицин (соединение 50.6)
К раствору 200 мг (0,422 ммоль) соединения 50.5 и 175 мг (0,422 ммоль) H-Asp (Obut)-Phg-Obut-гидрохлорида в 20 мл абсолютного ДМФА добавляют 138 мг (0,422 ммоль) TOTU (O-[циан (этоксикарбонил) метиленамино]-1,1,3,3-тетраметилуронийтетрафторборат) и 216 мкл (1,26 ммоль) диизопропилэтиламина. После перемешивания в течение двух часов при комнатной температуре реакционную смесь концентрируют в вакууме, остаток обрабатывают этилацетатом и органическую фазу промывают дважды насыщенным раствором гидрокарбоната натрия и водой. После высушивания над сульфатом натрия, фильтрации и концентрирования фильтрата в вакууме получают 320 мг сырого продукта, который хроматографируют на силикагеле с помощью смеси дихлорметана с метанолом, ледяной уксусной кислотой и водой в соотношении 9:1:0,1:0,1. После концентрирования содержащих продукт фракций остаток растворяют в 5 мл 90%-ной трифторуксусной кислоты, выдерживают в течение 15 минут при комнатной температуре и трифторуксусную кислоту удаляют в вакууме, таким образом полученный остаток концентрируют дважды с толуолом и, наконец, остаток растворяют в 20%-ной уксусной кислоте и подвергают сушке вымораживанием. Получают 132 мг (46%) соединения 50.6.
(+)-Масс-спектр (электронное распыление): 685,4 (М+Н)+.
50ж). Синтез трет.-бутилового эфира D,L-2-бром-4-метилпентановой кислоты (соединение 50.7)
К раствору 2,5 г (12,8 ммоль) D,L-2-бром-4-метилпентановой кислоты в 80 мл хлороформа и 80 мл трет.-бутилацетата добавляют 1,96 мл концентрированной серной кислоты и 0,515 мл 20%-ного олеума и смесь перемешивают в течение трех часов при комнатной температуре. Путем добавления 10%-ного раствора гидрокарбоната натрия устанавливают рН-значение равным 4. Водную фазу отделяют и экстрагируют дважды дихлорметаном. Объединенные органические фазы сушат над сульфатом натрия. После отфильтровывания и концентрирования фильтрата в вакууме получают 2,62 г (82%) соединения 50.7.
ПРИМЕРЫ 51 и 52
Соединения примеров 51 и 52 являются диастереомерами. Их получают путем разделения смеси диастереомеров соединения 50.6 из примера 50 с помощью препаративной ВЭЖХ (фаза RP-18; элюирующее средство: А/В=60:40, где А означает смесь вода/0,1% трифторуксусной кислоты; В означает смесь 80% ацетонитрила (20% воды)/0,1% трифторуксусной кислоты). Одно из соединений примеров 51 и 52 у центра хиральности в 2-(2-метилпропил)-ацетильной структурной единице имеют (R)-конфигурацию, другое – (S)-конфигурацию.
ПРИМЕР 51
((R или S)-2-((S)-4-(4-(Аминоиминометил)-фенил)-3-бензил-4-метил-2,5-диоксоимидазолидин-1-ил)-2-(2-метилпропил)-ацетил)-L-аспартил-L-фенилглицин
(+)-Масс-спектр (электронное распыление): 685,4 (М+Н)+.
ПРИМЕР 52
((S или R)-2-((S)-4-(4-(Аминоиминометил)-фенил)-3-бензил-4-метил-2,5-диоксоимидазолидин-1-ил)-2-(2-метилпропил)-ацетил)-L-аспартил-L-фенилглицин
(+)-Масс-спектр (электронное распыление): 685,4 (М+Н)+.
ПРИМЕР 53
(R, S)-3-((R, S)-2-((S)-4-(4-(Аминоиминометил)-фенил)-3-бензил-4-метил-2,5-диоксоимидазолидин-1-ил)-2-(2-метилпропил)-ацетиламино)-3-(2,4-диметоксифенил) пропионовая кислота
Соединение получают путем реакции сочетания гидрохлорида (R, S) -2-((S)-4-(4-(аминоиминометил)-фенил)-3-бензил-4-метил-2,5-диоксоимидазолидин-1-ил)-4-метилпентановой кислоты (соединение 50.5) и гидрохлорида трет.-бутилового эфира (R, S)-3-амино-3-(2,4-диметоксифенил) пропионовой кислоты и последующего расщепления сложного трет.-бутилового эфира, как описано в примере 50.
(+) -Масс-спектр (электронное распыление): 644,4 (М+Н)+.
Замещенные в положении 3 -аминокислоты и эфиры -аминокислот, которые используют в примере 53 и других примерах, получают по следующим общим методикам синтеза для получения замещенных в положении 3 -аминокислот и эфиров -аминокислот.
Замещенные в положении 3 рацемические -аминокислоты получают согласно W.M. Radionow, E.A. Postovskaya, J. Am. Chem. Soc., 51, 841 (1929) (см. также: Губен-Вейл, Методы органической химии, том Х1/2, изд. Georg Thieme, Штутгарт, 1958, с.497). Согласно известным из литературы способам, из этих кислот получают метиленовые или этиловые эфиры. трет.-Бутиловые эфиры замещенных в положении 3 -аминокислот получают из этих кислот тем, что их сначала переводят в -бензилоксикарбониламинокислоты, из которых затем согласно общей методике синтеза получают трет.-бутиловые эфиры: к 1 ммоль -бензилоксикарбониламинокарбоновой кислоты в 13 мл абсолютного дихлорметана добавляют 1,5 ммоль оксалилхлорида. После перемешивания в течение четырех часов при комнатной температуре реакционную смесь концентрируют и к остатку добавляют 6,5 мл трет.-бутанола. Перемешивают в течение 1 часа при комнатной температуре и реакционную смесь концентрируют в вакууме. Остаток обрабатывают этилацетатом и экстрагируют дважды насыщенным раствором гидрокарбоната натрия и водой. Органическую фазу сушат над сульфатом натрия и после отфильтровывания растворитель удаляют в вакууме. Для получения гидрохлоридов трет.-бутиловых эфиров -аминокислот бензилоксикарбонильную группу затем отщепляют путем гидрогенолиза в растворе хлороводорода в метаноле в присутствии 10%-ного палладия-на-угле.
Энантиомерно чистые, замещенные в положении 3 эфиры -аминокислот получают согласно S.G. Davis, O. Ichihara, Tetrahedron Asymmetry, 2, 183 (1991); S.G. Davis, N.M. Garrido, O. Ichihara, I.A.S. Walters, J. Chem. Soc., Chem. Commun., 1153 (1993); S.G. Davis, I.A.S. Walters. J. Chem. Soc., Perkin Trans., I, 1129(1994).
ПРИМЕР 54
(R, S)-3-((R, S)-2-((S)-4-(4-(Аминоиминометил)-фенил)-3-бензил-4-метил-2,5-диоксоимидазолидин-1-ил)-2-(2-метилпропил)-ацетиламино) -3-(3,4-метилендиоксифенил)-пропионовая кислота
Соединение получают путем взаимодействия соединения 50.5 с гидрохлоридом трет.-бутилового эфира (R, S)-3-амино-3-(3,4-метилендиоксифенил) пропионовой кислоты и последующего расщепления трет.-бутилового эфира как описано в примере 50.
(+) -Масс-спектр (электронное распыление): 628,4 (М+Н)+.
Аналогично примеру 54 осуществляют примеры 55-60.
ПРИМЕР 55
(R, S)-3-(((R, S)-4-(4-(Аминоиминометил)-фенил)-3-бензил-4-метил-2,5-диоксоимидазолидин-1-ил)-3-(1-нафтил)-пропионовая кислота
(+) -Масс-спектр (электронное распыление): 578,3 (М+Н)+.
ПРИМЕР 56
(R, S)-3-(((R, S)-4-(4-(Аминоиминометил)-фенил)-3-бензил-4-метил-2,5-диоксоимидазолидин-1-ил)-ацетиламино)-масляная кислота
(+)-Масс-спектр (электронное распыление): 466,2 (М+Н)+.
ПРИМЕР 57
(R, S)-3-(((R,S)-4-(4-(Аминоиминометил)-фенил)-3-бензил-4-метил-2,5-диоксоимидазолидин-1-ил)-ацетиламино)-3-(3,4-диметоксифенил)-пропионовая кислота
Масс-спектр (бомбардировка быстрыми атомами): 588,3 (М+Н)+.
ПРИМЕР 58
(R, S)-3-(((R, S)-4-(4-(Аминоиминометил)-фенил)-3-бензил-4-метил-2,5-диоксоимидазолидин-1-ил)-ацетиламино)-3-(3,4-этилендиоксифенил)-пропионовая кислота
(+)-Масс-спектр (электронное распыление): 586,2 (М+Н)+.
ПРИМЕР 59
(R, S)-3-(((R, S)-4-(4-(Аминоиминометил)-фенил)-3-бензил-4-метил-2,5-диоксоимидазолидин-1-ил)-ацетиламино)-3-(3,5-диметоксифенил)-пропионовая кислота
(+) -Масс-спектр (электронное распыление): 588,2 (М+Н)+.
ПРИМЕР 60
(R, S)-3-(((R, S)-4-(4-(Аминоиминометил)-фенил)-3-бензил-4-метил-2,5-диоксоимидазолидин-1-ил)-ацетиламино)-3-(3-метоксифенил)-пропионовая кислота
(+) -Масс-спектр (электронное распыление): 558/2 (М+Н)+.
ПРИМЕР 61
(R, S)-3-(((R, S)-4-(4-(Аминоиминометил)-фенил)-3-бензил-4-метил-2,5-диоксоимидазолидин-1-ил)-ацетиламино)-3-(3-метоксифенил)-пропионовая кислота
(+) -Масс-спектр (электронное распыление): 558,2 (М+Н)+.
ПРИМЕР 62
((R, S)-2-((R, S)-4-(4-(Аминоиминометил)-фенил)-3-бензил-4-метил-2,5-диоксоимидазолидин-1-ил)-2-метилацетил)-L-аспартил-L-фенилглицин
Соединение получают аналогично описанному в примере 50 тем, что рацемическое соединение 50.1 вводят во взаимодействие с этиловым эфиром (R, S)-2-бром-пропионовой кислоты и перед реакцией сочетания пептида с H-Asp(OBut)-Phg-Obut. HCl этиловый эфир расщепляют с помощью 6 н. соляной кислоты.
(+)-Масс-спектр (электронное распыление): 643,3 (М+Н)+.
ПРИМЕР 63
((S)-4-(4-(аминоиминометил)-фенил)-3-бензил-4-метил-2,5-ди-оксоимидазолидин-1-ил)-ацетил-L-аспартил-L-фенилглицин
Соединение получают по методике примера 50 тем, что соединение 50.1 вводят во взаимодействие с этиловым эфиром 2-бромуксусной кислоты и перед реакцией сочетания пептида с H-Asp(Obut)-Phg-OBut. HCl этиловый эфир расщепляют с помощью 6 н. соляной кислоты.
(+) -Масс-спектр (электронное распыление): 629,3 (М+Н)+.
ПРИМЕР 64
(3-((R, S)-4-(4-(Аминоиминометил)-фенил)-3-бензил-4-метил-2,5-диоксоимидазолидин-1-ил)-пропионил)-L-аспартил-L-фенилглицин
Соединение получают по методике примера 50 тем, что рацемическое соединение 50.1 вводят во взаимодействие с этиловым эфиром 3-бром-пропионовой кислоты и перед реакцией сочетания пептида с H-Asp(Obut)-Phg-OBut. НСl этиловый эфир расщепляют с помощью 6 н. соляной кислоты.
(+) -Масс-спектр (электронное распыление): 643,3 (М+Н)+.
ПРИМЕР 65
((R, S)-4-(4-(Аминоиминометил)-фенил)-3-бензил-4-метил-2,5-диоксоимидазолидин-1-ил)-ацетил-L-аспартил-L-N-метилфенилглицин
Соединение получают по методике примера 63, причем используют рацемическое соединение 50.1 и вместо H-Asp(OBut)-Phg-Obut. HCl сочетают с H-Asp(OBut)-(N-метил-Phg)-OBut. HCl.
(+) -Масс-спектр (электронное распыление): 643,3 (М+Н)+.
ПРИМЕР 66
(R, S)-3-(((R, S)-4-(4-(Аминоиминометил)-фенил)-3-бензил-4-метил-2,5-диоксоимидазолидин-1-ил)-ацетил-(N-метиламино)-3-фенил-пропионовая кислота
(+) -Масс-спектр (электронное распыление): 542,3 (М+Н)+.
ПРИМЕР 67
(S)-3-(((R, S)-4-(4-(Аминоиминометил)-фенил)-3-бензил-4-метил-2,5-диоксоимидазолидин-1-ил)-ацетиламино)-2-(4-трифторметилбензилоксикарбониламино)-пропионовая кислота
К раствору 300 мг (0,644 ммоль) дигидрохлорида (S)-3-(((R, S)-4-(4-(аминоиминометил)-фенил)-3-бензил-4-метил-2,5-диоксоимидазолидин-1-ил)-ацетиламино)-2-аминопропионовой кислоты (получен из трет.-бутилового эфира (S)-3-(((R, S)-4(4-(аминоиминометил)фенил)-3-бензил-4-метил-2,5-диоксоимидазолидин-1-ил)ацетиламино)-2-бензилоксикарбониламинопропионовой кислоты путем гидрогенолитического отщепления бензилоксикарбонильной группы и расщепления трет.-бутилового эфира с помощью 6 н. соляной кислоты) добавляют 0,22 мл (1,29 ммоль) диизопропилэтиламина и 204 мг (0,644 ммоль) N-(4-трифторметилбензилоксикарбонилокси)-сукцинимида и смесь перемешивают в течение 4-х часов при комнатной температуре. Растворитель удаляют в вакууме и остаток хроматографируют на силикагеле с помощью смеси дихлорметана с метанолом, уксусной кислотой и водой в соотношении 9:1:0,1:0,1 и метанола. Содержащие продукт фракции концентрируют и хроматографируют на сефадексе LH20 с помощью 40%-ной уксусной кислоты. После концентрирования содержащих продукт фракций и сушки вымораживанием получают 145 мг (37%) целевого продукта.
(+) -Масс-спектр (электронное распыление): 669,3 (М+Н)+.
ПРИМЕР 68
((R, S)-4-(4-Аминометилфенил)-3-бензил-4-метил-2,5-диоксо-имидазолидин-1-ил)-ацетил-L-аспартил-L-фенилглицин
(+) -Масс-спектр (электронное распыление): 616,3 (М+Н)+.
ПРИМЕР 69
(R, S)-4-(4-Гуанидинометилфенил)-3-бензил-4-метил-2,5-диоксоимидазолидин-1-ил)-ацетил-L-аспартил-L-фенилглицин
69а). Метиловый эфир ((R, S)-4-(4-аминометилфенил)-3-бензил-4-метил-2,5-диоксоимидазолидин-1-ил) уксусной кислоты
7,55 г (20 ммоль) Метилового эфира ((R, S)-4-(4-цианофенил)-3-бензил-4-метил-2,5-диоксоимидазолидин-1-ил) уксусной кислоты (получен из рацемического соединения 50.1 путем взаимодействия с метиловым эфиром 2-бромуксусной кислоты и взаимодействия продукта реакции с бензилбромидом, согласно методике примера 50) в 80 мл смеси из этанола и 50%-ной уксусной кислоты в присутствии 1,5 г палладия-на-угле гидрируют в течение 7 часов при давлении водорода 3 атм. Катализатор отфильтровывают и остаток хроматографируют на силикагеле с помощью смеси дихлорметана с метанолом в соотношении 8:2. После концентрирования содержащих продукт фракций получают 7,6 (100%) метилового эфира ((R, S)-4-(4-аминометилфенил)-3-бензил-4-метил-2,5-диоксоимидазолидин-1-ил) уксусной кислоты.
69б). ((R, S)-4-(4-Аминометилфенил)-3-бензил-4-метил-2,5-диоксоимидазолидин-1-ил) уксусная кислота
3,7 г (9,7 ммоль) Метилового эфира ((R, S)-4-(4-аминометилфенил)-3-бензил-4-метил-2,5-диоксоимидазолидин-1-ил) уксусной кислоты в 80 мл концентрированной соляной кислоты кипятят с обратным холодильником в течение 6 часов. Раствор концентрируют в вакууме, остаток обрабатывают водой, отфильтровывают и фильтрат подвергают сушке вымораживанием. Получают 2,79 г (78%) ((R, S)-4-(4-аминометилфенил)-3-бензил-4-метил-2,5-диоксоимидазолидин-1-ил) уксусной кислоты.
69в). ((R, S)-4-(4-Гуанидинометилфенил)-3-бензил-4-метил-2,5-диоксоимидазолидин-1-ил) уксусная кислота
807 мл (2 ммоль) ((R, S)-4-(4-аминометилфенил)-3-бензил-4-метил-2,5-диоксоимидазолидин-1-ил) уксусной кислоты в 20 мл абсолютного ДМФА смешивают с 1,02 мл (6 ммоль) диизопропилэтиламина и затем с 220 мг (2 ммоль) 1-Н-пиразол-1-карбоксамидин-гидрохлорида. Реакционную смесь перемешивают в течение 5 часов при температуре 50 С и затем выдерживают в течение ночи при комнатной температуре. Снова добавляют 0,2 мл (0,4 ммоль) диизопропилэтиламина и 44 мг (0,4 ммоль) 1-Н-пиразол-1-карбоксамидин-гидрохлорида и перемешивают следующие 6 часов при температуре 50 С. Реакционную смесь концентрируют в вакууме, остаток растирают дважды с диэтиловым эфиром, диэтиловый эфир удаляют путем декантации и остаток хроматографируют на сефадексе LH20 с помощью смеси воды с бутанолом и уксусной кислотой в соотношении 43:4,3:3,5. Получают 682 мг (83%) ((R, S)-4-(3-гуанидинометилфенил)-3-бензил-4-метил-2,5-диоксоимидазолидин-1-ил) уксусной кислоты.
69г). ((R, S)-4-(4-Гуанидинометилфенил)-3-бензил-4-метил-2,5-диоксоимидазолидин-1-ил)-ацетил-L-аспартил-L-фенилглицин
Соединение получают путем сочетания ((R, S)-4-(4-гуанидинометилфенил)-3-бензил-4-метил-2,5-диоксоимидазолидин-1-ил) уксусной кислоты с H-Asp(OBut)-Phg-(OBut). HC1 и последующего расщепления трет.-бутилового эфира, согласно методике примера 2.
(+) -Масс-спектр (электронное распыление): 658,3 (М+Н)+.
ПРИМЕР 70
((R, S)-4-(4-Аминофенил)-3-бензил-4-метил-2,5-диоксоимидазолидин-1-ил)- ацетил-L-аспартил-L-фенилглицин
70а). ((R, S)-4-(4-Аминофенил)-3-бензил-4-метил-2,5-диоксоимидазолидин-1-ил) уксусная кислота
Раствор 6,86 г (17,9 ммоль) ((R, S)-4-(4-нитрофенил)-3-бензил-4-метил-2,5-диоксоимидазолидин-1-ил) уксусной кислоты (получена из 4-нитрофенилметилкетона согласно синтезу ((R, S)-4-(4-цианофенил)-3-бензил-4-метил-2,5-диоксоимидазолидин-1-ил) уксусной кислоты из 4-цианофенилметилкетона, см. пример 1; для введения 3-бензильной группы (см. пример 50) в 150 мл метанола гидрируют в течение 4-х часов в присутствии 10%-ного палладия-на-угле. Катализатор отфильтровывают, фильтрат концентрируют в вакууме и остаток растирают с диэтиловым эфиром и затем отфильтровывают под вакуумом. Получают 3,82 г (60%) ((R, S)-4-(4-аминофенил)-3-бензил-4-метил-2,5-диоксоимидазолидин-1-ил) уксусной кислоты.
70б). ((R, S)-4-(4-Аминофенил)-3-бензил-4-метил-2,5-диоксоимидазолидин-1-ил)-ацетил-L-аспартил-L-фенилглицин
Соединение получают путем реакции сочетания ((R, S)-4-(4-аминофенил)-3-бензил-4-метил-2,5-диоксоимидазолидин-1-ил) уксусной кислоты с H-Asp(OBut)-Phg-(OBut). HCl и последующего расщепления трет.-бутилового эфира согласно примеру 2, причем остаток после отщепления трифторуксусной кислоты растирают с диэтиловым эфиром, отфильтровывают под вакуумом и высушивают в высоком вакууме.
(+) -Масс-спектр (электронное распыление): 602,3 (М+Н)+.
ПРИМЕР 71
((R, S)-4-(4-Гуанидинофенил)-3-бензил-4-метил-2,5-диоксоимидазолидин-1-ил) ацетил-L-аспартил-L-фенилглицин
Соединение получают из ((R, S)-4-(4-аминофенил)-3-бензил-4-метил-2,5-диоксоимидазолидин-1-ил) уксусной кислоты (см. пример 70) после переведения аминогруппы в гуанидиногруппу с помощью 1-Н-пиразол-1-карбоксамидин-гидрохлорида (как описано в примере 69) и последующего сочетания с H-Asp(OBut)-Phg-(OBut). HCl и расщепления трет.-бутилового эфира согласно примеру 2, причем остаток после отщепления трифторуксусной кислоты лишь растирают с диэтиловым эфиром, отфильтровывают под вакуумом и высушивают в высоком вакууме.
(+) -Масс-спектр (электронное распыление): 644,3 (М+Н)+.
ПРИМЕР 72
((R, S)-4-(4-Аминобензил)-3-бензил-4-метил-2,5-диоксоимидазолидин-1-ил)-ацетил-L-аспартил-L-фенилглицин
Соединение получают тем, что ((R, S)-4-(4-аминобензил)-3-бензил-4-метил-2,5-диоксоимидазолидин-1-ил) уксусную кислоту, которую получают согласно примеру 70 из ((R, S)-4-(4-нитробензил)-3-бензил-4-метил-2,5-диоксоимидазолидин-1-ил) уксусной кислоты (в свою очередь получаемой из 4-нитробензилметилкетона согласно синтезу ((R, S)-4-(4-цианофенил)-3-бензил-4-метил-2,5-диоксоимидазолидин-1-ил) уксусной кислоты из 4-цианофенилметилкетона, см. пример 1; для введения 3-бензильной группы, см. пример 50), вводят в реакцию сочетания с H-Asp(OBut)-Phg-(OBut). HCl согласно примеру 2 и после расщепления трет.-бутилового эфира с помощью 90%-ной трифторуксусной кислоты остаток хроматографируют на сефадексе LH20, элюируя смесью воды с бутанолом и уксусной кислотой в соотношении 43:4,3:3,5.
ПРИМЕР 73
((R, S)-4-(4-Гуанидинобензил)-3-бензил-4-метил-2,5-диоксоимидазолидин-1-ил)- ацетил-L-аспартил-L-фенилглицин
Соединение получают из ((R, S)-4-(4-аминобензил)-3-бензил-4-метил-2,5-диоксоимидазолидин-1-ил) уксусной кислоты (см. пример 72) путем переведения аминогруппы в гуанидиногруппу с помощью 1-Н-пиразол-1-карбоксамидин-гидрохлорида (как описано в примере 69), последующего сочетания с H-Asp(OBut)-Phg-(OBut). HCl и расщепления трет.-бутилового эфира согласно примеру 2, причем остаток после отщепления трифторуксусной кислоты хроматографируют на сефадексе LH20 с помощью смеси воды с бутанолом и уксусной кислотой в соотношении 43:4,3:3,5.
(+) -Масс-спектр (электронное распыление): 658,3 (М+Н)+.
Соединения примеров 74 и 75 также можно получать по методике примера 67 тем, что, например, дигидрохлорид (S)-3-(((R, S)-4-(4-аминоиминометил)фенил-3-бензил-4-метил-2,5-диоксоимидазолидин-1-ил) ацетиламино)-2-аминопропионовой кислоты (см. пример 67) вводят во взаимодействие с соответствующими карбонилхлоридами. Для получения также можно исходить из гидрохлорида трет.-бутилового эфира (S)-2-амино-3-трет.-бутоксикарбониламинопропионовой кислоты. Точно также можно получать согласно примеру 67 другие бензилкарбаматы с любыми заместителями бензильного цикла в карбаматной группе.
ПРИМЕР 74
(S)-3-((R, S)-2-((S)-4-(4-(Аминоиминометил)-фенил)-3-бензил-4-метил-2,5-диоксоимидазолидин-1-ил)-2-(2-метилпропил)-ацетиламино)-2- (2-метилпропилоксикарбониламино)-пропионовая кислота
ПРИМЕР 75
(S)-3-((R, S)-2-((S)-4-(4-Аминоиминометил)-фенил)-3-бензил-4-метил-2,5-диоксоимидазолидин-1-ил)-2-(2-метилпропил)-ацетиламино)-2- (2,2-диметилпропилоксикарбониламино)-пропионовая кислота
Соединения примеров 77-79 получают путем твердофазного синтеза согласно общей методике, указанной в примере 76.
ПРИМЕР 76
Твердофазный синтез (общая методика)
Общие сведения
Синтезы на полимерном носителе осуществляют согласно последовательности синтеза, которая представлена в схеме. Остатки R51-R55 в схеме означают остатки, которые в формуле (I) находятся в соответствующем положении в молекуле, или они могут содержать функциональные группы в защищенной форме или в виде предшественников. R51 соответствует остаткам R14 и R15, причем имеющиеся в этих остатках функциональные группы могут находиться в защищенной форме или в виде предшественников. R52 вместе с СН-группой, с которой этот остаток связан, соответствует группе В (R52 соответствует, следовательно, одному из заместителей обозначаемой как В метиленовой группы). R53 соответствует R13; R54 соответствует группе R1-А, причем имеющиеся в ней функциональные группы могут быть в защищенной форме или в виде предшественников, в особенности, например, в настоящем случае амидиногруппа находится в виде являющейся предшественником цианогруппы. R54a соответствует группе R1-А. R55 соответствует группе R0.
Синтез промежуточных продуктов в большем масштабе проводят в специальных реакторах с вставленными фриттами в днище реактора, синтез соединений формулы (I) проводят в шприцах или реакционных блоках (Act 496, MultiSynTech). Синтезы на смоле проводят путем использования применяемых для анализа шариков (FT-ИК с ATR-устройством и МС-ЯМР) и отщепления аналитического образца от смолы (ВЭЖХ, МС, ЯМР).
Получение структурного элемента аспарагиновой кислоты Fmoc-Asp (ОН) Оаллил
40 г (88,7 ммоль) FmocAsp (OBut) Оаллила смешивают с 25 мл трифторуксусной кислоты и перемешивают в течение 30 минут при комнатной температуре. Растворитель удаляют в ротационном испарителе. Остаток высушивают в вакууме. Получают FmocAsp (ОН) Оаллил в виде желтого масла (33,9 г, 97%).
(+) -Масс-спектр (электронное распыление): 395,2 (М+Н)+.
Связывание с полимерным носителем (стадия А в схеме)
40 г Wang-полистирольной смолы (1,1 ммоль/г; Бахем) предварительно подвергают набуханию в течение 5 минут с помощью 20 мл ДМФА при комнатной температуре. После добавления раствора 26,0 г (1,5 эквивалента) FmocAsp (ОН) Оаллила, 34,3 г (1,5 эквивалента) 1-бензотриазолилокси-трипирролидинофосфоний-гексафторфосфата (РуВОР) и 9,3 мл (1,5 эквивалента) диизопропилэтиламина в 120 мл ДМФА смесь встряхивают в течение 10 часов при температуре 40 С. По окончании реакции раствор отфильтровывают под вакуумом и смолу промывают с помощью ДМФА (5 раз по 20 мл). После добавления раствора ацетангидрида (10 мл) и диизопропилэтиламина (9,3 мл, 1,5 эквивалента) в 40 мл ДМФА смесь снова встряхивают в течение 30 минут при комнатной температуре. Раствор отфильтровывают под вакуумом и промывают смолу последовательно, каждый раз трижды, с помощью 40 мл ДМФА, метанола и дихлорметана. Смолу затем высушивают в вакууме. Определение загрузки по Fmoc-методу указывает на загрузку 0,6 ммоль/г.
Отщепление аллильной группы от полимерного носителя (стадия В)
Смолу в атмосфере аргона в течение 5 минут и при комнатной температуре подвергают набуханию в ДМФА. После добавления тетракис (трифенилфосфин)палладия и N-метилпирролидина (10 эквивалентов) смесь встряхивают в атмосфере аргона 6 часов при температуре 40 С. По окончании реакции раствор отфильтровывают под вакуумом и смолу промывают последовательно, каждый раз трижды, с помощью ДМФА, метанола, толуола и дихлорметана и затем высушивают.
Сочетание с аминосоединениями на полимерном носителе (стадия С)
Загруженную смолу со свободной карбоксильной функцией подвергают набуханию в ДМФА в течение 5 минут при комнатной температуре. После добавления раствора HOBt (1,2 эквивалента), TOTU (1,2 эквивалента) и диизопропилэтиламина (1,2 эквивалента) в диметилформамиде смесь встряхивают в течение 30 минут при комнатной температуре. Добавляют 1,2 эквивалента аминосоединения в виде раствора в диметилформамиде. Суспензию встряхивают при комнатной температуре вплоть до полной конверсии (контроль с помощью ВЭЖХ). По окончании реакции раствор отфильтровывают под вакуумом и смолу промывают последовательно, каждый раз трижды, с помощью ДМФА, метанола, толуола и дихлорметана и затем высушивают.
Отщепление Fmoc-защитной группы (стадия D)
Для отщепления Fmoc-защитной группы смолу подвергают набуханию в течение 5 минут в ДМФА при комнатной температуре. После добавления раствора ДМФА/пиперидин (в соотношении 1:1) встряхивают в течение 20 минут при комнатной температуре. Раствор отфильтровывают под вакуумом и процесс повторяют. Отобранная для анализа проба показывает полное превращение согласно исследованию с помощью ВЭЖХ и масс-спектрометрии. После полного превращения смолу трижды промывают дихлорметаном и прямо используют в реакции сочетания.
Сочетание с -галогенкарбоновыми кислотами (стадия Е)
Из -галогенкарбоновых кислот (5 эквивалентов) путем введения их во взаимодействие в течение 30 минут с диизопропилкарбодиимидом (2,4 эквивалента) (DIC) в дихлорметане получают симметричные ангидриды. Спустя это время добавляют 2 эквивалента диизопропилэтиламина. Смесь добавляют к смоле и встряхивают в течение 12 часов при комнатной температуре По окончании реакции раствор отфильтровывают под вакуумом и смолу последовательно, каждый раз трижды, промывают с помощью ДМФА, толуола и дихлорметана и затем тотчас снова вводят во взаимодействие.
Вместо использования кислот и диизопропилкарбодиимида реакцию сочетания также можно проводить с галоидангидридами кислот. Для этого смолу в течение 5 минут подвергают набуханию в дихлорметане при комнатной температуре. Галоидангидриды -галогенкарбоновых кислот (1,5 эквивалента) добавляют в виде раствора в дихлорметане. После добавления каталитического количества 4-диметиламинопиридина и диизопропиламина (1 эквивалент) смесь встряхивают в течение 8 часов при комнатной температуре. По окончании реакции раствор отфильтровывают под вакуумом и смолу последовательно, каждый раз трижды, промывают с помощью ДМФА, толуола и дихлорметана и затем тотчас вводят во взаимодействие дальше.
Сочетание -галогенацильных соединений с гидантоинами (стадия F)
4-Цианофенилгидантоины (2 эквивалента) в диметилформамиде активируют при комнатной температуре с помощью диазабициклоундецена (ДБУ) (2 эквивалента). Активированный раствор спустя 15 минут добавляют к подвергнутой набуханию в ДМФА в течение 5 минут смоле. По окончании реакции раствор отфильтровывают под вакуумом и смолу последовательно, каждый раз трижды, промывают с помощью ДМФА, метанола, толуола и дихлорметана и затем высушивают.
N-Алкилирование гидантоина на полимерном носителе (стадия G)
Смолу подвергают набуханию в течение 5 минут в диметилформамиде при комнатной температуре. После добавления карбоната цезия (3 эквивалента) встряхивают в течение 30 минут при комнатной температуре. После добавления алкилирующего агента (бромид или иодид) встряхивают в течение 6 часов при температуре 50 С. По окончании реакции раствор отфильтровывают под вакуумом и смолу последовательно, каждый раз трижды, промывают с помощью ДМФА, смеси метанола с водой и ДМФА в соотношении 1,5:1,5:7, диметилформамида, толуола и дихлорметана и затем высушивают.
Вместо использования карбоната цезия алкилирование также можно осуществлять с помощью фосфазенов. Для этого смолу подвергают набуханию в ДМФА в течение 5 минут при комнатной температуре. После добавления триамида N”’-трет.-бутил-N,N,N’,N”,N”-гексаметилфосформидокислоты (фосфазеновое основание Р 1-трет.-бутил) (3 эквивалента) встряхивают в течение 30 минут при комнатной температуре. После добавления алкилирующего агента (бромид или иодид) встряхивают в течение четырех часов при комнатной температуре. По окончании реакции раствор отфильтровывают под вакуумом и смолу последовательно, каждый раз трижды, промывают с помощью ДМФА, толуола и дихлорметана и затем высушивают.
Получение амидиногруппы из цианогруппы на полимерном носителе (стадия Н)
В течение 12 часов при комнатной температуре смолу встряхивают с насыщенным раствором сероводорода в смеси пиридина с триэтиламином в соотношении 2:1. Раствор отфильтровывают под вакуумом и смолу последовательно, каждый раз трижды, промывают с помощью метанола, ДМФА, толуола и дихлорметана. После добавления 20%-ного раствора метилиодида в смеси ацетона с толуолом в соотношении 4:1 встряхивают следующие 12 часов при комнатной температуре. Раствор отфильтровывают под вакуумом и смолу последовательно, каждый раз трижды, промывают с помощью смеси ацетона с толуолом в соотношении 4:1, ДМФА, метанола и смеси метанола с толуолом в соотношении 4:1. После добавления ацетата аммония (10 эквивалентов) в смеси метанола с толуолом и уксусной кислотой в соотношении 80:16:4 смесь встряхивают в течение трех часов при температуре 50 С. По окончании реакции раствор отфильтровывают под вакуумом и смолу последовательно, каждый раз трижды, промывают с помощью ДМФА, метанола, толуола и дихлорметана и затем высушивают.
Отщепление от смолы (стадия J)
Для отщепления соединения от смолы к смоле добавляют смесь трифторуксусной кислоты с дихлорметаном в соотношении 1:1. Суспензию встряхивают в течение 1 часа, затем смолу отфильтровывают. Оставшийся раствор концентрируют в вакууме, остаток очищают путем хроматографии на силикагеле (элюирующее средство: дихлорметан и этилацетат).
ПРИМЕР 77
((R, S)-4-(4-(Аминоиминометил)-фенил)-3-((2-нафтил) метил-4-метил-2,5-диоксоимидазолидин-1-ил)-ацетил-L-аспартил-L валин
(+) -Масс-спектр (электронное распыление): 645,7 (М+Н)+.
ПРИМЕР 78
Метиловый эфир ((R, S)-4-(4-(аминоиминометил)-фенил)-3-((2-нафтил)-метил)-4-метил-2,5-диоксоимидазолидин-1-ил)-ацетил-L-аспартил-L-серина
(+) -Масс-спектр (электронное распыление): 647,7 (М+Н)+.
ПРИМЕР 79
((R, S)-4-(4-(Аминоиминометил)-фенил)-3-бензил-4-метил-2,5-диоксоимидазолидин-1-ил)-ацетил-L-аспартил-L-изолейцин
(+) -Масс-спектр (электронное распыление): 609,7 (М+Н)+.
Исследование биологической активности
В качестве тест-метода для активности соединений формулы (I) на взаимодействие между VCAM-1 и VLA-4 используют анализ, который является специфическим для этого взаимодействия. Клеточные компоненты связывания, то есть VLA-4-интегрины, в своей природной форме находятся в качестве поверхностных молекул в U937-клетках человека (АТСС CRL 1593), которые относятся к группе лейкоцитов. В качестве специфических компонентов связывания используют полученные с помощью генной инженерии рекомбинантные растворимые слитые белки, состоящие из экстрацитоплазматических доменов VCAM-1 человека и постоянной области человеческого иммуноглобулина подкласса IgGI.
Тест-метод
Анализ для измерения адгезии U937-клеток (АТСС CRL 1593 с hVCAM-1 (1-3)-IgG
1. Получение VСАМ-1 (1-3)-IgG человека и СD4-IgG человека
Используют генетическую конструкцию для экспрессии внеклеточных доменов VCAM-1 человека, связанного с генетической последовательностью более тяжелой цепи иммуноглобулина IgGI человека (Hinge, области СН2 и СН3, Dr. Brian Seed, Главный Массачусетский Госпиталь, Бостон, США). Растворимый слитый белок hVCAM-1(1-3)-IgG содержит три аминоконцевых внеклеточных, подобных иммуноглобулину домена VCAM-1 человека (Damle и Aruffo, Proc. Natl. Acad. Sci. USA, 88, 6403 (1991)). CD4-IgG (Zettlmeissl и др., DNA and Cell Biology, 9, 347 (1990)) служит в качестве слитого белка для отрицательного контроля. Рекомбинантные белки экспрессируют согласно стандартным способам в качестве растворимых белков, после опосредуемой диэтиламиноэтилдекстраном ДНК-трансфекции, в COS-клетках (АТСС CRL 1651) (Ausubel и др., Current protocols in molecular biology, John Wiley and Sons, Inc. 1994).
2. Анализ для определения адгезии U937-клеток с hVCAM-1 (1-3)-IgG
2.1. Микротитрационные пластины с 96-ю лунками (Nunc Maxisorb) со 100 мкл на лунку раствора антитела козы против IgG человека (10 мкг/мл в 50 мМ ТРИС, рН 9,5) инкубируют в течение 1 часа при комнатной температуре. После удаления раствора антитела промывают один раз с помощью ЗФР (забуференный фосфатом физиологический раствор).
2.2. 150 мкл на лунку Блокирующего буфера (1% бычьего сывороточного альбумина в ЗФР) на пластинах инкубируют в течение 0,5 часа при комнатной температуре. После удаления блокирующего буфера промывают один раз с помощью ЗФР.
2.3. 100 мкл на лунку надосадочной жидкости клеточной культуры трансфицированных COS-клеток на пластинах инкубируют в течение 1,5 часов при комнатной температуре. COS-клетки трансфицируют с помощью плазмиды, которая кодирует N-концевые, подобные иммуноглобулину домены VCAM-1, связанного с Fc-частью IgG1 человека (hVCAM-1(1-3)-IgG). Содержание hVCAM-1(1-3)-IgG составляет примерно 0,5-1 мкг/мл. После удаления надосадочной жидкости культуры промывают один раз с помощью ЗФР.
2.4. Пластины со 100 мкл на лунку блокирующего Fc-peцептор буфера (1 мг/мл -глобулина, 100 ммоль NaCl, 100 мкмоль MgCl2, 100 мкмоль MnCl2, 100 мкмоль CaCl2, 1 мг/мл бычьего сыворочного альбумина в 50 мМ ГЕПЕС, рН 7,5) инкубируют в течение 20 минут при комнатной температуре. После удаления блокирующего Fc-рецептор буфера промывают один раз с помощью ЗФР.
2.5. Вносят 20 мкл связующего буфера (100 ммоль NaCl, 100 мкмоль МgС12, 100 мкмоль MnCl2, 100 мкмоль CaCl2, 1 мг/мл бычьего сывороточного альбумина в 50 мМ ГЕПЕС, рН 7,5), добавляют испытуемые вещества в 10 мкл связующего буфера и инкубируют в течение 20 минут. В качестве контроля служат антитела против VCAM-1 (BBT, №ВВА6) и против VLA-4 (Immunotech, №0764).
2.6. U937-клетки инкубируют в течение 20 минут в блокирующем Fc-рецептор буфере и затем в концентрации 1 106 мл и в количестве 100 мкл вносят пипеткой в каждую лунку (конечный объем 125 мкл/лунка).
2.7. Пластины медленно погружают под углом 45 в терминирующий буфер (стоп-буфер) (100 ммоль NaCl, 100 мкмоль MgCl2, 100 мкмоль MnCl2, 100 мкмоль CaCl2 в 25 мл ТРИС, рН 7,5) и вынимают. Процесс повторяют.
2.8. Затем пластины с 50 мкл на лунку окрашивающего раствора (16,7 мкг/мл красителя 33258 фирмы ХЕХСТ, 4% формальдегида, 0,5% ТРИТОН-Х-100 в ЗФР) инкубируют в течение 15 минут.
2.9. Пластины вынимают, медленно погружают под углом 45 в стоп-буфер (100 ммоль NaCl, 100 мкмоль МgСl2, 100 мкмоль МnСl2, 100 мкмоль CaCl2 в 25 мМ ТРИС, рН 7,5). Процесс повторяют. Затем с жидкостью проводят измерения в цитофлуориметре (фирма Миллипор) (чувствительность 5; фильтр: длина волны возбуждения 360 нм, длина волны эмиссии 460 нм).
Интенсивность эмитируемого окрашенными U937-клетками света является мерой числа остающихся на пластине, слипшихся с VCAM-1(1-3)-IgG U937-клеток и, таким образом, мерой способности добавленного тест-вещества ингибировать эту адгезию. Из ингибирования адгезии при различных концентрациях тест-веществ рассчитывают концентрацию ИК50, которая приводит к подавлению адгезии на 50%.
Получают следующие результаты испытаний:
Формула изобретения 1. Средство для ингибирования адгезии и/или миграции лейкоцитов или для ингибирования VLA-4-рецептора, представляющее собой соединения формулы (I)
где W означает R1-A-C(R13) или R1-A-CH=C;
Y означает карбонил, тиокарбонил или метиленовую группу;
Z означает N(R0), кислород, серу или метиленовую группу;
А означает двухвалентный остаток, выбранный из (C1-С6)-алкилена, (С3-С7)-циклоалкилена, фенилена, фенилен-(C1-C6)-алкила, (C1-C6)-алкилен-фенила, фенилен-(С2-С6)-алкенила или двухвалентный остаток пяти- или шестичленного насыщенного или ненасыщенного цикла, который может содержать 1 или 2 атома азота и может быть одно- или двукратно замещен (C1-C6)-алкилом или дважды связанным кислородом или серой;
В означает двухвалентный остаток, выбранный из (C1-C6)-алкилена, (С1-С6)-алкенилена, фенилена, фенилен-(C1-С3)-алкила, (C1-С3)-алкилен-фенила, причем двухвалентный (C1-С6)-алкиленовый остаток может быть незамещенным или замещенным остатком, выбранным из (C1-C8)-алкила, (С2-С8)-алкенила, (С2-С8)-алкинила, (С3-С10)-циклоалкила, (С3-С10)-циклоалкил-(C1-C8)-алкила, при необходимости замещенного (С6-С14)-арила, при необходимости замещенного в арильном остатке (C6-C14)-арил-(C1-С6)-алкила, при необходимости замещенного гетероарила и при необходимости замещенного в гетероарильном остатке гетероарил-(C1-C6)-алкила;
D означает C(R2)(R3), N(R3) или СН=С(R3);
Е означает тетразолил, (R8O)2Р(O), НOS(O)2, R9NHS(O)2 или R10CO;
R означает водород, (C1-С8)-алкил, (С3-С8)-циклоалкил, при необходимости замещенный (С6-С14)арил или при необходимости замещенный в арильном остатке (С6-С14) арил-(C1-С8)-алкил;
R0 означает водород, (C1-C8)-алкил, (С3-С12)-циклоалкил, (С3-C12)-циклоалкил-(C1-C8)-алкил, (C6-C12)-бициклоалкил, (С6-С12)-бициклоалкил-(C1-C8)-алкил, (C6-C12)-трициклоалкил, (C6-C12)-трициклоалкил-(C1-C8)-алкил, при необходимости замещенный(C6-С14)-арил, при необходимости замещенный в арильном остатке (C6-C14)-арил-(C1-C8)-алкил, при необходимости замещенный гетероарил, при необходимости замещенный в гетероарильном остатке гетероарил-(C1-C8)-алкил, СНО, (C1-C8)-алкил-СО, (С3-C12)-циклоалкил-СО, (C3-C12)-циклоалкил-(C1-C8)-алкил-СО-, (C6-C12)-бициклоалкил-СО, (C6-C12)-бициклоалкил-(C1-C8)-алкил-СО, (C6-C12)-трициклоалкил-СО, (C6-C12)-трициклоалкил-(C1-C8)-алкил-СО, при необходимости замещенный (C6-C14)-арил-СО, при необходимости замещенный в арильном остатке (C6-C14)-арил-(C1-C8)-алкил-СО, при необходимости замещенный гетероарил-СО, при необходимости замещенный в гетероарильном остатке гетероарил-(C1-C8)-алкил-СО, (C1-C8)-алкил-S(О)n, (С3-С12)-циклоалкил-S(О)n, (С3-С12)-циклоалкил-(C1-C8)-алкил-S(О)n, (C6-C12)-бициклоалкил-S(O)n, (C6-C12)-бициклоалкил-(C1-C8)-алкил-S(O)n, (C6-C12)-трициклоалкил-S(O)n, (C6-C12)-трициклоалкил-(C1-C8)-алкил-S(O)n, при необходимости замещенный (C6-C14)-арил-S(O)n, при необходимости замещенный в арильном остатке (C6-C14)-арил-(C1-C8)-алкил-S(O)n, при необходимости замещенный гетероарил-S(О)n или при необходимости замещенный в гетероарильном остатке гетероарил-(C1-С8)-алкил-S(O)n, причем n = 1 или 2;
R1 означает X-NH-C(=NH)-(СН2)р или X1-NH-(CH2)p, причем р = 0, 1, 2 или 3;
X означает водород, (C1-C6)-алкил, (C1-C6)-алкилкарбонил, (C1-С6)-алкоксикарбонил, (C1-C18)-алкилкарбонилокси-(C1-С6)-алкоксикарбонил, при необходимости замещенный (C6-C14)-арилкарбонил, при необходимости замещенный (C6-C14)-арилоксикарбонил, (С6-С14)-арил-(C1-С6)-алкоксикарбонил, который в арильном остатке также может быть замещен; (R8O)2P(O), цианогруппу, гидроксил, (C1-C6)-алкоксил; (С6-С14)-арил-(C1-С6)-алкоксил, который в арильном остатке также может быть замещен, или аминогруппу;
Х1 имеет одно из указанных для Х значений или означает R’-NH-C(=N-R”), причем R’ и R” независимо друг от друга имеют указанные для Х значения;
R2 означает водород, (C1-C8)-алкил, при необходимости замещенный (C6-C14)-арил, при необходимости замещенный в арильном остатке (С6-С14)-арил-(C1-C8)-алкил или (С3-С8)-циклоалкил;
R3 означает водород, (C1-C8)-алкил, при необходимости замещенный (C6-C14)-арил, при необходимости замещенный в арильном остатке (C6-C14)-арил-(C1-C8)-алкил, (С3-С8)-циклоалкил, (C2-C8)-алкенил, (C2-C8)-алкинил, (С2-С8)-алкенил-карбонил, (С2-С8)-алкинилкарбонил, пиридил, R11NH, R4CO, COOR4, СОN(СН3)R14, CONHR14, CSNHR14, COOR15, СОN(СН3)R15 или CONHR15;
R4 означает водород или (C1-C28)-алкил, который при необходимости одно- или многократно может быть замещен одинаковыми или различными остатками R4′;
R4′ означает гидроксил, гидроксикарбонил, аминокарбонил, моно- или ди-((C1-C18)-алкил)-аминокарбонил, амино-(C2-C18)-алкиламинокарбонил, амино-(C1-С3)-алкилфенил-(C1-С3)-алкил-аминокарбонил, (C1-C18)-алкилкарбониламино-(C1-С3)-алкилфенил-(C1-С3)-алкиламинокарбонил, (C1-C18)-алкилкарбониламино-(C2-C18)-алкиламинокарбонил; (C6-C14)-арил-(C1-С8)-алкоксикарбонил, который в арильном остатке также может быть замещен; аминогруппу, меркаптогруппу, (C1-C18)-алкоксил, (C1-C18)-алкоксикарбонил, возможно замещенный (С3-С8)-циклоалкил, галоген, нитрогруппу, трифторметил или остаток R5;
R5 означает при необходимости замещенный (С6-С14)-арил, при необходимости замещенный в арильном остатке (C6-C14)-арил-(C1-С8)-алкил; моно- или бициклический 5-12-членный гетероцикл, который может быть ароматическим, частично гидрированным или полностью гидрированным или может содержать 1, 2 или 3 одинаковых или различных гетероатома, выбранных из азота, кислорода и серы; остаток R6 или остаток R6СО-, причем арильный и независимо от него гетероциклический остатки могут быть одно- или многократно замещены одинаковыми или различными остатками, выбранными из (C1-C18)-алкила, (C1-C18)-алкокси, галогена, нитрогруппы, аминогруппы или трифторметила;
R6 означает R7R8N, R7O или R7S или аминокислотную боковую цепь, остаток природной или синтетической аминокислоты, иминокислоты, при необходимости N-(C1-C8)-алкилированной или -N-((C6-C14)-арил-(C1-C8)-алкилированной) азааминокислоты или дипетида, который в арильном остатке также может быть замещен и/или в котором пептидная связь может быть восстановлена до -NH-CH2-, а также их сложные эфиры и амиды, причем вместо свободных функциональных групп может быть водород или гидроксиметил и/или свободные функциональные группы могут быть защищены обычными в химии пептидов защитными группами;
R7 означает водород, (C1-C18)-алкил, (С6-С14)-арил-(C1-C8)-алкил, (C1-C18)-алкилкарбонил, (C1-C18)-алкоксикарбонил, (С6-C14)-арилкарбонил, (С6-С14)-арил-(C1-C8)-алкилкарбонил или (C6-C14)-арил-(C1-C18)-алкоксикарбонил, причем алкильные группы при необходимости могут быть замещены аминогруппой и/или арильные остатки могут быть одно- или многократно, предпочтительно однократно, замещены одинаковыми или различными остатками, выбранными из (C1-C8)-алкила, (C1-C8)-алкоксила, галогена, нитрогруппы, аминогруппы и трифтор-метила; остаток природной или синтетической аминокислоты, иминокислоты, при необходимости N-(C1-C8)-алкилированной или N-((C6-C14)-арил-(C1-С8)-алкилированной) азааминокислоты или дипептида, который в арильной части также может быть замещен и/или в котором пептидная связь может быть восстановлена до -NH-CH2;
R8 означает водород, (C1-C18)-алкил, при необходимости замещенный (C6-C14)-арил или (C6-C14)-арил-(C1-C8)-алкил, который в арильном остатке также может быть замещен;
R9 означает водород, аминокарбонил, (C1-C18)-алкиламинокарбонил, (С3-C8)-циклоалкиламинокарбонил, при необходимости замещенный (С6-С14)-ариламинокарбонил, (C1-C18)-алкил, при необходимости замещенный (C6-C14)-арил или (С3-С8)-циклоалкил;
R10 означает гидроксил, (C1-C18)-алкоксил, (С6-С14)-арил-(С1-С8)-алкоксил, который в арильном остатке также может быть замещен; при необходимости замещенный (С6-С14)-арилоксил, аминогруппу или моно- или ди-((C1-C18)-алкил)-аминогруппу;
R11 означает водород, (C1-C18)-алкил, R12CO, при необходимости замещенный (C6-C14)-арил-S(О)2, (C1-C18)-алкил-S(O)2, при необходимости замещенный в арильном остатке (C6-C14)-арил-(C1-С8)-алкил или R9NHS(O)2;
R12 означает водород, (C1-C18)-алкил, (С2-С8)-алкенил, (C2-C8)-алкинил, при необходимости замещенный (C6-C14)-арил, (C1-C18)-алкоксил, (C6-C14)-арил-(C1-C8)-алкоксил, который в арильном остатке может быть замещен; при необходимости замещенный (C6-C14)-арилоксил, аминогруппу или моно- или ди-((C1-C18)-алкил)-аминогруппу;
R13 означает водород, (C1-С6)-алкил, при необходимости замещенный в арильном остатке (C6-C14)-арил-(C1-C8)-алкил или (С3-С8)-циклоалкил;
R14 означает водород или (C1-C28)-алкил, который при необходимости может быть одно- или многократно замещен одинаковыми или различными остатками, выбранным из гидроксила, гидроксикарбонила, аминокарбонила, моно- или ди-((C1-C18)-алкил)аминокарбонила, амино-(C2-C18)-алкиламинокарбонила, амино-(C1-С3)-алкилфенил-(C1-С3)-алкиламинокарбонила, (C1-C18)-алкил-карбониламино-(C1-С3)-алкилфенил-(C1-С3)-алкиламинокарбонила, (C1-C18) -алкилкарбонил-амино-(C2-C18)-алкиламинокарбонила; (С6-C14)-арил-(C1-С8)-алкоксикарбонила, который в арильном остатке также может быть замещен; аминогруппы, меркаптогруппы, (C1-C18)-алкоксила, (C1-C18)-алкоксикарбонила, при необходимости замещенного (С3-С8)-циклоалкила, HOS(О)2-(C1-С3)-алкила, R9NHS(O)2-(C1-С3)-алкила, (R8O)2P(О)-(C1-С3)-алкила, тетразолил-(C1-С3)-алкила, галогена, нитрогруппы, трифторметила и R5;
R15 означает R16-(C1-C6)-алкил или R16;
R16 означает 6-24-членный бициклический или трициклический остаток, который является насыщенным или частично ненасыщенным и который также может содержать 1-4 одинаковых или различных гетероатома, выбранных из азота, кислорода и серы, и который также может быть замещен одним или несколькими одинаковыми или различными заместителями, выбранными из (C1-C4)-алкила и оксогруппы;
b, с, d и f независимо друг от друга означают 0 или 1, однако все одновременно не могут означать 0;
е, g и h независимо друг от друга означают 0, 1, 2, 3, 4, 5 или 6;
а также их стереоизомерные формы и их смеси в любых соотношениях, а также их физиологически приемлемые соли.
2. Средство по п.1, отличающееся тем, что в формуле (I) W означает R1-A-C(R13) или R1-A-CH=C; Y означает карбонил, тиокарбонил или метиленовую группу; Z означает N(R0), кислород, серу или метиленовую группу; А означает двухвалентный остаток, выбранный из (C1-C6)-алкилена, (С3-С7)-циклоалкилена, фенилена, фенилен-(C1-C6)-алкила, (C1-С6)-алкиленфенила, фенилен-(С2-С6)-алкенила, или двухвалентный остаток пяти- или шестичленного насыщенного или ненасыщенного цикла, который может содержать 1 или 2 атома азота и может быть одно- или двукратно замещен (C1-C6)-алкилом или двукратно связанным кислородом или серой; В означает двухвалентный остаток, выбранный из (C1-С6)-алкилена, (С2-С6)-алкенилена, фенилена, фенилен-(C1-С3)-алкила, (C1-С3)-алкилен-фенила; D означает C(R2)(R3), N(R3) или CH=C(R3); Е означает тетразолил, (R8O)2P(O), HOS(O)2, R9NHS(O)2 или R10CO; R и R0 независимо друг от друга означают водород, (C1-C8)-алкил, (С3-С8)-циклоалкил, при необходимости замещенный (С6-С14)-арил или при необходимости замещенный в арильном остатке (С6-С14)-арил-(C1-C8)-алкил; R1 означает X-NH-C(=NH)-(СН2)р или X1-NH-(СН2)р, причем р = 0, 1, 2 или 3; X означает водород, (C1-С6)-алкил, (C1-С6)-алкилкарбонил, (C1-С6)-алкоксикарбонил, (C1-C18)-алкилкарбонилокси-(C1-С6)-алкоксикарбонил, при необходимости замещенный (С6-С14)-арил-карбонил, при необходимости замещенный (C6-C14)-арилоксикарбонил, (C6-C14)-арил-(C1-C6)-алкоксикарбонил, который в арильном остатке также может быть замещен; (R8O)2P(O), цианогруппу, гидроксил, (C1-C6)-алкоксил; (C6-C14)-арил-(C1-С6)-алкоксил, который в арильном остатке также может быть замещен; или аминогруппу; X1 имеет одно из указанных для Х значений или означает R’-NH-C(=N-R”), причем R’ и R” независимо друг от друга имеют указанные для Х значения; R2 означает водород, (C1-C8)-алкил, при необходимости замещенный (С6-С14)-арил, при необходимости замещенный в арильном остатке (С6-С14)-арил-(C1-C8)-алкил или (С3-C8)-циклоалкил; R3 означает водород, (C1-C8)-алкил, при необходимости замещенный (C6-C14)-арил, при необходимости замещенный в арильном остатке (С6-С14)-арил-(C1-C8)-алкил, (С3-С8)-циклоалкил, (С2-С8)-алкенил, (С2-С8)-алкинил, (С2-С8)-алкенилкарбонил, (C2-C8)-алкинилкарбонил, пиридил, R11NH, R4CO, COOR4, CON(CH3)R14, CONHR14, CSNHR14, COOR15, СОN(СН3)R15 или CONHR15; R4 означает водород или (C1-C28)-алкил, который при необходимости одно- или многократно может быть замещен одинаковыми или различными остатками R4′; R4′ означает гидроксил, гидроксикарбонил, аминокарбонил, моно- или ди-((C1-C18)-алкил)-аминокарбонил, амино-(C2-C18)-алкиламинокарбонил, амино-(C1-С3)-алкилфенил-(C1-С3)-алкил-аминокарбонил, (C1-C18)-алкилкарбониламино-(C1-С3)-алкилфенил-(C1-С3) алкиламинокарбонил, (C1-C18)-алкилкарбониламино-(C2-C18)-алкиламинокарбонил; (C6-C14)-арил-(C1-C8)-алкоксикарбонил, который в арильном остатке также может быть замещен; аминогруппу, меркаптогруппу, (C1-C18)-алкоксил, (C1-C18)-алкоксикарбонил, возможно замещенный (С3-C8)-циклоалкил, галоген, нитрогруппу, трифторметил или остаток R5; R5 означает при необходимости замещенный (С6-С14)-арил, при необходимости замещенный в арильном остатке (C6-C14)-арил-(C1-С8)-алкил; моно- или бициклический 5-12-членный гетероцикл, который может быть ароматическим, частично гидрированным или полностью гидрированным и который может содержать 1, 2 или 3 одинаковых или различных гетероатома, выбранных из азота, кислорода и серы; остаток R6 или остаток R6CO-, причем арил и независимо от него гетероцикл могут быть одно- или многократно замещены одинаковыми или различными остатками, выбранными из (C1-C18)-алкила, (C1-C18)-алкоксила, галогена, нитрогруппы, аминогруппы или трифторметила; R6 означает R7R8N, R7O или R7S или аминокислотную боковую цепь, остаток природной или синтетической аминокислоты, иминокислоты, при необходимости N-(C1-C8)-алкилированной или N-((С6-С14)-арил-(C1-C8)-алкилированной) азааминокислоты или дипептида, который в арильном остатке также может быть замещен и/или в котором пептидная связь может быть восстановлена до NH-CH2-, а также их сложные эфиры и амиды, причем вместо свободных функциональных групп может быть водород или гидроксиметил и/или свободные функциональные группы могут быть защищены обычными в химии пептидов защитными группами; 7 означает водород, (C1-C18)-алкил, (С6-С14)-арил-(C1-С8) алкил, (C1-C18)-алкилкарбонил, (C1-C18)-алкоксикарбонил, (С6-С14)-арилкарбонил, (C6-C14)-арил-(C1-C8)-алкилкарбонил или (С6-С14)-арил-(C1-C18)-алкоксикарбонил, причем алкильные группы могут быть замещены аминогруппой и/или арильные остатки могут быть одно- или многократно, предпочтительно однократно, замещены одинаковыми или различными остатками, выбранными из (C1-C8)-алкила, (C1-C8)-алкоксила, галогена, нитрогруппы, аминогруппы и трифторметила; остаток природной или синтетической аминокислоты, иминокислоты, при необходимости N-(C1-С8)-алкилированной или N-((С6-С14)-арил-(C1-C8)-алкилированной) азааминокислоты или дипептида, который в арильной части также может быть замещен и/или в котором пептидная связь может быть восстановлена до -NH-CH2-; R8 означает водород, (C1-C18)-алкил, при необходимости замещенный (C6-C14)-арил или (C6-C14)-арил-(C1-C8)-алкил, который в арильном остатке также может быть замещен; R9 означает водород, аминокарбонил, (C1-C18)-алкиламинокарбонил, (С3-С8)-циклоалкиламинокарбонил, при необходимости замещенный (C6-C14)-ариламинокарбонил, (C1-C18)-алкил, при необходимости замещенный (C6-C14)-арил или (С3-С8)-циклоалкил; R10 означает гидроксил, (C1-C18)-алкоксил; (C6-C14)-арил-(C1-С8)- алкоксил, который в арильном остатке также может быть замещен; при необходимости замещенный (C6-C14)-арилоксил, аминогруппу или моно- или ди((C1-C18)-алкил)-аминогруппу; R11 означает водород, (C1-C18)-алкил, R12CO, при необходимости замещенный (C6-C14)-арил-S(О)2, (C1-C18)-алкил-S(O)2, при необходимости замещенный в арильном остатке (C6-C14)-арил-(C1-C8)-алкил или R9NНS(O)2; R12 означает водород, (C1-C18)-алкил, (С2-С8)-алкенил, (С2-С8)-алкинил, при необходимости замещенный (C6-C14)-арил, (C1-C18)-алкокосил; (C6-C14)-арил-(C1-C8)-алкоксил, который в арильном остатке может быть замещен; при необходимости замещенный (С6-C14)-арилоксил, аминогруппу или моно- или ди-((C1-C19)-алкил)-аминогруппу; R13 означает водород, (C1-С6)-алкил, при необходимости замещенный в арильном остатке (С6-С14)-арил-(C1-C8)-алкил или (С3-С8)-циклоалкил; R14 означает водород или (C1-C28)-алкил, который в случае необходимости может быть однократно или многократно замещен одинаковыми или различными остатками, выбранными из гидроксила, гидроксикарбонила, аминокарбонила, моно- или ди-((C1-C18)-алкил)аминокарбонила, амино-(C2-C18)-алкиламинокарбонила, амино-(C1-С3)-алкилфенил-(C1-С3)-алкиламинокарбонила, (C1-C18)-алкилкарбониламино-(C1-С3)-алкилфенил-(C1-С3)-алкиламинокарбонила, (C1-C18)-алкилкарбониламино-(С2-C18)-алкиламинокарбонила, (C6-C14)-арил-(C1-C8)-алкоксикарбонила, который в арильном остатке также может быть замещен; аминогруппы, меркаптогруппы, (C1-C18)-алкоксила, (C1-C18)-алкоксикарбонила, при необходимости замещенного(С3-C8)-циклоалкила, HOS(О)2-(C1-С3)-алкила, R9NHS(О)2-(C1-С3)-алкила, (R8O)2Р(О)-(C1-С3)-алкил, тетразолил-(C1-С3)-алкила, галогена, нитрогруппы, трифторметила и R5; R15 означает R16-(C1-C6)-алкил или R16; R16 означает 6-24-членный бициклический или трициклический остаток, который является насыщенным или частично ненасыщенным и который также может содержать 1-4 одинаковых или различных гетероатома, выбранных из азота, кислорода и серы, и который также может быть замещен одним или несколькими одинаковыми или различными заместителями, выбранными из (C1-C4)-алкила и оксогруппы; b, c, d и f независимо друг от друга означают 0 или 1, однако все одновременно не могут означать 0; е, g и h независимо друг от друга означают 0, 1, 2, 3, 4, 5 или 6, а также стереоизомерные формы и их смеси в любых соотношениях, и физиологически приемлемые соли.
3. Средство формулы (I) по п.1, отличающееся тем, что в формуле (I) R0 означает (C1-C8)-алкил, (С3-С8)-циклоалкил, (С3-С8)-циклоалкил-(C1-C4)-алкил, при необходимости замещенный (С6-С14)-арил или при необходимости замещенный в арильном остатке (C6-C14)-арил-(C1-C8)-алкил, предпочтительно незамещенный или одно- или многократно замещенный в арильном остатке бифенилилметил, нафтилметил или бензил, а также стереоизомерные формы и их смеси в любых соотношениях, и физиологически приемлемые соли.
4. Средство формулы (I) по п.1 и/или 3, отличающееся тем, что в формуле (I) одновременно W означает R1-A-CH=C, где А означает фениленовый остаток, или W означает 1-A-C(R13), в котором А означает двухвалентный остаток, выбранный из метилена, этилена, триметилена, тетраметилена, пентаметилена, циклогексилена, фенилена, фениленметила; В означает двухвалентный остаток, выбранный из метилена, этилена, триметилена, тетраметилена, винилена, фенилена или замещенного метилена или этилена; Е означает R10CO; R означает водород, (C1-C6)-алкил или бензил; R0 означает (C1-C8)-алкил, (С3-С8)-циклоалкил, при необходимости замещенный (С6-С14)-арил или при необходимости замещенный в арильном остатке (С6-С14)-арил-(C1-C8) -алкил; R1 означает X-NH-C(=NH), X-NH-C(=NX)-NH или X-NH-CH2; X означает водород, (C1-C6)-алкилкарбонил, (C1-C6)-алкоксикарбонил, (C1-C8)-алкилкарбонилокси-(C1-С6)-алкоксикарбонил, (C6-C14)-арил-(C1-С6)-алкоксикарбонил или гидроксил; R2 означает водород или (C1-C8)-алкил; R3 означает (C1-C8)-алкил, при необходимости замещенный (C6-C14)-арил, (C6-C14)-арил-(C1-C8)-алкил, (С3-С8)-циклоалкил, (C2-C8)-алкенил, (C2-C8)-алкинил, пиридил, R11NH, R4CO, COOR4, CONHR14, CSNHR14, COOR15 и CONHR15; е, g и h независимо друг от друга означают числа 0, 1, 2 или 3, а также стереоизомерные формы и их смеси в любых соотношениях и физиологически приемлемые соли.
5. Средство формулы (I) по любому из пп.1-4, отличающееся тем, что в формуле (I) W означает R1-A-C(R13) и R13 означает (C1-С6)-алкил, при необходимости замещенный в арильном остатке (C6-C14)-арил-(C1-C8)-алкил или (С3-С8)-циклоалкил, а также стереоизомерные формы и их смеси в любых соотношениях и физиологически приемлемые соли.
6. Средство формулы (I) по любому из пп.1-5, отличающееся тем, что в формуле (I) R3 означает при необходимости замещенный (С6-С14)-арил, COOR4, R11NH или CONHR14, причем -NHR14 означает остаток -аминокислоты ее -амино-(С2-С8)-алкиламида, ее (C1-C8)-алкилового эфира или ее (С6-С14)-арил-(C1-C4)-алкилового эфира, предпочтительно остаток таких -аминокислот, как валин, лизин, фенилглицин, фенилаланин или триптофан, или их (C1-C8)-алкиловых эфиров, или их (С6-С14)-арил-(C1-C4)-алкиловых эфиров, а также стереоизомерные формы и их смеси в любых соотношениях и физиологически приемлемые соли.
7. Средство формулы (I) по любому из пп.1, 3-6, отличающееся тем, что в формуле (I) одновременно W означает 1-A-C(R13); Y означает карбонильную группу; Z означает N(R0); А означает этилен, триметилен, тетраметилен, пентаметилен, циклогексилен, фенилен или фениленметил; В означает незамещенный или замещенный метиленовый остаток; D означает C(R2)(R3); Е означает R10СО; R означает водород или (C1-C4)-алкил, в особенности водород, метил или этил; R0 означает (C1-C8)-алкил, (С3-С8)-циклоалкил, при необходимости замещенный (C6-C14)-арил или при необходимости замещенный в арильном остатке (С6-С14)-арил-(C1-C8)-алкил; R1 означает H2N-C(=NH), H2N-C(=NH)-NH или H2N-CH2; R2 означает водород; R3 означает остаток CONHR14; R10 означает гидроксил или (C1-C8)-алкоксил, предпочтительно (C1-C4)-алкоксил; R13 означает (C1-C6)-алкил, (С3-С7)-циклоалкил или бензил, в особенности метил; R14 означает метил, который замещен гидроксикарбонилом и остатком, выбранным из (C1-C4)-алкила, фенила и бензила; или метил, который замещен (C1-C8)-алкоксикарбонилом, предпочтительно (C1-C4)-алкоксикарбонилом и остатком, выбранным из (C1-C4)-алкила, фенила и бензила; b, c и d = 1; е, f и g = 0; h = 1 или 2, предпочтительно 1, а также стереоизомерные формы и их смеси в любых соотношениях и физиологически приемлемые соли.
8. Средство формулы (I) по любому из пп.1, 3 и 4, отличающееся тем, что в формуле (I) одновременно W означает 1-A-CH=C, где А означает фениленовый остаток или W означает R1-A-C(R13), где А означает двухвалентный остаток, выбранный из метилена, этилена, триметилена, тетраметилена, пентаметилена, циклогексилена, фенилена, фениленметила; В означает двухвалентный остаток, выбранный из метилена, этилена, триметилена, тетраметилена, винилена, фенилена или замещенного метилена или этилена; Е означает R10CO; R означает водород или (C1-С6)-алкил; R0 означает (C1-C8)-алкил, (С3-C8)-циклоалкил, при необходимости замещенный (С6-С14)-арил или при необходимости замещенный в арильном остатке (С6-С14)-арил-(C1-C8)-алкил; R1 означает X-NH-C(=NH), X-NH-C(=NX)-NH или X-NH-CH2; X означает водород, (C1-C6)-алкилкарбонил, (C1-C6)-алкокси-карбонил, (C1-C8)-алкилкарбонилокси-(C1-С6)-алкоксикарбонил, (C6-C14)-арил-(С1-С6)-алкоксикарбонил или гидроксил; R2 означает водород или (C1-C8)-алкил; R3 означает CONHR15 или CONHR14, причем R14 в этом случае означает незамещенный или замещенный одним или несколькими (C6-C14)-арильными остатками (C1-C8)-алкильный остаток; R15 означает R16-(C1-С6)-алкил или R16, причем R16 означает 7-12-членный мостиковый бициклический или трициклический остаток, который является насыщенным или частично ненасыщенным и который может содержать 1-4 одинаковых или разных гетероатома, выбранных из азота, кислорода и серы, и который также может быть замещен одним или несколькими одинаковыми или различными заместителями, выбранными из (C1-С4)-алкила и оксогруппы, и в особенности R15 означает адамантильный остаток или адамантилметильный остаток; е, g, h, независимо друг от друга означают числа 0, 1, 2 или 3; b, с, d = 1, а также стереоизомерные формы и их смеси в любых соотношениях и физиологически приемлемые соли.
9. Средство формулы (I) по любому из пп.1, 3-5 и 8, отличающееся тем, что в формуле (I) одновременно W означает 1-A-C(R13); Y означает карбонильную группу; Z означает N(R0); А означает этилен, триметилен, тетраметилен, пентаметилен, циклогексилен, фенилен или фениленметил; В означает незамещенный или замещенный метиленовый остаток; D означает C(R2)(R3); Е означает R10CO; R означает водород или (C1-C4)-алкил, в особенности водород, метил или этил; R0 означает (C1-C8)-алкил, (С3-С8)-циклоалкил, при необходимости замещенный (C6-C14)-арил или при необходимости замещенный в арильном остатке (C6-C14)-арил-(C1-C8)-алкил; R1 означает H2N-C(=NH), H2N-C(=NH)-NH или H2N-CH2; R2 означает водород; R3 означает CONHR15 или CONHR14, причем R14 в данном случае означает незамещенный или замещенный одним или несколькими (С6-С10)-арильными остатками (C1-C6)-алкильный остаток; R10 означает гидроксил или (C1-C8)-алкоксил, предпочтительно (C1-C4)-алкоксил; R13 означает (C1-C6)-алкил, (С3-С7)-циклоалкил или бензил, в особенности метил; R15 означает адамантильный остаток или адамантилметильный остаток; b, с, d = 1; е, f, g = 0; h = 1 или 2, предпочтительно 1, а также стереоизомерные формы и их смеси в любых соотношениях и физиологически приемлемые соли.
10. Средство формулы (I) по любому из пп.1, 3, 4 и 5, отличающееся тем, что в формуле (I) одновременно W означает 1-A-C(R13); Y означает карбонильную группу; Z означает N(R0); А означает этилен, триметилен, тетраметилен, пентаметилен, циклогексилен, фенилен, фениленметил; В означает незамещенный или замещенный метиленовый остаток или этиленовый остаток; D означает C(R2)(R3), Е означает R10CO; R означает водород или (C1-C4)-алкил, в особенности водород, метил или этил; R0 означает (C1-C8)-алкил, (С3-С8)-циклоалкил, при необходимости замещенный (C6-C14)-арил или при необходимости замещенный в арильном остатке (C6-C14)-арил-(C1-C8)-алкил; R1 означает H2N-C(=NH), H2N-C(=NH) -NH или H2N-CH2; R2 означает водород; R3 означает незамещенный фенильный или нафтильный остаток; фенильный остаток или нафтильный остаток, замещенные одним, двумя или тремя одинаковыми или различными остатками, выбранными из (C1-C4)-алкила, (C1-C4)-алкоксила, гидроксила, галогена, трифторметила, нитрогруппы, метилендиоксигруппы, этилендиоксигруппы, гидроксикарбонила, (C1-C4)-алкоксикарбонила, аминокарбонила, цианогруппы, фенила, феноксигруппы, бензила и бензилоксигруппы; пиридильный остаток, (C1-C4)-алкильный остаток, (С2-С4)-алкенильный остаток, (С2-С4)-алкинильный остаток или (С5-С6)-циклоалкильный остаток, и в особенности R3 означает незамещенный или замещенный фенильный или нафтильный остаток; R10 означает гидроксил или (C1-C8)-алкоксил, в особенности (C1-C4)-алкоксил, и предпочтительно R10 выбран из гидроксила, метоксигруппы, этоксигруппы, пропоксигруппы и изопропоксигруппы; R13 означает (C1-C6)-алкил, (С3-С7)-циклоалкил или бензил, в особенности метил; b, с и d = 1; e, f и g = 0; h = 1 или 2, предпочтительно 1, а также стереоизомерные формы и их смеси в любых соотношениях и физиологически приемлемые соли.
11. Средство формулы (I) по любому из пп.1, 3, 4 и 5, отличающееся тем, что в формуле (I) одновременно W означает 1-A-C(R13);
Y означает карбонильную группу;
Z означает N(R0);
А означает этилен, триметилен, тетраметилен, пентаметилен, циклогексилен, фенилен, фениленметил;
В означает незамещенный или замещенный метиленовый остаток или этиленовый остаток; D означает С(R2)(R3); Е означает R10CO; R означает водород или (C1-C4)-алкил, в особенности водород, метил или этил; R0 означает (C1-C8)-алкил, (С3-С8)-циклоалкил, при необходимости замещенный (С6-С14)-арил или при необходимости замещенный в арильном остатке (C6-C14)-арил-(C1-C8)-алкил; R1 означает H2N-C(=NH), H2N-C(=NH)-NH или H2N-CH2; R2 означает водород; R3 означает R11NH; R10 означает гидроксил или (C1-C8)-алкоксил, в особенности (C1-C4)-алкоксил; и предпочтительно R10 означает остаток, выбранный из гидроксила, метоксигруппы, этоксигруппы, пропокси- и изопропоксигруппы; R13 означает (C1-C6)-алкил, (С3-С7)-циклоалкил или бензил, в особенности метил; b, с, d и е = 1; f и g = 0; h = 0, а также стереоизомерные формы и их смеси в любых соотношениях и физиологически приемлемые соли.
12. Средство формулы (I) по любому из пп.1, 3-11, отличающееся тем, что означающий группу В замещенный метиленовый остаток или замещенный этиленовый остаток в качестве заместителей содержит остаток, выбранный из (C1-C8)-алкила, (С2-С6)-алкенила, (С2-С6)-алкинила, (С3-С8)-циклоалкила, в особенности (C5-C6)-циклоалкила, (С3-С8)-циклоалкил-(C1-C4)-алкила, в особенности (C5-C6)-циклоалкил-(C1-C4)-алкила, при необходимости замещенного (С6-С10)-арила, при необходимости замещенного в арильном остатке (С6-С10)-арил-(C1-C4)-алкила, при необходимости замещенного гетероарила и при необходимости замещенного в гетероарильном остатке гетероарил-(C1-C4)-алкила, а также стереоизомерные формы и их смеси в любых соотношениях и физиологически приемлемые соли.
13. Средство формулы (I) по любому из пп.1, 3-12, отличающееся тем, что В означает незамещенный метиленовый остаток или метиленовый остаток, замещенный (C1-C8)-алкильным остатком, а также стереоизомерные формы и их смеси в любых соотношениях и физиологически приемлемые соли.
14. Средство формулы (I) по любому из пп.1-13 и/или его физиологически приемлемые соли, отличающееся тем, что пригодны для получения лекарственных средств для уменьшения интенсивности воспаления.
15. Средство формулы (I) по любому из пп.1-13 и/или его физиологически приемлемые соли, отличающееся тем, что пригодны для получения лекарственных средств для лечения или профилактики ревматоидного артрита, воспалительных заболеваний пищеварительного тракта, системной красной волчанки или воспалительных заболеваний центральной нервной системы.
16. Средство формулы (I) по любому из пп.1-13 и/или его физиологически приемлемые соли, отличающееся тем, что пригодны для получения лекарственных средств для лечения или профилактики астмы или аллергий.
17. Средство формулы (I) по любому из пп.1-13 и/или его физиологически приемлемые соли, отличающееся тем, что пригодны для получения лекарственных средств для лечения или профилактики сердечно-сосудистых заболеваний, артериосклероза, рестенозов или диабета, для предотвращения повреждения трансплантатов органов, для подавления роста опухолей или метастазирования опухолей или для лечения малярии.
18. Средство формулы (I) по любому из пп.1-13 и/или его физиологически приемлемые соли, отличающееся тем, что пригодны для ингибирования адгезии и/или миграции лейкоцитов или для ингибирования VLA-4-рецептора.
19. Средство формулы (I) по любому из пп.1-13 и/или его физиологически приемлемые соли, отличающееся тем, что пригодны для лечения или профилактики заболеваний, при которых имеет место в нежелательном масштабе адгезия лейкоцитов и/или миграция лейкоцитов, или заболеваний, при которых играют роль VLA-4-зависимые процессы адгезии, для лечения или профилактики ревматоидного артрита, воспалительных заболеваний пищеварительного тракта, системной красной волчанки, воспалительных заболеваний центральной нервной системы, астмы, аллергий, сердечно-сосудистых заболеваний, артериосклероза, рестенозов, диабета, предотвращения повреждения трансплантатов органов, для подавления роста опухолей или метастазирования опухолей, для лечения малярии или в качестве уменьшающих интенсивность воспаления средств.
20. 5-Членные гетероциклы формулы (Ib)
где W означает R1-A-CH или R1-A-CH=C;
Y означает карбонил, тиокарбонил или метиленовую группу;
А означает двухвалентный остаток, выбранный из (C1-C6)-алкилена, (С3-С7)циклоалкилена, фенилена, фенилен-(C1-C6)-алкила, (С1-С6)-алкиленфенила, фенилен-(С2-С6)-алкенила; или двухвалентный остаток пяти- или шестичленного насыщенного или ненасыщенного цикла, который может содержать 1 или 2 атома азота и может быть одно- или двукратно замещен (C1-C6)-алкилом или дважды связанным кислородом или серой;
В означает двухвалентный остаток, выбранный из (C1-C6)-алкилена, (С2-С6)-алкенилена, фенилена, фенилен-(C1-С3)-алкила, (C1-С3)-алкиленфенила;
D означает C(R2)(R3);
Е означает тетразолил, (R8O)2P(O), HOS(O)2, R9NНS(O)2 или R10CO;
R означает водород, (C1-C8)-алкил, (С3-C8)-циклоалкил, при необходимости замещенный (С6-С14)-арил или при необходимости замещенный в арильном остатке (C6-C14)-арил-(C1-C8)-алкил;
R0 означает (C7-C8)-алкил, (С3-C8)-циклоалкил, при необходимости замещенный (C6-C14)-арил или при необходимости замещенный в арильном остатке (C6-C14)-арил-(C1-C8)-алкил;
R1 означает X-NH-C(=NH)-(CH2)p или X1-NH-(CH2)р, причем р = числа 0, 1, 2 или 3;
X означает водород, (C1-С6)-алкил, (C1-C6)-алкилкарбонил, (C1-C6)-алкоксикарбонил, (C1-C18)-алкилкарбонилокси-(C1-C6)-алкоксикарбонил, при необходимости замещенный (C6-C14)-арилкарбонил, при необходимости замещенный (С6-С14)-арилоксикарбонил; (C6-C14)-арил-(C1-C6)-алкоксикарбонил, который в арильном остатке также может быть замещен; (R8O)2P(O), цианогруппу, гидроксил, (C1-C6)-алкоксил; (C6-C14)-арил-(C1-С6)-алкокси, который в арильном остатке также может быть замещен; или аминогруппу;
Х1 имеет одно из указанных для Х значений или означает R’-NH-C(=NR”), причем R’ и R” независимо друг от друга имеют указанные для Х значения;
R2 означает водород или фенил;
R3 означает водород, COOR4, СОN(СН3)R4 или CONHR4;
R4 означает водород или (C1-C28)-алкил, который при необходимости может быть одно- или многократно замещен одинаковыми или различными остатками R4′;
R4′ означает гидроксил, гидроксикарбонил, аминокарбонил, моно- или ди-((C1-C18)-алкил)-аминокарбонил, амино-(C2-C18)-алкиламинокарбонил, амино-(C1-С3)-алкилфенил-(C1-С3)-алкил-аминокарбонил, (C1-C18)-алкилкарбониламино-(C1-С3)-алкилфенил-(C1-С3)-алкиламинокарбонил, (C1-C18)-алкилкарбониламино-(C2-C18)-алкиламинокарбонил; (С6-С14)-арил-(C1-C8)-алкоксикарбонил, который в арильном остатке также может быть замещен; аминогруппу, меркаптогруппу, (C1-C18)-алкоксил, (C1-C18)-алкоксикарбонил, при необходимости замещенный (С3-С8)-циклоалкил, галоген, нитрогруппу, трифторметил или остаток R5;
R5 означает при необходимости замещенный (С6-С14)-арил, при необходимости замещенный в арильном остатке (C6-C14)-арил-(C1-С8)-алкил, моно- или бициклический 5-12-членный гетероцикл, который может быть ароматическим, частично гидрированным или полностью гидрированным и который может содержать один, два или три одинаковых или различных гетероатомов, выбранных из азота, кислорода и серы; остаток R6 или остаток R6CO-, причем арильный и независимо от него гетероциклический остаток могут быть одно- или многократно замещены одинаковыми или различными остатками, выбранными из (C1-C18)-алкила, (С1-С18)-алкоксила, галогена, нитрогруппы, аминогруппы или трифторметила;
R6 означает R7R8N, R7O или R7S или аминокислотную боковую цепь, остаток природной или синтетической аминокислоты, иминокислоты, возможно N-(C1-C8)-алкилированной или N-((С6-C14)-арил-(C1-C8)-алкилированной) азааминокислоты или дипептида, который в арильном остатке также может быть замещен и/или в котором пептидная связь может быть восстановлена до -NH-CH2, а также их сложные эфиры или амиды, причем вместо свободных функциональных групп при необходимости может быть водород или гидроксиметил и/или свободные функциональные группы могут быть защищены обычными в химии пептидов защитными группами;
R7 означает водород, (C1-C18)-алкил, (С6-С14)-арил-(C1-C8)-алкил, (C1-C18)-алкилкарбонил, (C1-C18)-алкоксикарбонил, (С6-С14)-арилкарбонил, (C6-C14)-арил-(C1-C8)-алкилкарбонил или (С6-C14)-арил-(C1-C18)-алкилоксикарбонил, причем алкильные группы при необходимости могут быть замещены аминогруппой и/или арильные остатки могут быть одно- или многократно, предпочтительно однократно, замещены одинаковыми или различными остатками, выбранными из (C1-C8)-алкила, (C1-C8)-алкоксила, галогена, нитрогруппы, аминогруппы и трифторметила; остаток природной или синтетической аминокислоты, иминокислоты, при необходимости N-(C1-C8)-алкилированной или N-((C6-C14)-арил-(C1-С8)-алкилированной) азааминокислоты или дипептида, который в арильном остатке также может быть замещен и/или в котором пептидная связь может быть восстановлена до -NH-CH2-; R8 означает водород, (C1-C18)-алкил, при необходимости замещенный (C6-C14)-арил или (С6-С14)-арил-(C1-C8)-алкил, который в арильном остатке также может быть замещен;
R9 означает водород, аминокарбонил, (C1-C18)-алкиламинокарбонил, (С3-С8)-циклоалкиламинокарбонил, при необходимости замещенный (C6-C14)-ариламинокарбонил, (C1-C18)-алкил, при необходимости замещенный (C6-C14)-арил или (С3-C8)-циклоалкил;
R10 означает гидроксил, (C1-C18)-алкоксил, (С6-С14)-арил-(C1-C8)-алкоксил, который в арильном остатке также может быть замещен; при необходимости замещенный (C6-C14)-арилокси, аминогруппу или моно- или ди-((С1-С18)-алкил)аминогруппу;
b, c и d независимо друг от друга могут означать 0 или 1, однако все одновременно не могут означать 0;
h = 0, 1, 2, 3, 4, 5 или 6,
во всех их стереоизомерных формах и в виде их смесей в любых соотношениях, а также их физиологически приемлемые соли.
21. 5-Членные гетероциклы формулы (Ib) по п.20 и/или их физиологически приемлемые соли, используемые в качестве лекарственного средства.
22. Фармацевтический препарат на основе активного вещества и обычных добавок, отличающийся тем, что в качестве активного вещества он содержит одно или несколько соединений формулы (Ib) по п.20 и/или их физиологически приемлемых солей в эффективном количестве, а также фармацевтически приемлемые носители и/или целевые добавки.
23. 5-Членные гетероциклы формулы (Iс)
где W означает R1-A-C (R13);
Y означает карбонил, тиокарбонил или метиленовую группу;
А означает фениленовый остаток;
В означает двухвалентный остаток, выбранный из (C1-C6)-алкилена, (С2-С6)-алкенилена, фенилена, фенилен-(C1-С3)-алкила; (C1-С3)-алкилен-фенилена;
D означает C(R2)(R3), N(R3) или CH=C(R3);
Е означает тетразолил, (R8O)2P(O), НOS(O)2, R9NHS(O)2 или R10CO,
R означает водород, (C1-C8)-алкил, (С3-С8)-циклоалкил, при необходимости замещенный (С6-С14)-арил или при необходимости замещенный в арильном остатке (С6-С14)-арил-(C1-C8)-алкил;
R0 означает при необходимости замещенный в арильном остатке (C6-C14)-арил-(C1-C8)-алкил;
R1 означает X-NH-C(=NH)-(СН2)р или X1-NH-(CH2)p, причем р = 0, 1, 2 или 3;
Х означает водород, (C1-C6)-алкил, (С1-С6)-алкилкарбонил, (C1-C6)-алкоксикарбонил, (С1-С18)-алкилкарбонилокси-(C1-C6)-алкоксикарбонил, при необходимости замещенный (C6-C14)-арилкарбонил, при необходимости замещенный (C6-C14)-арилоксикарбонил; (С6-С14)-арил-(C1-C6)-алкоксикарбонил, который в арильном остатке также может быть замещен; (R8О)2Р(O), цианогруппу, гидроксил, (С1-С6)-алкоксил, (С6-С14)-арил-(С1-С6)-апкоксил, который в арильном остатке также может быть замещен; или аминогруппу;
Х1 имеет одно из указанных для Х значений или означает R’-NH-C(=N-R”), причем R’ и R” независимо друг от друга имеют указанные для Х значения;
R2 означает водород, (С1-С8)-апкил, при необходимости замещенный (С6-С14)-арил, при необходимости замещенный в арильном остатке (С6-С14)-арил-(С1-С8)-алкил или (С3-С8)-циклоалкил;
R3 означает водород, (С1-С8)-алкил, при необходимости замещенный (С6-С14)-арил, при необходимости замещенный в арильном остатке (С6-С14)-арил-(C1-C8)-алкил, (С3-С8)-циклоалкил, (С2-С8)-алкенил, (С2-С8)-алкинил, (С2-С8)-алкенилкарбонил, (С2-С8)-алкинилкарбонил, пиридил, R11NH, R4CO, COOR4, CON(CH3)R14, CONHR14, CSNHR14, COOR15, CON(CH3)R15 или CONHR15;
R4 означает водород или (C1-C28)-алкил, который при необходимости может быть одно- или многократно замещен одинаковыми или различными остатками R4′;
R4′ означает гидроксил, гидроксикарбонил, аминокарбонил, моно- или ди-((C1-C18)-алкил)-аминокарбонил, амино-(С2-С18)-алкиламинокарбонил, амино-(С1-С3)-алкилфенил-(С1-С3)-алкиламинокарбонил, (С1-С18)-алкилкарбониламино-(С1-С3)-алкилфенил-(С1-С3)-алкиламинокарбонил, (С1-С18)-алкилкарбониламино-(С2-С18)-алкиламинокарбонил; (С6-С14)-арил-(С1-С8)-алкоксикарбонил, который в арильном остатке также может быть замещен; аминогруппу, меркаптогруппу, (С1-С18)-алкоксил, (С1-С18)-алкоксикарбонил, при необходимости замещенный (С3-С8)-циклоалкил, галоген, нитрогруппу, трифторметил или остаток R5;
R5 означает при необходимости замещенный (С6-С14)-арил, при необходимости замещенный в арильном остатке (С6-С14)-арил-(С1-С8)-алкил, моно- или бициклический 5-12-членный гетероцикл, который может быть ароматическим частично гидрированным или полностью гидрированным и который может содержать один, два или три одинаковых или различных гетероатома, выбранных из азота, кислорода и серы; остаток R6 или остаток R6СО-, причем арильный и независимо от него гетероциклический остаток могут быть однократно или многократно замещены одинаковыми или различными остатками, выбранными из (С1-С18)-алкила, (С1-С18)-алкоксила, галогена, нитрогруппы, аминогруппы или трифторметила;
R6 означает R7R8N, R7О или R7S или аминокислотную боковую цепь, остаток природной или синтетической аминокислоты, иминокислоты, возможно N-(С1-С8)-алкилированной или N-((С6-С14)-арил-(С1-C8)-алкилированной) азааминокислоты или дипептида, который в арильном остатке также может быть замещен и/или в котором пептидная связь может быть восстановлена до -NH-CH2-, а также их сложные эфиры и амиды, причем вместо свободных функциональных групп при необходимости может быть водород или гидроксиметил и/или свободные функциональные группы могут быть защищены обычными в химии пептидов группами;
R7 означает водород, (С1-С18)-алкил, (С6-С14)-арил-(С1-С8)-алкил, (С1-С18)-алкилкарбонил, (С1-С18)-алкоксикарбонил, (С6-С14)-арилкарбонил, (С6-С14)-арил-(С1-С8)-алкилкарбонил, или (С6-С14)-арил-(С1-С18)-алкоксикарбонил, причем алкильные группы при необходимости могут быть замещены аминогруппой и/или причем арильные остатки могут быть одно- или многократно, предпочтительно однократно, замещены одинаковыми или различными остатками, выбранными из (С1-С8)-алкила, (С1-С8)-алкоксила, галогена, нитрогруппы, аминогруппы и трифторметила; остаток природной или синтетической аминокислоты, иминокислоты при необходимости N-(С1-С8)-алкилированной или N-((С6-С14)-арил-(С1-С8)-алкилированной)-азааминокислоты или дипептида, который в арильном остатке также может быть замещен и/или в котором пептидная связь может быть восстановлена до -NH-CH2-;
R8 означает водород, (С1-С18)-алкил, при необходимости замещении (С6-С14)-арил или (C6-C14)-арил-(С1-С8)-алкил, который в арильном остатке также может быть замещен;
R9 означает водород, аминокарбонил, (С1-С18)-алкиламинокарбонил, (С3-С8)-циклоалкиламинокарбонил, при необходимости замещенный (C6-C14)-ариламинокарбонил, (С1-С18)-алкил, при необходимости замещенный (С6-С14)-арил или (С3-С8)-циклоалкил;
R10 означает гидроксил, (С1-С18)-алкоксил, (С6-С14)-арил-(С1-С8)-алкоксил, который в арильном остатке также может быть замещен; при необходимости замещенную (С6-С14)-арилоксигруппу, аминогруппу или моно- или ди-((С1-С18)-алкил)аминогруппу;
R11 означает водород, (С1-С18)-алкил, R12СО, при необходимости замещенный (С6-С14)-арил-S(О)2, (С1-С18)-алкил-S(O)2, при необходимости замещенный в арильном остатке (C6-C14)-арил-(С1-С8)-алкил или R9NHS(O)2;
R12 означает водород, (С1-С18)-алкил, (С2-С8)-алкенил, (С2-С8)-алкинил, при необходимости замещенный (С6-С14)-арил, (С1-С18)-алкоксил; (С6-С14)-арил-(С1-С8)-алкоксил, который также в арильном остатке может быть замещен; при необходимости замещенную (С6-С14)-арилоксигруппу или моно- или ди-((С1-С18)-алкил)аминогруппу;
R13 означает (С1-С6)-алкил, при необходимости замещенный в арильном остатке (C6-C14)-арил-(С1-C8)-алкил или (С3-С8)-циклоалкил;
R14 означает водород или (С1-С28)-алкил, который при необходимости может быть одно- или многократно замещен одинаковыми или различными остатками, выбранными из гидроксила, гидроксикарбонила, аминокарбонила, моно- или ди-((C1-C18)-алкил)аминокарбонила, амино-(С2-C18)алкиламинокарбонила, амино-(С1-С3)-алкилфенил-(С1-С3)-алкиламинокарбонила, (С1-С18)-алкилкарбониламино-(С1-С3)-алкилфенил-(С1-С3)-алкиламинокарбонила, (С1-С18)-алкилкарбониламино-(С2-С18)алкиламинокарбонила, (С6-С14)-арил-(С1-С8)-алкоксикарбонила, который также может быть замещен в арильном остатке; аминогруппы, меркаптогруппы, (С1-С18)-алкоксила, (С1-С18)-алкоксикарбонила, при необходимости замещенного (С3-С8)-циклоалкила, HOS(O)2-(С1-С3)-алкила, R9NHS(О)2, -(С1-С3)-алкила, (R8О)2Р(О)-(С1-С3)-алкила, тетразолил-(С1-С3)-алкила, галогена, нитрогруппы, трифторметила и R5;
R15 означает R16-(С1-С6)-алкил или R16;
R16 означает 6-24-членный бициклический или трициклический остаток, который является насыщенным или частично ненасыщенным и который может содержать также 1-4 одинаковых или различных гетероатома, выбранных из азота, кислорода и серы и который также может быть замещен одним или несколькими одинаковыми или различными заместителями, выбранными из (С1-С4)-алкила и оксогруппы;
b, с, d и f независимо друг от друга означают 0 или 1, однако все одновременно не могут означать 0;
е, g и h, независимо друг от друга означают 0, 1, 2, 3, 4, 5 или 6;
во всех их стереоизомерных формах и в виде их смесей в любых соотношениях, а также их физиологически приемлемые соли.
24. 5-Членные гетероциклы формулы (Iс) по п.23 и/или их физиологически приемлемые соли, используемые в качестве лекарственного средства.
25. Фармацевтический препарат на основе активного вещества и обычных добавок, отличающийся тем, что в качестве активного вещества он содержит одно или несколько соединений формулы (Iс) по п.23 и/или их физиологически приемлемых солей и фармацевтически приемлемые носители и/или целевые добавки.
26. 5-Членные гетероциклы формулы (Id)
где W означает R1-A-C(R13) или R1-A-CH=C;
Y означает карбонил, тиокарбонил или метиленовую группу;
Z означает N(R0);
А означает двухвалентный остаток, выбранный из (C1–
С6)-алкилена, (С3-С7)-циклоалкилена, фенилена, фенилен-(С1-С6)-алкила, (С1-С6)-алкиленфенила, фенилен-(С2-С6)-алкенила; или двухвалентный остаток пяти- или шестичленного насыщенного или ненасыщенного цикла, который может содержать 1 или 2 атома азота и может быть одно- или двукратно замещен (C1-C6)-алкилом или дважды связанным кислородом или серой;
В означает двухвалентный (С1-C6)-алкиленовый остаток, который замещен остатком, выбранным из (С1-С8)-алкила, (С2-С8)-алкенила, (C2-C8)-алкинила, (С2-С8)-циклоалкила, (С3-С10)-циклоалкил-(С1-С6)-алкила, при необходимости замещенного (С6-С14)-арила, при необходимости замещенного в арильном остатке (С6-С14)-арил-(С1-С6)-алкила, при необходимости замещенного гетероарила и при необходимости замещенного в гетероарильном остатке гетероарил-(С1-С6)-алкила;
D означает C(R2)(R3), N(R3) или CH=C(R3);
Е означает тетразолил, (R8O)2P(O), HOS(O)2, R9NHS(O)2 или R10СО;
R означает водород, (С1-С8)-алкил, (С3-С8)-циклоалкил, при необходимости замещенный (С6-С14)-арил или при необходимости замещенный в арильном остатке (C6-C14)-арил-(С1-С8)-алкил;
R0 означает водород, (С1-С8)-алкил, (С3-С12)-циклоалкил, (С3-С12)-циклоалкил-(С1-С8)-алкил, (С6-С12)-бициклоалкил, (С6-С12)-бициклоалкил-(С1-С8)-алкил, (C6-C12)-трициклоалкил, (С6-С12)-трициклоалкил-(C1-C8)-алкил, при необходимости замещенный (C6-C14)-арил, при необходимости замещенный в арильном остатке (С6-С14)-арил-(С1-С8)-алкил, при необходимости замещенный гетероарил, при необходимости замещенный в гетероарильном остатке гетероарил-(С1-С8)-алкил, СНО, (С1-С8)-алкил-СО, (С3-С12)-циклоалкил-СО, (С3-С12)-циклоалкил-(С1-С8)-алкил-СО, (C6-C12)-бициклоалкил-СО, (C6-C12)-бициклоалкил-(С1-С8)-алкил-СО, (C6-C12)-трициклоалкил-СО, (С6-С12)-трициклоалкил-(С1-С8)-алкил-СО, при необходимости замещенный (С6-С14) -арил-СО, при необходимости замещенный в арильном остатке (С6-С14)-арил-(С1-С8)-алкил-СО, при необходимости замещенный гетероарил-СО, при необходимости замещенный в гетероарильном остатке гетероарил-(С1-C8)-алкил-СО, (C1-C8)-алкил-S(О)n, (С3-C12)-циклоалкил-S(О)n, (С3-С12)-циклоалкил-(С1-С8)-алкил-S(О)n, (С6-С12)-бициклоалкил-S(О)n, (С6-С12)-бициклоалкил-(С1-С8)-алкил-S(О)n, (С6-С12)-трициклоалкил-S(О)n, (С6-С12)-трициклоалкил-(С1-С8)-алкил-S(О)n, при необходимости замещенный (С6-С14)-арил-S(О)n, при необходимости замещенный в арильном остатке (С6-С14)-арил-(С1-С8)-алкил-S(О)n, при необходимости замещенный гетероарил-S(О)n или при необходимости замещенный в гетероарильном остатке гетероарил-(С1-С8)-алкил-S(О)n, причем n = 1 или 2;
R1 означает X-NH-C(=NH)-(СН2)р или Х1-NH-(CH2)р, причем р = 0, 1, 2 или 3;
X означает водород, (C1-C6)-алкил, (C1-C6)-алкилкарбонил, (С1-С6)-алкоксикарбонил, (С1-С18)-алкилкарбонилокси-(С1-С6)-алкоксикарбонил, при необходимости замещенный (С6-С14)-арилкарбонил, при необходимости замещенный (С6-С14)-арилоксикарбонил; (C6-C14)-арил-(C1-C6)-алкоксикарбонил, который в арильном остатке также может быть замещен; (R8O)2P(O), цианогруппу, гидроксил, (С1-C6)-алкоксил; (C6-C14)-арил-(С1-С6)-алкоксил, который в арильном остатке также может быть замещен; или аминогруппу;
Х1 имеет одно из указанных для Х значений или означает R’-NH-C(=N-R”), причем R’ и R” независимо друг от друга имеют указанные для Х значения;
R2 означает водород, (С1-С8)-алкил, при необходимости замещенный (C6-C14)-арил, при необходимости замещенный в арильном остатке (С6-С14)-арил-(С1-С8)-алкил или (С3-С8)-циклоалкил;
R3 означает водород, (С1-С8)-алкил, при необходимости замещенный (С6-С14)-арил, при необходимости замещенный в арильном остатке (С6-С14)-арил-(С1-С8)-алкил, (С3-С8)-циклоалкил, (С2-С8)-алкенил, (С2-С8)-алкинил, (С2-С8)-алкенилкарбонил, (С2-С8)-алкинилкарбонил, пиридил, R11NH, R4CO, COOR4, CON(CH3)R14, CONHR14, CSNHR14, COOR15, CON(CH3)R15 или CONHR15;
R4 означает водород или (С1-С28)-алкил, который при необходимости может быть одно- или многократно замещен одинаковыми или различными остатками R4′;
R4′ означает гидроксил, гидроксикарбонил, аминокарбонил, моно- или ди-((С1-С18)-алкил) аминокарбонил, амино-(С2-С18)-алкиламинокарбонил, амино-(С1-С3)-алкилфенил-(С1-С3)-алкиламинокарбонил, (C1-C18)-алкилкарбониламино-(С1-С3)-алкилфенил-(С1-С3)-алкиламинокарбонил, (С1-С18)-алкилкарбониламино-(С2-С18)-алкиламинокарбонил; (C6-С14)-арил-(С1-С8)-алкоксикарбонил, который в арильном остатке также может быть замещен; аминогруппу, меркаптогруппу, (С1-С18)-алкоксил, (С1-С18)-алкоксикарбонил, при необходимости замещенный (С3-С8)-циклоалкил, галоген, нитрогруппу, трифторметил или остаток R5;
R5 означает при необходимости замещенный (С6-С14)-арил, при необходимости замещенный в арильном остатке (С6-С14)-арил-(С1-С8)-алкил; моно- или бициклический 5-12-членный гетероцикл, который может быть ароматическим, частично гидрированным или полностью гидрированным и который может содержать один, два или три одинаковых или различных гетероатома, выбранных из азота, кислорода и серы; остаток R6 или остаток R6СО-, причем арильный остаток и независимо от него гетероциклический остаток могут быть одно- или многократно замещены одинаковыми или различными остатками, выбранными из (С1-С18)-алкила, (С1-С18)-алкоксила, галогена, нитрогруппы, аминогруппы или трифторметила;
R6 означает R7R8N, R7О или R7S или аминокислотную боковую цепь, остаток природной или синтетической аминокислоты, иминокислоты, при необходимости N-(С1-С8)-алкилированной или N-((С6-С14)-арил-(С1-С8)-алкилированной азаминокислоты или дипептида, который в арильной части также может быть замещен и/или в котором пептидная связь может быть восстановлена до -NH-CH2-, а также их сложные эфиры и амиды, причем вместо свободных функциональных групп при необходимости может быть водород или гидроксиметил и/или свободные функциональные группы могут быть защищены обычными в химии пептидов защитными группами;
R7 означает водород, (С1-С18)-алкил, (С6-С14)-арил-(С1-С8)-алкил, (С1-С18)-алкилкарбонил, (С1-С18)-алкоксикарбонил, (С1-С18)-арилкарбонил, (С6-С14)-арил-(С1-С8)-алкилкарбонил или (С6-С14)-арил-(С1-С18)-алкилоксикарбонил, причем алкильные группы при необходимости могут быть защищены аминогруппой и/или арильные остатки могут быть одно- или многократно, предпочтительно однократно, замещены одинаковыми или различными остатками, выбранными из (С1-С8)-алкила, (С1-С8)-алкоксила, галогена, нитрогруппы, аминогруппы и три-фторметила; остаток природной или синтетической аминокислоты, иминокислоты, при необходимости N-(С1-С8)-алкилированной или N-((С6-С14)-арил-(С1-С8)-алкилированной) азааминокислоты или дипептида, который в арильном остатке также может быть замещен и/или в котором пептидная связь может быть восстановлена до -NH-CH2-;
R8 означает водород, (С1-С18)-алкил, при необходимости замещенный (C6-C14)-арил или (C6-C14)-арил-(C1-C8)-алкил, который в арильном остатке также может быть замещен;
R9 означает водород, аминокарбонил, (С1-С18)-алкиламинокарбонил, (С3-С8)-циклоалкиламинокарбонил, при необходимости замещенный (C6-C14)-ариламинокарбонил, (С1-С18)-алкил, при необходимости замещенный (С6-С14)-арил или (С3-С8)-циклоалкил;
R10 означает гидроксил, (С1-С18)-алкоксил; (С6-С14)-арил-(С1-С8)-алкоксил, который в арильном остатке также может быть замещен; при необходимости замещенную ((С6-С14)-арилоксигруппу, аминогруппу или моно- или ди-((С1-С18)-алкил)аминогруппу;
R11 означает водород, (С1-С18)-алкил, R12СО, при необходимости замещенный (С6-С14)-арил-S(O)2, (C1-C18)-алкил-S(O)2, при необходимости замещенный в арильном остатке (С6-С14)-арил-(С1-С8)-алкил или R9NHS(O)2;
R12 означает водород, (С1-С18)-алкил, (C2-C8)-алкенил, (С2-С8)-алкинил, при необходимости замещенный (С6-C14)-арил, (С1-С18)-алкоксил, (С6-С14)-арил-(С1-С8)-алкоксил, который в арильном остатке также может быть замещен; при необходимости замещенную (С6-С14)-арилоксигруппу, аминогруппу или моно- или ди-((С1-С18)-алкил)-аминогруппу;
R13 означает водород, (С1-С6)-алкил, при необходимости замещенный в арильном остатке (С6-С14)-арил-(С1-С8)-алкил или (С3-С8)-циклоалкил;
R14 означает водород или (С1-С28)-алкил, который при необходимости может быть одно- или многократно замещен одинаковыми или различными остатками, выбранными из гидроксила, гидроксикарбонила, аминокарбонила, моно- или ди-((С1-С18)-алкил)аминокарбонила, амино-(C2-C18)-алкиламинокарбонила, амино-(С1-С3)-алкилфенил-(C1-C3)-алкиламинокарбонила, (С1-С18)-алкилкарбониламино-(С1-С3)-алкилфенил- (С1-С3)-алкиламинокарбонила, (С1-С18)-алкилкарбониламино-(C2-C18)-алкиламинокарбонила; (С6-С14)-арил-(С1-С8)-алкоксикарбонила, который в арильном остатке также может быть замещен; аминогруппы, меркаптогруппы, (С1-С18)-алкоксила, (С1-С18)-алкоксикарбонила, при необходимости замещенного (С3-С8)-циклоалкила, HOS(О)2-(С1-С3)-алкила, R9NHS(О)2-(С1-С3)-алкила, (R8О)2Р(О)-(С1-С3)-алкила, тетразолил-(С1-С3)-алкила, галогена, нитрогруппы, трифторметила и R5;
R15 означает R16-(С1-С6)-алкил или R16;
R16 означает 6-24-членный бициклический или трициклический остаток, который является насыщенным или частично ненасыщенным и который также может содержать 1-4 одинаковых или различных гетероатома, выбранных из ряда азота, кислорода и серы и который также может быть замещен одним или несколькими одинаковыми или различными заместителями, выбранными из (С1-С4)-алкила и оксогруппы;
с, d и f независимо друг от друга означают 0 или 1, однако все одновременно не могут означать 0;
е, g и h независимо друг от друга означают 0, 1, 2, 3, 4, 5 или 6;
во всех их стереоизомерных формах и в виде их смесей в любых соотношениях, а также их физиологически приемлемые соли.
27. 5-Членные гетероциклы формулы (I) по п.26, где одновременно W означает R1-A-C(R13);
Y означает карбонил;
Z означает N(R0);
А означает двухвалентный остаток, выбранный из (С3-С7)-циклоалкилена, фенилена, фенилен-(С1-С6)-алкила, (С1-С6)-алкиленфенила, или двухвалентный остаток пяти- или шестичленного насыщенного или ненасыщенного цикла, который может содержать 1 или 2 атома азота и может быть одно- или двукратно замещен (С1-С6)-алкилом или дважды связанным кислородом или серой;
В означает двухвалентный метиленовый или этиленовый остаток, который замещен остатком, выбранным из (С1-С8)-алкила, (С2-С8)-алкенила, (С2-С8)-алкинила, (С3-С10)-циклоалкила, (C3-C10)-циклоалкил-(С1-С6)-алкила, при необходимости замещенного (С6-С14)-арила, при необходимости замещенного в арильном остатке (C6-C14)-арил-(С1-С6)-алкила, при необходимости замещенного гетероарила и при необходимости замещенного в гетероарильном остатке гетероарил-(С1-С6)-алкила;
D означает С(R2)(R3);
Е означает тетразолил или R10СО;
R означает водород или (С1-С8)-алкил;
R0 означает водород, (C1-C8)-алкил, (С3-С12)-цикпоалкил, (С3-С12)-циклоалкил-(С1-С8)-алкил, (C6-C12)-бициклоалкил, (C6-C12)-бициклоалкил-(C1-C8)-алкил, (C6-C12)-трициклоалкил, (С6-С12)-трициклоалкил-(С1-С8)-алкил, при необходимости замещенный (С6-С14)-арил, при необходимости замещенный в арильном остатке (С6-С14)-арил-(С1-С8)-алкил, при необходимости замещенный гетероарил, при необходимости замещенный в гетероарильном остатке гетероарил-(C1-C8)-алкил, CHD, (C1-C8)-алкил-CO, (С3-С12)-циклоалкил-СО, (С3-С12)-циклоалкил-(С1-С8)-алкил-СО, (С6-С12)-бициклоалкил-СО, (С6-С12)-бициклоалкил-(С1-С8)-алкил-CO, (С6-С12)-трициклоалкил-СО, (C6-C12)-трициклоалкил-(С1-С8)-алкил-СО, при необходимости замещенный (С6-С14)-арил-СО, при необходимости замещенный в арильном остатке (С6-С14)-арил-(С1-С8)-алкил-СО, при необходимости замещенный гетероарил-СО, при необходимости замещенный в гетероарильном остатке гетероарил-(С1-С8)-алкил-CO; (C1-C8)-алкил-S(О)n, (С3-С12)-циклоалкил-S(О)n, (С3-С12)-циклоалкил-(С1-С8)-алкил-S(O)n, (C6-C12)-бициклоалкил-S(О)n, (С6-С12)-бициклоалкил-(С1-С8)-алкил-S(О)n, (С6-С12)-трициклоалкил-S(O)n, (С6-С12)-трициклоалкил-(С1-С8)-алкил-S(О)n, при необходимости замещенный (С6-С14)-арил-S(О)n, при необходимости замещенный в арильном остатке (С6-С14)-арил-(С1-С8)-алкил-S(О)n, при необходимости замещенный гетероарил-S(О)n или при необходимости замещенный в гетероарильном остатке гетероарил-(С1-С8)-алкил-S(О)n, причем n = 1 или 2;
R1 означает X-NH-C(=NH)-(СН2)р или X1-NH-(CH2)p, причем р = 0, 1, 2 или 3;
X означает водород, (С1-С6)-алкил, (C1-C6)-алкилкарбонил, (C1-C6)-алкоксикарбонил, (С1-С18)-алкилкарбонилокси-(C1-C6)-алкоксикарбонил, при необходимости замещенный (С6-С14)-арилкарбонил, при необходимости замещенный (С6-С14)-арилоксикарбонил; (С6-С14)-арил-(С1-С6)-алкоксикарбонил, который в арильном остатке также может быть замещен; цианогруппу, гидроксил, (С1-С6)-алкоксил; (С6-С14)-арил-(С1-С6)-алкоксил, который в арильном остатке также может быть замещен; или аминогруппу;
Х1 имеет одно из указанных для Х значений или означает R’-NH-C(=N-R”), причем R’ и R” независимо друг от друга имеют указанные для Х значения;
R2 означает водород или (С1-С8)-алкил;
R3 означает водород, (С1-С8)-алкил, при необходимости замещенный (С6-С14)-арил, при необходимости замещенный в арильном остатке (С6-С14)-арил-(С1-С8)-алкил, (С3-С8)-циклоалкил, (С2-С8)-алкенил, (C2-C8)-алкинил, (С2-С8)-алкенилкарбонил, (С2-С8)-алкинилкарбонил, пиридил, R11NH, CON(CH3)R14, CONHR14, CON(CH3)R15 или CONHR15;
R5 означает при необходимости замещенный (С6-С14)-арил, при необходимости замещенный в арильном остатке (С6-С14)-арил-(С1-С8)-алкил; моно- или моно- или бициклический 5-12-членный гетероцикл, который может быть ароматическим, частично гидрированным или полностью гидрированным и который может содержать один, два или три одинаковых или различных гетероатома, выбранных из азота, кислорода и серы; или означает остаток R6CO-, причем арильный остаток и независимо от него гетероциклический остаток могут быть одно- или многократно замещены одинаковыми или различными остатками, выбранными из (С1-С8)-алкила, (С1-С8)-алкоксила, галогена, нитрогруппы, аминогруппы или трифторметила;
R6 означает остаток природной или синтетической аминокислоты, иминокислоты, при необходимости N-(C1-C8)-алкилированной или N-((С6-С14)-арил-(С1-С8)-алкилированной) азааминокислоты или дипептида, который в арильном остатке также может быть замещен, а также их сложные эфиры и амиды, причем свободные функциональные группы могут быть защищены обычными в химии пептидов защитными группами;
R10 означает гидроксил, (С1-С18)-алкоксил, (С6-С14)-арил-(С1-С8)-алкоксил, который в арильном остатке также может быть замещен; при необходимости замещенную (С6-С14)-арилоксигруппу, аминогруппу или моно- или ди-((С1-С18)-алкил)аминогруппу;
R11 означает R12СО, при необходимости замещенный (С6-С14)-арил-S(O)n, или (С1-С18)-алкил-S(O)2;
R12 означает водород, (С1-С18)-алкил, (C2-C8)-алкенил, (С2-С8)-алкинил, при необходимости замещенный (С6-С14)-арил, (С1-С18)алкоксил; (C6-C14)-арил-(C1-C8)-алкоксил, который в арильном остатке также может быть замещен; или при необходимости замещенную (C6-C14)-арилоксигруппу;
R13 означает водород или (С1-С14)-алкил;
R14 означает (С1-С10)-алкил, который при необходимости может быть одно- или многократно замещен одинаковыми или различными остатками, выбранными из гидроксила, гидроксикарбонила, аминокарбонила, моно- или ди-((С1-С18)-алкил)аминокарбонила, (С6-С14)-арил-(С1-С8)-алкоксикарбонила, который в арильном остатке также может быть замещен, (С1-С8)-алкоксила, (С1-С8)-алкоксикарбонила, при необходимости замещенного (С3-С8)-циклоалкила, тетразолил-(С1-С3)-алкила, трифторметила и R5;
R15 означает R16-(С1-С6)-алкил или R16;
R16 означает 6-24-членный бициклический или трициклический остаток, который является насыщенным или частично ненасыщенным и который также может содержать 1-4 одинаковых или различных гетероатома, выбранных из азота, кислорода и серы и который также может быть замещен одним или несколькими одинаковыми или различными заместителями, выбранными из (С1-С4)-алкила и оксогруппы,
c и d = 1 и f = 0;
е и h независимо друг от друга означают 0 или 1, а g = нуль; во всех их стереоизомерных формах и в виде их смесей в любых соотношениях, а также их физиологически приемлемые соли.
28. 5-Членные гетероциклы формулы (Id) по п.26 и/или п.27, где остаток, которым замещена группа В, представляет собой (С1-С8)-алкильный остаток, во всех их стереоизомерных формах и в виде их смесей в любых соотношениях, а также их физиологически приемлемые соли.
29. 5-Членные гетероциклы формулы (Id) по любому из пп.26-28 и/или их физиологически приемлемые соли, используемые в качестве лекарственного средства.
30. Фармацевтический препарат на основе активного вещества и обычных добавок, отличающийся тем, что в качестве активного вещества он содержит одно или несколько соединений формулы (Id) по любому из пп.26-28 и/или их физиологически приемлемых солей в эффективном количестве и фармацевтически приемлемые носители и/или целевые добавки.
31. 5-Членные гетероциклы формулы (Iе)
где W означает R1-А-С(R13) или R1-A-CH=C;
Y означает карбонил, тиокарбонил или метиленовую группу,
Z означает N(R0), кислород, серу или метиленовую группу;
А означает двухвалентный остаток, выбранный из (С1-С6)-алкилена, (С3-С7)-циклоалкилена, фенилена, фенилен-(С1-С6)-алкила, (С1-C6)-алкиленфенила, фенилен-(C2-C6)-алкенила, или двухвалентный остаток пяти- или шестичленного насыщенного или ненасыщенного цикла, который может содержать 1 или 2 атома изота и может быть одно- или двукратно замещен (С1-С6)-алкилом или дважды связанным кислородом или серой;
В означает двухвалентный остаток, выбранный из (С1-С6)-алкилена, (С2-С6)-алкенилена, фенилена, фенилен-(С1-С3)-алкила и (С1-С3)-алкиленфенила;
D означает C(R2)(R3), N(R3) или СН=С(R3);
Е означает тетразолил, (R8O)2P(O), HOS (O)2, R9NHS(O)2 или R10СО;
R означает водород, (С1-С8)-алкил, (С3-С8)-циклоакил, при необходимости замещенный (С6-С14)-арил или при необходимости замещенный в арильном остатке (С6-С14)-арил-(С1-С8)-алкил;
R0 означает CHO, (С1-С8)-алкил-СО, (С3-С12)-циклоалкил-СО, (С3-С12)-циклоалкил-(С1-С8)-алкил-СО, (С6-С12)-бициклоалкил-СО, (С6-С12)-бициклоалкил-(С1-С8)-алкил-СО, (С6-С12)-трициклоалкил-СО, (С6-С12)-трициклоалкил-(С1-С8)-алкил-СО, при необходимости замещенный (С6-С14)-арил-СО, при необходимости замещенный в арильном остатке (С6-С14)-арил-(С1-C8)-алкил-СО, при необходимости замещенный гетероарил-СО, при необходимости замещенный в гетероарильном остатке гетероарил-(С1-С8)-алкил-СО, (С1-С8)-алкил-S(O)n, (С3-С12)-циклоалкил-S(O)n, (С3-С12)-циклоалкил-(C1-C8)-алкил-S(O)n, (С6-Сl2)-бициклоалкил-S(О)n, (С6-С12)-бициклоалкил-(С1-С8)-алкил-S(О)n, (С6-С12)-трициклоалкил-S(О)n, (C6-C12)-трициклоалкил-(С1-С8)-алкил-S(О)n, при необходимости замещенный (С6-С14)-арил-S(О)n, при необходимости замещенный в арильном остатке (C6-C14)-арил-(С1-С8)-алкил-S(О)n, при необходимости замещенный гетероарил-S(О)n или при необходимости замещенный в гетероарильном остатке гетероарил-(С1-С8)-алкил-S(О)n, причем n = 1 или 2;
R1 означает X-NH-C(=NH)-(СН2)р или X1-NH-(CH2)р, причем р = 0, 1, 2 или 3;
X означает водород, (С1-С6)-алкил, (С1-С6)-алкилкарбонил, (С1-С6)-алкоксикарбонил, (С1-С18)-алкилкарбонилокси-(С1-С6)-алкоксикарбонил, при необходимости замещенный (С6-С14)-арилкарбонил, при необходимости замещенный (С6-С14)-арилоксикарбонил; (С6-С14)-арил-(С1-С6)-алкоксикарбонил, который в арильном остатке также может быть замещен; (R8O)2Р(O), цианогруппу, гидроксил, (С1-С6)-алкоксил; (С6-С14)-арил-(С1-С6)-алкоксил, который в арильном остатке также может быть замещен; или аминогруппу;
Х1 имеет одно из указанных для Х значений или означает R’-NH-C(=NR”), причем R’ и R” независимо друг от друга имеют указанные для Х значения;
R2 означает водород, (С1-C8)-алкил, при необходимости замещенный (С6-С14)-арил, при необходимости замещенный в арильном остатке (С6-С14)-арил-(С1-C8)-алкил или (С3-С8)-циклоалкил;
R3 означает водород, (С1-С8)-алкил, при необходимости замещенный (С6-С14)-арил, при необходимости замещенный в арильном остатке (C6-C14)-арил-(С1-С8)-алкил, (С3-С8)-циклоалкил, (C2-C8)-алкенил, (С2-С8)-алкинил, (С2-С8)-алкенилкарбонил, (С2-С8)-алкинилкарбонил, пиридил, R11NH, R4CO, COOR4, CON(CH3)R14, CONHR14, CSNHR14, COOR15, CON(CH3)R15 или CONHR15;
R4 означает водород или (С1-С28)-алкил, который при необходимости может быть одно- или многократно замещен одинаковыми или различными остатками R4′;
R4′ означает гидроксил, гидроксилкарбонил, аминокарбонил, моно- или ди-((С1-С18)-алкил)-аминокарбонил, амино-(С2-С18)-алкиламинокарбонил, амино-(С1-С3)-алкилфенил-(С1-С3)-алкиламинокарбонил, (С1-С18)-алкилкарбониламино-(С1-С3)-алкилфенил-(С1-С18)-алкиламинокарбонил, (С2-С18)-алкилкарбониламино-(С2-С18)-алкиламинокарбонил; (С6-С14)-арил-(С1-С8)-алкоксикарбонил, который в арильном остатке также может быть замещен; аминогруппу, меркаптогруппу, (С1-С18)-алкоксил, (С1-С18)-алкоксикарбонил, при необходимости замещенный (С3-С8)-циклоалкил, галоген, нитрогруппу, трифторметил или остаток R5;
R5 означает при необходимости замещенный (С6-С14)-арил, при необходимости замещенный в арильном остатке (С6-С14)-арил-(С1-С8)-алкил; моно- или бициклический 5-12-членный гетероцикл, который может быть ароматическим, частично гидрированным или полностью гидрированным и может содержать один, два или три одинаковых или различных гетероатома, выбранных из азота, кислорода и серы; остаток R6 или остаток R6-СО-, причем арильный остаток и независимо от него гетероциклический остаток могут быть одно- или многократно замещены одинаковыми или различными остатками, выбранными из (С1-C18)-алкила, (С1-С18)-алкоксила, галогена, нитрогруппы, аминогруппы или трифторметила;
R6 означает R7R8N, R7О или R7S или аминокислотную боковую цепь, остаток природной или синтетической аминокислоты, иминокислоты, при необходимости N-(С1-С8)-алкилированной или N-((С6-С14)-арил-(С1-С8)-алкилированной) азааминокислоты или дипептида, который в арильном остатке также может быть замещен и/или в котором пептидная связь может быть восстановлена до -NH-CH2-, а также их сложные эфиры и амиды, причем вместо свободных функциональных групп при необходимости может быть водород или гидроксиметил и/или свободные функциональные группы могут быть защищены обычными в химии пептидов защитными группами;
R7 означает водород, (С1-С18)-алкил, (С6-С14)-арил-(С1-С8)-алкил, (С1-С18)-алкилкарбонил, (С1-С18)-алкоксикарбонил, (С6-С14)-арилкарбонил, (C6-C14)-арил-(C1-C8)-алкилкарбонил или (C6-C14)-арил-(C1-C18)-алкоксикарбонил, причем алкильные группы при необходимости замещены аминогруппой и/или арильные остатки могут быть одно- или многократно, предпочтительно однократно, замещены одинаковыми или различными остатками, выбранными из (С1-С8)-алкила, (C1-C8)-алкоксила, галогена, нитрогруппы, аминогруппы и трифторметила; остаток природной или синтетической аминокислоты, иминокислоты, при необходимости N-(С1-С8)-алкилированной или N-((C6-С14)-арил-(С1-С8)-алкилированной) азааминокислоты или дипептида, который в арильном остатке также может быть замещен и/или в котором пептидная связь может быть восстановлена до -NH-CH2-;
R8 означает водород, (С1-С18)-алкил, при необходимости замещенный (С6-С14)-арил или (С6-С14)-арил-(С1-С8)-алкил, который в арильном остатке может быть также замещен;
R9 означает водород, аминокарбонил, (С1-С18)-алкиламинокарбонил, (С3-С8)-циклоалкиламинокарбонил, при необходимости замещенный (С6-С14)-ариламинокарбонил, (С1-С18)-алкил, при необходимости замещенный (С6-С14)-арил или (С3-С8)-циклоалкил;
R10 означает гидроксил, (С1-С18)-алкоксил; (С6-С14)-арил-(С1-С8)-алкоксил, который в арильном остатке также может быть замещен; при необходимости замещенную (C6-С14)-арилоксигруппу, аминогруппу или моно- или ди-((С1-С18)-алкил)аминогруппу;
R11 означает водород, (С1-С18)-алкил, R12СО, при необходимости замещенный (C6-C14)-арил-S(О)2, (C1-C18)-алкил-S(O)2, при необходимости замещенный в арильном остатке (С6-С14)-арил-(С1-C8)-алкил или R9NHS(O)2;
R12 означает водород, (С1-С18)-алкил, (C2-C8)-алкенил, (С2-С8)-алкинил, при необходимости замещенный (C6-C14)-арил, (С1-С18)-алкоксил; (C6-C14)-арил-(С1-С8)-алкоксил, который в арильном остатке также может быть замещен; при необходимости замещенную (С6-С14)-арилоксигруппу, аминогруппу или моно- или ди-((С1-С18)-алкил) аминогруппу;
R13 означает водород, (С1-С6)-алкил, при необходимости замешенный в арильном остатке (С6-С14)-арил-(С1-С8)-алкил или (C3-C8)-циклоалкил;
R14 означает водород или (С1-С28)-алкил, который при необходимости может быть одно- или многократно замещен одинаковыми или различными остатками, выбранными из гидроксила, гидроксикарбонила, аминокарбонила, моно- или ди-((С1-С18)-алкил)аминокарбонила, амино-(С2-С18)-алкиламинокарбонила, амино-(С1-С3)-алкилфенил-(С1-С3)-алкиламинокарбонила, (С1-С18)-алкилкарбониламино-(С1-С3)-алкилфенил-(С1-С3)-алкиламинокарбонила, (С1-С18)-алкилкарбониламино-(С2-С18)-алкиламинокарбонила; (С6-С14)-арил-(С1-С8)-алкоксикарбонила, который в арильном остатке также может быть замещен; аминогруппы, меркаптогруппы, (С1-С18)-алкоксила, (С1-С18)-алкоксикарбонила, при необходимости замещенного (С3-С8)-циклоалкила, HOS(О)2-(С1-С3)-алкила, R9NHS(О)2-(С1-С3)-алкила, (R8O)2P(O)-(C1-C3)-aлкилa, тетразолил-(С1-С3)-алкила, галогена, нитрогруппы, трифторметила и R5;
R15 означает R16-(С1-С6)-алкил или R16;
R16 означает 6-24-членный бициклический или трициклический остаток, который является насыщенным или частично ненасыщенным и который также может содержать 1-4 одинаковых или различных гетероатома, выбранных из азота, кислорода и серы, и который также может быть замещен одним или несколькими одинаковыми или различными заместителями выбранного из (С1-С4)-алкила и оксогруппы;
b, с, d и f независимо друг от друга означают 0 или 1, однако все одновременно не могут означать 0;
е, g и h независимо друг от друга означают 0, 1,2, 3, 4, 5 или 6;
во всех их стереоизомерных формах и в виде их смесей в любых соотношениях, а также их физиологически приемлемые соли.
32. 5-Членные гетероциклы формулы (Iе) по п.31 и/или их физиологически приемлемые соли, используемые в качестве лекарственного средства.
33. Фармацевтический препарат на основе активного вещества и обычных добавок, отличающийся тем, что в качестве активного вещества он содержит одно или несколько соединений формулы (Iе) по п.31 и/или их физиологически приемлемых солей в эффективном количестве и фармацевтически приемлемые носители и/или целевые добавки.
MM4A – Досрочное прекращение действия патента СССР или патента Российской Федерации на изобретение из-за неуплаты в установленный срок пошлины за поддержание патента в силе
Дата прекращения действия патента: 14.11.2006
Извещение опубликовано: 20.12.2007 БИ: 35/2007
|
||||||||||||||||||||||||||

Соединения могут быть использованы для лечения и профилактики воспалительных заболеваний, ревматоидного артрита, аллергических заболеваний и др. 9 с. и 24 з.п. ф-лы.
Предметом настоящего изобретения являются пятичленные гетероциклы формулы (I)
в качестве ингибиторов адгезии и миграции лейкоцитов и/или антагонистов относящегося к группе интегринов рецептора адгезии VLA-4. Изобретение относится к применению соединений формулы (I) и фармацевтических композиций, которые содержат такие соединения, для лечения или профилактики заболеваний, вызываемых или связанных с адгезией и/или миграцией лейкоцитов в нежелательном масштабе или в случае которых играют роль взаимодействия клетка-клетка или клетка-матрица, основывающиеся на взаимодействиях VLA-4-рецепторов с их лигандами, например, таких, как воспалительные процессы, ревматоидный артрит или аллергические заболевания, точно так же, как и к применению соединений формулы (I) для получения лекарственных средств в целях использования их в случае таких заболеваний. Далее, изобретение относится к новым соединениям формулы (I).
Интегрины представляют собой группу рецепторов адгезии, которые играют существенную роль в процессах связывания клетка-клетка или клетка-внеклеточная матрица. Они обладают 
-гетеродимерной структурой, широко распространены в клетках и имеют высокую степень эволютивного сохранения. К интегринам относится, например, фибриногеновый рецептор к тромбоцитам, который взаимодействует прежде всего с RGD-последовательностью фибриногена, или витронектиновый рецептор к остеокластам, который взаимодействует прежде всего с RGD-последовательностью витронектина или остеопонтина. Интегрины подразделяют на три большие группы:
где W означает R1-A-C(R13) или R1-А-СН=С;
Y означает карбонил, тиокарбонил или метиленовую группу;
Z означает N(R0), кислород, серу или метиленовую группу;
А означает двухвалентный остаток, выбранный из ряда (С1-С6)-алкилена, (С3-С7)-циклоалкилена, фенилена, фенилен-(С1–С6)-алкила, (С1-С6)-алкиленфенила, фенилен-(С2-С6)-алкенила, или двухвалентный остаток пяти- или шестичленного насыщенного или ненасыщенного цикла, который может содержать 1 или 2 атома азота и может быть одно- или двукратно замещен (С1-С6)-алкилом или дважды связанным кислородом или серой;
В означает двухвалентный остаток, выбранный из ряда (С1-С6)-алкилена, (С2-С6)-алкенилена, фенилена, фенилен-(С1-С3)-алкила, (С1-С3)-алкиленфенила, причем двухвалентный (С1-С6)-алкиленовый остаток может быть незамещен или может быть замещен остатком, выбранным из ряда, (С1-C8)-алкила, (C2-C8)-алкенила, (С2-С8)-алкинила, (С3-С10)-циклоалкила, (С3-С10)-циклоалкил-(С1-С6)-алкила, при необходимости замещенного (С6-С14)-арила, в арильном остатке при необходимости замещенного (С6-С14)-арил-(С1-С6)-алкила, при необходимости замещенного гетероарила и в гетероарильном остатке при необходимости замещенного гетероарил-(С1-С6)-алкила;
D означает С(R2)(R3), N(R3) или CH=C(R3);
Е означает тетразолил, (Р8О)2Р(O), HOS(O)2, R9NHS(О)2 или R10CO;
R означает водород, (С1-С8)-алкил, (С3-С8)-циклоалкил, при необходимости замещенный (С6-С14)-арил или в арильном остатке при необходимости замещенный (С6-С14)-арил-(С1-С8)-алкил;
R0 означает водород, (С1-С8)-алкил, (С3-С12)-циклоалкил, (С3-С12) -циклоалкил-(C1-C8)-алкил, (C6-С12)-бициклоалкил, (С6-С12)-бициклоалкил-(С1-С8)-алкил, (С6-С12)-трициклоалкил, (С6-С12)-трициклоалкил-(С1-С8)-алкил, при необходимости замещенный (С6-С14)-арил, в арильном остатке при необходимости замещенный (С6-С14)-арил-(С1-С8)-алкил, при необходимости замешенный гетероарил, в гетероарильном остатке при необходимости замещенный гетероарил-(С1-С8)-алкил, СНО, (С1-С8)-алкил-СО, (С3-С12)-циклоалкилкарбонил, (С3-С12)-циклоалкил-(С1-С8)-алкил-СО-, (С6-С12)-бициклоалкил-СО, (С6-С12)-бициклоалкил-(С1-С8)-алкил-СО, (С6-С12)-трициклоалкил-СО, (С6-С12)-трициклоалкил-(С1-С8)-алкил-СО, при необходимости замещенный (С6-С14)-арил-СО, при необходимости замещенный в арильном остатке (С6-С14)-арил-(С1-С8)-алкил-СО, при необходимости замещенный гетероарил-СО, в гетероарильном остатке при необходимости замещенный гетероарил-(С1-С8)-алкил-СО, (С1-С8)-алкил-S(O)n, (С3-С12)-циклоалки-S(O)n, (С3-С12)-циклоалкил-(С1-С8)-алкил-S(О)n, (С6-С12)-бициклоалкил-S(О)n, (С6-С12)-бициклоалкил-(С1-С8)-алкил-S(О)n, (С6-С12)-трициклоалкил-S(О)n, (С6-С12)-трициклоалкил-(С1-С8)-алкил-S(О)n, при необходимости замещенный (С6-С14)-арил-S(О)n, при необходимости замещенный в арильном остатке (С6-С14)-арил-(C1-C8)-алкил-S(О)n, при необходимости замещенный гетероарил-S(O)n или при необходимости замещенный в гетероарильном остатке гетероарил-(С1-С8)-алкил-S(O)n, причем n означает 1 или 2;
R1 означает X-NH-C(=NH)-(CH2)p или X1-NH-(CH2)p, причем р означает 0, 1, 2 или 3;
X означает водород, (C1-C6)-алкил, (С1-С6)-алкилкарбонил, (С1-С6)-алкоксикарбонил, (С1-С18)-алкилкарбонилокси-(С1-С6)-алкоксикарбонил, при необходимости замещенный (С6-С14)-арилкарбонил, при необходимости замещенный (С6-C14)-арилоксикарбонил; (C6-C14)-арил-(C1-C6)-алкоксикарбонил, который в арильном остатке также может быть замещен; (R8О)2Р(О), цианогруппу, гидроксил, (С1-С6)-алкоксил; (С6-С14)-арил-(С1-С6)-алкоксил, который в арильном остатке также может быть замещен; или аминогруппу;
Х1 имеет одно из указанных для Х значений или означает R’-NH-C(=N-R”), причем R’ и R”, независимо друг от друга, имеют указанные для Х значения;
R2 означает водород, (С1-С8)-алкил, при необходимости замещенный (С6-С14)-арил, при необходимости замещенный в арильном остатке (С6-С14)-арил-(С1-С8)-алкил или (С3-С8)-циклоалкил;
R3 означает водород, (С1-С8)-алкил, при необходимости замещенный (С6-С14)-арил, при необходимости замещенный в арильном остатке (С6-С14)-арил-(С1-С8)-алкил, (С3-С8)-циклоалкил, (С2-С8)-алкенил, (С2-С8)-алкинил, (С2-С8)-алкенилкарбонил, (С2-С8)-алкинилкарбонил, пиридил, R11NH, R4CO, COOR4, CON(CH3)R14, CONHR14, CSNHR14, COOR15, CON(CH3)R15 или CONHR15;
R4 означает водород или (С1-С28)-алкил, который при необходимости одно- или многократно может быть замещен одинаковыми или различными остатками R4′;
R4′ означает гидроксил, гидроксикарбонил, аминокарбонил, моно- или ди-((С1-С18)-алкил)-аминокарбонил, амино-(С2-С18)-алкиламинокарбонил, амино-(С1-С3)-алкилфенил-(С1-С3)-алкиламинокарбонил, (С1-С18)-алкилкарбониламино-(С1-С3)-алкилфенил-(С1-С3)-алкиламинокарбонил, (С1-С-18)-алкилкарбониламино-(С2-С18)-алкиламинокарбонил; (С6-С14)-арил-(С1-С8)-алкоксикарбонил, который в арильном остатке также может быть замещен; аминогруппу, меркаптогруппу, (С1-С18)-алкоксил, (С1-С18)-алкоксикарбонил, при необходимости замещенный (С3-С8)-циклоалкил, галоген, нитрогруппу, трифторметил или осаток 5;
R5 означает при необходимости замещенный (С6-С14)-арил, при необходимости замещенный (С6-С14)-арил-(С1-С8)-алкил; моно- или бициклический 5-12-членный гетероцикл, который может быть ароматическим, частично гидрированным или полностью гидрированным или может содержать 1, 2 или 3 одинаковых или различных гетероатома, выбранных из ряда азота, кислорода и серы; остаток R6 или остаток R6СО-, причем арильный и независимо от него гетероциклический остатки могут быть одно- или многократно замещены одинаковыми или различными остатками, выбранными из ряда (С1-С18)-алкила, (С1-С18)-алкоксила, галогена, нитрогруппы, аминогруппы или трифторметила;
R6 означает R7R8N, R7О или R7S или аминокислотную боковую цепь, остаток природной или синтетической аминокислоты, иминокислоты, при необходимости N-(С1-С8)-алкилированной или N-((С6-С14)-арил-(С1-С8)-алкилированной) азааминокислоты или дипептида, который в арильном остатке также может быть замещен и/или в котором пептидная связь может быть восстановлена до -NH-CH2-, а также их сложные эфиры и амиды, причем вместо свободных функциональных групп может быть водород или гидроксиметил и/или причем свободные функциональные группы могут быть защищены обычными в химии пептидов защитными группами;
R7 означает водород, (С1-С18)-алкил, (С6-С14)-арил-(С1-С8)-алкил, (С1-С18)-алкилкарбонил, (С1-С18)-алкоксикарбонил, (С6-С14)-арилкарбонил, (С6-С14)-арил-(С1-С8)-алкилкарбонил или (С6-С14)-арил-(С1-С18)-алкоксикарбонил, причем алкильные группы при необходимости могут быть замещены аминогруппой и/или причем арильные остатки могут быть одно- или многократно, предпочтительно однократно, замещены одинаковыми или различными остатками, выбранными из ряда (C1-C8)-алкила, (C1-C8)-алкоксила, галогена, нитрогруппы, аминогруппы и трифторметила; остаток природной или синтетической аминокислоты, иминокислоты, при необходимости N-(С1-С8)-алкилированной или N-((С6-С14)-арил-(С1-С8)-алкилированной) азааминокислоты или дипептида, который в арильной части также может быть замещен и/или в котором пептидная связь может быть восстановлена до -NH-CH2-;
R8 означает водород, (С1-С18)-алкил, при необходимости замещенный (С6-С14)-арил или (C6-C14)-арил-(С1-С8)-алкил, который в арильном остатке также может быть замещен;
R9 означает водород, аминокарбонил, (С1-С18)-алкиламинокарбонил, (С3-С8)-циклоалкиламинокарбонил, при необходимости замещенный (С6-С14)-ариламинокарбонил, (С1-С18)-алкил, при необходимости замещенный (С6-С14)-арил или (С3-С8)-циклоалкил;
R10 означает гидроксил, (С1-С18)-алкоксил, (С6-С14)-арил-(С1-С8)-алкоксил, который в арильном остатке также может быть замещен; при необходимости замещенную (С6-С14)-арилоксигруппу, аминогруппу или моно- или ди-((С1-С18)-алкил)аминогруппу;
R11 означает водород, (С1-С18)-алкил, R12СО, при необходимости замещенный (С6-С14)-арил-S(О)2, (С1-С18)-алкил-S(O)2, при необходимости замещенный в арильном остатке (С6-С14)-арил-(С1-С8)-алкил или R9NHS(O2);
R12 означает водород, (С1-С18)-алкил, (C2-C8)-алкенил, (С2-С8)-алкинил, при необходимости замещенный (С6-С14)-арил, (С1-С18)-алкоксил; (С6-С14)-арил-(С1-С8)-алкоксил, который в арильном остатке может быть замещен; при необходимости замещенную (С6-С14 )-арилоксигруппу, аминогруппу или моно- или ди-((С1-С18)-алкил)-аминогруппу;
R13 означает водород, (С1-С6)-алкил, при необходимости замещенный в арильном остатке (С6-С14)-арил-(С1-С8)-алкил или (С3-С8)-циклоалкил;
R14 означает водород или (С1-С28)-алкил, который при необходимости может быть одно- или многократно замещен одинаковыми или разными остатками, выбранными из ряда гидроксила, гидроксикарбонила, аминокарбонила, моно- или ди-((С1-С18)-алкил)аминокарбонила, амино-(С2-С18)-алкиламинокарбонила, амино-(С1-С3)-алкилфенил-(С1-С3)-алкиламинокарбонила, (С1-С18)-алкилкарбониламино-(С1-С3)-алкилфенил-(С1-С3)-алкиламинокарбонила, (С1-С18)-алкилкарбониламино-(С2-С18)-алкиламинокарбонила; (С6-С14)-арил-(С1-С8)-алкоксикарбонила, который в арильном остатке также может быть замещен; аминогруппы, меркаптогруппы, (С1-С18)-алкоксила, (С1-С18)-алкоксикарбонила, при необходимости замещенного (С3-С8)-циклоалкила, HOS(О)2-(С1-С3)-алкила, R9NHS(О)2-(С1-С3)-алкила, (R8О)2Р(О)-(С1-С3)-алкила, тетразолил-(С1-С3)-алкила, галогена, нитрогруппы, трифторметила и R5;
R15 означает R16-(С1-С6)-алкил или R16;
R16 означает 6-24-членный бициклический или трициклический остаток, который является насыщенным или частично ненасыщенным и который также может содержать 1-4 одинаковых или различных гетероатома, выбранных из ряда азота, кислорода и серы и который также может быть замещен одним или несколькими одинаковыми или различными заместителями из ряда, состоящего из (С1-С4)-алкила и оксогруппы;
b, с, независимо друг от друга, означают 0 или 1, однако
d и f все одновременно не могут означать нуль;
е, g и h, независимо друг от друга, означают 0, 1, 2, 3, 4, 5 или 6;
во всех их стереоизомерных формах и в виде их смесей в любых соотношениях; а также их физиологически приемлемых солей для получения лекарственных средств в целях ингибирования адгезии и/или миграции лейкоцитов или для ингибирования VLA-4-рецептора, следовательно, лекарственных средств для лечения или профилактики заболеваний, при которых в нежелательном масштабе имеет место адгезия лейкоцитов и/или миграция лейкоцитов, или заболеваний, при которых играют роль VLA-4-зависимые адгезивные процессы, например, как воспалительные заболевания, а также к применению соединений формулы (I) при лечении и профилактики такого рода заболеваний.
Алкильные остатки могут быть линейными или разветвленными. Это имеет значение также тогда, когда они содержат заместители или находятся в качестве заместителей других остатков, например, в алкоксильных, алкоксикарбонильных или аралкильных остатках. Соответствующее действует для алкиленовых остатков. Примерами пригодных (С1-С28)-алкильных остатков являются следующие: метил, этил, пропил, бутил, пентил, гексил, гептил, октил, децил, ундецил, додецил, тридецил, пентадецил, гексадецил, гептадецил, нонадецил, эйкозил, докозил, трикозил, пентакозил, гексакозил, гептакозил, октакозил, изопропил, изобутил, изопентил, неопентил, изогексил, 3-метилфенил, 2,3,5-триметилгексил, втор.-бутил, трет.-бутил, трет.-пентил. Предпочтительными алкильными остатками являются метил, этил, пропил, изопропил, бутил, изобутил, втор.-бутил и трет.-бутил. Примерами алкиленовых остатков являются метилен; этилен; три-, тетра-, пента- и гексаметилен или замещенный алкильным остатком метилен, например метилен, который замещен метильной группой, этильной группой, изопропильной группой, изобутильной группой или трет.-бутильной группой.
Также алкенильный и алкениленовый остатки, а также алкинильные остатки могут быть линейными или разветвленными. Примерами алкенильных остатков являются винил, пропен-1-ил, пропен-2-ил (=аллил), бутенил, 3-метилбутен-2-ил; примерами алкениленовых остатков являются винилен или пропенилен; примерами алкинильных остатков являются этинил, пропин-1-ил или пропин-2-ил (=пропаргил).
Циклоалкильными остатками являются в особенности циклопропил, циклобутил, циклопентил, циклогексил, циклогептил, циклооктил, циклононил, циклодецил, циклоундецил и циклододецил, которые, однако, также могут быть замещены, например, с помощью (С1-С4)-алкила. В качестве примеров замещенных циклоалкильных остатков следует назвать 4-метилциклогексил и 2,3-диметилциклогексил. Аналогичное относится к циклоалкиленовым остаткам.
Обозначаемые как R16 6-24-членные бициклические и трициклические остатки обычно получают путем удаления одного атома водорода из бициклического, соответственно трициклического соединения. Соответствующие исходные бициклы и трициклы в качестве членов цикла могут содержать только атомы углерода, следовательно, речь может идти о бициклоалканах или трициклоалканах; однако они также могут содержать 1-4 одинаковых или разных гетероатома, выбранных из ряда, состоящего из азота, кислорода и серы, следовательно, речь может также идти об аза-, окса- и тиабицикло- и -трициклоалканах. Если содержатся гетероатомы, то предпочтительно содержатся один или два гетероатома, в особенности атомы азота или кислорода. Гетероатомы могут занимать любые положения в би-, соответственно трициклическом каркасе, они могут находиться в мостиках или в случае атомов азота также в головных частях мостиков. Как бицикло- и трициклоалканы, так и их гетероаналоги могут быть полностью насыщенными соединениями или могут содержать одну или несколько двойных связей; предпочтительно они содержат одну или две двойные связи или в особенности они являются полностью насыщенными. Как бицикло- и трициклоалканы, так и гетероаналоги, и как насыщенные, так и ненасыщенные их представители могут быть незамещены или могут быть замещены в любых пригодных положениях одной или несколькими оксогруппами и/или одной или несколькими одинаковыми или различными (С1-С4)-алкильными группами, например метильными или изопропильными группами, предпочтительно метильными группами. Свободная связь би- или трициклического остатка может находиться в любом положении молекулы, следовательно, остаток может быть связан через головной мостиковый атом или атом в мостике. Свободная связь может также находиться в любом с точки зрения стереохимии положении, например в экзо- или эндо-положении.
Примерами основ бициклических систем, от которых может получаться бициклический остаток, являются норборнан (=бицикло/2.2.1/гептан), бицикло/2.2.2/октан и бицикло/3.2.1/ октан. Примерами содержащих гетероатомы систем, ненасыщенных или насыщенных систем являются 7-азабицикло/2.2.1/гептан, бицикло/2.2.2/окт-5-ен или 1,7,7-триметил-2-оксобицикло/2. 2.1/гептан.
Примерами систем, от которых можно производить трициклический остаток, являются твистан (=трицикло/4.4.0.03,8) декан), адамантан (=трицикло/3.3.1.13,7)декан), норадамантан (=трицикло/3.3.1.03,7)-нонан), трицикло/2.2.1.02,6/гептан, трицикло/5.3.2.04,9/додекан, трицикло/5.4.0.02,9/ундекан или трицикло/5.5.1.03,11/тридекан.
Бициклические или трициклические остатки предпочтительно производятся от мостиковых бициклов, соответственно трициклов, следовательно, от систем, в которых циклы имеют общими два или более чем два атомов. Далее, также предпочтительны бициклические или трициклические остатки с 6-18 циклическими атомами, особенно таковые с 7-12 циклическими атомами.
В частности, особенно предпочтительными би- и трициклическими остатками являются 2-норборнильный остаток, также как таковые со свободной связью в экзо-положении, как и таковые со свободной связью в эндо-положении, 2-бицикло-/3.2.1/октильный остаток, 1-адамантильный остаток, 2-адамантильный остаток и норадамантильный остаток, например 3-норадамантильный остаток. Кроме того, предпочтительны 1- и 2-адамантильный остатки.
(С6-С14)-арильными группами являются, например, фенил, нафтил, бифенилил, антрил или флуоренил, причем предпочтительны 1-нафтил, 2-нафтил и в особенности фенил. Арильные остатки, в особенности фенильные остатки, могут быть одно- или многократно, предпочтительно однократно, двукратно или трехкратно, замещены одинаковыми или различными остатками из ряда, состоящего из (С1-С8)-алкила, в особенности (С1-С4)-алкила, (С1-С8)-алкоксила, в особенности (С1-С3)-алкоксила, галогена, нитрогруппы, аминогруппы, трифторметила, гидроксила, метилендиоксигруппы, этилендиоксигруппы, цианогруппы, гидроксикарбонила, аминокарбонила, (С1-С4)-алкоксикарбонила, фенила, феноксигруппы, бензила (R8O)2P(O), (R8О)2Р(О)-О-, тетразолила. Соответствующее действует, например, для таких остатков, как аралкил или арилкарбонил. Аралкильными остатками являются в особенности бензил, а также 1- и 2-нафтилметил, 2-, 3- и 4-бифенилилметил и 9-фторенилметил, которые также могут быть замещены. Замещенными аралкильными остатками являются, например, замещенный в арильной части одним или несколькими (С1-С8)-алкильными остатками, в особенности (С1-С4)-алкильными остатками, бензил и нафтилметил, например, как 2-, 3- и 4-метилбензил, 4-изобутилбензил, 4-трет.-бутилбензил, 4-октилбензил, 3,5-диметилбензил, пентаметилбензил; 2-, 3-, 4-, 5-, 6-, 7- и 8-метил-1-нафтилметил; 1-, 3-, 4-, 5-, 6-, 7- и 8-метил-2-нафтилметил; замещенный в арильной части одним или несколькими (С1-С8)-алкоксильными остатками, в особенности (С1-С4)-алкоксильными остатками, бензил или нафтилметил, например 4-метоксибензил, 4-неопентилоксибензил, 3,5-диметоксибензил, 3,4-метилендиоксибензил, 2,3,4-триметоксибензил, далее, 2-, 3- и 4-нитробензил, галогенбензил, например 2-, 3- и 4-хлорбензил и 2-, 3- и 4-фторбензил, 3,4-дихлобензил, пентафторбензил, трифторметилбензил, например 3- и 4-трифторметилбензил или 3,5-бис (трифторметил)бензил. Замещенные аралкильные остатки, однако, также могут иметь различные заместители. Примерами пиридила являются 2-пиридил, 3-пиридил и 4-пиридил.
В монозамещенных фенильных остатках заместитель может находиться в положении 2, 3 или 4, причем предпочтительны положения 3 и 4. Если фенил замещен двукратно, то заместители могут находиться в положении 1,2, 1,3 или 1,4 по отношению друг к другу. Двукратно замещенный фенил, следовательно, может быть замещен в положении 2, 3, в положении 2, 4, в положении 2, 5, в положении 2, 6, в положении 3, 4 или в положении 3, 5, по отношению к месту связывания. В двукратно замещенных фенильных остатках предпочтительно оба заместителя находятся в положении 3 и в положении 4 по отношению к месту соединения. Соответствующее действует для фениленовых остатков, которые могут быть, например, в виде 1,4-фенилена или в виде 1,3-фенилена.
Фенилен-(С1-С6)-алкил представляет собой в особенности фениленметил и фениленэтил. Фенилен-(С2-С6)-алкенил представляет собой в особенности фениленэтенил и фениленпропенил.
Моно- или бициклическими 5-12-членными гетероциклами являются, например, пирролил, фурил, тиенил, имидазолил, пиразолил, оксазолил, изоксазолил, тиазолил, изотиазолил, тетразолил, пиридил, пиразинил, пиримидинил, индолил, изоиндолил, индазолил, фталазинил, хинолил, изохинолил, хиноксалинил, хиназолинил, циннолинил или бензанеллированное, циклопента-, циклогекса- или циклогепта-аннелированное производное этих остатков.
Если не указано ничего другого, эти гетероциклы могут быть замещены по атому азота (С1-С7)-алкилом, например метилом или этилом, фенилом или фенил-(С1-С4)-алкилом, например бензилом, и/или по одному или нескольким атомам углерода – (С1-С4)-алкилом, галогеном, гидроксилом, (С1-С4)-алкоксилом, например бензилоксигруппой или оксогруппой, и могут быть ароматическими или частично или полностью насыщенными. Азотсодержащие гетероциклы могут быть также в виде N-оксидов.
Остатки ароматических гетероциклов, следовательно, гетероарильные остатки, предпочтительно содержат пятичленный гетероцикл или шестичленный гетероцикл с одним, двумя, тремя или четырьмя, в особенности одним или двумя, одинаковыми или различными гетероатомами, выбранными из ряда азота, кислорода и серы, который также может быть аннелирован, например бензаннелирован, и который может быть замещен одним или несколькими, например одним, двумя, тремя или четырьмя, одинаковыми или различными заместителями. В качестве заместителей используют, например, (С1-С8)-алкил, в особенности (С1-С4)-алкил, (С1-С8)-алкоксил, в особенности (С1-С4)-алкоксил, галоген, нитрогруппу, аминогруппу, трифторметил, гидроксил, метилендиоксигруппу, этилендиоксигруппу, цианогруппу, гидроксикарбонил, аминокарбонил, (С1-С4)-алкоксикарбонил, фенил, феноксигруппу, бензил, бензиоксигруппу (R8О)2-Р(O), (R8O)2Р(O)-O- или тетразолил.
Примерами гетероциклических остатков являются 2- или 3-пирролил, фенилпирролил, например 4- или 5-фенил-2-пирролил, 2-фурил, 3-фурил, 2-тиенил, 3-тиенил, 4-имидазолил, метилимидазолил, например 1-метил-2-, -4- или -5-имидазолил; 1,3-тиазол-2-ил; -2-пиридил, -3-пиридил и -4-пиридил; -2-, -3- или -4-пиридил-N-оксид; 2-пиразинил; -2-, -4- или -5-пиримидил; -2-, -3- или -5-индолил; замещенный 2-индолил, например 1-метил-, 5-метил-, 5-метокси-, 5-бензилокси-, 5-хпор- или 4,5-диметил-2-индолил; 1-бензил-2- или -3-индолил; 4,5,6,7-тетрагидро-2-индолил; циклогепта/b/-5-пирролил; -2-, -3- или -4-хинолил; -1-, -3- или -4-изохинолил; 1-оксо-l,2-дигидро-3-изохинолил; 2-хиноксалинил; 2-бензофуранил; 2-бензотиенил; 2-бензоксазолил или бензотиазолил. Частично гидрированными или полностью гидрированными гетероциклами являются, например, дигидропиридинил, пирролидинил, например -2-, -3- или -4-(N-метилпирролидинил), пиперазинил, морфолинил, тиоморфолинил, тетрагидротиенил, бензодиоксоланил.
Галоген означает фтор, хлор, бром или йод, в особенности фтор или хлор.
Природные или синтетические аминокислоты, если они хиральные, могут находиться в D- или L-форме. Предпочтительными являются
Abu, ABz, 2ABz,
Aca, Ach, Acp, Adpd, Ahb, Aib,
А1а, Alg, All, Ama, Amt, Ape, Apm, Apr, Arg, Asn, Asp, Asu, Aze, Azi, Bai, Bph, Can, Cit, Cys, (Cys)2, Cyta, Daad, Dab, Dadd, Dap, Dapm, Dasu, Djen, Dpa, Dtc, Fel, Gln, Glu, Gly, Guv, hAla, hArg, hCys, hGln, hGlu, His, hlle, hLeu, hLys, hMet, hPhe, hPro, hSer, hThr, hTrp, hTyr, Hyl, Hyp, 3Нур, Ile, Ise, Iva, Kyn, Lant, Lcn, Leu, Lsg, Lys,
заменен на
В качестве остатка иминокислоты в особенности используют остатки гетероциклов из следующей группы: пирролидин-2-карбоновая кислота; пиперидин-2-карбоновая кислота; 1,2,3,4-тетрагидроизохинолин-3-карбоновая кислота; декагидроизохинолин-3-карбоновая кислота; октагидроиндол-2-карбоновая кислота; декагидрохинолин-2-карбоновая кислота; октагидроциклопента/b/пиррол-2-карбоновая кислота; 2-азабицикло/2.2.2/-октан-3-карбоновая кислота; 2-азабицикло/2.2.1/гептан-3-карбоновая кислота; 2-азабицикло/3.1.0)гексан-3-карбоновая кислота; 2-азаспиро/4.4./нонан-3-карбоновая кислота; 2-азаспиро/4.5/декан-3-карбоновая кислота; спиро(бицикло/2.2.1/гептан)-2,3-пирролидин-5-карбоновая кислота, спиро(бицикло/2.2.2/октан)-2,3-пирролидин-5-карбоновая кислота; 2-азатрицикло/4.3.0.16,9/декан-3-карбоновая кислота; декагидроциклогепта/b/пиррол-2-карбоновая кислота; декагидроциклоокта/с/пиррол-2-карбоновая кислота; октагидроциклопента/с/ пиррол-2-карбоновая кислота; октагидроизоиндол-1-карбоновая кислота; 2,3,3а,4,6а-гексагидроциклопента/b/пиррол-2-карбоновая кислота; 2,3,3а,4,5,7а-гексагидроиндол-2-карбоновая кислота; тетрагидротиазол-4-карбоновая кислота; изоксазолидин-3-карбоновая кислота; пиразолидин-3-карбоновая кислота; гидроксипирролидин-2-карбоновая кислота, причем все они при необходимости могут быть замещены (см. следующие формулы):
;
;
;
;
;
;
;
;
;
;
;
;
;
;
;
;
;
;
;
;
;
;
;
;
.
Составляющие основу вышеуказанных остатков гетероциклы известны, например, из заявок на патенты США №4344949, 4374847, 4350704; из европейских патентных заявок №29488, 31741, 46953, 49605, 49658, 50800, 51020, 52870, 79022, 84164, 89637, 90341, 90362, 105102, 109020, 111873, 271865 и 344682.
Дипептиды в качестве структурных элементов могут содержать природные или синтетические аминокислоты, иминокислоты, а также азааминокислоты. Далее, природные или синтетические аминокислоты, иминокислоты, азааминокислоты и дипептиды также могут находиться в виде сложных эфиров, соответственно амидов, как, например, в виде сложного метилового, этилового, изопропилового, изобутилового, трет.-бутилового, бензилового эфира; незамещенного амида, этиламида, семикарбазида или -амино-(С2-С8)-алкиламида.
Функциональные группы аминокислот, иминокислот и дипептидов могут быть защищены. Пригодные защитные группы, как, например, защитные для уретановой функции группы, защитные для карбоксильной функции группы и защитные группы боковых цепей описываются у Hubbuch, Kontakte (Merck) 1979, №3, с.14-23, и у Bullesbach, Kontakte (Merck) 1980, №1, с.23-35. В особенности следует назвать: Aloc, Pyoc, Fmoc, Tcboc, Z, Воc, Ddz, Врос, Adoc, Msc, ос, Z(NO2), Z(Hal)n, Bobz, Iboc, Adpoc, Mboc, Acm, tert-Butyl, OBzL, ONbzl, OMbzl, Bzl, Mob, Pic, Trt.
Физиологически приемлемыми солями соединений формулы (I) являются в особенности фармацевтически применимые или нетоксичные соли.
Такие соли, например, соединений формулы (I), которые содержат кислые группы, например карбоксил, образуются со щелочными или щелочноземельными металлами, как, например, натрий, калий, магний и кальций, а также с физиологически приемлемыми органическими аминами, как, например, триэтиламин, этаноламин или трис(2-гидроксиэтил)амин.
Соединения формулы (I), которые содержат основные группы, например аминогруппу, амидиногруппу или гуанидиногруппу, образуют соли с неорганическими кислотами, как, например, соляная кислота, серная кислота или фосфорная кислота, и с органическими карбоновыми или сульфоновыми кислотами, как, например, уксусная кислота, лимонная кислота, бензойная кислота, малеиновая кислота, фумаровая кислота, винная кислота, метансульфокислота или п-толуолсульфокислота.
Соли соединений формулы (I) можно получать обычными, известными специалисту способами, например, путем соединения с органической или неорганической кислотой или основанием в растворителе или в диспергаторе, или также путем анионного обмена или катионного обмена из других солей.
Соединения формулы (I) могут находиться в стереоизомерных формах. Если соединения формулы (I) содержат один или несколько асимметрических центров, то они, независимо друг от друга, могут иметь S-конфигурацию или R-конфигурацию. К изобретению относятся все возможные стереоизомеры, например энантиомеры и диастереомеры, и смеси двух или более стерео-изомерных форм, например смеси энантиомеров и/или диастереомеров, в любых соотношениях. Энантиомеры, следовательно, в энантиомерно чистой форме, как в виде левовращающих, так и в виде правовращающих антиподов, в форме рацематов и в форме смесей обоих энантиомеров в любых соотношениях составляют предмет изобретения. При наличии цис/транс-изомерии как цис-форма, так и транс-форма и смеси этих форм также составляют предмет изобретения.
Предлагаемые согласно изобретению соединения формулы (I), кроме того, могут содержать подвижные атомы водорода, следовательно, находиться в различных таутомерных формах. Также все эти таутомеры составляют предмет настоящего изобретения. Настоящее изобретение, далее, включает все сольваты соединений формулы (I), например гидраты или аддукты со спиртами, а также производные соединений формулы (I), например сложные эфиры, пролекарства и метаболиты, которые действуют как соединения формулы (I).
Отдельные структурные элементы формулы (I) имеют предпочтительно следующие значения:
W означает предпочтительно R1-A-C(R13);
А означает предпочтительно метилен, этилен, триметилен, тетраметилен, пентаметилен, циклогексилен, фенилен, фениленметил или фениленэтил;
Y означает предпочтительно карбонильную группу;
Z означает предпочтительно N(R0);
В означает предпочтительно метилен, этилен, триметилен, тетраметилен, винилен, фенилен или замещенный метилен или этилен. Особенно предпочтительно В означает двухвалентный метиленовый или этиленовый остаток (=1,2-этилен), причем каждый из этих остатков незамещен или может быть замещен, в особенности представляет собой незамещенный или замещенный метиленовый остаток. В особенности предпочтительно оба этих остатка замещены. Если обозначающий В двухвалентный метиленовый остаток или этиленовый остаток (=1,2-этилен) замещен, то предпочтительно он замещен остатком из ряда, состоящего из (С1-С8)-алкила, (С2-С6)-алкенила, (С2-С6)-алкинила, (C3-C8)-циклоалкила, в особенности (C5-C6)-циклоалкила, (С3-С8)-циклоалкил-(С1-С4)-алкила, в особенности (С5-С6)-циклоалкил-(С1-С4)-алкила, при необходимости замещенного (С6-С10)-арила, при необходимости замещенного в арильном остатке (С6-С10)-арил-(С1-С4)-алкила, при необходимости замещенного гетероарила или при необходимости замещенного в гетероарильном остатке гетероарил-(С1-С4)-алкила; и особенно предпочтительно он замешен (С1-С8)-алкилом, следовательно, линейным или разветвленным алкильным остатком с 1-8 атомами углерода;
D означает предпочтительно С(R2)(R3);
Е означает предпочтительно R10СО;
R означает предпочтительно водород, (С1-С6)-алкил или бензил, в особенности водород, метил или этил;
R0 означает предпочтительно (С1-С8)-алкил, (С3-С8)-циклоалкил, (С3-С8)-циклоалкил-(С1-С4)-алкил, при необходимости замещенный (С6-С14)-арил или при необходимости замещенный в арильном остатке (С6-С14)-арил-(С1-С8)-алкил. R0 особенно предпочтительно означает (С1-С8)-алкил, (С3-С8)-циклоалкил, при необходимости замещенный (С6-С14)-арил или при необходимости замещенный в арильном остатке (С6-С14)-арил-(С1-С8)-алкил; в особенности предпочтительно при необходимости замещенный в арильном остатке (С6-С14)-арил или при необходимости замещенный в арильном остатке (С6-С14)-арил-(С1-С8)-алкил; сверх того, предпочтительно при необходимости замещенный в арильном остатке (С6-С14)-арил-(С1-С4)-алкил. В частности, предпочтительно, когда R0 означает незамещенный или однократно или многократно замещенный в арильном остатке бифенилилметил, нафтилметил или бензил;
R1 означает предпочтительно X-NH-C(=NH), X-NH(C=NX)-NH или X-NH-CH2;
X и Х1 означают предпочтительно водород, (С1-С6)-алкилкарбонил, (С1-С6)-алкоксикарбонил, (С1-С18)-алкилкарбонилокси-(С1-С6)-алкоксикарбонил или (С6-С14)-арил-(С1-С6)-алкоксикарбонил, гидроксил; Х1 к тому же означает R’-NH-C(=N-R”), причем R’ и R”, независимо друг от друга, имеют указанные для Х предпочтительные значения;
R2 означает предпочтительно водород или (С1-С8)-алкил;
R3 означает предпочтительно (С1-С8)-алкил, при необходимости замещенный (С6-С14)-арил, при необходимости замещенный в арильном остатке (С6-С14)-арил-(С1-С8)-алкил, (С3-С8)-циклоалкил, (С2-С8)-алкенил, (С2-С8)-алкинил, пиридил, R11NH, R4CO, COOR4, CON(CH3)R14, CORH14, CSNHR14, COOR15, CON(CH3)R15 или CONHR15; особенно предпочтительно при необходимости замещенный (C6-C14)-арил, R11NH, CON(CH3)R14 или CONНR14;
R4 и R14 означают предпочтительно (С1-С8)-алкил, который при необходимости может быть замещен как указано в определении R4, соответственно R14;
R13 означает предпочтительно водород и в особенности (С1-С6)-алкил, (С3-С8)-циклоалкил или бензил, причем в особенности предпочтительным алкильным остатком, означающим R13, является метильныи остаток;
R15 означает предпочтительно R16-(С1-С3)-алкил или R16, особенно предпочтительно R16-(С1)-алкил или R16. Сверх того, когда R3 означает COOR15, R15 предпочтительно означает экзо-2-норборнил, эндо-2-норборнил или бицикло/3.2.1/октил, а тогда, когда R3 означает CONHR15, R15 означает экзо-2-норборнил, эндо-2-норборнил, 3-норадамантил и в особенности 1-адамантил, 2-адамантил, 1-адамантилметил или 2-адамантилметил;
R16 означает предпочтительно 7-12-членный мостиковый бициклический или трициклический остаток, который является насыщенным или частично ненасыщенным и который также может содержать 1-4 одинаковых или различных гетероатома, выбранных из ряда азота, кислорода и серы, и который также может быть замещен одним или несколькими одинаковыми или различными заместителями, выбранными из ряда (С1-С4)-алкила и оксогруппы;
b, с и d, независимо друг от друга, означают 1;
е, g и h, независимо друг от друга, означают предпочтительно числа 0, 1, 2 или 3.
Предпочтительными для предлагаемого согласно изобретению применения соединениями являются такие, в которых в формуле (I) символы имеют одновременно следующие значения:
W означает R1-A-C(R13) или R1-A-CH=C;
Y означает карбонил, тиокарбонил или метиленовую группу;
Z означает N(R0), кислород, серу или метиленовую группу;
А означает двухвалентный остаток, выбранный из ряда (С1-С6)-алкилена, (С3-С7)-циклоалкилена, фенилена, фенилен-(С1-С6)-алкила, (С1-С6)-алкиленфенила, фенилен-(C2-C6)-алкенила, или двухвалентный остаток пяти- или шестичленного насыщенного или ненасыщенного цикла, который может содержать 1 или 2 атома азота и может быть одно- или двукратно замещен (С1-С6)-алкилом или дважды связанным кислородом или серой;
В означает двухвалентный остаток, выбранный из ряда (С1-С6)-алкилена, (С2-С6)-алкенилена, фенилена, фенилен-(С1-С3)-алкила, (С1-С3)-алкиленфенила;
D означает C(R2)(R3), N(R3) или CH=C(R3);
Е означает тетразолил, (R8O)2P(O), HOS(O)2, R9NHS(O)2 или R10СО;
R и R0, независимо друг от друга, означают водород, (С1-С8) алкил, (С3-С8)-циклоалкил, при необходимости замещенный (С6-С14)-арил или при необходимости замещенный в арильном остатке (C6-C14)-арил-(С1-C8)-алкил;
R1 означает X-NH-C(=NH)-(СН2)p или X1-NH-(CH2)p, причем р означает 0, 1, 2 или 3;
X означает водород, (С1-С6)-алкил, (С1-С6)-алкилкарбонил, (С1-С6)-алкоксикарбонил, (С1-С18)-алкилкарбонилокси-(С1-С6)-алкоксикарбонил, при необходимости замещенный (С6-С14)-арилкарбонил, при необходимости замещенный (С6-С14)-арилоксикарбонил; (С6-С14)-арил-(С1-С6)-алкоксикарбонил, который в арильном остатке также может быть замещен; (R8O)2Р(O), цианогруппу, гидроксил, (С1-С6)-алкоксил; (С6-С14)-арил-(С1-С6)-алкоксил, который в арильном остатке также может быть замещен; или аминогруппу;
Х1 имеет одно из указанных для Х значений или означает R’-NH-C(=N-R”), причем R’ и R”, независимо друг от друга, имеют указанные для Х значения;
R2 означает водород, (С1-С8)-алкил, при необходимости замещенный (С6-С14)-арил, при необходимости замещенный в арильном остатке (С6-С14)-арил-(С1-С8)-алкил или (С3-С8)-циклоалкил;
R3 означает водород, (С1-С8)-алкил, при необходимости замещенный (С6-С14)-арил, при необходимости замешенный в арильном остатке (С6-С14)-арил-(С1-С8)-алкил, (С3-С8)-циклоалкил, (С2-С8)-алкенил, (С2-С8)-алкинил, (С2-С8)-алкенилкарбонил, (С2-С8)-алкинилкарбонил, пиридил, R11NH, R4CO, COOR4, CON(CH3)R14, CONHR14, CSNHR14, COOR15, CON(CH3)R15 или CONHR15;
R4 означает водород или (С1-С28)-алкил, который при необходимости может быть одно- или многократно замещен одинаковыми или разными остатками R4′;
R4′ означает гидроксил, гидроксикарбонил, аминокарбонил, моно- или ди-((С1-С18)-алкил)аминокарбонил, амино-(С2-С18)-алкиламинокарбонил, амино-(С1-С3)-алкилфенил-(С1-C3)-алкиламинокарбонил, (С1-С18)-алкилкарбониламино-(С1-С3)-алкилфенил-(С1-С3)-алкиламинокарбонил, (С1-С18)-алкилкарбониламино-(С2-С18)-алкиламинокарбонил, (С6-С14)-арил-(С1-С8)-алкоксикарбонил, который в арильном остатке также может быть замещен; аминогруппу, меркаптогруппу, (С1-С18)-алкоксил, (С1-С18)-алкоксикарбонил, при необходимости замещенный (С3-С8)-циклоалкил, галоген, нитрогруппу, трифторметил или осаток 5;
R5 означает при необходимости замещенный (С6-С14)-арил, при необходимости замещенный в арильном остатке (С6-С14)-арил-(С1-С8)-алкил, моно- или бициклический, пяти-двенадцатичленный гетероцикл, который может быть ароматическим, частично гидрированным или полностью гидрированным и который может содержать один, два или три одинаковых или различных гетероатома, выбранных из ряда азота, кислорода и серы; остаток R6 или остаток R6СО-, причем арил и независимо от него гетероцикл могут быть одно- или многократно замещены одинаковыми или различными остатками, выбранными из ряда, состоящего из (С1-С18)-алкила, (С1-С18)-алкоксила, галогена, нитрогруппы, аминогруппы или трифторметила;
R6 означает R7R8N, R7О или R7S или аминокислотную боковую цепь, остаток природной или синтетической аминокислоты, иминокислоты, при необходимости N-(С1-C8)-алкилированной или N-((C6-C14)-арил-(С1-С8)-алкилированной) азааминокислоты или дипептида, который в арильном остатке также может быть замещен и/или в котором пептидная связь может быть восстановлена до -NH-CH2, а также их сложные эфиры и амиды, причем вместо свободных функциональных групп может быть водород или гидроксиметил и/или причем свободные функциональные группы могут быть защищены обычными в химии пептидов защитными группами;
R7 означает водород, (С1-С18)-алкил, (С6-С14)-арил-(С1-С8)-алкил, (С1-С18)-алкилкарбонил, (С1-С18)-алкоксикарбонил, (С6-С14)-арилкарбонил, (С6-С14)-арил-(С1-С8)-алкилкарбонил или (С6-С14)-арил-(С1-С18)-алкоксикарбонил, причем алкильные группы могут быть замещены аминогруппой и/или причем арильные остатки могут быть одно- или многократно, предпочтительно однократно, замещены одинаковыми или различными остатками из ряда, состоящего из (С1-С8)-алкила, (С1-С8)-алкоксила, галогена, нитрогруппы, аминогруппы и трифторметила; остаток природной или синтетической аминокислоты, иминокислоты, при необходимости N-(С1-С8)-алкилированной или N-((С6-С14)-арил-(С1-С8)-алкилированной)азааминокислоты или дипептида, который в арильной части также может быть замещен и/или в котором пептидная связь может быть восстановлена до -NH-CH2-;
R8 означает водород, (С1-С18)-алкил, при необходимости замешенный (C6-C14)-арил или (C6-C14)-арил-(С1-С8)-алкил, который в арильном остатке также может быть замещен;
R9 означает водород, аминокарбонил, (С1-С18)-алкиламинокарбонил, (С3-С8)-циклоалкиламинокарбонил, при необходимости замещенный (С6-С14)-ариламинокарбонил, (С1-С18)-алкил, при необходимости замещенный (С6-С14)-арил или (С3-С8)-циклоалкил;
R10 означает гидроксил, (С1-С18)-алкоксил, (С6-С14)-арил-(С1-С8)-алкоксил, который в арильном остатке также может быть замещен; при необходимости замещенную (С6-С14)-арилоксигруппу, аминогруппу или моно- или ди-((С1-С18)-алкил)аминогруппу;
R11 означает водород, (С1-С18)-алкил, R12СО, при необходимости замещенный (С6-С14)-арил-S(О)2, (С1-С18)-алкил-S(O)2, при необходимости замещенный в арильном остатке (С6-С14)-арил-(С1-С8)-алкил или R9NHS(О)2;
R12 означает водород, (С1-С18)-алкил, (С2-С8)-алкенил, (С2-С8)-алкинил, при необходимости замещенный (С6-С14)-арил, (С1-С18)-алкоксил; (С6-С14)-арил-(С1-С8)-алкоксил, который в арильном остатке может быть также замещен; при необходимости замещенную (С6-С14)-арилоксигруппу, аминогруппу или моно- или ди-((С1-С18)алкил)-аминогруппу;
R13 означает водород, (С1-С6)-алкил, при необходимости замещенный в арильном остатке (С6-С14)-арил-(С1-С8)-алкил или (С3-С8)-циклоалкил;
R14 означает водород или (С1-С28)-алкил, который может быть однократно или многократно замещен одинаковыми или различными остатками, выбранными из ряда гидроксила, гидроксикарбонила, аминокарбонила, моно- или ди-((C1-C18)-алкил)аминокарбонила, амино-(С2-С18)-алкиламинокарбонила, амино-(С1-С3)-алкилфенил-(С1-С3)-алкиламинокарбонила, (С1-С18)-алкилкарбониламино-(С1-С3)-алкилфенил-(С1-С3)-алкиламинокарбонила, (С1-С18)-алкилкарбониламино-(С2-С18)-алкиламинокарбонила, (С6-С14)-арил-(С1-С8)-алкоксикарбонила, который в арильном остатке также может быть замещен; аминогруппы, меркаптогруппы, (С1-С18)-алкоксила, (С1-С18)-алкоксикарбонила, при необходимости замещенного (С3-С8)-циклоалкила, HOS(О)2-(С1-С3)-алкила, R9NHS(О)2-(С1-С3)-алкила, (R8О)2Р(О)-(С1-С3)-алкила, тетразолил-(С1-С3)-алкила, галогена, нитрогруппы, трифторметила и R5;
R15 означает R16-(С1-С6)-алкил или R16;
R16 означает 6-24-членный бициклический или трициклический остаток, который является насыщенным или частично ненасыщенным и который также может содержать 1-4 одинаковых или различных гетероатома, выбранных из ряда азота, кислорода и серы, и который также может быть замещен одним или несколькими одинаковыми или различными заместителями из ряда, состоящего из (С1-С4)-алкила и оксогруппы;
b, с, независимо друг от друга, означают 0 или 1, однако
d и f все одновременно не могут означать нуль;
е, g и h, независимо друг от друга, означают 0, 1, 2, 3, 4, 5 или 6;
во всех их стереоизомерных формах и в виде их смесей в любых соотношениях, а также их физиологически приемлемые соли.
Особенно предпочтительными соединениями формулы (I) являются такие, где одновременно:
W означает R1-А-СН=С, в котором А означает фениленовый остаток, или
W означает R1-A-C(R13), в котором А означает двухвалентный остаток, выбранный из ряда метилена, этилена, триметилена, тетраметилена, пентаметилена, циклогексилена, фенилена, фениленметила;
В означает двухвалентный остаток, выбранный из ряда метилена, этилена, триметилена, тетраметилена, винилена, фенилена или замещенного метилена или этилена;
Е означает R10СО;
R означает водород, (С1-С6)-алкил или бензил;
R0 означает (С1-С8)-алкил, (С3-С8)-циклоалкил, при необходимости замещенный (С6-С14)-арил или при необходимости замещенный в арильном остатке (С6-С14)-арил-(C1-C8)-алкил;
R1 означает X-NH-C(=NH), X-NH-C(=NX)-NH или X-NH-CH2;
X означает водород, (С1-С6)-алкилкарбонил, (С1-С6)-алкоксикарбонил, (С1-С8)-алкилкарбонилокси-(С1-С6)-алкоксикарбонил, (С6-С14)-арил-(С1-С6)-алкоксикарбонил или гидроксил;
R2 означает водород или (С1-С8)-алкил;
R3 означает (C1-C8)-алкил, при необходимости замещенный (С6-С14)-арил, (C6-C14)-арил-(C1-C8)-алкил, (C3-C8)-циклоалкил, (С2-С8)-алкенил, (C2-C8)-алкинил, пиридил, R11NH, R4CO, COOR4, CONHR14, COOR15 и CONHR15;
и е, g и h, независимо друг от друга, означают числа 0, 1, 2 или 3;
во всех их стереоизомерных формах и в виде их смесей в любых соотношениях, а также их физиологически приемлемые соли.
В особенности предпочтительными соединениями формулы (1) являются такие, где
W означает R1-А-С(R13) и R13 означает (С1-С6)-алкил, при необходимости замещенный в арильном остатке (С6-С14)-арил-(С1-С8)-алкил или (С3-С8)-циклоалкил,
во всех их стереоизомерных формах и в виде их смесей в любых соотношениях, а также их физиологически приемлемые соли.
Один ряд особо предпочтительных соединений формулы (I) образуют такие соединения, где
R3 означает при необходимости замещенный (С6-С14)-арил, COOR4, R11NH или CONHR14, причем -NHR14 означает остаток
-амино-(С2-С8)-алкиламида, ее (С1-С8)-алкилового эфира или ее (С6-С14)-арил-(С1-С4)-алкилового эфира,
во всех их стереоизомерных формах и в виде их смесей в любых соотношениях, а также их физиологически приемлемые соли. Обозначаемый как –NHR14 остаток
с соединением формулы (III):
причем W, Y, Z, В, D, Е, R, а также b, d, e, f, g и h имеют вышеуказанное значение и G означает гидроксикарбонил, (С1-С6)-алкоксикарбонил, остаток активированных производных карбоновой кислоты, как хлорангидридов кислот или активированных сложных эфиров, или изоцианатогруппу.
Для конденсации соединений формулы (II) с соединениями формулы (III) предпочтительно используют сами по себе известные методы сочетания химии пептидов (см., например, Губен-Вейл, Методы органической химии, том 15/1 и 15/2, изд. Georg Thieme, Штутгарт, 1974). Для этого, как правило, необходимо, чтобы имеющиеся, не реагирующие аминогруппы во время конденсации были защищены затем снова удаляемыми защитными группами. То же самое относится к не участвующим в реакции карбоксильным группам, которые находятся предпочтительно в виде (С1-С6)-алкилового, бензилового или трет.-бутилового сложного эфира. Защита аминогрупп является излишней, когда генерируемые аминогруппы еще находятся в виде нитро- или цианогрупп и образуются лишь после реакции сочетания, например, путем гидрирования. После реакции сочетания имеющиеся защитные группы отщепляют пригодным образом. Например, нитрогруппы (защита гуанидиногруппы), бензилоксикарбонильные группы и сложные бензиловые эфиры можно удалять путем гидрирования. Защитные группы трет.-бутилового типа отщепляют в кислых условиях, в то время как 9-фторенилметоксикарбонильный остаток удаляют с помощью вторичных аминов. Соединения формулы (I), например, также можно получать тем, что соединения синтезируют обычными методами постепенно на твердой фазе, как это поясняется ниже в примерах.
Соединения формулы (II), в которой W означает R1-А-С(R13), Y означает карбонильную группу и Z означает NR0, можно получать, например, тем, что сначала соединения формулы (IV):
по реакции Бухерера превращают в соединения формулы (V):
в которой также, как и в формуле (IV), R1, R13 и А имеют вышеуказанное значение (Н.T. Bucherer, V.A. Lieb, J. Prakt. hem., 141, 5 (1934)).
Соединения формулы (VI):
в которой R1, R13, А, В и G имеют вышеуказанное значение, затем можно получать тем, что соединения формулы (V), например, сначала вводят во взаимодействие с алкилирующим агентом, который вводит остаток -B-G в молекулу. Взаимодействие соединений формулы (VI) с вторым реагентом формулы R0-LG, в которой R0 имеет вышеуказанные значения и LG означает нуклеофильно замещаемую удаляемую группу, например галоген, в особенности хлор или бром, (С1-С4)-алкоксил, возможно, замещенную феноксигруппу или гетероциклическую удаляемую группу, как, например, имидазолил, приводит к соответствующим соединениям формулы (II). Эти превращения можно осуществлять аналогично известным специалисту методам. При этом в зависимости от конкретного случая, как это осуществляют во всех стадиях синтеза соединений формулы (I), функциональные группы, которые могут приводить к побочным реакциям или к нежелательным реакциям, можно временно блокировать путем приспособленной к проблеме синтеза стратегии защитных групп, что известно специалисту.
Если W означает R1-А-СН=С, то этот структурный элемент можно вводить, например, тем, что по аналогии с известными методами альдегид конденсируют с пятичленным гетероциклом, который содержит метиленовую группу в соответствующем группе W положении.
Соединения формулы (I), в которых пятичленный гетероцикл представляет собой диоксо- или триоксооксозамещенное имидазолидиновое кольцо, в котором W означает R1-А-С(R13), можно также получать следующим образом.
Путем реакции
где R0, R1, R13 и А имеют вышеуказанное значение, с изоцианатом или изотиоцианатом, например, формулы (VIII):
где В, D, Е и R, а также b, c, d, e, f, g и h имеют вышеуказанные значения и U означает изоцианато- или изотиоцианатогруппу, получают производные мочевины или тиомочевины, например, формулы (IX):
для которой имеют значение вышеуказанные определения и в которой V означает кислород или серу, которые путем нагревания с кислотой при омылении сложноэфирной функции циклизуют до соединений формулы (Iа):
в которой V означает кислород или серу, W означает R1-А-С-(R13), а остальные символы имеют вышеуказанные значения. Циклизацию соединений формулы (IX) до соединений формулы (1а) можно проводить также путем обработки с помощью оснований в инертном растворителе, например, путем обработки гидридом натрия в апротонном растворителе, таком как диметилформамид.
Во время циклизации гуанидиногруппы можно блокировать с помощью защитных групп, как, например, нитрогруппа. Аминогруппы могут находиться в защищенной форме или еще в виде нитро- или цианогруппы, которую позднее можно восстанавливать до аминогруппы или в случае цианогруппы также можно превращать ее в формамидиногруппу.
Соединения формулы (I), в которых пятичленный гетероцикл представляет собой диоксо- или триоксооксозамещенное имидазолидиновое кольцо, в котором W означает R1-А-С(R13) и с означает 1, также можно получать тем, что соединение формулы (VII) вводят во взаимодействие с изоцианатом или изотиоцианатом формулы (X):
в которой B, U и b имеют указанное в случае формулы (VIII) значение и Q означает алкоксигруппу, например (С1-С4)-алкоксигруппу, как метоксигруппа, этоксигруппа или трет.-бутоксигруппа, (С6-С14)-арилоксигруппу, например феноксигруппу, или (С6-С14)-арил-(С1-С4)-алкоксигруппу, например как бензилоксигруппа. При этом получают соединение формулы (XI):
в которой А, В, V, Q, R0, R1, R13 и b имеют вышеуказанные в случае формул (IX) и (X) значения, которое затем под воздействием кислоты или основания, как описано выше для циклизации соединений формулы (IX), циклизуют до соединения формулы (XII):
в которой В, Q, V, W, R0 и b имеют вышеуказанные в случае формул (Iа) и (X) значения. Затем из соединения формулы (XII) путем гидролиза группы CO-Q до карбоновой кислоты СООН и последующего сочетания с соединением формулы (III), как описывается выше для сочетания соединений формулы (II) и формулы (III), получают соединение формулы (Iа). Также в этом случае во время циклизации функциональные группы могут находиться в защищенной форме или в виде предшественников, например гуанидиногруппы блокируют с помощью нитрогруппы или аминогруппы находятся в защищенной форме или еще в виде нитро- или цианогруппы, которые позднее можно восстанавливать до аминогруппы или в случае цианогруппы также можно ее превращать в формамидиногруппу.
Другим способом получения соединений формулы (Iа) является, например, введение во взаимодействие соединений формулы (XIII):
в которой W означает R1-A-C(R13) и остальные определения имеют вышеуказанное значение, с фосгеном, тиофосгеном или соответствующими эквивалентами (аналогично S. Goldschmidt M. Wick, Liebigs Ann. Chem., 575, 217-231 (1952)); C. Tropp, Chem. Ber., 61, 1431-1439 (1928)).
Переведение аминогруппы в гуанидиногруппу можно осуществлять с помощью следующих реагентов:
1. O-метилизомочевина (S. Weiss и H. Kroramer, Chemiker Zeitung, 98, 617-618 (1974));
2. S-метилизотиомочевина (R.F. Borne, M.L. Forrester, I.W. Waters, J. Med. Chem., 20, 771-776 (1977));
3. Нитро-S-метилизотиомочевина (L.S. Hafner и R.E. Evans, J. Org. Chem., 24, 57 (1959));
4. Формамидиносульфокислота (К. Kim, Y.-T. Lin и H.S. Mosher, Tetrah. Lett., 29, 3183-3186 (1988));
5. 3,5-диметилпиразол-1-ил-формамидинийнитрат (F.L. Scott, D.G. O’Donovan и J. Reilly, J. Amer. Chem. Soc., 75, 4053-4054 (1953));
6. N,N’-ди-трет.-бутоксикарбонил-S-метилизотиомочевина (R.J. Bergeron и J.S. McManis, J. Org. Chem. 52, 1700-1703 (1987));
7. N-алкоксикарбонил-, N,N’-диалкоксикарбонил-, N-алкилкарбонил и N,N’-диалкилкарбонил-S-метилизотиомочевина (H. Wollweber, H. Kolling, E. Niemers, A. Widdig, P. Andrews, H.-P. Schulz и H. Thomas, Azzneim. Forsch./Drug Res., 34, 531-542 (1984)).
Амидины можно получать из соответствующих цианосоединений путем присоединения спиртов (например, как метанол или этанол) в кислой безводной среде (например, как диоксан, метанол или этанол) и последующего аминолиза, например, путем обработки аммиаком в спиртах, как, например, изопропанол, метанол или этанол (G. Wagner, P. Richter и Ch. Garbe, Pharmazia, 29, 12-55 (1974)). Другим способом получения амидинов является присоединение сероводорода к цианогруппе с последующим метилированием образовавшегося тиоамида и затем введением во взаимодействие с аммиаком (патент ГДР №235866).
В отношении получения соединений формулы (I) далее следует сослаться полностью на следующие публикации: международные заявки 94/21607 и 95/14008; европейские заявки на патент №449079, 530505 (заявка на патент США 5389614); международная заявка 93/18057; европейские заявки на патент № 566919 (заявка на патент США 5397796), 580008 (заявка на патент США 5424293) и 584694 (заявка на патент США 5554594), а также международная заявка 96/33976.
Соединения формулы (I) являются антагонистами рецептора адгезии VLA-4. Они обладают способностью ингибировать процессы взаимодействия клетка-клетка и клетка-матрица, при которых играют роль взаимодействия между VLA-4 с его лигандами. Эффективность соединений формулы (I) можно доказать, например, в опыте, в котором определяют связывание клеток, которые имеют VLA-4-рецептор, например лейкоцитов, с лигандами этого рецептора, например с VCAM-l, которые для этой цели предпочтительно также можно получать с помощью генной инженерии. Подробное изложение такого опыта приводится ниже в описании. В особенности соединения формулы (I) могут ингибировать адгезию и миграцию лейкоцитов, например сцепление лейкоцитов с эндотелиальными клетками, которое, как пояснено выше, регулируется VCAM-l/VLA-4-адгезивным механизмом.
Соединения формулы (I) и их физиологически приемлемые соли поэтому пригодны для лечения и профилактики заболеваний, которые основаны на взаимодействии между VLA-4-рецептором и его лигандами или на которые можно влиять путем подавления этого взаимодействия, и в особенности они пригодны для лечения и профилактики заболеваний, которые, по меньшей мере, частично возникают вследствие адгезии лейкоцитов и/или миграции лейкоцитов в нежелательном масштабе или связаны с этим и для предупреждения, ослабления или лечения которых нужно уменьшать адгезию и/или миграцию лейкоцитов. Таким образом, их можно использовать, например, при воспалительных явлениях, возникающих по разным причинам, в качестве уменьшающих интенсивность воспаления средств. Соединения формулы (I) согласно настоящему изобретению находят применение, например, для лечения или профилактики ревматоидного артрита, воспалительных заболеваний пищеварительного тракта (язвенный колит), системной красной волчанки или для лечения или профилактики воспалительных заболеваний центральной нервной системы, как, например, рассеянный склероз, для лечения или профилактики астмы или аллергий, например аллергии замедленного типа (аллергия типа IV), далее, для лечения или профилактики сердечно-сосудистых заболеваний, артериосклероза, рестенозов, для лечения или профилактики диабета, для предотвращения повреждения трансплантатов органов, для подавления роста опухолей или метастазирования опухолей в случае различных злокачественных образований, для лечения малярии, а также других заболеваний, при которых в целях их предупреждения, ослабления или лечения является необходимым блокирование интегрина VLA-4 и/или влияние на активность лейкоцитов. Соединения формулы (I) и их соли, далее, можно применять для диагностических целей, например при диагнозах ин витро, и в качестве вспомогательного средства при биохимических исследованиях, при которых стремятся к блокированию VLA-4 или влиянию на взаимодействия клетка-клетка или клетка-матрица.
Соединения формулы (I) и их физиологически приемлемые соли согласно изобретению можно вводить животному, предпочтительно млекопитающему и в особенности человеку в качестве лекарственного средства для лечения или профилактики. Их можно вводить индивидуально, в виде смесей друг с другом или в форме фармацевтических композиций, которые можно вводить кишечно или парентерально и которые в качестве активной составной части содержат эффективную дозу, по меньшей мере, одного соединения формулы (I) и/или его физиологически приемлемых солей наряду с обычными, фармацевтически приемлемыми носителями и/или добавками. Предметом настоящего изобретения является также применение фармацевтических композиций, которые содержат одно или несколько соединений формулы (I) и/или их физиологически приемлемых солей, для вышеуказанного согласно изобретению использования соединений формулы (I). Фармацевтические композиции обычно содержат примерно 0,5-90 мас.% терапевтически эффективных соединений формулы (I) и/или их физиологически приемлемых солей.
Лекарственные средства можно вводить перорально, например, в форме пилюль, таблеток, таблеток в целлофановой упаковке, драже, гранулятов, твердых и мягких желатиновых капсул, растворов, сиропов, эмульсий или суспензий. Введение, однако, также можно осуществлять ректально, например, в форме суппозиториев или парентерально, например, в форме растворов для инъекции или вливания, микрокапсул или палочек, или подкожно, например, в форме мазей или настоек, или другим путем, например в форме спрея для введения через нос или аэрозольных смесей.
Используемые согласно изобретению фармацевтические препараты получают само по себе известным образом, причем наряду с соединением или соединениями формулы (I) и/или их физиологически приемлемыми солями применяют инертные неорганические и/или органические носители. Для получения пилюль, таблеток, драже и твердых желатиновых капсул можно использовать, например, лактозу, кукурузный крахмал или его производные, тальк, стеариновую кислоту или ее соли и т.д. Носителями для мягких желатиновых капсул и суппозиториев являются, например, жиры, воски, полутвердые и жидкие многоатомные спирты, природные или отвержденные масла. В качестве носителей для получения растворов, например растворов для инъекции, или эмульсий, или сиропов пригодны, например, вода, спирты, глицерин, многоатомные спирты, сахароза, инвертный сахар, глюкоза, растительные масла и т.д. В качестве носителей для микрокапсул, имплантатов или палочек пригодны, например, сополимеры гликолевой кислоты с молочной кислотой.
Наряду с активными веществами и носителями, фармацевтические препараты могут содержать еще добавки, как, например, наполнители, порофоры, связующие, придающие скользкость (таблеткам) агенты, смачиватели, стабилизаторы, эмульгаторы, консерванты, подслащивающие агенты, красители, придающие вкус или ароматизирующие агенты, загустители, разбавители, буферные вещества, далее, растворители или агенты растворения или средства для достижения пролонгированного действия, а также соли для изменения осмотического давления, средства для покрытия или антиоксиданты. Они могут содержать также два или более соединений формулы (I) и/или их физиологически приемлемых солей. Далее, наряду, по меньшей мере, с одним соединением формулы (I) и/или его физиологически приемлемыми солями, они могут еще содержать одно или несколько других терапевтически или профилактически активных веществ, например вещества с подавляющим воспаление действием.
Дозу можно изменять в широких пределах и в каждом отдельном случае приспосабливать к индивидуальным данным. В общем, при введении перорально суточная доза составляет примерно 0,01-100 мг/кг, предпочтительно 0,1-10 мг/кг, в особенности 0,3-2 мг/кг массы тела для достижения эффективных результатов. При внутривенном введении суточная доза составляет в общем примерно 0,01-50 мг/кг, предпочтительно 0,01-10 мг/кг массы тела. Суточную дозу, в особенности при введении больших количеств, можно разделять на несколько, например на 2, 3 или 4 разовые дозы. При необходимости, в зависимости от индивидуального поведения, может оказаться необходимым отклонение от указанной суточной дозы в большую или меньшую сторону. Фармацевтические препараты обычно содержат 0,2-500 мг, предпочтительно 1-100 мг активного вещества формулы (I) и/или его физиологически приемлемых солей на дозу.
Определенные соединения формулы (I) еще не раскрыты в уровне техники. Предметом настоящего изобретения являются также само по себе эти новые соединения (per se).
Настоящее изобретение, таким образом, относится, во-первых, также само по себе (per se) к соединениям формулы (Ib):
где W означает R1-A-CH или R1-А-СН=С;
Y означает карбонил, тиокарбонил или метиленовую группу;
А означает двухвалентный остаток из ряда, состоящего из (С1-С6)-алкилена, (С3-С7)-циклоалкилена, фенилена, фенилен-(C1-C6)-алкила, (С1-С6)-алкиленфенила, фенилен-(С2-С6)-алкенила; или двухвалентный остаток пяти- или шестичленного насыщенного или ненасыщенного цикла, который может содержать 1 или 2 атома азота и может быть одно- или двукратно замещен (С1-С6)-алкилом или дважды связанным кислородом или серой;
В означает двухвалентный остаток, выбранный из ряда (С1-С6)-алкилена, (С2-С6)-алкенилена, фенилена, фенилен-(С1-С3)-алкила, (С1-С3)-алкиленфенила;
D означает С(R2)(R3);
Е означает тетразолил, (R8O)2P(O), HOS(O)2, R9NHS(O)2 или R10CO;
R означает водород, (С1-С8)-алкил, (С3-С8)-циклоалкил, при необходимости замещенный (С6-С14)-арил или при необходимости замещенный в арильном остатке (С6-С14)-арил-(С1-С8)-алкил;
R0 означает (С7-С8)-алкил, (С3-С8)-циклоалкил, при необходимости замещенный (С6-С14)-арил или при необходимости замещенный в арильном остатке (С6-С14)-арил-(С1-С8)-алкил;
R1 означает X-NH-C(=NH)-(СН2)p или X1-NH-(CH2)p, причем р означает числа 0, 1, 2 или 3;
X означает водород, (С1-С6)-алкил, (С1-С6)-алкилкарбонил, (С1-С6)-алкоксикарбонил, (С1-С18)-алкилкарбонилокси-(С1-С6)-алкоксикарбонил, при необходимости замещенный (С6-С14)-арилкарбонил, при необходимости замещенный (С6-С14)-арилоксикарбонил; (С6-С14)-арил-(С1-С6)-алкоксикарбонил, который в арильном остатке также может быть замещен; (R8О)2Р(О), цианогруппу, гидроксил, (С1-С6)-алкоксил; (С6-С14)-арил-(С1-С6)-алкоксил, который в арильном остатке также может быть замещен; или аминогруппу;
X1 имеет одно из указанных для Х значений или означает R’-NH-C(=NR”), причем R’ и R”, независимо друг от друга, имеют указанные для Х значения;
R2 означает водород или фенил;
R3 означает водород, COOR4, CON(CH3)R4 или CONHR4;
R4 означает водород или (С1-С28)-алкил, который при необходимости может быть одно- или многократно замещен одинаковыми или разными остатками R4′;
R4′ означает гидроксил, гидроксикарбонил, аминокарбонил, моно- или ди-((С1-С18)-алкил)аминокарбонил, амино-(С2-С18)-алкиламинокарбонил, амино-(С1-С3)-алкилфенил-(С1-С3)-алкиламинокарбонил, (С1-С18)-алкилкарбониламино-(С1-С3)-алкилфенил-(С1-С3)-алкиламинокарбонил, (С1-С18)-алкилкарбониламино-(С2-С18)-алкиламинокарбонил, (С6-С14)-арил-(С1-С8)-алкоксикарбонил, который в арильном остатке также может быть замещен; аминогруппу, меркаптогруппу, (С1-С18)-алкоксил, (С1-С18)-алкоксикарбонил, при необходимости замещенный (С3-С8)-циклоалкил, галоген, нитрогруппу, трифторметил или остаток R5;
R5 означает при необходимости замещенный (С6-С14)-арил, при необходимости замешенный в арильном остатке (С6-С14)-арил-(С1-С8)-алкил, моно- или бициклический 5-12-членный гетероцикл, который может быть ароматическим, частично гидрированным или полностью гидрированным и который может содержать один, два или три одинаковых или различных гетероатома, выбранных из ряда азота, кислорода и серы; остаток R6 или остаток R6СО-, причем арильный и независимо от него гетероциклический остатки могут быть одно- или многократно замещены одинаковыми или различными остатками, выбранными из ряда (С1-С18)-алкила, (С1-С18)-алкоксила, галогена, нитрогруппы, аминогруппы или трифторметила;
R6 означает R7R8N, R7О или R7S или аминокислотную боковую цепь, остаток природной или синтетической аминокислоты, иминокислоты, при необходимости N-(С1-С8)-алкилированной или N-((С6-С14)-арил-(С1-С8)-алкилированной) азааминокислоты или дипептида, который в арильном остатке также может быть замещен и/или в котором пептидная связь может быть восстановлена до -NH-CH2-, а также их сложные эфиры или амиды, причем вместо свободных функциональных групп при необходимости может быть водород или гидроксиметил и/или причем свободные функциональные группы могут быть защищены обычными в химии пептидов защитными группами;
R7 означает водород, (С1-С18)-алкил, (С6-С14)-арил-(С1-С18)-алкил, (С1-С18)-алкилкарбонил, (С1-С18)-алкоксикарбонил, (С6-С14)-арилкарбонил, (С6-С14)-арил-(С1-С8)-алкилкарбонил или (С6-С14)-арил-(С1-С18)-алкилоксикарбонил, причем алкильные группы при необходимости могут быть замещены аминогруппой и/или причем арильные остатки могут быть одно- или многократно, предпочтительно однократно, замещены одинаковыми или различными остатками, выбранными из ряда (С1-С8)-алкила, (С1-С8)-алкоксила, галогена, нитрогруппы, аминогруппы и трифторметила; остаток природной или синтетической аминокислоты, иминокислоты, при необходимости N-(С1-С8)-алкилированной или N-((С6-С14)-арил-(С1-С8)-алкилированной) азааминокислоты или дипептида, который в арильном остатке также может быть замещен и/или в котором пептидная связь может быть восстановлена до -NH-CH2-;
R8 означает водород, (С1-С18)-алкил, при необходимости замещенный (С6-С14)-арил или (С6-С14)-арил-(С1-С8)-алкил, который в арильном остатке также может быть замещен;
R9 означает водород, аминокарбонил, (С1-С18)-алкиламинокарбонил, (С3-С8)-циклоалкиламинокарбонил, при необходимости замещенный (С6-С14)-ариламинокарбонил, (С1-С18)-алкил, при необходимости замещенный (С6-С14)-арил или (С3-С8)-циклоалкил;
R10 означает гидроксил, (С1-С18)-алкоксил; (С6-С14)-арил-(С1-С8)-алкоксил, который в арильном остатке также может быть замещен; при необходимости замещенную (С6-С14)-арилоксигруппу, аминогруппу или моно- или ди-((С1-С18)-алкил)аминогруппу;
b, с и d, независимо друг от друга, могут означать нуль или 1, однако все одновременно не могут означать нуль;
n означает числа 0, 1, 2, 3, 4, 5 или 6;
во всех их стереоизомерных формах или в виде их смесей в любых соотношениях, а также их физиологически приемлемым солям.
Все вышеуказанные пояснения для формулы (I), например, в отношении алкильных остатков, арильных остатков и т.д. соответственно также относятся к соединениям формулы (Ib). Также вышеуказанные предпочтительные значения действуют здесь соответственно.
Вышеприведенные пояснения в отношении получения соединений формулы (I) и их применения точно также относятся и к соединениям формулы (Ib). Эти соединения, естественно, также являются ингибиторами адгезии лейкоцитов и/или антагонистами VLA-4-рецептора и пригодны для лечения и профилактики заболеваний, которые возникают вследствие адгезии лейкоцитов и/или миграции лейкоцитов в нежелательном масштабе или связаны с этим или в случае которых играют роль взаимодействия клетка-клетка или клетка-матрица, основанные на переменных действиях VLA-4-рецепторов с их лигандами, например воспалительных процессов. Предметом настоящего изобретения, далее, являются соединения формулы (Ib), используемые в качестве лекарственного средства, а также фармацевтические препараты, которые содержат одно или несколько соединений формулы (Ib) и/или их физиологически приемлемых солей, наряду с фармацевтически приемлемыми носителями и/или добавками, причем вышеприведенные пояснения относятся и к этим фармацевтическим препаратам.
Определенные соединения формулы (I) неясно раскрыты в уровне техники и представляют собой выбор из множества соединений, описываемых в международной заявке WO-A-95/14008. Предметом настоящего изобретения также являются эти само по себе новые соединения per se. Таким образом, настоящее изобретение, во-вторых, относится также per se само по себе к соединениям формулы (Iс):
где W означает R1-A-C(R13);
Y означает карбонил, тиокарбонил или метиленовую группу;
А означает фениленовый остаток;
В означает двухвалентный остаток, выбранный из pядa (С1-С6)-алкилена, (С2-С6)-алкенилена, фенилена, фенилен-(С1-С3)-алкила, (С1-С3)-алкиленфенила;
D означает C(R2)(RЗ), N(R3) или CH=C(R3);
Е означает тетразолил, (R8O)2Р(О), HOS(O)2, R9NHS(O)2 или R10CO;
R означает водород, (С1-С8) -алкил, (C3-C8)-циклоалкил, при необходимости замещенный (С6-С14)-арил или при необходимости замещенный (С6-С14)-арил или при необходимости замещенный в арильном остатке (С6-С14)-арил-(С1-С8)-алкил;
R0 означает при необходимости замещенный в арильном остатке (С6-С14)-арил-(С1-С8)-алкил;
R1 означает X-NH-C(=NH)-(СН2)p или X1-NH-(CH2)p, причем р означает 0, 1, 2 или 3;
X означает водород, (С1-C6)-алкил, (C1-C6)-алкилкарбонил, (С1-С6)-алкоксикарбонил, (С1-С18)-алкилкарбонилокси-(С1-С6)-алкоксикарбонил, при необходимости замещенный (С6-С14)-арилкарбонил, при необходимости замещенный (С6-С14)-арилоксикарбонил; (С6-С14)-арил-(С1-С6)-алкоксикарбонил, который в арильном остатке также может быть замещен; (R8O)2Р(O), цианогруппу, гидроксил, (С1-С6)-алкоксил; (С6-С14)-арил-(С1-С6)-алкоксил, который в арильном остатке также может быть замещен; или аминогруппу;
X1 имеет одно из указанных для Х значений или означает R’-NH-C(=N-R”), причем R’ и R”, независимо друг от друга, имеют указанные для Х значения;
R2 означает водород, (С1-С8)-алкил, при необходимости замещенный (С6-С14)-арил, при необходимости замещенный в арильном остатке (С6-С14)-арил-(С1-С8)-алкил или (С3-С8)-циклоалкил;
R3 означает водород, (С1-С8)-алкил, при необходимости замещенный (С6-С14)-арил, при необходимости замещенный в арильном остатке (C6-C14)-арил-(C1-C8)-алкил, (С3-С8)-циклоалкил, (С2-С8)-алкенил, (С2-С8)-алкинил, (С2-С8)-алкенилкарбонил, (С2-С8)-алкинилкарбонил, пиридил, R11NH, R4CO, COOR4, CON(CH3)R14, CONHR14, CSNHR14, COOR15, CON(CH3)R15 или CONHR15;
R4 означает водород или (С1-С28)-алкил, который при необходимости может быть одно- или многократно замещен одинаковыми или разными остатками R4′;
R4′ означает гидроксил, гидроксикарбонил, аминокарбонил, моно- или ди-((С1-С18)-алкил)-аминокарбонил, амино-(С2-С18)-алкиламинокарбонил, амино-(С1-С3)-алкилфенил-(С1-С3)-алкиламинокарбонил, (С1-С18)-алкилкарбониламино-(С1-С3)-алкилфенил-(С1-С3)-алкиламинокарбонил, (С1-С18)-алкилкарбониламино-(С2-С18)-алкиламинокарбонил; (С6-С14)-арил-(С1-С8)-алкоксикарбонил, который в арильном остатке также может быть замещен; аминогруппу, меркаптогруппу, (С1-С18)-алкоксил, (С1-С18)-алкоксикарбонил, при необходимости замещенный (С3-С8)-циклоалкил, галоген, нитрогруппу, трифторметил или остаток R5;
R5 означает при необходимости замещенный (С6-С14)-арил, при необходимости замещенный в арильном остатке (С6-С14)-арил-(С1-С8)-алкил, моно- или бициклический 5-12-членный гетероцикл, который может быть ароматическим, частично гидрированным или полностью гидрированным и который может содержать один, два или три одинаковых или различных гетероатома, выбранных из ряда азота, кислорода и серы; остаток R6 или остаток R6СО-, причем арильный и независимо от него гетероциклический остатки могут быть однократно или многократно замещены одинаковыми или различными остатками, выбранными из ряда (С1-C18)-алкила, (С1-С18)-алкоксила, галогена, нитрогруппы, аминогруппы или трифторметила;
R6 означает R7R8N, R7О или R7S или аминокислотную боковую цепь, остаток природной или синтетической аминокислоты, иминокислоты, при необходимости N-(С1-С8)-алкилированной или N-((C6-C14)-арил-(C1-C8)-алкилированной) азааминокислоты или дипептида, который в арильном остатке также может быть замещен и/или в котором пептидная связь может быть восстановлена до -NH-CH2-, а также их сложные эфиры и амиды, причем вместо свободных функциональных групп при необходимости могут быть водород или гидроксиметил и/или причем свободные функциональные группы могут быть защищены обычными в химии пептидов защитными группами;
R7 означает водород, (С1-С18)-алкил, (С6-С14)-арил-(С1-С8)-алкил, (С1-С18)-алкилкарбонил, (С1-С18)-алкоксикарбонил, (С6-С14)-арилкарбонил, (С6-С14)-арил-(С1-С8)-алкилкарбонил или (С6-С14)-арил-(С1-С18)-алкоксикарбонил, причем алкильные группы при необходимости могут быть замещены аминогруппой и/или причем арильные остатки могут быть одно- или многократно, предпочтительно однократно, замещены одинаковыми или различными остатками, выбранными из ряда (С1-С8)-алкила, (С1-С8)-алкоксила, галогена, нитрогруппы, аминогруппы и трифторметила; остаток природной или синтетической аминокислоты, иминокислоты, при необходимости N-(С1-С8)-алкилированной или N-((С6-С14)-арил-(C1-C8)-алкилированной) азааминокислоты или дипептида, который в арильном остатке также может быть замещен и/или в котором пептидная связь может быть восстановлена до -NH-CH2-;
R8 означает водород, (С1-С18)-алкил, при необходимости замещенный (С6-С14)-арил или (С6-С14)-арил-(С1-С8)-алкил, который в арильном остатке также может быть замещен;
R9 означает водород, аминокарбонил, (С1-С18)-алкиламинокарбонил, (С3-С8)-циклоалкиламинокарбонил, при необходимости замещенный (С6-С14)-ариламинокарбонил, (С1-С18)-алкил, при необходимости замещенный (С6-С14)-арил или (С3-С8)-циклоалкил;
R10 означает гидроксил, (С1-С18)-алкоксил, (С6-С14)-арил-(С1-С8)-алкоксил, который в арильном остатке также может быть замещен; при необходимости замещенную (С6-С14)-арилоксигруппу, аминогруппу или моно- или ди-((С1-С18)-алкил)аминогруппу;
R11 означает водород, (С1-С18)-алкил, R12СО, при необходимости замещенный (С6-С14)-арил-S(О)2, (С1-С18)-алкил-S(О)2, при необходимости замещенный в арильном остатке (C6-C14)-арил-(C1-C8)-алкил или R9NHS(O)2;
R12 означает водород, (С1-С18)-алкил, (С2-С8)-алкенил, (С2-С8)-алкинил, при необходимости замещенный (С6-С14)-арил, (С1-С18)-алкоксил; (С6-С14)-арил-(С1-С18)-алкоксил, который также в арильном остатке может быть замещен; при необходимости замещенную (С6-С14)-арилоксигруппу или моно- или ди-((С1-С18)-алкил)-аминогруппу;
R13 означает (С1-С6)-алкил, при необходимости замещенный в арильном остатке (С6-С14)-арил-(С1-С8)-алкил или (C3-С8)-цикловлкил;
R14 означает водород или (С1-С28)-алкил, который при необходимости может быть одно- или многократно замещен одинаковыми или разными остатками, выбранными из ряда гидроксила, гидроксикарбонила, аминокарбонила, моно- или ди-((С1-С18)-алкил) аминокарбонила, амино-(С2-С18)-алкиламинокарбонила, амино-(С1-С3)-алкилфенил-(С1-С3)-алкиламинокарбонила, (С1-С18)-алкилкарбониламино-(С1-С3)-алкилфенил-(С1-С3)-алкиламинокарбонила, (С1-С18)-алкилкарбониламино-(С2-С18)алкиламинокарбонила; (С6-С14)-арил-(С1-С8)-алкоксикарбонила, который также может быть замещен в арильном остатке; аминогруппы, меркаптогруппы, (С1-С18)-алкоксила, (С1-С18)-алкоксикарбонила, при необходимости замещенного (С3-С8)-циклоалкила, HOS(О)2-(С1-С3)-алкила, R9NHS(О)2-(С1-С3)-алкила, (R8О)2Р(О)-(С1-С3)-алкила, тетразолил-(С1-С3)-алкила, галогена, нитрогруппы, трифторметила и R5;
R15 означает R16-(С1-С6)-алкил или R16;
R16 означает 6-24-членный бициклический или трициклический остаток, который является насыщенным или частично ненасыщенным и который может содержать также 1-4 одинаковых или различных гетероатома, выбранных из ряда азота, кислорода и серы, и который также может быть замещен одним или несколькими одинаковыми или различными заместителями из ряда, состоящего из (С1-С4)-алкила и оксогруппы;
b, с, d и f, независимо друг от друга, означают нуль или 1, однако все одновременно не могут означать нуль;
е, g и h, независимо друг от друга, означают 0, 1, 2, 3, 4, 5 или 6;
во всех их стереоизомерных формах и в виде их смесей в любых соотношениях, а также их физиологически приемлемым солям.
Все вышеуказанные пояснения для формулы (I), например, в отношении алкильных остатков, арильных остатков и т.д. соответственно также относятся к соединениям формулы (Iс). Также вышеуказанные предпочтительные значения действуют здесь соответственно. Особенно предпочтительно в соединениях формулы (Iс), кроме того, независимо друг от друга, b означает 1, с означает 1, d означает 1, f означает нуль и g означает нуль, е и h особенно предпочтительно, независимо друг от друга, означают нуль или 1. Также особенно предпочтительно, когда Y в соединениях формулы (Iс) означает карбонильную группу.
Вышеприведенные пояснения в отношении получения соединений формулы (I) и их применения точно также относятся и к соединениям формулы (Iс). Эти соединения, естественно, также являются ингибиторами адгезии лейкоцитов и/или антагонистами VLA-4-рецептора и пригодны для лечения и профилактики заболеваний, которые возникают вследствие адгезии лейкоцитов и/или миграции лейкоцитов в нежелательном масштабе или связаны с этим или в случае которых играют роль взаимодействия клетка-клетка или клетка-матрица, основанные на взаимодействиях VLA-4-рецепторов с их лигандами, например воспалительных процессов. Предметом настоящего изобретения, далее, являются соединения формулы (Iс), используемые в качестве лекарственного средства, а также фармацевтические препараты, которые содержат одно или несколько соединений формулы (Iс) и/или их физиологически приемлемых солей наряду с фармацевтически приемлемыми носителями и/или добавками, причем также вышеприведенные пояснения относятся к этим фармацевтическим препаратам.
Далее, в уровне техники неясно еще раскрыты соединения формулы (I), в которой b означает 1 и В означает замещенный алкиленовый остаток. Предметом настоящего изобретения, таким образом, само по себе (per se) также являются соединения формулы (Id):
где W означает R1-A-C(R13) или R1-A-CH=C;
Y означает карбонил, тиокарбонил или метиленовую группу;
Z означает N(R0);
А означает двухвалентный остаток, выбранный из ряда (С1-С6)-алкилена, (С3-С7)-циклоалкилена, фенилена, фенилен-(С1-C6)-алкила, (С1-С6)-алкиленфенила, фенилен-(С2-С6)-алкенила; или двухвалентный остаток пяти- или шестичленного насыщенного или ненасыщенного цикла, который может содержать 1 или 2 атома азота и может быть одно- или двукратно замещен (С1-С6)-алкилом или дважды связанным кислородом или серой;
В означает двухвалентный (С1-С6)-алкиленовый остаток, который замещен остатком, выбранным из ряда (С1-С8)-алкила, (С2-С8)-алкенила, (С2-С8)-алкинила, (С3-С10)-циклоалкила, (С3-С10)-циклоалкил-(С1-С6)-алкила, при необходимости замещенного (С6-С14)-арила, при необходимости замещенного в арильном остатке (С6-С14)-арил-(С1-С6)-алкила, при необходимости замещенного гетероарила и при необходимости замещенного в гетероарильном остатке гетероарил-(С1-С6)-алкила;
D означает C(R2)(R3), N(R3) или CH=C(R3);
Е означает тетразолил, (R8O)2P(O), HOS(O)2, R9NHS(О)2 или R10СО;
R означает водород, (С1-С8)-алкил, (С3-С8)-циклоалкил, при необходимости замещенный (С6-С14)-арил или при необходимости замещенный в арильном остатке (С6-С14)-арил-(С1-С8)-алкил;
R0 означает водород, (С1-С8)-алкил, (С3-С12)-циклоалкил, (С3-С12)-циклоалкил-(С1-С8)-алкил, (С6-С12)-бициклоалкил, (С6-С12)-бициклоалкил-(С1-С8)-алкил, (С6-С12)-трициклоалкил, (С6-С12)-трициклоалкил-(С1-С8)-алкил, при необходимости замещенный (С6-С14)-арил, при необходимости замещенный в арильном остатке (С6-С14)-арил-(С1-С8)-алкил, при необходимости замещенный гетероарил, при необходимости замещенный в гетероарильном остатке гетероарил-(С1-C8)-алкил, формил, (С1-С8)-алкил-СО, (С3-С12)-циклоалкил-СО, (С3-С12)-циклоалкил-(С1-С8)-алкил-СО, (С6-С12)-бициклоалкил-СО, (С6-С12)-бициклоалкил-(С1-С8)-алкил-СО, (С6-С12)-трициклоалкил-СО, (С6-С12)-трициклоалкил-(С1-С8)-алкил-СО, при необходимости замещенный (С6-С14)-арил-СО, при необходимости замещенный в арильном остатке (С6-С14)-арил-(С1-С8)-алкил-СО, при необходимости замещенный гетероарил-СО, при необходимости замещенный в гетероарильном остатке гетероарил-(С1-С8)-алкил-СО, (С1-С8)-алкил-S(О)n, (С3-С12)-циклоалкил-S(О)n, (С3-С12)-циклоалкил-(С1-С8)-алкил-S(О)n, (С6-С12)-бициклоалкил-S(О)n, (С6-С12)-бициклоалкил-(С1-С8)-алкил-S(О)n, (С6-С12)-трициклоалкил-S(О)n, (C6-С12)-трициклоалкил-(С1-С8)-алкил-S(О)n, при необходимости замещенный (С6-С14)-арил-S(О)n, при необходимости замещенный в арильном остатке (С6-С14)-арил-(С1-C8)-алкил-S(О)n, при необходимости замещенный гетероарил-S(О)n или при необходимости замещенный в гетероарильном остатке гетероарил-(С1-С8)-алкил-S(О)n, причем n означает 1 или 2;
R1 означает X-NH-C(=NH)-(СН2)p или X1-NH-(CH2)p, причем р означает 0, 1, 2 или 3;
Х означает водород, (С1-С6)-алкил, (С1-С6)-алкилкарбонил, (С1-С6)-алкоксикарбонил, (С1-С18)-алкилкарбонилокси-(С1-С6)-алкоксикарбонил, при необходимости замещенный (С6-С14)-арилкарбонил, при необходимости замещенный (С6-C14)-арилоксикарбонил; (С6-С14)-арил- (С1-С6)-алкоксикарбонил, который в арильном остатке также может быть замещен; (R8O)2Р(O), цианогруппу, гидроксил, (С1-С6)-алкоксил; (С6-С14)-арил-(С1-С6)-алкоксил, который в арильном остатке также может быть замещен; или аминогруппу;
Х1 имеет одно из указанных для Х значений или означает R’-NH-C(=N-R”), причем R’ и R”, независимо друг от друга, имеют указанные для Х значения;
R2 означает водород, (С1-С8)-алкил, при необходимости замещенный (С6-С14)-арил, при необходимости замещенный в арильном остатке (С6-С14)-арил-(С1-С8)-алкил или (С3-С8)-циклоалкил;
R3 означает водород, (С1-С8)-алкил, при необходимости замешенный (С6-С14)-арил, при необходимости замещенный в арильном остатке (С6-С14)-арил-(С1-С8)-алкил, (С3-С8)-циклоалкил, (С2-С8)-алкенил, (С2-С8)-алкинил, (С2-С8)-алкенилкарбонил, (С2-С8)-алкинилкарбонил, пиридил, R11NH, R4CO, COOR4, CON(CH3)R14, CONHR14, CSNHR14, COOR15, CON(CH3)R15 или CONHR15;
R4 означает водород или (С1-C28)-алкил, который при необходимости может быть одно- или многократно замещен одинаковыми или различными остатками R4′;
R4′ означает гидроксил, гидроксикарбонил, аминокарбонил, моно- или ди-((С1-С18)-алкил)аминокарбонил, амино-(С2-С18)алкиламинокарбонил, амино-(С1-С3)-алкилфенил-(С1-С3)-алкиламинокарбонил, (С1-С18)алкилкарбониламино-(С1-C3)-алкилфенил-(С1-С3)-алкиламинокарбонил, (С1-С18)-алкилкарбониламино-(С2-С18)-алкиламинокарбонил, (С6-С14)-арил-(С1-С8)-алкоксикарбонил, который в арильном остатке также может быть замещен; аминогруппу, меркаптогруппу, (С1-С18)-алкоксил, (С1-С18)-алкоксикарбонил, при необходимости замещенный (С3-С8)-циклоалкил, галоген, нитрогруппу, трифторметил или остаток R5;
R5 означает при необходимости замещенный (С6-С14)-арил, при необходимости замещенный в арильном остатке (С6-С14)-арил-(С1-С8)-алкил, моно- или бициклический 5-12-членный гетероцикл, который может быть ароматическим, частично гидрированным или полностью гидрированным и который может содержать один, два или три одинаковых или различных гетероатома, выбранных из ряда азота, кислорода и серы; остаток R6 или остаток R6СО-, причем арильный остаток и независимо от него гетероциклический остаток могут быть одно- или многократно замещены одинаковыми или различными остатками, выбранными из ряда (С1-С18)-алкила, (С1-С18)-алкоксила, галогена, нитрогруппы, аминогруппы или трифторметила;
R6 означает R7R8N, R7О или R7S или аминокислотную боковую цепь, остаток природной или синтетической аминокислоты, иминокислоты, при необходимости N-(С1-С8)-алкилированной или N-((C6-C14)-арил-(C1-C8)-алкилированной) азааминокислоты или дипептида, который в арильной части также может быть замещен и/или в котором пептидная связь может быть восстановлена до -NH-CH2-, а также их сложные эфиры и амиды, причем вместо свободных функциональных групп при необходимости может быть водород или гидроксиметил и/или причем свободные функциональные группы могут быть защищены обычными в химии пептидов защитными группами;
R7 означает водород, (С1-С18)-алкил, (С6-С14)-арил-(С1-С8)-алкил, (С1-С18)-алкилкарбонил, (С1-С18)-алкоксикарбонил, (С1-С18)-арилкарбонил, (C6-C14)-арил-(С1-C8)-алкилкарбонил или (С6-С14)-арил-(С1-С18)-алкилоксикарбонил, причем алкильные группы при необходимости могут быть защищены аминогруппой и/или причем арильные остатки могут быть одно- или многократно, предпочтительно однократно, замещены одинаковыми или различными остатками, выбранными из ряда (С1-С8)-алкила, (С1-С8)-алкоксила, галогена, нитрогруппы, аминогруппы и трифторметила; остаток природной или синтетической аминокислоты, иминокислоты, при необходимости – (С1-С8)-алкилированной или N-((С6-С14)-арил-(С1-С8)-алкилированной) азааминокислоты или дипептида, который в арильном остатке также может быть замещен и/или в котором пептидная связь может быть восстановлена до -NH-CH2-;
R8 означает водород, (С1-С18)-алкил, при необходимости замещенный (С6-С14)-арил или (С6-С14)-арил-(С1-С8)-алкил, который в арильном остатке также может быть замещен;
R9 означает водород, аминокарбонил, (С1-С18)-алкиламинокарбонил, (С3-С8)-циклоалкиламинокарбонил, при необходимости замещенный (С6-C14)-ариламинокарбонил, (С1-С18)-алкил, при необходимости замещенный (С6-С14)-арил или (С3-С8)-циклоалкил;
R10 означает гидроксил, (С1-С18)-алкоксил; (С6-С14)-арил-(С1-С8)-алкоксил, который в арильном остатке также может быть замещен; при необходимости замещенную (С6-С14)-арилоксигруппу, аминогруппу или моно- или ди-((С1-С18)-алкил)аминогруппу;
R11 означает водород, (С1-С18)-алкил, R12СО, при необходимости замещенный (С6-С14)-арил-S(O)2, при необходимости замещенный в арильном остатке (С6-С14)-арил-(С1-С8)-алкил или R9NHS(O)2;
R12 означает водород, (С1-С18)-алкил, (С2-С8)-алкенил, (С2-С8)-алкинил, при необходимости замещенный (С6-С14)-арил, (С1-С18)-алкоксил; (С6-С14)-арил-(С1-С8)-алкоксил, который в арильном остатке также может быть замещен; при необходимости замещенную (С6-С14)-арилоксигруппу, аминогруппу или моно- или ди-((С1-С18)-алкил) аминогруппу;
R13 означает водород, (С1-С6)-алкил, при необходимости замещенный в арильном остатке (С6-С14)-арил-(С1-С8)-алкил или (С3-С8)-циклоалкил;
R14 означает водород или (С1-С28)-алкил, который при необходимости может быть одно- или многократно замещен одинаковыми или различными остатками, выбранными из ряда гидроксила, гидроксикарбонила, аминокарбонила, моно- или ди-((С1-С18)-алкил)аминокарбонила, амино-(С2-С18) алкиламинокарбонила, амино-(С1-С3)-алкилфенил-(С1-C3)-алкиламинокарбонила, (С1-С18)-алкилкарбониламино-(С1-С3)-алкилфенил-(С1-С3)-алкиламинокарбонила, (С1-С18)-алкилкарбониламино-(C2-C18)-алкиламинокарбонила; (С6-С14)-арил-(С1-С8)-алкоксикарбонила, который в арильном остатке также может быть замещен; аминогруппы, меркаптогруппы, (С1-С18)-алкоксила, (С1-С18)-алкоксикарбонила, при необходимости замещенного (С3-С8)-циклоалкила, HOS(O)2-(С1-С3)-алкила, R9NHS(О)2-(С1-С3)-алкила, (R8О)2Р(О)-(С1-С3)-алкила, тетразолил-(С1-С3)-алкила, галогена, нитрогруппы, трифторметила и R5;
R15 означает R16-(С1-С6)-алкил или R16;
R16 означает 6-24-членный бициклический или трициклический остаток, который является насыщенным или частично ненасыщенным и который также может содержать 1-4 одинаковых или различных гетероатома, выбранных из ряда азота, кислорода и серы, и который также может быть замещен одним или несколькими одинаковыми или различными заместителями из ряда, состоящего из (С1-С4)-алкила и оксогруппы;
c, d и f, независимо друг от друга, означают нуль или 1, однако все одновременно не могут означать нуль;
е, g и h, независимо друг от друга, означают 0, 1, 2, 3, 4, 5 или 6;
во всех их стереоизомерных формах и в виде их смесей в любых соотношениях, а также их физиологически приемлемые соли.
Все вышеуказанные пояснения для формулы (I), например, в отношении алкильных остатков, арильных остатков и т.д. соответственно также относятся и к соединениям формулы (Id). Также вышеуказанные предпочтительные значения действуют здесь соответственно. Кроме того, в соединениях формулы (Id) особенно предпочтительно, независимо друг от друга, с означает 1, d означает 1, f означает 0 и g означает 0, е и h особенно предпочтительно, независимо друг от друга, означают 0 или 1. В отношении группы В, кроме того, для соединений формулы (Id) имеет значение следующее.
Обозначаемый группой В (С1-С6)-алкиленовый остаток в соединениях формулы (Id) предпочтительно представляет собой (С1-С4)-алкиленовый остаток, особенно предпочтительно метиленовый или этиленовый остаток (=1,2-этилен), еще более особенно предпочтительно метиленовый остаток. Заместитель в группе В, во-первых, может включать цикл, когда речь идет о заместителях, выбранных из ряда (С3-С10)-циклоалкила, (С3-С10)-циклоалкил-(С1-С6)-алкила, при необходимости замещенного (С6-С14)-арила, при необходимости замещенного в арильном остатке (С6-С14)-арил-(С1-С6)-алкила, при необходимости замешенного гетероарила и при необходимости замещенного в гетероарильном остатке гетероарил-(С1-С6)-алкила, и, во-вторых, может быть ациклическим, когда речь идет о заместителе, выбранном из ряда (С1-С8)-алкила, (C2-С8)-алкенила и (С2-С8)-алкинила. Каждый из этих ациклических заместителей может содержать 2, 3, 4, 5, 6, 7 или 8 атомов углерода и в случае насыщенного алкильного остатка также 1 атом углерода. В случае алкенильных и алкинильных остатков двойная или тройная связь может находиться в любом положении и в случае двойной связи имеет место цис- или транс-конфигурация. Как было пояснено выше, эти алкильные, алкенильные и алкинильные остатки могут быть линейными или разветвленными.
В качестве примеров заместителей, которые может содержать обозначаемый как В (С1-С6)-алкиленовый остаток, следует назвать метил, этил, н-пропил, н-бутил, н-пентил, н-гексил, н-гептил, н-октил, изопропил, изобутил, изопентил, изогексил, втор.-бутил, трет.-бутил, трет.-пентил, неопентил, неогексил, 3-метилпентил, 2-этилбутил, винил, аллил, 1-пропенил, 2-бутенил, 3-бутенил, 3-метил-2-бутенил, этинил, 1-пропинил, 2-пропинил, 6-гексинил, фенил, бензил, 1-фенилэтил, 2-фенилэтил, 3-фенилпропил, 4-бифенилилметил, циклопропил, циклопропилметил, циклопентил, циклогексил, циклогексилметил, 2-циклогексилэтил, 3-циклооктилпропил, 2-пиридил, 3-пиридил, 4-пиридил, 4-пиридилметил, 2-(4-пиридил)-этил, 2-фурилметил, 2-тиенилметил, 3-тиенилметил или 2-(3-индолил)этил.
Предпочтительными соединениями формулы (Id) являются такие, где одновременно
W означает R1-A-C(R13);
Y означает карбонил;
Z означает N (R0);
А означает двухвалентный остаток, выбранный из ряда (С3-С7)-циклоалкилена, фенилена, фенилен-(С1-С6)-алкила, (С1-C6)-алкиленфенила, или двухвалентный остаток пяти- или шестичленного насыщенного или ненасыщенного цикла, который может содержать 1 или 2 атома азота и может быть одно- или двукратно замещен (С1-С6)-алкилом или дважды связанным кислородом или серой;
В означает двухвалентный метиленовый или этиленовый остаток, который замещен остатком, выбранным из ряда (С1-С8)-алкила, (С2-С8)-алкенила, (С2-С8)-алкинила, (С3-С10)-циклоалкила, (С3-С10)-циклоалкил-(С1-С6)-алкила, при необходимости замещенного (С6-С14)-арила, при необходимости замещенного в арильном остатке (С6-С14)-арил-(С1-С6)-алкила, при необходимости замещенного гетероарила и при необходимости замещенного в гетероарильном остатке гетероарил-(С1-С6)-алкила;
D означает С(R2)(R3);
Е означает тетразолил или R10СО;
R означает водород или (С1-С8)-алкил;
R0 означает водород, (С1-С8)-алкил, (С3-С12)-циклоалкил, (С3-С12)-циклоалкил-(С1-С8)-алкил, (С6-С12)-бициклоалкил, (С6-С12)-бициклоалкил-(С1-С8)-алкил, (С6-С12)-трициклоалкил, (С6-С12)-трициклоалкил-(С1-С8)-алкил, при необходимости замещенный (С6-С14)-арил, при необходимости замещенный в арильном остатке (С6-С14)-арил-(С1-С8)-алкил, при необходимости замещенный гетероарил, при необходимости замещенный в гетероарильном остатке гетероарил-(C1-C8)-алкил, формил, (C1-C8)-алкил-СО, (С3-С12)-циклоалкил-СО, (С3-С12)-циклоалкил-(С1-С8)-алкил-СО, (С6-С12)-бициклоалкил-СО, (С6-С12)-бициклоалкил-(С1-С8)-алкил-СО, (C6-C12)-трициклоалкил-СО, (С6-С12)-трициклоалкил-(С1-С8)-алкил-СО, при необходимости замещенный (С6-С14)-арил-СО, при необходимости замещенный в арильном остатке (C6-C14)-арил-(С1-С8)-алкил-СО, при необходимости замещенный гетероарил-СО, при необходимости замешенный в гетероарильном остатке гетероарил-(С1-С8)-алкил-СО, (C1-C8)-алкил-S(O)n, (С3-С12)-циклоалкил-S(O)n, (С3-С12)-циклоалкил-(C1-C8)-алкил-S(О)n, (С6-С12)-бициклоалкил-S(О)n, (С6-С12)-бициклоалкил-(С1-С8)-алкил-S(О)n, (C6-C12)-трициклоалкил-S(О)n, (С6-С12)-трициклоалкил-(С1-С8)-алкил-S(О)n, при необходимости замещенный (С6-С14)-арил-S(О)n, при необходимости замещенный в арильном остатке (С6-С14)-арил-(С1-С8)-алкил-S(О)n, при необходимости замещенный гетероарил-S(О)n или при необходимости замещенный в гетероарильном остатке гетероарил-(С1-С8)-алкил-S(О)n, причем n означает 1 или 2;
R1 означает X-NH-C(=NH)-(СН2)p или X1-NH-(CH2)p, причем р означает 0, 1, 2 или 3;
X означает водород, (С1-С6)-алкил, (С1-С6)-алкилкарбонил, (С1-С6)-алкоксикарбонил, (С1-С18)-алкилкарбонилокси-(С1-С6)-алкоксикарбонил, при необходимости замещенный (С6-С14)-арилкарбонил, при необходимости замещенный (С6-С14)-арилоксикарбонил; (С6-С14)-арил-(С1-С6)-алкоксикарбонил, который в арильном остатке также может быть замещен; цианогруппу, гидроксил, (С1-С6)-алкоксил; (С6-С14)-арил-(С1-С6)-алкоксил, который в арильном остатке также может быть замещен; или аминогруппу;
X1 имеет одно из указанных для Х значений или означает R’-NH-C(=N-R”), причем R’ и R”, независимо друг от друга, имеют указанные для Х значения;
R2 означает водород или (С1-С8)-алкил;
R3 означает водород, (С1-С8)-алкил, при необходимости замещенный (С6-С14)-арил, при необходимости замещенный в арильном остатке (С6-С14)-арил-(С1-С8)-алкил, (С3-С8)-циклоалкил, (С2-С8)-алкенил, (С2-С8)-алкинил, (С2-С8)-алкенилкарбонил, (С2-С8)-алкинилкарбонил, пиридил, R11NH, CON(CH3)R14, CONHR14, CON(CH3)R15 или CONHR15;
R5 означает при возможности замещенный (С6-С14)-арил, при возможности замещенный в арильном остатке (С6-С14)-арил-(С1-С8)-алкил, моно- или бициклический 5-12-членный гетероцикл, который может быть ароматическим, частично гидрированным или полностью гидрированным и который может содержать один, два или три одинаковых или различных гетероатома, выбранных из ряда азота, кислорода и серы; или означает остаток R6СО-, причем арильный остаток и независимо от него гетероциклический остаток могут быть одно- или многократно замещены одинаковыми или различными остатками, выбранными из ряда (С1-С8)-алкила, (С1-С8)-алкоксила, галогена, нитрогруппы, аминогруппы или трифторметила;
R6 означает остаток природной или синтетической аминокислоты, иминокислоты, возможно N-(С1-С8)-алкилированной или N-((С6-С14)-арил-(С1-С8)-алкилированной) азааминокислоты или дипептида, который в арильном остатке также может быть замещен, а также их сложные эфиры и амиды, причем свободные функциональные группы могут быть защищены обычными в химии пептидов защитными группами;
R10 означает гидроксил, (С1-С18)-алкоксил; (С6-С14)-арил-(С1-С8)-алкоксил, который в арильном остатке также может быть замещен; при необходимости замещенную (С6-С14)-арилоксигруппу, аминогруппу или моно- или ди-((С1-С18)-алкил)аминогруппу;
R11 означает R12CO, при необходимости замещенный (С6-С14)-арил-S(О)2 или (С1-С18)-алкил-S(О)2;
R12 означает водород, (С1-С18)-алкил, (С2-С8)-алкенил, (С2-С8)-алкинил, при необходимости замещенный (С6-С14)-арил, (С1-С18)-алкоксил; (C6-C14)-арил-(С1-C8)-алкоксил, который в арильном остатке также может быть замещен, или при необходимости замещенную (С6-С14)-арилоксигруппу;
R13 означает водород или (С1-С4)-алкил;
R14 означает (С1-С10)-алкил, который при необходимости может быть одно- или многократно замещен одинаковыми или разными остатками из ряда, состоящего из гидроксила, гидроксикарбонила, аминокарбонила, моно- или ди-((С1-С18)-алкил) аминокарбонила, (С6-С14)-арил-(С1-С8)-алкоксикарбонила, который в арильном остатке также может быть замещен, (С1-С8)-алкоксила, (С1-С8)-алкоксикарбонила, при необходимости замещенного (С3-С8)-циклоалкила, тетразолил-(С1-С3)-алкила, трифторметила и R5;
R15 означает R16-(С1-С6)-алкил или R16;
R16 означает 6-24-членный бициклический или трициклический остаток, который является насыщенным или частично ненасыщенным и который также может содержать 1-4 одинаковых или различных гетероатома, выбранных из ряда азота, кислорода и серы, и который также может быть замещен одним или несколькими одинаковыми или различными заместителями, выбранными из ряда (С1-С4)-алкила и оксогруппы;
с и d означает 1 и f означает нуль;
е и h, независимо друг от друга, означают ноль или 1, а g означает ноль;
во всех их стереоизомерных формах и в виде их смесей в любых соотношениях, а также их физиологически приемлемые соли.
Особенно предпочтительными соединениями формулы (Id) являются такие, где остаток, который замещен группой В, представляет собой (С1-С8)-алкильный остаток, во всех их стереоизомерных формах и в виде их смесей в любых соотношениях, а также их физиологически приемлемые соли.
Вышеприведенные пояснения в отношении получения соединений формулы (I) и их применения точно также действуют и для соединений формулы (Id). Эти соединения, естественно, также являются ингибиторами адгезии лейкоцитов и/или антагонистами VLA-4-рецептора и пригодны для лечения и профилактики заболеваний, которые возникают вследствие адгезии лейкоцитов и/или миграции лейкоцитов в нежелательном масштабе или связаны с этим или в случае которых играют роль взаимодействия клетка-клетка или клетка-матрица, основанные на переменных действиях VLA-4-рецепторов с их лигандами, например воспалительных процессов. Предметом настоящего изобретения, далее, являются соединения формулы (Id), используемые в качестве лекарственного средства, а также лекарственные средства, которые содержат одно или несколько соединений формулы (Id) и/или их физиологически приемлемых солей наряду с фармацевтически приемлемыми носителями и/или добавками, причем вышеприведенные пояснения действуют также для этих фармацевтических препаратов.
В уровне техники нераскрыты соединения формулы (I), в которой R0 означает ацильный остаток, сульфонильный остаток или сульфинильный остаток. Предметом настоящего изобретения, таким образом, далее, являются также (per se) само по себе соединения формулы (Iе):
где W означает R1-A-C(R13) или R1-A-CH=С;
Y означает карбонил, тиокарбонил или метиленовую группу;
Z означает N(R0), кислород, серу или метиленовую группу;
А означает двухвалентный остаток, выбранный из ряда, состоящего из (C1-C6)-алкилена, (С3-С7)-циклоалкилена, фенилена, фенилен-(C1-C6)-алкила, (C1-C6)-алкиленфенила, фенилен-(С2-С6)-алкенила, или двухвалентный остаток пяти- или шестичленного насыщенного или ненасыщенного цикла, который может содержать 1 или 2 атома азота и может быть одно- или двукратно замещен (С1-С6)-алкилом или дважды связанным кислородом или серой;
В означает двухвалентный остаток, выбранный из ряда (С1-С6)-алкилена, (С2-С6)-алкенилена, фенилена, фенилен-(С1-С3)-алкила, (С1-С3)-алкиленфенила;
D означает С(R2)(R3), N(R3) или CH=C(R3);
Е означает тетразолил, (R8O)2P(O), HOS(О)2 или R10СО;
R означает водород, (С1-С8)-алкил, (С3-С8)-циклоалкил, при необходимости замещенный (С6-С14)-арил или при необходимости замещенный в арильном остатке (С6-С14)-арил-(С1-С8)-алкил;
R0 означает формил, (С1-С8)-алкил-СО, (С3-С12)-циклоалкил-СО, (С3-С12)-циклоалкил-(С1-С8)-алкил-СО, (С6-С12)-бициклоалкил-СО, (С6-С12)-бициклоалкил-(С1-С8)-алкил-СО, (С6-С12)-трициклоалкил-СО, (С6-С12)-трициклоалкил-(С1-С8)-алкил-СО, при необходимости замещенный (С6-С14)-арил-СО, при необходимости замещенный в арильном остатке (C6-C14)-арил-(С1-С8)-алкил-СО, при необходимости замещенный гетероарил-СО, при необходимости замещенный в гетероарильном остатке гетероарил-(С1-С8)-алкил-СО, (С1-С8)-алкил-S(О)n, (С3-С12)-циклоалкил-S(О)n, (С3-С12)-циклоалкил-(С1-С8)-алкил-S(O)n, (С6-С12)-бициклоалкил-S(O)n, (С6-С12)-бициклоалкил-(С1-С8)-алкил-S(О)n, (C6-C12)-трициклоалкил-S(О)n, (С6-С12)-трициклоалкил-(С1-С8)-алкил-S(О)n, при необходимости (С6-С14)-арил-S(O)n, при необходимости замещенный в арильном остатке (C6-C14)-арил-(С1-С8)-алкил-S(О)n, при необходимости замещенный гетероарил-S(О)n или при необходимости замещенный в гетероарильном остатке гетероарил-(С1-С8)-алкил-S(О)n, причем n означает 1 или 2;
R1 означает X-NH-C(=NH)-(СН2)p или X1-NH-(CH2)p, причем р означает 0, 1, 2 или 3;
X означает водород, (С1-С6)-алкил, (С1-С6)-алкилкарбонил, (С1-С6)-алкоксикарбонил, (С1-С18)-алкилкарбонилокси-(С1-С6)-алкоксикарбонил, возможно замещенный (С6-С14)-арилкарбонил, при необходимости замещенный (С6-С14)-арилоксикарбонил; (С6-С14)-арил-(С1-С6)-алкоксикарбонил, который в арильном остатке также может быть замещен; (R8O)2P(O), цианогруппу, гидроксил, (С1-С6)-алкоксил; (С6-С14)-арил-(С1-С14)-алкоксил, который в арильном остатке также может быть замещен, или аминогруппу;
X1 имеет одно из указанных для Х значений или означает R’-NH-C(=NP”), причем R’ и R”, независимо друг от друга, имеют указанные для Х значения;
R2 означает водород, (С1-С8)-алкил, при необходимости замещенный (С6-С14)-арил, при необходимости замещенный в арильном остатке (C6-C14)-арил-(С1-C8)-алкил или (С3-С8)-циклоалкил;
R3 означает водород, (С1-С8)-алкил, при необходимости замещенный (С6-С14)-арил, при необходимости замещенный в арильном остатке (С6-С14)-арил-(С1-С8)-алкил, (С3-C8)-циклоалкил, (C2-C8)-алкенил, (C2-C8)-алкинил, (С2-С8)-алкенилкарбонил, (С2-С8)-алкинилкарбонил, пиридил, R11NH, R4CO, COOR4, CON(CH3)R14, CONHR14, CSNHR14, COOR15, CON(CH3)R15 или CONHR15;
R4 означает водород или (С1-С28)-алкил, который при необходимости может быть одно- или многократно замещен одинаковыми или разными остатками R4′;
R4′ означает гидроксил, гидроксикарбонил, аминокарбонил, моно- или ди-((С1-С18)-алкил)аминокарбонил, амино-(С2-С18)-алкиламинокарбонил, амино-(С1-С3)-алкилфенил-(С1-С3)-алкиламинокарбонил, (С1-С18)-алкилкарбониламино-(С1-С3)-алкилфенил-(С1-С3)-алкиламинокарбонил, (С1-С18)-алкилкарбониламино-(С2-С18)-алкиламинокарбонил; (С6-С14)-арил-(С1-С8)-алкоксикарбонил, который в арильном остатке также может быть замещен; аминогруппу, меркаптогруппу, (С1-С18)-алкоксил, (С1-С18)-алкоксикарбонил, при необходимости замещенный (С3-С8)-циклоалкил, галоген, нитрогруппу, трифторметил или остаток R5;
R5 означает при необходимости замещенный (С6-С14)-арил, при необходимости замещенный в арильном остатке (С6-С14)-арил-(С1-С8) -алкил; моно- или бициклический 5-12 членный гетероцикл, который может быть ароматическим, частично гидрированным или полностью гидрированным и может содержать один, два или три одинаковых или различных гетероатома, выбранных из ряда азота, кислорода и серы; остаток R6 или остаток R6-СО-, причем арильный остаток и независимо от него гетероциклический остаток могут быть одно- или многократно замещены одинаковыми или различными остатками, выбранными из ряда (С1-С18)-алкила, (С1-С18)-алкоксила, галогена, нитрогруппы, аминогруппы или трифторметила;
R6 означает R7R8N, R7О или R7S или аминокислотную боковую цепь, остаток природной или синтетической аминокислоты, иминокислоты, при необходимости N-(С1-С8)-алкилированной или N-((С6-С14)-арил-(С1-С8)-алкилирсванной) азааминокислоты или дипептида, который в арильном остатке также может быть замещен и/или в котором пептидная связь может быть восстановлена до -NH-CH2-, а также их сложные эфиры и амиды, причем вместо свободных функциональных групп при необходимости может быть водород или гидроксиметил и/или причем свободные функциональные группы могут быть защищены обычными в химии пептидов защитными группами;
R7 означает водород, (С1-С18)-алкил, (С6-С14)-арил-(С1-С8)-алкил, (С1-С18)-алкилкарбонил, (С1-С18)-алкоксикарбонил, (C6-C14)-арилкарбонил, (C6-C14)-арил-(C1-C8)-алкилкарбонил или (C6-C14)-арил-(C1-C18)-алкоксикарбонил, причем алкильные группы при необходимости замещены аминогруппой и/или причем арильные остатки могут быть одно- или многократно, предпочтительно однократно, замещены одинаковыми или различными остатками, выбранными из ряда (C1-C8)-алкила, (С1-С8)-алкоксила, галогена, нитрогруппы, аминогруппы и трифторметила; остаток природной или синтетической аминокислоты, иминокислоты, возможно N-(С1-С8)-алкилированной или N-((С6-С14)-арил-(С1-С8)-алкилированной) азааминокислоты или дипептида, который в арильном остатке также может быть замещен и/или в котором пептидная связь может быть восстановлена до -NH-CH2-;
R8 означает водород, (С1-С18)-алкил, при необходимости замещенный (С6-С14)-арил или (С6-С14)-арил-(С1-С8)-алкип, который в арильном остатке может быть также замещен;
R9 означает водород, аминокарбонил, (С1-С18)-алкиламинокарбонил, (С3-С8)-циклоалкиламинокарбонил, при необходимости замещенный (С6-С14)-ариламинокарбонил, (С1-С18)-алкил, при необходимости замещенный (С6-С14)-арил или (С3-С8)-циклоалкил;
R10 означает гидроксил, (С1-С18)-алкоксил; (С6-С14)-арил-(С1-С8)-алкоксил, который в арильном остатке также может быть замещен; при необходимости замещенную (С6-С14)-арилоксигруппу, аминогруппу или моно- или ди-((С1-С18)-алкил)аминогруппу;
R11 означает водород, (С1-С18)-алкил, R12СО, при необходимости замещенный (C6-C14)-арил-S(O)2, (С1-С18)-алкил-S(О)2, при необходимости замещенный в арильном остатке (С6-С14)-арил-(С1-С8)-алкил или R9NHS(O)2;
R12 означает водород, (C1-C18)-алкил, (С2-С8)-алкенил, (С2-С8)-алкинил, при необходимости замещенный (С6-С14)-арил, (С1-С18)-алкоксил, (С6-С14)-арил-(С1-С8)-алкоксил, который в арильном остатке также может быть замещен; при необходимости замещенную (С6-С14)-арилоксигруппу, аминогруппу или моно- или ди-((С1-С18)-алкил) аминогруппу;
R13 означает водород, (С1-С6)-алкил, при необходимости замещенный в арильном остатке (С6-С14)-арил-(С1-С8)-алкил или (С3-С8)-циклоалкил;
R14 означает водород или (С1-С28)-алкил, который при необходимости может быть одно- или многократно замещен одинаковыми или различными остатками, выбранными из ряда гидроксила, гидроксикарбонила, аминокарбонила, моно- или ди-((С1-С18)-алкил)аминокарбонила, амино-(С1-С3)-алкиламинокарбонила, амино-(С1-С3)-алкилфенил-(С1-С3)-алкиламинокарбонила, (С1-С18)-алкилкарбониламино-(С1-С3)-алкилфенил-(С1-С3)-алкиламинокарбонила, (С1-С18)-алкилкарбониламино-(С2-С18)-алкиламинокарбонила; (С6-С14)-арил-(С1-С8)-алкоксикарбонила, который в арильном остатке также может быть замещен; аминогруппы, меркаптогруппы, (С1-С18)-алкоксила, (С1-С18)-алкоксикарбонила, при необходимости замещенного (С3-С8)-циклоалкила, HOS(O)2-(С1-С3)-алкила, R9NHS(O)2-(С1-С3)-алкила, (R8О)2Р(О)-(С1-С3)-алкила, тетразолил-(С1-С3)-алкила, галогена, нитрогруппы, трифторметила и R5;
R15 означает R16-(С1-С6)-алкил или R16;
R16 означает 6-24-членный бициклический или трициклический остаток, который является насыщенным или частично ненасыщенным и который также может содержать 1-4 одинаковых или различных гетероатома, выбранных из ряда азота, кислорода и серы, и который также может быть замещен одним или несколькими одинаковыми или различными заместителями, выбранными из ряда, состоящего из (С1-С4)-алкила и оксогруппы;
b, с, d и f, независимо друг от друга, означают нуль или 1, однако все одновременно не могут означать нуль;
е, g и h, независимо друг от друга, означают 0, 1, 2, 3, 4, 5 или 6;
во всех их стереоизомерных формах и в виде их смесей в любых соотношениях, а также их физиологически приемлемые соли.
Все вышеприведенные пояснения для формулы (I), например, в отношении алкильных остатков, арильных остатков и т.д. действуют соответственно также для соединений формулы (Ie). Также вышеуказанные предпочтительные значения действуют здесь соответственно.
Вышеприведенные пояснения для получения соединений формулы (I) и их применения точно также действуют и для соединений формулы (Ie). Эти соединения, естественно, также являются ингибиторами адгезии лейкоцитов и/или антагонистами VLA-4-рецептора и пригодны для лечения и профилактики заболеваний, которые возникают вследствие адгезии лейкоцитов и/или миграции лейкоцитов в нежелательном масштабе или связаны с этим или в случае которых играют роль взаимодействия клетка-клетка или клетка-матрица, основанные на переменных действиях VLA-4-рецепторов с их лигандами, например воспалительных процессов. Предметом настоящего изобретения, далее, являются соединения формулы (Iе), используемые в качестве лекарственного средства, а также фармацевтические препараты, которые содержат одно или несколько соединений формулы (Iе) и/или их физиологически приемлемых солей наряду с фармацевтически приемлемыми носителями и/или добавками, причем также вышеприведенные пояснения действуют снова для этих фармацевтических препаратов.
ПРИМЕРЫ
Продукты идентифицируют с помощью масс-спектров (МС) и/или ЯМР-спектров. Соединения, которые очищают путем хроматографии при использовании растворителя, который содержит, например, уксусную кислоту или трифторуксусную кислоту, и затем подвергают сушке вымораживанием, в зависимости от осуществления сушки вымораживанием содержат частично еще происходящую от растворителя кислоту, следовательно, получаются частично или полностью в форме соли используемой кислоты, например в виде соли уксусной кислоты или трифторуксусной кислоты.
Используемые далее сокращения имеют следующие значения:
ДМФА – N,N-диметилформамид
ТГФ – тетрагидрофуран
ДЦК – N,N’-дициклогексилкарбодиимид
HOBt – 1-гидроксибензотриазол
HOOBt – 3-гидрокси-4-оксо-3,4-дигидро-1,2,3-бензотриазин
OBut – трет.-бутоксигруппа
ПРИМЕР 1
((R, S)-4-(4-(Аминоиминометил)-фенил)-4-метил-2,5-диоксоимидазолидин-1-ил)-ацетил-L-аспартил-L-фенилглицин
1а). (R, S)-4-(4-Цианофенил)-4-метил-2,5-диоксоимидазолидин
20 г (138 ммоль) п-Ацетилбензонитрила, 115,6 г (1,21 моль) карбоната аммония и 11,6 г (178 ммоль) цианида калия растворяют в смеси из 50% этанола и 50% воды. Смесь перемешивают в течение 5 часов при 55
С и выдерживают в течение ночи при комнатной температуре. В растворе устанавливают рН 6,3 с помощью 6 н. соляной кислоты и затем перемешивают в течение двух часов при комнатной температуре. Осадок отфильтровывают под вакуумом, промывают водой и сушат в высоком вакууме над пентоксидом фосфора. Выход составляет 22,39 г (75%).
Масс-спектр (бомбардировка быстрыми атомами): 216,1 (М+Н)+.
1б). Метиловый эфир ((R, S)-4-(4-цианофенил)-4-метил-2,5-диоксо-имидазолидин-1-ил) уксусной кислоты
1,068 г (46,67 ммоль) Натрия в атмосфере азота растворяют в 110 мл абсолютного метанола. Прозрачный раствор смешивают с 10 г (46,67 ммоль) (R, S)-4-(4-цианофенил)-4-метил-2,5-диоксоимидазолидина и смесь кипятят с обратным холодильником в течение двух часов. Добавляют 7,75 г (46,68 ммоль) иодида калия и в течение часа прикапывают раствор 4,53 мл метилового эфира хлоруксусной кислоты (51,3 ммопь) в 5 мл метанола. Кипятят в течение 6 часов, выдерживают в течение ночи при комнатной температуре и концентрируют. Маслянистый остаток хроматографируют на силикагеле с помощью смеси дихлорметана с этилацетатом в соотношении 9:1. Выход составляет 8,81 г (66%).
Масс-спектр (бомбардировка быстрыми атомами): 288 (М+H)+.
1в). Гидрохлорид метилового эфира ((R, S)-4-(4-этоксииминометил)-фенил)-4-метил-2,5-диоксоимидазолидин-1-ил) уксусной кислоты
Суспензию 4 г (13,92 ммоль) метилового эфира ((R, S)-4-(4-цианофенил)-4-метил-2,5-диоксоимидазолидин-1-ил) уксусной кислоты в 60 мл абсолютного этанола охлаждают до 0
(с=1, в метаноле).
Масс-спектр (бомбардировка быстрыми атомами): 539,2 (М+Н)+.
ПРИМЕР 2
((R, S)-4-(4-(Аминоиминометил)фенил)-3,4-диметил-2,5-ди-оксоимидазолидин-1-ил)-ацетил-L-аспартил-L-фенилглицин
2а). Метиловый эфир ((R, S)-4-(4-цианофенил)-3,4-диметил-2,5-диоксоимидазолидин-1-ил) уксусной кислоты
3 г (10,4 ммоль) Метилового эфира ((R, S)-4-(4-цианофенил)-4-метил-2,5-диоксоимидазолидин-1-ил) уксусной кислоты растворяют в 15 мл безводного диметилформамида в атмосфере аргона. В противотоке аргона добавляют 275,5 мг дисперсии гидрида натрия в минеральном масле (11,4 ммоль). Реакционную смесь перемешивают в течение 15 минут при комнатной температуре, затем смешивают с 721 мкмоль (11,4 ммоль) метилиодида. Перемешивают 4 часа при комнатной температуре и затем оставляют стоять в течение ночи при комнатной температуре. Раствор концентрируют. Для очистки вещество хроматографируют на силикагеле с помощью смеси дихлорметана с этилацетатом в соотношении 9,5:0,5. Фракции с чистым веществом концентрируют. Выход составляет 2,14 г масла (68%).
Масс-спектр (бомбардировка быстрыми атомами): 302,2 (М+Н)+.
2б). Гидрохлорид метилового эфира ((R, S)-4-(4-(этоксиминометил)-фенил)-3,4-диметил-2,5-диоксоимидазолидин-1-ил) уксусной кислоты
Раствор 2,56 г (8,5 ммоль) метилового эфира ((R, S)-4-(4-цианофенил)-3,4-метил-2,5-диоксоимидазолидин-1-ил) уксусной кислоты в 40 мл абсолютного этанола охлаждают до температуры 0
(с=1, в метаноле).
Масс-спектр (бомбардировка быстрыми атомами): 553,2 (М+Н)+.
Соединения примеров 3-17 получают аналогично методике примера 2.
ПРИМЕР 3
((R, S)-4-(4-(аминоиминометил)-фенил)-3-этил-4-метил-2,5-диоксоимидазолидин-1-ил)ацетил-L-аспартил-L-фенилглицин
Масс-спектр (бомбардировка быстрыми атомами): 567,2 (М+Н)+.
ПРИМЕР 4
((R, S)-4-(4-(Аминоиминометил)-фенил)-3-бензил-4-метил-2,5-диоксоимидазолидин-1-ил)-ацетил-L-аспартил-L-фенилглицин
Масс-спектр (бомбардировка быстрыми атомами): 629,0 (М+Н)+.
ПРИМЕР 5
((R, S)-4-(4-(Аминоиминометил)-фенил)-3-(4-трет.-бутилбензил)-4-метил-2,5-диоксоимидазолидин-1-ил)ацетил-L-аспартил-L-фенилглицин
Масс-спектр (бомбардировка быстрыми атомами): 685,4 (М+Н)+.
ПРИМЕР 6
((R, S)-4-(4-(Аминоиминометил)-фенил-3-(2,3,4,5,6-пентафторбензил)-4-метил-2,5-диоксоимидазолидин-1-ил)ацетил-L-аспартил-L-фенилглицин
Масс-спектр (бомбардировка быстрыми атомами): 719,3 (М+Н)+.
ПРИМЕР 7
((R, S)-4-(4-(Аминоиминометил)-фенил)-3-(4-нитробензил)-4-метил-2,5-диоксоимидазолидин-1-ил)ацетил-L-аспартил-L-фенилглицин
Масс-спектр (бомбардировка быстрыми атомами): 674,3 (М+Н)+.
ПРИМЕР 8
((R, S)-4-(4-(Аминоиминометил)-фенил)-3-(3,5-диметилбензил)-4-метил-2,5-диоксоимидазолидин-1-ил)ацетил-L-аспартил-L-фенилглицин
Масс-спектр (бомбардировка быстрыми атомами): 657,3 (М+Н)+.
ПРИМЕР 9
((R, S)-4-(4-(Аминоиминометил)-фенил)-3-((2-нафтил)метил)-4-метил-2,5-диоксоимидазолидин-1-ил) ацетат-L-аспартил-L-фенилглицин
Масс-спектр (бомбардировка быстрыми атомами): 679,2 (М+Н)+.
ПРИМЕР 10
((R, S)-4-(4-(Аминоиминометил)-фенил)-3-((2-(фенилсульфонилметил)-бензил-4-метил-2,5-диоксиимидазолидин-1-ил)ацетил-L-аспартил-L-фенилглицин
Масс-спектр (бомбардировка быстрыми атомами): 783,2 (М+Н)+.
ПРИМЕР 11
((R, S)-4-(4-(Аминоиминометил)-фенил)-3-((2-бифенилил)-метил)-4-метил-2,5-диоксоимидазолидин-1-ил)-ацетил-L-аспартил-L-фенилглицин
Масс-спектр (бомбардировка быстрыми атомами): 705,2 (М+Н)+.
ПРИМЕР 12
((R, S)-4-(4-(Аминоиминометил)-фенил)-3-(4-метилбензил)-4-метил-2,5-диоксоимидазолидин-1-ил)-ацетил-L-аспартил-L-фенилглицин
Масс-спектр (бомбардировка быстрыми атомами): 643,3 (М+Н)+.
ПРИМЕР 13
((R, S)-4-(4-(Аминоиминометил)-фенил)-3-((1-нафтил)-метил)-4-метил-2,5-диоксоимидазолидин-1-ил)-ацетил-L-аспартил-L-фенилглицин
Масс-спектр (бомбардировка быстрыми атомами): 679,3 (М+Н)+.
ПРИМЕР 14
((R, S)-4-(4-(Аминоиминометил)-фенил)-3-((4-бифенилил)метил)-4-метил-2,5-диоксоимидазолидин-1-ил)-ацетил-L-аспартил-L-фенилглицин
Масс-спектр (бомбардировка быстрыми атомами): 705,3 (М+Н)+.
ПРИМЕР 15
((R, S)-4-(4-(Аминоиминометил)-фенил)-3-(4-трифторметилбензил) -4-метил-2,5-диоксоимидазолидин-1-ил)-ацетил-L-аспартил-L-фенилглицин
Масс-спектр (бомбардировка быстрыми атомами): 697,3 (М+Н)+.
ПРИМЕР 16
((R, S)-4-(4-(Аминоиминометил)-фенил)-3-(3,5-бис (трифторметил) бензил)-4-метил-2,5-диоксоимидазолидин-1-ил)-ацетил-L-аспартил-L-фенилглицин
Масс-спектр (бомбардировка быстрыми атомами): 765,2 (М+Н)+.
ПРИМЕР 17
((R, S)-4-(4-(Аминоиминометил)-фенил)-3-(пентаметилбензил)-4-метил-2,5-диоксоимидазолидин-1-ил)-ацетил-L-аспартил-L-фенилглицин
Масс-спектр (бомбардировка быстрыми атомами): 699,3 (М+Н)+.
ПРИМЕР 18
((R, S)-4-(4-(Аминоиминометил)-фенил)-3-((4-бифенилил)-метил) 4-метил-2,5-диоксоимидазолидин-1-ил)-ацетил-L-N-метиласпартил-L-фенилглицин
18а). Бензиловый эфир ((S)-3-бензилоксикарбонил-5-оксо-1,3-оксазолидин-4-ил) уксусной кислоты
3,57 г (10 ммоль)
молекулярного сита. Смесь кипятят с обратным холодильником в течение 30 минут и затем концентрируют в вакууме. Для очистки вещество хроматографируют на силикагеле с помощью смеси толуола с этилацетатом в соотношении 3:2. Выход составляет 2,94 г (80%).
Масс-спектр (бомбардировка быстрыми атомами): 370,2 (М+Н)+.
18б).
и затем порциями добавляют 2 мл эфирата трифторида бора. Реакционную смесь перемешивают 2 часа при комнатной температуре. Реакционный раствор разбавляют дихлорметаном и органическую фазу затем встряхивают с водным раствором гидрокарбоната натрия. Органическую фазу концентрируют и остаток высушивают в вакууме. Выход составляет 820 мг (92%).
Масс-спектр (бомбардировка быстрыми атомами): 394,3 (М+Н)+.
18в). Трет.-Бутиловый эфир L-N-бензилоксикарбонил-N-метил-аспартил-(
Масс-спектр (бомбардировка быстрыми атомами): 705,2 (M+H)+.
ПРИМЕР 21
((R, S)-4-(4-(Аминоиминометил)-фенил)-3-бензил-4-метил-2,5-диоксоимидазолидин-1-ил)-ацетил-L-аспартил-L-валин
Масс-спектр (бомбардировка быстрыми атомами): 595,2 (М+Н)+.
ПРИМЕР 22
((R, S)-4-(4-(Аминоиминометил)-фенил)-3-бензил-4-метил-2,5-диоксоимидазолидин-1-ил)-ацетил-L-аспартил-L-лейцин
Масс-спектр (бомбардировка быстрыми атомами): 609,3 (М+Н)+.
ПРИМЕР 23
((R, S)-4-(4-(Аминоиминометил)-фенил)-3-бензил-4-метил-2,5-диоксоимидазолидин-1-ил)-ацетил-L-аспартил-L-серин
Масс-спектр (бомбардировка быстрыми атомами): 583,2 (M+H)+.
ПРИМЕР 24
((R, S)-4-(4-(Аминоиминометил)-фенил)-3-бензил-4-метил-2,5-диоксоимидазолидин-1-ил)-ацетил-L-аспартил-L-фенилаланин
Масс-спектр (бомбардировка быстрыми атомами): 643,3 (М+Н)+.
ПРИМЕР 25
Метиловый эфир ((R, S)-4-(4-(Аминоиминометил)-фенил)-3-бензил-4-метил-2,5-диоксоимидазолидин-1-ил)-ацетил-L-аспартил-L-фенилглицина
Масс-спектр (бомбардировка быстрыми атомами): 643,2 (М+Н)+.
ПРИМЕР 26
((R, S)-4-(4-(Аминоиминометил)-фенил)-3-бензил-4-метил-2,5-диоксоимидазолидин-1-ил)-ацетил-L-аспартил-(2-адамантил-амид)
Масс-спектр (бомбардировка быстрыми атомами): 629,5 (М+Н)+.
ПРИМЕР 27
((R, S)-4-(4-(Аминоиминометил)-фенил)-3-бензил-4-метил-2,5-диоксоимидазолидин-1-ил)-ацетил-L-аспартил-(1-адамантил-амид)
Масс-спектр (бомбардировка быстрыми атомами): 629,3 (М+Н)+.
ПРИМЕР 28
((R, S)-4-(4-(Аминоиминометил)-фенил)-3-бензил-4-метил-2,5-диоксоимидазолидин-1-ил)-ацетил-L-аспартил-((1-адамантилметил)амид
Масс-спектр (бомбардировка быстрыми атомами): 643,4 (М+Н)+.
Соединения примеров 29 и 30 являются диастереомерами. Одно из соединений примеров 29 и 30 в центре хиральности у атома углерода в положении 4 имидазолинового цикла имеет (S)-конфигурацию, а другое – (R)-конфигурацию. Соединения получают из соединения примера 4 путем разделения с помощью препаративной высокоэффективной жидкостной хроматографии (ВЭЖХ) (элюирующее средство: смесь ацетонитрила с водой и ацетатом аммония в соотношении 18:83:0,1).
ПРИМЕР 29: Диастереомер I
((S или R)-4-(4-(Аминоиминометил)-фенил)-3-бензил-4-метил-2,5-диоксоимидазолидин-1-ил)-ацетил-L-аспартил-L-фенилглицин
Масс-спектр (бомбардировка быстрыми атомами): 628,3 (М+Н)+.
ПРИМЕР 30: Диастереомер II
((R или S)-4-(4-(Аминоиминометил)-фенил)-3-бензил-4-метил-2,5-диоксоимидазолидин-1-ил)-ацетил-L-аспартил-L-фенилглицин
Масс-спектр (бомбардировка быстрыми атомами): 628,3 (М+Н)+.
ПРИМЕР 31
Гидрохлорид (R, S)-3-((R, S)-4-(4-(аминоиминометил)-фенил)-3,4-диметил-2,5-диоксоимидазолидин-1-ил)-ацетиламино)-3-фенилпропионовой кислоты
Масс-спектр (бомбардировка быстрыми атомами): 452 (М+Н)+.
ПРИМЕР 32
Гидрохлорид (R, S)-3-((R, S)-4-(4-(аминоиминометил)-фенил-3-этил-4-метил-2,5-диоксоимидазолидин-1-ил)-ацетиламино)-3-фенилпропионовой кислоты
Масс-спектр (бомбардировка быстрыми атомами): 466 (М+Н)+.
ПРИМЕР 33
Гидрохлорид (R, S)-3-(((R, S)-4-(4-(Аминоиминометил)-фенил)-3-бензил-4-метил-2,5-диоксоимидазолидин-1-ил)-ацетиламино)-3-фенилпропионовой кислоты
Масс-спектр (бомбардировка быстрыми атомами): 528,3 (М+Н)+.
ПРИМЕР 34
Гидрохлорид 3-(((R, S)-4-(4-(аминоиминометил)-фенил)-3-бензил-4-метил-2,5-диоксоимидазолидин-1-ил)-ацетиламино) пропионовой кислоты
Масс-спектр (бомбардировка быстрыми атомами): 452,3 (М+Н)+.
ПРИМЕР 35
((S)-4-(3-аминопропил)-3-этил-2,5-диоксоимидазолидин-1-ил)-ацетил-L-аспартил-L-фенилглицин
Соединение получают аналогично стадиям а)-д) примера 36 и соответствующему соединению примера 36 д). трет.-Бутиловый сложный эфир расщепляют с помощью трифторуксусной кислоты.
Масс-спектр (бомбардировка быстрыми атомами): 492,6 (М+Н)+.
ПРИМЕР 36
((S)-4-(3-Гуанидинопропил)-3-этил-2,5-диоксоимидазолидин-1-ил)-ацетил-L-аспартил-D-фенилглицин
36а). Этиловый эфир ((S)-4-(3-бензилоксикарбониламинопропил)-2,5-диоксоимидазолидин-1-ил) уксусной кислоты
52 г (185,7 ммоль H-Orn(Z)-ОСН3 и 24,15 мл (185,7 ммоль) этилморфолина растворяют в 500 мл ДМФА и охлаждают до температуры 0
Соединение примера 37 получают по методике примера 35.
Масс-спектр (бомбардировка быстрыми атомами): 553,6 (М+Н)+.
Соединения примеров 38-40 получают аналогично методике примера 36.
ПРИМЕР 38
((S)-4-(3-Гуанидинопропил)-3-бензил-2,5-диоксоимидазолидин-1-ил)-ацетил-L-аспартил-L-фенилглицин
Масс-спектр (бомбардировка быстрыми атомами): 596,4 (M+H)+.
ПРИМЕР 39
((S)-4-(3-Гуанидинопропил)-3-бензил-2,5-диоксоимидазолидин-1-ил)-ацетил-D-аспартил-L-фенилглицин-L-тирозин-гидрохлорид
Масс-спектр (бомбардировка быстрыми атомами): 792,4 (M+H)+.
ПРИМЕР 40
((S)-4-(3-Гуанидинопропил)-3-бензил-2,5-диоксоимидазолидин-1-ил)-ацетил-D-глутамил-L-фенилглицин-L-тирозин-гидрохлорид
Масс-спектр (бомбардировка быстрыми атомами): 806,4 (М+Н)+.
ПРИМЕР 41
((S)-4-(4-(Аминоиминометил)-фенил)-3-((2-нафтил)-метил)-4-метил-2,5-диоксоимидазолидин-1-ил)-ацетил-L-аспартил-L-фенилглицин
Соединение получают путем разделения ((R, S)-4-(4-аминоиминометил)-фенил)-3-((2-нафтил)-метил)-4-метил-2,5-диоксоимидазолидин-1-ил)-ацетил-L-аспартил-L-фенилглицина (см., например, 9) с помощью среднеэффективной жидкостной хроматографии (жидкостной хроматографии среднего давления; СЭЖХ) на силикагеле.
(+)-Масс-спектр (электронное распыление): 679,3 (М+Н)+.
ПРИМЕР 42
(R, S)-4-(((R, S)-4-(4-(Аминоиминометил)-фенил)-3-бензил-4-метил-2,5-диоксоимидазолидин-1-ил)-ацетиламино)-2-(4-метоксибензил)-пропионовая кислота
(+)-Масс-спектр (электронное распыление): 572,3 (М+Н)+.
ПРИМЕР 43
(R, S)-3-(((R, S)-4-(4-(Аминоиминометил)-фенил)-3-бензил-4-метил-2,5-диоксоимидазолидин-1-ил)-ацетиламино)-2-фенил-пропионовая кислота
(+)-Масс-спектр (электронное распыление): 528,3 (М+Н)+.
ПРИМЕР 44
(R, S)-3-(((R, S)-4-(4-(Аминоиминометил)-фенил)-3-бензил-4-метил-2,5-диоксоимидазолидин-1-ил)-ацетиламино)-2-((нафт-1-ил) метил)-пропионовая кислота
(+)-Масс-спектр (электронное распыление): 592,4 (М+Н)+.
ПРИМЕР 45
(R, S)-3-(((R, S)-4-(4-(Аминоиминометил)-фенил)-3-бензил-4-метил-2,5-диоксоимидазолидин-1-ил)-ацетиламино)-2-(4-трет.-бутилбензил)-пропионовая кислота
(+)-Масс-спектр (электронное распыление): 598,4 (М+Н)+.
ПРИМЕР 46
(S)-3-(((R, S)-4-(4-(Аминоиминометил)-фенил)-3-бензил-4-метил-2,5-диоксоимидазолидин-1-ил)-ацетиламино)-2-бензилоксикарбониламинопропионовая кислота
46а). трет.-Бутиловый эфир (S)-3-амино-2-бензилоксикарбониламинопропионовой кислоты
10 г (42 ммоль) (S)-3-Амино-2-бензилоксикарбониламино-пропионовой кислоты в смеси из 100 мл диоксана, 100 мл изобутилена и 8 мл концентрированной серной кислоты при давлении азота 20 атм в течение трех дней встряхивают в автоклаве. Избыточный изобутилен отдувают и к остающемуся раствору добавляют 150 мл диэтилового эфира и 150 мл насыщенного раствора гидрокарбоната натрия. Фазы разделяют и водную фазу экстрагируют дважды по 100 мл диэтиловым эфиром. Объединенные органические фазы промывают дважды по 100 мл водой и сушат над сульфатом натрия. После удаления растворителя в вакууме получают 9,58 г (78%) продукта в виде масла бледно-желтого цвета.
46б). трет.-Бутиловый эфир (S)-3-(((R, S)-4-(4-(аминоиминометил)-фенил)-3-бензил-4-метил-2,5-диоксоимидазолидин-1-ил)-ацетиламино)-2-бензилоксикар-бониламинопропионовой кислоты
208 мг (0,5 ммоль) Гидрохлорида ((R, S)-4-(4-аминоиминометил)фенил)-3-бензил-4-метил-2,5-диоксоимидазолидин-1-ил) уксусной кислоты (получен аналогично методике примера 2а) при использовании бензилбромида вместо метилиодида и последующих реакций; см. примеры 2б).-2г).) и 81,5 мг (0,5 ммоль) HOOBt суспендируют в 5 мл ДМФА и при 0
Синтез осуществляют аналогично методике примера 46 при использовании (R)-3-амино-2-бензилоксикарбониламино-трет.-бутилового сложного эфира вместо (S)-изомера и 2-бромметилнафталина вместо бензилбромида.
(+)-Масс-спектр (электронное распыление): 651,3 (М+Н)+.
ПРИМЕР 48
(S)-3-(((R, S)-4-(4-(Аминоиминометил)-фенил)-3-бензил-4-метил-2,5-диоксоимидазолидин-1-ил)-ацетил-N-метиламино)-2-бензилоксикарбониламинопропионовая кислота
Синтез осуществляют аналогично методике примера 46 при использовании трет.-бутилового эфира (S)-2-бензилоксикарбониламино-3-(N-метиламино) пропионовой кислоты (получен из трет.-бутилового эфира (S)-3-амино-2-бензилоксикарбониламинопропионовой кислоты аналогично S.С. Miller, Т.S. Scanlan, J. Am. Сhem., Soc., 119, 2301 (1997)).
(+)-Масс-спектр (электронное распыление): 615,3 (М+Н)+.
ПРИМЕР 49
((R, S)-4-(4-(Аминоиминометил)-фенил)-3-бензил-4-метил-2,5-диоксо-имидазолидин-1-ил)-ацетил-L-аспарагиновая кислота
(+)-Масс-спектр (электронное распыление): 496,1 (М+Н)+.
ПРИМЕР 50
((R, S)-2-((S)-4-(4-Аминоиминометил)-фенил)-3-бензил-4-метил-2,5-диоксоимидазолидин-1-ил)-2-(2-метилпропил)-ацетил)-L-аспартил-L-фенилглицин
50а). (S)-4-(4-Цианофенил)-4-метил-2,5-диоксоимидазолидин (соединение 50.1)
6 г (22,2 ммоль) (S)-4-(4-Бромфенил)-4-метил-2,5-диоксоимидазолидина и 9 г (100,2 ммоль) цианида меди-(1) в 57 мл ДМФА кипятят с обратным холодильником в течение 5 часов. После охлаждения до комнатной температуры реакционную смесь смешивают с водой и этилацетатом и при охлаждении с помощью 2 н. соляной кислоты устанавливают рН-значение, равное 2. После отфильтровывания водную фазу экстрагируют дважды этилацетатом. Объединенные органические фазы промывают водой и насыщенным раствором хлорида натрия, сушат над сульфатом натрия и после отфильтровывания фильтрат концентрируют в вакууме. Сырой продукт хроматографируют на силикагеле с помощью смеси дихлорметана с метанолом в соотношении 95:5. После концентрирования содержащих продукт фракций получают 2,74 г (57%) соединения 50.1.
50б). трет.-Бутиловый эфир (R, S)-2-((S)-4-(4-цианофенил)-4-метил-2,5-диоксоимидазолидин-1-ил)-4-метилпентановой кислоты (соединение 50.2)
К раствору 1 г (4,64 ммоль) соединения 50.1 в 15 мл абсолютного ДМФА в атмосфере аргона добавляют 128 мг (5,35 ммоль) гидрида натрия, перемешивают в течение двух часов при комнатной температуре, добавляют 1,23 г (4,9 ммоль) трет.-бутилового эфира D, L-2-бром-4-метилпентановой кислоты (соединение 50.7) (получение см. в п.50ж).) и перемешивают 4 часа при комнатной температуре. После добавления следующих 40 мг гидрида натрия смесь выдерживают в течение трех дней при комнатной температуре, растворитель удаляют в вакууме и остаток распределяют между этилацетатом и водой.
С помощью насыщенного раствора KHSO4/K2SO4 устанавливают значение рН, равное 4, фазы разделяют и водную фазу экстрагируют дважды этилацетатом. Объединенные органические фазы сушат над сульфатом натрия, отфильтровывают от осушителя и фальтрат концентрируют в вакууме. Остаток фильтруют через силикагель при использовании смеси гептана с этилацетатом в соотношении 2:1, затем 1:2. После концентрирования содержащих продукт фракций получают 666 мг (37%) соединения 50.2.
50в). трет.-Бутиловый эфир (R, S)-2-((S)-4-(4-цианофенил)-3-бензил-4-метил-2,5-диоксоимидазолидин-1-ил)-4-метилпентановой кислоты (соединение 50.3)
К раствору 990 мг (2,56 ммоль) соединения 50.2 в абсолютном ДМФА в атмосфере аргона и при температуре 0
Соединение получают путем реакции сочетания гидрохлорида (R, S) -2-((S)-4-(4-(аминоиминометил)-фенил)-3-бензил-4-метил-2,5-диоксоимидазолидин-1-ил)-4-метилпентановой кислоты (соединение 50.5) и гидрохлорида трет.-бутилового эфира (R, S)-3-амино-3-(2,4-диметоксифенил) пропионовой кислоты и последующего расщепления сложного трет.-бутилового эфира, как описано в примере 50.
(+) -Масс-спектр (электронное распыление): 644,4 (М+Н)+.
Замещенные в положении 3
Соединение получают путем взаимодействия соединения 50.5 с гидрохлоридом трет.-бутилового эфира (R, S)-3-амино-3-(3,4-метилендиоксифенил) пропионовой кислоты и последующего расщепления трет.-бутилового эфира как описано в примере 50.
(+) -Масс-спектр (электронное распыление): 628,4 (М+Н)+.
Аналогично примеру 54 осуществляют примеры 55-60.
ПРИМЕР 55
(R, S)-3-(((R, S)-4-(4-(Аминоиминометил)-фенил)-3-бензил-4-метил-2,5-диоксоимидазолидин-1-ил)-3-(1-нафтил)-пропионовая кислота
(+) -Масс-спектр (электронное распыление): 578,3 (М+Н)+.
ПРИМЕР 56
(R, S)-3-(((R, S)-4-(4-(Аминоиминометил)-фенил)-3-бензил-4-метил-2,5-диоксоимидазолидин-1-ил)-ацетиламино)-масляная кислота
(+)-Масс-спектр (электронное распыление): 466,2 (М+Н)+.
ПРИМЕР 57
(R, S)-3-(((R,S)-4-(4-(Аминоиминометил)-фенил)-3-бензил-4-метил-2,5-диоксоимидазолидин-1-ил)-ацетиламино)-3-(3,4-диметоксифенил)-пропионовая кислота
Масс-спектр (бомбардировка быстрыми атомами): 588,3 (М+Н)+.
ПРИМЕР 58
(R, S)-3-(((R, S)-4-(4-(Аминоиминометил)-фенил)-3-бензил-4-метил-2,5-диоксоимидазолидин-1-ил)-ацетиламино)-3-(3,4-этилендиоксифенил)-пропионовая кислота
(+)-Масс-спектр (электронное распыление): 586,2 (М+Н)+.
ПРИМЕР 59
(R, S)-3-(((R, S)-4-(4-(Аминоиминометил)-фенил)-3-бензил-4-метил-2,5-диоксоимидазолидин-1-ил)-ацетиламино)-3-(3,5-диметоксифенил)-пропионовая кислота
(+) -Масс-спектр (электронное распыление): 588,2 (М+Н)+.
ПРИМЕР 60
(R, S)-3-(((R, S)-4-(4-(Аминоиминометил)-фенил)-3-бензил-4-метил-2,5-диоксоимидазолидин-1-ил)-ацетиламино)-3-(3-метоксифенил)-пропионовая кислота
(+) -Масс-спектр (электронное распыление): 558/2 (М+Н)+.
ПРИМЕР 61
(R, S)-3-(((R, S)-4-(4-(Аминоиминометил)-фенил)-3-бензил-4-метил-2,5-диоксоимидазолидин-1-ил)-ацетиламино)-3-(3-метоксифенил)-пропионовая кислота
(+) -Масс-спектр (электронное распыление): 558,2 (М+Н)+.
ПРИМЕР 62
((R, S)-2-((R, S)-4-(4-(Аминоиминометил)-фенил)-3-бензил-4-метил-2,5-диоксоимидазолидин-1-ил)-2-метилацетил)-L-аспартил-L-фенилглицин
Соединение получают аналогично описанному в примере 50 тем, что рацемическое соединение 50.1 вводят во взаимодействие с этиловым эфиром (R, S)-2-бром-пропионовой кислоты и перед реакцией сочетания пептида с H-Asp(OBut)-Phg-Obut. HCl этиловый эфир расщепляют с помощью 6 н. соляной кислоты.
(+)-Масс-спектр (электронное распыление): 643,3 (М+Н)+.
ПРИМЕР 63
((S)-4-(4-(аминоиминометил)-фенил)-3-бензил-4-метил-2,5-ди-оксоимидазолидин-1-ил)-ацетил-L-аспартил-L-фенилглицин
Соединение получают по методике примера 50 тем, что соединение 50.1 вводят во взаимодействие с этиловым эфиром 2-бромуксусной кислоты и перед реакцией сочетания пептида с H-Asp(Obut)-Phg-OBut. HCl этиловый эфир расщепляют с помощью 6 н. соляной кислоты.
(+) -Масс-спектр (электронное распыление): 629,3 (М+Н)+.
ПРИМЕР 64
(3-((R, S)-4-(4-(Аминоиминометил)-фенил)-3-бензил-4-метил-2,5-диоксоимидазолидин-1-ил)-пропионил)-L-аспартил-L-фенилглицин
Соединение получают по методике примера 50 тем, что рацемическое соединение 50.1 вводят во взаимодействие с этиловым эфиром 3-бром-пропионовой кислоты и перед реакцией сочетания пептида с H-Asp(Obut)-Phg-OBut. НСl этиловый эфир расщепляют с помощью 6 н. соляной кислоты.
(+) -Масс-спектр (электронное распыление): 643,3 (М+Н)+.
ПРИМЕР 65
((R, S)-4-(4-(Аминоиминометил)-фенил)-3-бензил-4-метил-2,5-диоксоимидазолидин-1-ил)-ацетил-L-аспартил-L-N-метилфенилглицин
Соединение получают по методике примера 63, причем используют рацемическое соединение 50.1 и вместо H-Asp(OBut)-Phg-Obut. HCl сочетают с H-Asp(OBut)-(N-метил-Phg)-OBut. HCl.
(+) -Масс-спектр (электронное распыление): 643,3 (М+Н)+.
ПРИМЕР 66
(R, S)-3-(((R, S)-4-(4-(Аминоиминометил)-фенил)-3-бензил-4-метил-2,5-диоксоимидазолидин-1-ил)-ацетил-(N-метиламино)-3-фенил-пропионовая кислота
(+) -Масс-спектр (электронное распыление): 542,3 (М+Н)+.
ПРИМЕР 67
(S)-3-(((R, S)-4-(4-(Аминоиминометил)-фенил)-3-бензил-4-метил-2,5-диоксоимидазолидин-1-ил)-ацетиламино)-2-(4-трифторметилбензилоксикарбониламино)-пропионовая кислота
К раствору 300 мг (0,644 ммоль) дигидрохлорида (S)-3-(((R, S)-4-(4-(аминоиминометил)-фенил)-3-бензил-4-метил-2,5-диоксоимидазолидин-1-ил)-ацетиламино)-2-аминопропионовой кислоты (получен из трет.-бутилового эфира (S)-3-(((R, S)-4(4-(аминоиминометил)фенил)-3-бензил-4-метил-2,5-диоксоимидазолидин-1-ил)ацетиламино)-2-бензилоксикарбониламинопропионовой кислоты путем гидрогенолитического отщепления бензилоксикарбонильной группы и расщепления трет.-бутилового эфира с помощью 6 н. соляной кислоты) добавляют 0,22 мл (1,29 ммоль) диизопропилэтиламина и 204 мг (0,644 ммоль) N-(4-трифторметилбензилоксикарбонилокси)-сукцинимида и смесь перемешивают в течение 4-х часов при комнатной температуре. Растворитель удаляют в вакууме и остаток хроматографируют на силикагеле с помощью смеси дихлорметана с метанолом, уксусной кислотой и водой в соотношении 9:1:0,1:0,1 и метанола. Содержащие продукт фракции концентрируют и хроматографируют на сефадексе LH20 с помощью 40%-ной уксусной кислоты. После концентрирования содержащих продукт фракций и сушки вымораживанием получают 145 мг (37%) целевого продукта.
(+) -Масс-спектр (электронное распыление): 669,3 (М+Н)+.
ПРИМЕР 68
((R, S)-4-(4-Аминометилфенил)-3-бензил-4-метил-2,5-диоксо-имидазолидин-1-ил)-ацетил-L-аспартил-L-фенилглицин
(+) -Масс-спектр (электронное распыление): 616,3 (М+Н)+.
ПРИМЕР 69
(R, S)-4-(4-Гуанидинометилфенил)-3-бензил-4-метил-2,5-диоксоимидазолидин-1-ил)-ацетил-L-аспартил-L-фенилглицин
69а). Метиловый эфир ((R, S)-4-(4-аминометилфенил)-3-бензил-4-метил-2,5-диоксоимидазолидин-1-ил) уксусной кислоты
7,55 г (20 ммоль) Метилового эфира ((R, S)-4-(4-цианофенил)-3-бензил-4-метил-2,5-диоксоимидазолидин-1-ил) уксусной кислоты (получен из рацемического соединения 50.1 путем взаимодействия с метиловым эфиром 2-бромуксусной кислоты и взаимодействия продукта реакции с бензилбромидом, согласно методике примера 50) в 80 мл смеси из этанола и 50%-ной уксусной кислоты в присутствии 1,5 г палладия-на-угле гидрируют в течение 7 часов при давлении водорода 3 атм. Катализатор отфильтровывают и остаток хроматографируют на силикагеле с помощью смеси дихлорметана с метанолом в соотношении 8:2. После концентрирования содержащих продукт фракций получают 7,6 (100%) метилового эфира ((R, S)-4-(4-аминометилфенил)-3-бензил-4-метил-2,5-диоксоимидазолидин-1-ил) уксусной кислоты.
69б). ((R, S)-4-(4-Аминометилфенил)-3-бензил-4-метил-2,5-диоксоимидазолидин-1-ил) уксусная кислота
3,7 г (9,7 ммоль) Метилового эфира ((R, S)-4-(4-аминометилфенил)-3-бензил-4-метил-2,5-диоксоимидазолидин-1-ил) уксусной кислоты в 80 мл концентрированной соляной кислоты кипятят с обратным холодильником в течение 6 часов. Раствор концентрируют в вакууме, остаток обрабатывают водой, отфильтровывают и фильтрат подвергают сушке вымораживанием. Получают 2,79 г (78%) ((R, S)-4-(4-аминометилфенил)-3-бензил-4-метил-2,5-диоксоимидазолидин-1-ил) уксусной кислоты.
69в). ((R, S)-4-(4-Гуанидинометилфенил)-3-бензил-4-метил-2,5-диоксоимидазолидин-1-ил) уксусная кислота
807 мл (2 ммоль) ((R, S)-4-(4-аминометилфенил)-3-бензил-4-метил-2,5-диоксоимидазолидин-1-ил) уксусной кислоты в 20 мл абсолютного ДМФА смешивают с 1,02 мл (6 ммоль) диизопропилэтиламина и затем с 220 мг (2 ммоль) 1-Н-пиразол-1-карбоксамидин-гидрохлорида. Реакционную смесь перемешивают в течение 5 часов при температуре 50
70а). ((R, S)-4-(4-Аминофенил)-3-бензил-4-метил-2,5-диоксоимидазолидин-1-ил) уксусная кислота
Раствор 6,86 г (17,9 ммоль) ((R, S)-4-(4-нитрофенил)-3-бензил-4-метил-2,5-диоксоимидазолидин-1-ил) уксусной кислоты (получена из 4-нитрофенилметилкетона согласно синтезу ((R, S)-4-(4-цианофенил)-3-бензил-4-метил-2,5-диоксоимидазолидин-1-ил) уксусной кислоты из 4-цианофенилметилкетона, см. пример 1; для введения 3-бензильной группы (см. пример 50) в 150 мл метанола гидрируют в течение 4-х часов в присутствии 10%-ного палладия-на-угле. Катализатор отфильтровывают, фильтрат концентрируют в вакууме и остаток растирают с диэтиловым эфиром и затем отфильтровывают под вакуумом. Получают 3,82 г (60%) ((R, S)-4-(4-аминофенил)-3-бензил-4-метил-2,5-диоксоимидазолидин-1-ил) уксусной кислоты.
70б). ((R, S)-4-(4-Аминофенил)-3-бензил-4-метил-2,5-диоксоимидазолидин-1-ил)-ацетил-L-аспартил-L-фенилглицин
Соединение получают путем реакции сочетания ((R, S)-4-(4-аминофенил)-3-бензил-4-метил-2,5-диоксоимидазолидин-1-ил) уксусной кислоты с H-Asp(OBut)-Phg-(OBut). HCl и последующего расщепления трет.-бутилового эфира согласно примеру 2, причем остаток после отщепления трифторуксусной кислоты растирают с диэтиловым эфиром, отфильтровывают под вакуумом и высушивают в высоком вакууме.
(+) -Масс-спектр (электронное распыление): 602,3 (М+Н)+.
ПРИМЕР 71
((R, S)-4-(4-Гуанидинофенил)-3-бензил-4-метил-2,5-диоксоимидазолидин-1-ил) ацетил-L-аспартил-L-фенилглицин
Соединение получают из ((R, S)-4-(4-аминофенил)-3-бензил-4-метил-2,5-диоксоимидазолидин-1-ил) уксусной кислоты (см. пример 70) после переведения аминогруппы в гуанидиногруппу с помощью 1-Н-пиразол-1-карбоксамидин-гидрохлорида (как описано в примере 69) и последующего сочетания с H-Asp(OBut)-Phg-(OBut). HCl и расщепления трет.-бутилового эфира согласно примеру 2, причем остаток после отщепления трифторуксусной кислоты лишь растирают с диэтиловым эфиром, отфильтровывают под вакуумом и высушивают в высоком вакууме.
(+) -Масс-спектр (электронное распыление): 644,3 (М+Н)+.
ПРИМЕР 72
((R, S)-4-(4-Аминобензил)-3-бензил-4-метил-2,5-диоксоимидазолидин-1-ил)-ацетил-L-аспартил-L-фенилглицин
Соединение получают тем, что ((R, S)-4-(4-аминобензил)-3-бензил-4-метил-2,5-диоксоимидазолидин-1-ил) уксусную кислоту, которую получают согласно примеру 70 из ((R, S)-4-(4-нитробензил)-3-бензил-4-метил-2,5-диоксоимидазолидин-1-ил) уксусной кислоты (в свою очередь получаемой из 4-нитробензилметилкетона согласно синтезу ((R, S)-4-(4-цианофенил)-3-бензил-4-метил-2,5-диоксоимидазолидин-1-ил) уксусной кислоты из 4-цианофенилметилкетона, см. пример 1; для введения 3-бензильной группы, см. пример 50), вводят в реакцию сочетания с H-Asp(OBut)-Phg-(OBut). HCl согласно примеру 2 и после расщепления трет.-бутилового эфира с помощью 90%-ной трифторуксусной кислоты остаток хроматографируют на сефадексе LH20, элюируя смесью воды с бутанолом и уксусной кислотой в соотношении 43:4,3:3,5.
ПРИМЕР 73
((R, S)-4-(4-Гуанидинобензил)-3-бензил-4-метил-2,5-диоксоимидазолидин-1-ил)- ацетил-L-аспартил-L-фенилглицин
Соединение получают из ((R, S)-4-(4-аминобензил)-3-бензил-4-метил-2,5-диоксоимидазолидин-1-ил) уксусной кислоты (см. пример 72) путем переведения аминогруппы в гуанидиногруппу с помощью 1-Н-пиразол-1-карбоксамидин-гидрохлорида (как описано в примере 69), последующего сочетания с H-Asp(OBut)-Phg-(OBut). HCl и расщепления трет.-бутилового эфира согласно примеру 2, причем остаток после отщепления трифторуксусной кислоты хроматографируют на сефадексе LH20 с помощью смеси воды с бутанолом и уксусной кислотой в соотношении 43:4,3:3,5.
(+) -Масс-спектр (электронное распыление): 658,3 (М+Н)+.
Соединения примеров 74 и 75 также можно получать по методике примера 67 тем, что, например, дигидрохлорид (S)-3-(((R, S)-4-(4-аминоиминометил)фенил-3-бензил-4-метил-2,5-диоксоимидазолидин-1-ил) ацетиламино)-2-аминопропионовой кислоты (см. пример 67) вводят во взаимодействие с соответствующими карбонилхлоридами. Для получения также можно исходить из гидрохлорида трет.-бутилового эфира (S)-2-амино-3-трет.-бутоксикарбониламинопропионовой кислоты. Точно также можно получать согласно примеру 67 другие бензилкарбаматы с любыми заместителями бензильного цикла в карбаматной группе.
ПРИМЕР 74
(S)-3-((R, S)-2-((S)-4-(4-(Аминоиминометил)-фенил)-3-бензил-4-метил-2,5-диоксоимидазолидин-1-ил)-2-(2-метилпропил)-ацетиламино)-2- (2-метилпропилоксикарбониламино)-пропионовая кислота
ПРИМЕР 75
(S)-3-((R, S)-2-((S)-4-(4-Аминоиминометил)-фенил)-3-бензил-4-метил-2,5-диоксоимидазолидин-1-ил)-2-(2-метилпропил)-ацетиламино)-2- (2,2-диметилпропилоксикарбониламино)-пропионовая кислота
Соединения примеров 77-79 получают путем твердофазного синтеза согласно общей методике, указанной в примере 76.
ПРИМЕР 76
Твердофазный синтез (общая методика)
Общие сведения
Синтезы на полимерном носителе осуществляют согласно последовательности синтеза, которая представлена в схеме. Остатки R51-R55 в схеме означают остатки, которые в формуле (I) находятся в соответствующем положении в молекуле, или они могут содержать функциональные группы в защищенной форме или в виде предшественников. R51 соответствует остаткам R14 и R15, причем имеющиеся в этих остатках функциональные группы могут находиться в защищенной форме или в виде предшественников. R52 вместе с СН-группой, с которой этот остаток связан, соответствует группе В (R52 соответствует, следовательно, одному из заместителей обозначаемой как В метиленовой группы). R53 соответствует R13; R54 соответствует группе R1-А, причем имеющиеся в ней функциональные группы могут быть в защищенной форме или в виде предшественников, в особенности, например, в настоящем случае амидиногруппа находится в виде являющейся предшественником цианогруппы. R54a соответствует группе R1-А. R55 соответствует группе R0.
Синтез промежуточных продуктов в большем масштабе проводят в специальных реакторах с вставленными фриттами в днище реактора, синтез соединений формулы (I) проводят в шприцах или реакционных блоках (Act 496, MultiSynTech). Синтезы на смоле проводят путем использования применяемых для анализа шариков (FT-ИК с ATR-устройством и МС-ЯМР) и отщепления аналитического образца от смолы (ВЭЖХ, МС, ЯМР).
Получение структурного элемента аспарагиновой кислоты Fmoc-Asp (ОН) Оаллил
40 г (88,7 ммоль) FmocAsp (OBut) Оаллила смешивают с 25 мл трифторуксусной кислоты и перемешивают в течение 30 минут при комнатной температуре. Растворитель удаляют в ротационном испарителе. Остаток высушивают в вакууме. Получают FmocAsp (ОН) Оаллил в виде желтого масла (33,9 г, 97%).
(+) -Масс-спектр (электронное распыление): 395,2 (М+Н)+.
Связывание с полимерным носителем (стадия А в схеме)
40 г Wang-полистирольной смолы (1,1 ммоль/г; Бахем) предварительно подвергают набуханию в течение 5 минут с помощью 20 мл ДМФА при комнатной температуре. После добавления раствора 26,0 г (1,5 эквивалента) FmocAsp (ОН) Оаллила, 34,3 г (1,5 эквивалента) 1-бензотриазолилокси-трипирролидинофосфоний-гексафторфосфата (РуВОР) и 9,3 мл (1,5 эквивалента) диизопропилэтиламина в 120 мл ДМФА смесь встряхивают в течение 10 часов при температуре 40
(+) -Масс-спектр (электронное распыление): 645,7 (М+Н)+.
ПРИМЕР 78
Метиловый эфир ((R, S)-4-(4-(аминоиминометил)-фенил)-3-((2-нафтил)-метил)-4-метил-2,5-диоксоимидазолидин-1-ил)-ацетил-L-аспартил-L-серина
(+) -Масс-спектр (электронное распыление): 647,7 (М+Н)+.
ПРИМЕР 79
((R, S)-4-(4-(Аминоиминометил)-фенил)-3-бензил-4-метил-2,5-диоксоимидазолидин-1-ил)-ацетил-L-аспартил-L-изолейцин
(+) -Масс-спектр (электронное распыление): 609,7 (М+Н)+.
Исследование биологической активности
В качестве тест-метода для активности соединений формулы (I) на взаимодействие между VCAM-1 и VLA-4 используют анализ, который является специфическим для этого взаимодействия. Клеточные компоненты связывания, то есть VLA-4-интегрины, в своей природной форме находятся в качестве поверхностных молекул в U937-клетках человека (АТСС CRL 1593), которые относятся к группе лейкоцитов. В качестве специфических компонентов связывания используют полученные с помощью генной инженерии рекомбинантные растворимые слитые белки, состоящие из экстрацитоплазматических доменов VCAM-1 человека и постоянной области человеческого иммуноглобулина подкласса IgGI.
Тест-метод
Анализ для измерения адгезии U937-клеток (АТСС CRL 1593 с hVCAM-1 (1-3)-IgG
1. Получение VСАМ-1 (1-3)-IgG человека и СD4-IgG человека
Используют генетическую конструкцию для экспрессии внеклеточных доменов VCAM-1 человека, связанного с генетической последовательностью более тяжелой цепи иммуноглобулина IgGI человека (Hinge, области СН2 и СН3, Dr. Brian Seed, Главный Массачусетский Госпиталь, Бостон, США). Растворимый слитый белок hVCAM-1(1-3)-IgG содержит три аминоконцевых внеклеточных, подобных иммуноглобулину домена VCAM-1 человека (Damle и Aruffo, Proc. Natl. Acad. Sci. USA, 88, 6403 (1991)). CD4-IgG (Zettlmeissl и др., DNA and Cell Biology, 9, 347 (1990)) служит в качестве слитого белка для отрицательного контроля. Рекомбинантные белки экспрессируют согласно стандартным способам в качестве растворимых белков, после опосредуемой диэтиламиноэтилдекстраном ДНК-трансфекции, в COS-клетках (АТСС CRL 1651) (Ausubel и др., Current protocols in molecular biology, John Wiley and Sons, Inc. 1994).
2. Анализ для определения адгезии U937-клеток с hVCAM-1 (1-3)-IgG
2.1. Микротитрационные пластины с 96-ю лунками (Nunc Maxisorb) со 100 мкл на лунку раствора антитела козы против IgG человека (10 мкг/мл в 50 мМ ТРИС, рН 9,5) инкубируют в течение 1 часа при комнатной температуре. После удаления раствора антитела промывают один раз с помощью ЗФР (забуференный фосфатом физиологический раствор).
2.2. 150 мкл на лунку Блокирующего буфера (1% бычьего сывороточного альбумина в ЗФР) на пластинах инкубируют в течение 0,5 часа при комнатной температуре. После удаления блокирующего буфера промывают один раз с помощью ЗФР.
2.3. 100 мкл на лунку надосадочной жидкости клеточной культуры трансфицированных COS-клеток на пластинах инкубируют в течение 1,5 часов при комнатной температуре. COS-клетки трансфицируют с помощью плазмиды, которая кодирует N-концевые, подобные иммуноглобулину домены VCAM-1, связанного с Fc-частью IgG1 человека (hVCAM-1(1-3)-IgG). Содержание hVCAM-1(1-3)-IgG составляет примерно 0,5-1 мкг/мл. После удаления надосадочной жидкости культуры промывают один раз с помощью ЗФР.
2.4. Пластины со 100 мкл на лунку блокирующего Fc-peцептор буфера (1 мг/мл
106 мл и в количестве 100 мкл вносят пипеткой в каждую лунку (конечный объем 125 мкл/лунка).
2.7. Пластины медленно погружают под углом 45
где W означает R1-A-C(R13) или R1-A-CH=C;
Y означает карбонил, тиокарбонил или метиленовую группу;
Z означает N(R0), кислород, серу или метиленовую группу;
А означает двухвалентный остаток, выбранный из (C1-С6)-алкилена, (С3-С7)-циклоалкилена, фенилена, фенилен-(C1-C6)-алкила, (C1-C6)-алкилен-фенила, фенилен-(С2-С6)-алкенила или двухвалентный остаток пяти- или шестичленного насыщенного или ненасыщенного цикла, который может содержать 1 или 2 атома азота и может быть одно- или двукратно замещен (C1-C6)-алкилом или дважды связанным кислородом или серой;
В означает двухвалентный остаток, выбранный из (C1-C6)-алкилена, (С1-С6)-алкенилена, фенилена, фенилен-(C1-С3)-алкила, (C1-С3)-алкилен-фенила, причем двухвалентный (C1-С6)-алкиленовый остаток может быть незамещенным или замещенным остатком, выбранным из (C1-C8)-алкила, (С2-С8)-алкенила, (С2-С8)-алкинила, (С3-С10)-циклоалкила, (С3-С10)-циклоалкил-(C1-C8)-алкила, при необходимости замещенного (С6-С14)-арила, при необходимости замещенного в арильном остатке (C6-C14)-арил-(C1-С6)-алкила, при необходимости замещенного гетероарила и при необходимости замещенного в гетероарильном остатке гетероарил-(C1-C6)-алкила;
D означает C(R2)(R3), N(R3) или СН=С(R3);
Е означает тетразолил, (R8O)2Р(O), НOS(O)2, R9NHS(O)2 или R10CO;
R означает водород, (C1-С8)-алкил, (С3-С8)-циклоалкил, при необходимости замещенный (С6-С14)арил или при необходимости замещенный в арильном остатке (С6-С14) арил-(C1-С8)-алкил;
R0 означает водород, (C1-C8)-алкил, (С3-С12)-циклоалкил, (С3-C12)-циклоалкил-(C1-C8)-алкил, (C6-C12)-бициклоалкил, (С6-С12)-бициклоалкил-(C1-C8)-алкил, (C6-C12)-трициклоалкил, (C6-C12)-трициклоалкил-(C1-C8)-алкил, при необходимости замещенный(C6-С14)-арил, при необходимости замещенный в арильном остатке (C6-C14)-арил-(C1-C8)-алкил, при необходимости замещенный гетероарил, при необходимости замещенный в гетероарильном остатке гетероарил-(C1-C8)-алкил, СНО, (C1-C8)-алкил-СО, (С3-C12)-циклоалкил-СО, (C3-C12)-циклоалкил-(C1-C8)-алкил-СО-, (C6-C12)-бициклоалкил-СО, (C6-C12)-бициклоалкил-(C1-C8)-алкил-СО, (C6-C12)-трициклоалкил-СО, (C6-C12)-трициклоалкил-(C1-C8)-алкил-СО, при необходимости замещенный (C6-C14)-арил-СО, при необходимости замещенный в арильном остатке (C6-C14)-арил-(C1-C8)-алкил-СО, при необходимости замещенный гетероарил-СО, при необходимости замещенный в гетероарильном остатке гетероарил-(C1-C8)-алкил-СО, (C1-C8)-алкил-S(О)n, (С3-С12)-циклоалкил-S(О)n, (С3-С12)-циклоалкил-(C1-C8)-алкил-S(О)n, (C6-C12)-бициклоалкил-S(O)n, (C6-C12)-бициклоалкил-(C1-C8)-алкил-S(O)n, (C6-C12)-трициклоалкил-S(O)n, (C6-C12)-трициклоалкил-(C1-C8)-алкил-S(O)n, при необходимости замещенный (C6-C14)-арил-S(O)n, при необходимости замещенный в арильном остатке (C6-C14)-арил-(C1-C8)-алкил-S(O)n, при необходимости замещенный гетероарил-S(О)n или при необходимости замещенный в гетероарильном остатке гетероарил-(C1-С8)-алкил-S(O)n, причем n = 1 или 2;
R1 означает X-NH-C(=NH)-(СН2)р или X1-NH-(CH2)p, причем р = 0, 1, 2 или 3;
X означает водород, (C1-C6)-алкил, (C1-C6)-алкилкарбонил, (C1-С6)-алкоксикарбонил, (C1-C18)-алкилкарбонилокси-(C1-С6)-алкоксикарбонил, при необходимости замещенный (C6-C14)-арилкарбонил, при необходимости замещенный (C6-C14)-арилоксикарбонил, (С6-С14)-арил-(C1-С6)-алкоксикарбонил, который в арильном остатке также может быть замещен; (R8O)2P(O), цианогруппу, гидроксил, (C1-C6)-алкоксил; (С6-С14)-арил-(C1-С6)-алкоксил, который в арильном остатке также может быть замещен, или аминогруппу;
Х1 имеет одно из указанных для Х значений или означает R’-NH-C(=N-R”), причем R’ и R” независимо друг от друга имеют указанные для Х значения;
R2 означает водород, (C1-C8)-алкил, при необходимости замещенный (C6-C14)-арил, при необходимости замещенный в арильном остатке (С6-С14)-арил-(C1-C8)-алкил или (С3-С8)-циклоалкил;
R3 означает водород, (C1-C8)-алкил, при необходимости замещенный (C6-C14)-арил, при необходимости замещенный в арильном остатке (C6-C14)-арил-(C1-C8)-алкил, (С3-С8)-циклоалкил, (C2-C8)-алкенил, (C2-C8)-алкинил, (С2-С8)-алкенил-карбонил, (С2-С8)-алкинилкарбонил, пиридил, R11NH, R4CO, COOR4, СОN(СН3)R14, CONHR14, CSNHR14, COOR15, СОN(СН3)R15 или CONHR15;
R4 означает водород или (C1-C28)-алкил, который при необходимости одно- или многократно может быть замещен одинаковыми или различными остатками R4′;
R4′ означает гидроксил, гидроксикарбонил, аминокарбонил, моно- или ди-((C1-C18)-алкил)-аминокарбонил, амино-(C2-C18)-алкиламинокарбонил, амино-(C1-С3)-алкилфенил-(C1-С3)-алкил-аминокарбонил, (C1-C18)-алкилкарбониламино-(C1-С3)-алкилфенил-(C1-С3)-алкиламинокарбонил, (C1-C18)-алкилкарбониламино-(C2-C18)-алкиламинокарбонил; (C6-C14)-арил-(C1-С8)-алкоксикарбонил, который в арильном остатке также может быть замещен; аминогруппу, меркаптогруппу, (C1-C18)-алкоксил, (C1-C18)-алкоксикарбонил, возможно замещенный (С3-С8)-циклоалкил, галоген, нитрогруппу, трифторметил или остаток R5;
R5 означает при необходимости замещенный (С6-С14)-арил, при необходимости замещенный в арильном остатке (C6-C14)-арил-(C1-С8)-алкил; моно- или бициклический 5-12-членный гетероцикл, который может быть ароматическим, частично гидрированным или полностью гидрированным или может содержать 1, 2 или 3 одинаковых или различных гетероатома, выбранных из азота, кислорода и серы; остаток R6 или остаток R6СО-, причем арильный и независимо от него гетероциклический остатки могут быть одно- или многократно замещены одинаковыми или различными остатками, выбранными из (C1-C18)-алкила, (C1-C18)-алкокси, галогена, нитрогруппы, аминогруппы или трифторметила;
R6 означает R7R8N, R7O или R7S или аминокислотную боковую цепь, остаток природной или синтетической аминокислоты, иминокислоты, при необходимости N-(C1-C8)-алкилированной или -N-((C6-C14)-арил-(C1-C8)-алкилированной) азааминокислоты или дипетида, который в арильном остатке также может быть замещен и/или в котором пептидная связь может быть восстановлена до -NH-CH2-, а также их сложные эфиры и амиды, причем вместо свободных функциональных групп может быть водород или гидроксиметил и/или свободные функциональные группы могут быть защищены обычными в химии пептидов защитными группами;
R7 означает водород, (C1-C18)-алкил, (С6-С14)-арил-(C1-C8)-алкил, (C1-C18)-алкилкарбонил, (C1-C18)-алкоксикарбонил, (С6-C14)-арилкарбонил, (С6-С14)-арил-(C1-C8)-алкилкарбонил или (C6-C14)-арил-(C1-C18)-алкоксикарбонил, причем алкильные группы при необходимости могут быть замещены аминогруппой и/или арильные остатки могут быть одно- или многократно, предпочтительно однократно, замещены одинаковыми или различными остатками, выбранными из (C1-C8)-алкила, (C1-C8)-алкоксила, галогена, нитрогруппы, аминогруппы и трифтор-метила; остаток природной или синтетической аминокислоты, иминокислоты, при необходимости N-(C1-C8)-алкилированной или N-((C6-C14)-арил-(C1-С8)-алкилированной) азааминокислоты или дипептида, который в арильной части также может быть замещен и/или в котором пептидная связь может быть восстановлена до -NH-CH2;
R8 означает водород, (C1-C18)-алкил, при необходимости замещенный (C6-C14)-арил или (C6-C14)-арил-(C1-C8)-алкил, который в арильном остатке также может быть замещен;
R9 означает водород, аминокарбонил, (C1-C18)-алкиламинокарбонил, (С3-C8)-циклоалкиламинокарбонил, при необходимости замещенный (С6-С14)-ариламинокарбонил, (C1-C18)-алкил, при необходимости замещенный (C6-C14)-арил или (С3-С8)-циклоалкил;
R10 означает гидроксил, (C1-C18)-алкоксил, (С6-С14)-арил-(С1-С8)-алкоксил, который в арильном остатке также может быть замещен; при необходимости замещенный (С6-С14)-арилоксил, аминогруппу или моно- или ди-((C1-C18)-алкил)-аминогруппу;
R11 означает водород, (C1-C18)-алкил, R12CO, при необходимости замещенный (C6-C14)-арил-S(О)2, (C1-C18)-алкил-S(O)2, при необходимости замещенный в арильном остатке (C6-C14)-арил-(C1-С8)-алкил или R9NHS(O)2;
R12 означает водород, (C1-C18)-алкил, (С2-С8)-алкенил, (C2-C8)-алкинил, при необходимости замещенный (C6-C14)-арил, (C1-C18)-алкоксил, (C6-C14)-арил-(C1-C8)-алкоксил, который в арильном остатке может быть замещен; при необходимости замещенный (C6-C14)-арилоксил, аминогруппу или моно- или ди-((C1-C18)-алкил)-аминогруппу;
R13 означает водород, (C1-С6)-алкил, при необходимости замещенный в арильном остатке (C6-C14)-арил-(C1-C8)-алкил или (С3-С8)-циклоалкил;
R14 означает водород или (C1-C28)-алкил, который при необходимости может быть одно- или многократно замещен одинаковыми или различными остатками, выбранным из гидроксила, гидроксикарбонила, аминокарбонила, моно- или ди-((C1-C18)-алкил)аминокарбонила, амино-(C2-C18)-алкиламинокарбонила, амино-(C1-С3)-алкилфенил-(C1-С3)-алкиламинокарбонила, (C1-C18)-алкил-карбониламино-(C1-С3)-алкилфенил-(C1-С3)-алкиламинокарбонила, (C1-C18) -алкилкарбонил-амино-(C2-C18)-алкиламинокарбонила; (С6-C14)-арил-(C1-С8)-алкоксикарбонила, который в арильном остатке также может быть замещен; аминогруппы, меркаптогруппы, (C1-C18)-алкоксила, (C1-C18)-алкоксикарбонила, при необходимости замещенного (С3-С8)-циклоалкила, HOS(О)2-(C1-С3)-алкила, R9NHS(O)2-(C1-С3)-алкила, (R8O)2P(О)-(C1-С3)-алкила, тетразолил-(C1-С3)-алкила, галогена, нитрогруппы, трифторметила и R5;
R15 означает R16-(C1-C6)-алкил или R16;
R16 означает 6-24-членный бициклический или трициклический остаток, который является насыщенным или частично ненасыщенным и который также может содержать 1-4 одинаковых или различных гетероатома, выбранных из азота, кислорода и серы, и который также может быть замещен одним или несколькими одинаковыми или различными заместителями, выбранными из (C1-C4)-алкила и оксогруппы;
b, с, d и f независимо друг от друга означают 0 или 1, однако все одновременно не могут означать 0;
е, g и h независимо друг от друга означают 0, 1, 2, 3, 4, 5 или 6;
а также их стереоизомерные формы и их смеси в любых соотношениях, а также их физиологически приемлемые соли.
2. Средство по п.1, отличающееся тем, что в формуле (I) W означает R1-A-C(R13) или R1-A-CH=C; Y означает карбонил, тиокарбонил или метиленовую группу; Z означает N(R0), кислород, серу или метиленовую группу; А означает двухвалентный остаток, выбранный из (C1-C6)-алкилена, (С3-С7)-циклоалкилена, фенилена, фенилен-(C1-C6)-алкила, (C1-С6)-алкиленфенила, фенилен-(С2-С6)-алкенила, или двухвалентный остаток пяти- или шестичленного насыщенного или ненасыщенного цикла, который может содержать 1 или 2 атома азота и может быть одно- или двукратно замещен (C1-C6)-алкилом или двукратно связанным кислородом или серой; В означает двухвалентный остаток, выбранный из (C1-С6)-алкилена, (С2-С6)-алкенилена, фенилена, фенилен-(C1-С3)-алкила, (C1-С3)-алкилен-фенила; D означает C(R2)(R3), N(R3) или CH=C(R3); Е означает тетразолил, (R8O)2P(O), HOS(O)2, R9NHS(O)2 или R10CO; R и R0 независимо друг от друга означают водород, (C1-C8)-алкил, (С3-С8)-циклоалкил, при необходимости замещенный (С6-С14)-арил или при необходимости замещенный в арильном остатке (С6-С14)-арил-(C1-C8)-алкил; R1 означает X-NH-C(=NH)-(СН2)р или X1-NH-(СН2)р, причем р = 0, 1, 2 или 3; X означает водород, (C1-С6)-алкил, (C1-С6)-алкилкарбонил, (C1-С6)-алкоксикарбонил, (C1-C18)-алкилкарбонилокси-(C1-С6)-алкоксикарбонил, при необходимости замещенный (С6-С14)-арил-карбонил, при необходимости замещенный (C6-C14)-арилоксикарбонил, (C6-C14)-арил-(C1-C6)-алкоксикарбонил, который в арильном остатке также может быть замещен; (R8O)2P(O), цианогруппу, гидроксил, (C1-C6)-алкоксил; (C6-C14)-арил-(C1-С6)-алкоксил, который в арильном остатке также может быть замещен; или аминогруппу; X1 имеет одно из указанных для Х значений или означает R’-NH-C(=N-R”), причем R’ и R” независимо друг от друга имеют указанные для Х значения; R2 означает водород, (C1-C8)-алкил, при необходимости замещенный (С6-С14)-арил, при необходимости замещенный в арильном остатке (С6-С14)-арил-(C1-C8)-алкил или (С3-C8)-циклоалкил; R3 означает водород, (C1-C8)-алкил, при необходимости замещенный (C6-C14)-арил, при необходимости замещенный в арильном остатке (С6-С14)-арил-(C1-C8)-алкил, (С3-С8)-циклоалкил, (С2-С8)-алкенил, (С2-С8)-алкинил, (С2-С8)-алкенилкарбонил, (C2-C8)-алкинилкарбонил, пиридил, R11NH, R4CO, COOR4, CON(CH3)R14, CONHR14, CSNHR14, COOR15, СОN(СН3)R15 или CONHR15; R4 означает водород или (C1-C28)-алкил, который при необходимости одно- или многократно может быть замещен одинаковыми или различными остатками R4′; R4′ означает гидроксил, гидроксикарбонил, аминокарбонил, моно- или ди-((C1-C18)-алкил)-аминокарбонил, амино-(C2-C18)-алкиламинокарбонил, амино-(C1-С3)-алкилфенил-(C1-С3)-алкил-аминокарбонил, (C1-C18)-алкилкарбониламино-(C1-С3)-алкилфенил-(C1-С3) алкиламинокарбонил, (C1-C18)-алкилкарбониламино-(C2-C18)-алкиламинокарбонил; (C6-C14)-арил-(C1-C8)-алкоксикарбонил, который в арильном остатке также может быть замещен; аминогруппу, меркаптогруппу, (C1-C18)-алкоксил, (C1-C18)-алкоксикарбонил, возможно замещенный (С3-C8)-циклоалкил, галоген, нитрогруппу, трифторметил или остаток R5; R5 означает при необходимости замещенный (С6-С14)-арил, при необходимости замещенный в арильном остатке (C6-C14)-арил-(C1-С8)-алкил; моно- или бициклический 5-12-членный гетероцикл, который может быть ароматическим, частично гидрированным или полностью гидрированным и который может содержать 1, 2 или 3 одинаковых или различных гетероатома, выбранных из азота, кислорода и серы; остаток R6 или остаток R6CO-, причем арил и независимо от него гетероцикл могут быть одно- или многократно замещены одинаковыми или различными остатками, выбранными из (C1-C18)-алкила, (C1-C18)-алкоксила, галогена, нитрогруппы, аминогруппы или трифторметила; R6 означает R7R8N, R7O или R7S или аминокислотную боковую цепь, остаток природной или синтетической аминокислоты, иминокислоты, при необходимости N-(C1-C8)-алкилированной или N-((С6-С14)-арил-(C1-C8)-алкилированной) азааминокислоты или дипептида, который в арильном остатке также может быть замещен и/или в котором пептидная связь может быть восстановлена до NH-CH2-, а также их сложные эфиры и амиды, причем вместо свободных функциональных групп может быть водород или гидроксиметил и/или свободные функциональные группы могут быть защищены обычными в химии пептидов защитными группами; 7 означает водород, (C1-C18)-алкил, (С6-С14)-арил-(C1-С8) алкил, (C1-C18)-алкилкарбонил, (C1-C18)-алкоксикарбонил, (С6-С14)-арилкарбонил, (C6-C14)-арил-(C1-C8)-алкилкарбонил или (С6-С14)-арил-(C1-C18)-алкоксикарбонил, причем алкильные группы могут быть замещены аминогруппой и/или арильные остатки могут быть одно- или многократно, предпочтительно однократно, замещены одинаковыми или различными остатками, выбранными из (C1-C8)-алкила, (C1-C8)-алкоксила, галогена, нитрогруппы, аминогруппы и трифторметила; остаток природной или синтетической аминокислоты, иминокислоты, при необходимости N-(C1-С8)-алкилированной или N-((С6-С14)-арил-(C1-C8)-алкилированной) азааминокислоты или дипептида, который в арильной части также может быть замещен и/или в котором пептидная связь может быть восстановлена до -NH-CH2-; R8 означает водород, (C1-C18)-алкил, при необходимости замещенный (C6-C14)-арил или (C6-C14)-арил-(C1-C8)-алкил, который в арильном остатке также может быть замещен; R9 означает водород, аминокарбонил, (C1-C18)-алкиламинокарбонил, (С3-С8)-циклоалкиламинокарбонил, при необходимости замещенный (C6-C14)-ариламинокарбонил, (C1-C18)-алкил, при необходимости замещенный (C6-C14)-арил или (С3-С8)-циклоалкил; R10 означает гидроксил, (C1-C18)-алкоксил; (C6-C14)-арил-(C1-С8)- алкоксил, который в арильном остатке также может быть замещен; при необходимости замещенный (C6-C14)-арилоксил, аминогруппу или моно- или ди((C1-C18)-алкил)-аминогруппу; R11 означает водород, (C1-C18)-алкил, R12CO, при необходимости замещенный (C6-C14)-арил-S(О)2, (C1-C18)-алкил-S(O)2, при необходимости замещенный в арильном остатке (C6-C14)-арил-(C1-C8)-алкил или R9NНS(O)2; R12 означает водород, (C1-C18)-алкил, (С2-С8)-алкенил, (С2-С8)-алкинил, при необходимости замещенный (C6-C14)-арил, (C1-C18)-алкокосил; (C6-C14)-арил-(C1-C8)-алкоксил, который в арильном остатке может быть замещен; при необходимости замещенный (С6-C14)-арилоксил, аминогруппу или моно- или ди-((C1-C19)-алкил)-аминогруппу; R13 означает водород, (C1-С6)-алкил, при необходимости замещенный в арильном остатке (С6-С14)-арил-(C1-C8)-алкил или (С3-С8)-циклоалкил; R14 означает водород или (C1-C28)-алкил, который в случае необходимости может быть однократно или многократно замещен одинаковыми или различными остатками, выбранными из гидроксила, гидроксикарбонила, аминокарбонила, моно- или ди-((C1-C18)-алкил)аминокарбонила, амино-(C2-C18)-алкиламинокарбонила, амино-(C1-С3)-алкилфенил-(C1-С3)-алкиламинокарбонила, (C1-C18)-алкилкарбониламино-(C1-С3)-алкилфенил-(C1-С3)-алкиламинокарбонила, (C1-C18)-алкилкарбониламино-(С2-C18)-алкиламинокарбонила, (C6-C14)-арил-(C1-C8)-алкоксикарбонила, который в арильном остатке также может быть замещен; аминогруппы, меркаптогруппы, (C1-C18)-алкоксила, (C1-C18)-алкоксикарбонила, при необходимости замещенного(С3-C8)-циклоалкила, HOS(О)2-(C1-С3)-алкила, R9NHS(О)2-(C1-С3)-алкила, (R8O)2Р(О)-(C1-С3)-алкил, тетразолил-(C1-С3)-алкила, галогена, нитрогруппы, трифторметила и R5; R15 означает R16-(C1-C6)-алкил или R16; R16 означает 6-24-членный бициклический или трициклический остаток, который является насыщенным или частично ненасыщенным и который также может содержать 1-4 одинаковых или различных гетероатома, выбранных из азота, кислорода и серы, и который также может быть замещен одним или несколькими одинаковыми или различными заместителями, выбранными из (C1-C4)-алкила и оксогруппы; b, c, d и f независимо друг от друга означают 0 или 1, однако все одновременно не могут означать 0; е, g и h независимо друг от друга означают 0, 1, 2, 3, 4, 5 или 6, а также стереоизомерные формы и их смеси в любых соотношениях, и физиологически приемлемые соли.
3. Средство формулы (I) по п.1, отличающееся тем, что в формуле (I) R0 означает (C1-C8)-алкил, (С3-С8)-циклоалкил, (С3-С8)-циклоалкил-(C1-C4)-алкил, при необходимости замещенный (С6-С14)-арил или при необходимости замещенный в арильном остатке (C6-C14)-арил-(C1-C8)-алкил, предпочтительно незамещенный или одно- или многократно замещенный в арильном остатке бифенилилметил, нафтилметил или бензил, а также стереоизомерные формы и их смеси в любых соотношениях, и физиологически приемлемые соли.
4. Средство формулы (I) по п.1 и/или 3, отличающееся тем, что в формуле (I) одновременно W означает R1-A-CH=C, где А означает фениленовый остаток, или W означает 1-A-C(R13), в котором А означает двухвалентный остаток, выбранный из метилена, этилена, триметилена, тетраметилена, пентаметилена, циклогексилена, фенилена, фениленметила; В означает двухвалентный остаток, выбранный из метилена, этилена, триметилена, тетраметилена, винилена, фенилена или замещенного метилена или этилена; Е означает R10CO; R означает водород, (C1-C6)-алкил или бензил; R0 означает (C1-C8)-алкил, (С3-С8)-циклоалкил, при необходимости замещенный (С6-С14)-арил или при необходимости замещенный в арильном остатке (С6-С14)-арил-(C1-C8) -алкил; R1 означает X-NH-C(=NH), X-NH-C(=NX)-NH или X-NH-CH2; X означает водород, (C1-C6)-алкилкарбонил, (C1-C6)-алкоксикарбонил, (C1-C8)-алкилкарбонилокси-(C1-С6)-алкоксикарбонил, (C6-C14)-арил-(C1-С6)-алкоксикарбонил или гидроксил; R2 означает водород или (C1-C8)-алкил; R3 означает (C1-C8)-алкил, при необходимости замещенный (C6-C14)-арил, (C6-C14)-арил-(C1-C8)-алкил, (С3-С8)-циклоалкил, (C2-C8)-алкенил, (C2-C8)-алкинил, пиридил, R11NH, R4CO, COOR4, CONHR14, CSNHR14, COOR15 и CONHR15; е, g и h независимо друг от друга означают числа 0, 1, 2 или 3, а также стереоизомерные формы и их смеси в любых соотношениях и физиологически приемлемые соли.
5. Средство формулы (I) по любому из пп.1-4, отличающееся тем, что в формуле (I) W означает R1-A-C(R13) и R13 означает (C1-С6)-алкил, при необходимости замещенный в арильном остатке (C6-C14)-арил-(C1-C8)-алкил или (С3-С8)-циклоалкил, а также стереоизомерные формы и их смеси в любых соотношениях и физиологически приемлемые соли.
6. Средство формулы (I) по любому из пп.1-5, отличающееся тем, что в формуле (I) R3 означает при необходимости замещенный (С6-С14)-арил, COOR4, R11NH или CONHR14, причем -NHR14 означает остаток
где W означает R1-A-CH или R1-A-CH=C;
Y означает карбонил, тиокарбонил или метиленовую группу;
А означает двухвалентный остаток, выбранный из (C1-C6)-алкилена, (С3-С7)циклоалкилена, фенилена, фенилен-(C1-C6)-алкила, (С1-С6)-алкиленфенила, фенилен-(С2-С6)-алкенила; или двухвалентный остаток пяти- или шестичленного насыщенного или ненасыщенного цикла, который может содержать 1 или 2 атома азота и может быть одно- или двукратно замещен (C1-C6)-алкилом или дважды связанным кислородом или серой;
В означает двухвалентный остаток, выбранный из (C1-C6)-алкилена, (С2-С6)-алкенилена, фенилена, фенилен-(C1-С3)-алкила, (C1-С3)-алкиленфенила;
D означает C(R2)(R3);
Е означает тетразолил, (R8O)2P(O), HOS(O)2, R9NНS(O)2 или R10CO;
R означает водород, (C1-C8)-алкил, (С3-C8)-циклоалкил, при необходимости замещенный (С6-С14)-арил или при необходимости замещенный в арильном остатке (C6-C14)-арил-(C1-C8)-алкил;
R0 означает (C7-C8)-алкил, (С3-C8)-циклоалкил, при необходимости замещенный (C6-C14)-арил или при необходимости замещенный в арильном остатке (C6-C14)-арил-(C1-C8)-алкил;
R1 означает X-NH-C(=NH)-(CH2)p или X1-NH-(CH2)р, причем р = числа 0, 1, 2 или 3;
X означает водород, (C1-С6)-алкил, (C1-C6)-алкилкарбонил, (C1-C6)-алкоксикарбонил, (C1-C18)-алкилкарбонилокси-(C1-C6)-алкоксикарбонил, при необходимости замещенный (C6-C14)-арилкарбонил, при необходимости замещенный (С6-С14)-арилоксикарбонил; (C6-C14)-арил-(C1-C6)-алкоксикарбонил, который в арильном остатке также может быть замещен; (R8O)2P(O), цианогруппу, гидроксил, (C1-C6)-алкоксил; (C6-C14)-арил-(C1-С6)-алкокси, который в арильном остатке также может быть замещен; или аминогруппу;
Х1 имеет одно из указанных для Х значений или означает R’-NH-C(=NR”), причем R’ и R” независимо друг от друга имеют указанные для Х значения;
R2 означает водород или фенил;
R3 означает водород, COOR4, СОN(СН3)R4 или CONHR4;
R4 означает водород или (C1-C28)-алкил, который при необходимости может быть одно- или многократно замещен одинаковыми или различными остатками R4′;
R4′ означает гидроксил, гидроксикарбонил, аминокарбонил, моно- или ди-((C1-C18)-алкил)-аминокарбонил, амино-(C2-C18)-алкиламинокарбонил, амино-(C1-С3)-алкилфенил-(C1-С3)-алкил-аминокарбонил, (C1-C18)-алкилкарбониламино-(C1-С3)-алкилфенил-(C1-С3)-алкиламинокарбонил, (C1-C18)-алкилкарбониламино-(C2-C18)-алкиламинокарбонил; (С6-С14)-арил-(C1-C8)-алкоксикарбонил, который в арильном остатке также может быть замещен; аминогруппу, меркаптогруппу, (C1-C18)-алкоксил, (C1-C18)-алкоксикарбонил, при необходимости замещенный (С3-С8)-циклоалкил, галоген, нитрогруппу, трифторметил или остаток R5;
R5 означает при необходимости замещенный (С6-С14)-арил, при необходимости замещенный в арильном остатке (C6-C14)-арил-(C1-С8)-алкил, моно- или бициклический 5-12-членный гетероцикл, который может быть ароматическим, частично гидрированным или полностью гидрированным и который может содержать один, два или три одинаковых или различных гетероатомов, выбранных из азота, кислорода и серы; остаток R6 или остаток R6CO-, причем арильный и независимо от него гетероциклический остаток могут быть одно- или многократно замещены одинаковыми или различными остатками, выбранными из (C1-C18)-алкила, (С1-С18)-алкоксила, галогена, нитрогруппы, аминогруппы или трифторметила;
R6 означает R7R8N, R7O или R7S или аминокислотную боковую цепь, остаток природной или синтетической аминокислоты, иминокислоты, возможно N-(C1-C8)-алкилированной или N-((С6-C14)-арил-(C1-C8)-алкилированной) азааминокислоты или дипептида, который в арильном остатке также может быть замещен и/или в котором пептидная связь может быть восстановлена до -NH-CH2, а также их сложные эфиры или амиды, причем вместо свободных функциональных групп при необходимости может быть водород или гидроксиметил и/или свободные функциональные группы могут быть защищены обычными в химии пептидов защитными группами;
R7 означает водород, (C1-C18)-алкил, (С6-С14)-арил-(C1-C8)-алкил, (C1-C18)-алкилкарбонил, (C1-C18)-алкоксикарбонил, (С6-С14)-арилкарбонил, (C6-C14)-арил-(C1-C8)-алкилкарбонил или (С6-C14)-арил-(C1-C18)-алкилоксикарбонил, причем алкильные группы при необходимости могут быть замещены аминогруппой и/или арильные остатки могут быть одно- или многократно, предпочтительно однократно, замещены одинаковыми или различными остатками, выбранными из (C1-C8)-алкила, (C1-C8)-алкоксила, галогена, нитрогруппы, аминогруппы и трифторметила; остаток природной или синтетической аминокислоты, иминокислоты, при необходимости N-(C1-C8)-алкилированной или N-((C6-C14)-арил-(C1-С8)-алкилированной) азааминокислоты или дипептида, который в арильном остатке также может быть замещен и/или в котором пептидная связь может быть восстановлена до -NH-CH2-; R8 означает водород, (C1-C18)-алкил, при необходимости замещенный (C6-C14)-арил или (С6-С14)-арил-(C1-C8)-алкил, который в арильном остатке также может быть замещен;
R9 означает водород, аминокарбонил, (C1-C18)-алкиламинокарбонил, (С3-С8)-циклоалкиламинокарбонил, при необходимости замещенный (C6-C14)-ариламинокарбонил, (C1-C18)-алкил, при необходимости замещенный (C6-C14)-арил или (С3-C8)-циклоалкил;
R10 означает гидроксил, (C1-C18)-алкоксил, (С6-С14)-арил-(C1-C8)-алкоксил, который в арильном остатке также может быть замещен; при необходимости замещенный (C6-C14)-арилокси, аминогруппу или моно- или ди-((С1-С18)-алкил)аминогруппу;
b, c и d независимо друг от друга могут означать 0 или 1, однако все одновременно не могут означать 0;
h = 0, 1, 2, 3, 4, 5 или 6,
во всех их стереоизомерных формах и в виде их смесей в любых соотношениях, а также их физиологически приемлемые соли.
21. 5-Членные гетероциклы формулы (Ib) по п.20 и/или их физиологически приемлемые соли, используемые в качестве лекарственного средства.
22. Фармацевтический препарат на основе активного вещества и обычных добавок, отличающийся тем, что в качестве активного вещества он содержит одно или несколько соединений формулы (Ib) по п.20 и/или их физиологически приемлемых солей в эффективном количестве, а также фармацевтически приемлемые носители и/или целевые добавки.
23. 5-Членные гетероциклы формулы (Iс)
где W означает R1-A-C (R13);
Y означает карбонил, тиокарбонил или метиленовую группу;
А означает фениленовый остаток;
В означает двухвалентный остаток, выбранный из (C1-C6)-алкилена, (С2-С6)-алкенилена, фенилена, фенилен-(C1-С3)-алкила; (C1-С3)-алкилен-фенилена;
D означает C(R2)(R3), N(R3) или CH=C(R3);
Е означает тетразолил, (R8O)2P(O), НOS(O)2, R9NHS(O)2 или R10CO,
R означает водород, (C1-C8)-алкил, (С3-С8)-циклоалкил, при необходимости замещенный (С6-С14)-арил или при необходимости замещенный в арильном остатке (С6-С14)-арил-(C1-C8)-алкил;
R0 означает при необходимости замещенный в арильном остатке (C6-C14)-арил-(C1-C8)-алкил;
R1 означает X-NH-C(=NH)-(СН2)р или X1-NH-(CH2)p, причем р = 0, 1, 2 или 3;
Х означает водород, (C1-C6)-алкил, (С1-С6)-алкилкарбонил, (C1-C6)-алкоксикарбонил, (С1-С18)-алкилкарбонилокси-(C1-C6)-алкоксикарбонил, при необходимости замещенный (C6-C14)-арилкарбонил, при необходимости замещенный (C6-C14)-арилоксикарбонил; (С6-С14)-арил-(C1-C6)-алкоксикарбонил, который в арильном остатке также может быть замещен; (R8О)2Р(O), цианогруппу, гидроксил, (С1-С6)-алкоксил, (С6-С14)-арил-(С1-С6)-апкоксил, который в арильном остатке также может быть замещен; или аминогруппу;
Х1 имеет одно из указанных для Х значений или означает R’-NH-C(=N-R”), причем R’ и R” независимо друг от друга имеют указанные для Х значения;
R2 означает водород, (С1-С8)-апкил, при необходимости замещенный (С6-С14)-арил, при необходимости замещенный в арильном остатке (С6-С14)-арил-(С1-С8)-алкил или (С3-С8)-циклоалкил;
R3 означает водород, (С1-С8)-алкил, при необходимости замещенный (С6-С14)-арил, при необходимости замещенный в арильном остатке (С6-С14)-арил-(C1-C8)-алкил, (С3-С8)-циклоалкил, (С2-С8)-алкенил, (С2-С8)-алкинил, (С2-С8)-алкенилкарбонил, (С2-С8)-алкинилкарбонил, пиридил, R11NH, R4CO, COOR4, CON(CH3)R14, CONHR14, CSNHR14, COOR15, CON(CH3)R15 или CONHR15;
R4 означает водород или (C1-C28)-алкил, который при необходимости может быть одно- или многократно замещен одинаковыми или различными остатками R4′;
R4′ означает гидроксил, гидроксикарбонил, аминокарбонил, моно- или ди-((C1-C18)-алкил)-аминокарбонил, амино-(С2-С18)-алкиламинокарбонил, амино-(С1-С3)-алкилфенил-(С1-С3)-алкиламинокарбонил, (С1-С18)-алкилкарбониламино-(С1-С3)-алкилфенил-(С1-С3)-алкиламинокарбонил, (С1-С18)-алкилкарбониламино-(С2-С18)-алкиламинокарбонил; (С6-С14)-арил-(С1-С8)-алкоксикарбонил, который в арильном остатке также может быть замещен; аминогруппу, меркаптогруппу, (С1-С18)-алкоксил, (С1-С18)-алкоксикарбонил, при необходимости замещенный (С3-С8)-циклоалкил, галоген, нитрогруппу, трифторметил или остаток R5;
R5 означает при необходимости замещенный (С6-С14)-арил, при необходимости замещенный в арильном остатке (С6-С14)-арил-(С1-С8)-алкил, моно- или бициклический 5-12-членный гетероцикл, который может быть ароматическим частично гидрированным или полностью гидрированным и который может содержать один, два или три одинаковых или различных гетероатома, выбранных из азота, кислорода и серы; остаток R6 или остаток R6СО-, причем арильный и независимо от него гетероциклический остаток могут быть однократно или многократно замещены одинаковыми или различными остатками, выбранными из (С1-С18)-алкила, (С1-С18)-алкоксила, галогена, нитрогруппы, аминогруппы или трифторметила;
R6 означает R7R8N, R7О или R7S или аминокислотную боковую цепь, остаток природной или синтетической аминокислоты, иминокислоты, возможно N-(С1-С8)-алкилированной или N-((С6-С14)-арил-(С1-C8)-алкилированной) азааминокислоты или дипептида, который в арильном остатке также может быть замещен и/или в котором пептидная связь может быть восстановлена до -NH-CH2-, а также их сложные эфиры и амиды, причем вместо свободных функциональных групп при необходимости может быть водород или гидроксиметил и/или свободные функциональные группы могут быть защищены обычными в химии пептидов группами;
R7 означает водород, (С1-С18)-алкил, (С6-С14)-арил-(С1-С8)-алкил, (С1-С18)-алкилкарбонил, (С1-С18)-алкоксикарбонил, (С6-С14)-арилкарбонил, (С6-С14)-арил-(С1-С8)-алкилкарбонил, или (С6-С14)-арил-(С1-С18)-алкоксикарбонил, причем алкильные группы при необходимости могут быть замещены аминогруппой и/или причем арильные остатки могут быть одно- или многократно, предпочтительно однократно, замещены одинаковыми или различными остатками, выбранными из (С1-С8)-алкила, (С1-С8)-алкоксила, галогена, нитрогруппы, аминогруппы и трифторметила; остаток природной или синтетической аминокислоты, иминокислоты при необходимости N-(С1-С8)-алкилированной или N-((С6-С14)-арил-(С1-С8)-алкилированной)-азааминокислоты или дипептида, который в арильном остатке также может быть замещен и/или в котором пептидная связь может быть восстановлена до -NH-CH2-;
R8 означает водород, (С1-С18)-алкил, при необходимости замещении (С6-С14)-арил или (C6-C14)-арил-(С1-С8)-алкил, который в арильном остатке также может быть замещен;
R9 означает водород, аминокарбонил, (С1-С18)-алкиламинокарбонил, (С3-С8)-циклоалкиламинокарбонил, при необходимости замещенный (C6-C14)-ариламинокарбонил, (С1-С18)-алкил, при необходимости замещенный (С6-С14)-арил или (С3-С8)-циклоалкил;
R10 означает гидроксил, (С1-С18)-алкоксил, (С6-С14)-арил-(С1-С8)-алкоксил, который в арильном остатке также может быть замещен; при необходимости замещенную (С6-С14)-арилоксигруппу, аминогруппу или моно- или ди-((С1-С18)-алкил)аминогруппу;
R11 означает водород, (С1-С18)-алкил, R12СО, при необходимости замещенный (С6-С14)-арил-S(О)2, (С1-С18)-алкил-S(O)2, при необходимости замещенный в арильном остатке (C6-C14)-арил-(С1-С8)-алкил или R9NHS(O)2;
R12 означает водород, (С1-С18)-алкил, (С2-С8)-алкенил, (С2-С8)-алкинил, при необходимости замещенный (С6-С14)-арил, (С1-С18)-алкоксил; (С6-С14)-арил-(С1-С8)-алкоксил, который также в арильном остатке может быть замещен; при необходимости замещенную (С6-С14)-арилоксигруппу или моно- или ди-((С1-С18)-алкил)аминогруппу;
R13 означает (С1-С6)-алкил, при необходимости замещенный в арильном остатке (C6-C14)-арил-(С1-C8)-алкил или (С3-С8)-циклоалкил;
R14 означает водород или (С1-С28)-алкил, который при необходимости может быть одно- или многократно замещен одинаковыми или различными остатками, выбранными из гидроксила, гидроксикарбонила, аминокарбонила, моно- или ди-((C1-C18)-алкил)аминокарбонила, амино-(С2-C18)алкиламинокарбонила, амино-(С1-С3)-алкилфенил-(С1-С3)-алкиламинокарбонила, (С1-С18)-алкилкарбониламино-(С1-С3)-алкилфенил-(С1-С3)-алкиламинокарбонила, (С1-С18)-алкилкарбониламино-(С2-С18)алкиламинокарбонила, (С6-С14)-арил-(С1-С8)-алкоксикарбонила, который также может быть замещен в арильном остатке; аминогруппы, меркаптогруппы, (С1-С18)-алкоксила, (С1-С18)-алкоксикарбонила, при необходимости замещенного (С3-С8)-циклоалкила, HOS(O)2-(С1-С3)-алкила, R9NHS(О)2, -(С1-С3)-алкила, (R8О)2Р(О)-(С1-С3)-алкила, тетразолил-(С1-С3)-алкила, галогена, нитрогруппы, трифторметила и R5;
R15 означает R16-(С1-С6)-алкил или R16;
R16 означает 6-24-членный бициклический или трициклический остаток, который является насыщенным или частично ненасыщенным и который может содержать также 1-4 одинаковых или различных гетероатома, выбранных из азота, кислорода и серы и который также может быть замещен одним или несколькими одинаковыми или различными заместителями, выбранными из (С1-С4)-алкила и оксогруппы;
b, с, d и f независимо друг от друга означают 0 или 1, однако все одновременно не могут означать 0;
е, g и h, независимо друг от друга означают 0, 1, 2, 3, 4, 5 или 6;
во всех их стереоизомерных формах и в виде их смесей в любых соотношениях, а также их физиологически приемлемые соли.
24. 5-Членные гетероциклы формулы (Iс) по п.23 и/или их физиологически приемлемые соли, используемые в качестве лекарственного средства.
25. Фармацевтический препарат на основе активного вещества и обычных добавок, отличающийся тем, что в качестве активного вещества он содержит одно или несколько соединений формулы (Iс) по п.23 и/или их физиологически приемлемых солей и фармацевтически приемлемые носители и/или целевые добавки.
26. 5-Членные гетероциклы формулы (Id)
где W означает R1-A-C(R13) или R1-A-CH=C;
Y означает карбонил, тиокарбонил или метиленовую группу;
Z означает N(R0);
А означает двухвалентный остаток, выбранный из (C1–
С6)-алкилена, (С3-С7)-циклоалкилена, фенилена, фенилен-(С1-С6)-алкила, (С1-С6)-алкиленфенила, фенилен-(С2-С6)-алкенила; или двухвалентный остаток пяти- или шестичленного насыщенного или ненасыщенного цикла, который может содержать 1 или 2 атома азота и может быть одно- или двукратно замещен (C1-C6)-алкилом или дважды связанным кислородом или серой;
В означает двухвалентный (С1-C6)-алкиленовый остаток, который замещен остатком, выбранным из (С1-С8)-алкила, (С2-С8)-алкенила, (C2-C8)-алкинила, (С2-С8)-циклоалкила, (С3-С10)-циклоалкил-(С1-С6)-алкила, при необходимости замещенного (С6-С14)-арила, при необходимости замещенного в арильном остатке (С6-С14)-арил-(С1-С6)-алкила, при необходимости замещенного гетероарила и при необходимости замещенного в гетероарильном остатке гетероарил-(С1-С6)-алкила;
D означает C(R2)(R3), N(R3) или CH=C(R3);
Е означает тетразолил, (R8O)2P(O), HOS(O)2, R9NHS(O)2 или R10СО;
R означает водород, (С1-С8)-алкил, (С3-С8)-циклоалкил, при необходимости замещенный (С6-С14)-арил или при необходимости замещенный в арильном остатке (C6-C14)-арил-(С1-С8)-алкил;
R0 означает водород, (С1-С8)-алкил, (С3-С12)-циклоалкил, (С3-С12)-циклоалкил-(С1-С8)-алкил, (С6-С12)-бициклоалкил, (С6-С12)-бициклоалкил-(С1-С8)-алкил, (C6-C12)-трициклоалкил, (С6-С12)-трициклоалкил-(C1-C8)-алкил, при необходимости замещенный (C6-C14)-арил, при необходимости замещенный в арильном остатке (С6-С14)-арил-(С1-С8)-алкил, при необходимости замещенный гетероарил, при необходимости замещенный в гетероарильном остатке гетероарил-(С1-С8)-алкил, СНО, (С1-С8)-алкил-СО, (С3-С12)-циклоалкил-СО, (С3-С12)-циклоалкил-(С1-С8)-алкил-СО, (C6-C12)-бициклоалкил-СО, (C6-C12)-бициклоалкил-(С1-С8)-алкил-СО, (C6-C12)-трициклоалкил-СО, (С6-С12)-трициклоалкил-(С1-С8)-алкил-СО, при необходимости замещенный (С6-С14) -арил-СО, при необходимости замещенный в арильном остатке (С6-С14)-арил-(С1-С8)-алкил-СО, при необходимости замещенный гетероарил-СО, при необходимости замещенный в гетероарильном остатке гетероарил-(С1-C8)-алкил-СО, (C1-C8)-алкил-S(О)n, (С3-C12)-циклоалкил-S(О)n, (С3-С12)-циклоалкил-(С1-С8)-алкил-S(О)n, (С6-С12)-бициклоалкил-S(О)n, (С6-С12)-бициклоалкил-(С1-С8)-алкил-S(О)n, (С6-С12)-трициклоалкил-S(О)n, (С6-С12)-трициклоалкил-(С1-С8)-алкил-S(О)n, при необходимости замещенный (С6-С14)-арил-S(О)n, при необходимости замещенный в арильном остатке (С6-С14)-арил-(С1-С8)-алкил-S(О)n, при необходимости замещенный гетероарил-S(О)n или при необходимости замещенный в гетероарильном остатке гетероарил-(С1-С8)-алкил-S(О)n, причем n = 1 или 2;
R1 означает X-NH-C(=NH)-(СН2)р или Х1-NH-(CH2)р, причем р = 0, 1, 2 или 3;
X означает водород, (C1-C6)-алкил, (C1-C6)-алкилкарбонил, (С1-С6)-алкоксикарбонил, (С1-С18)-алкилкарбонилокси-(С1-С6)-алкоксикарбонил, при необходимости замещенный (С6-С14)-арилкарбонил, при необходимости замещенный (С6-С14)-арилоксикарбонил; (C6-C14)-арил-(C1-C6)-алкоксикарбонил, который в арильном остатке также может быть замещен; (R8O)2P(O), цианогруппу, гидроксил, (С1-C6)-алкоксил; (C6-C14)-арил-(С1-С6)-алкоксил, который в арильном остатке также может быть замещен; или аминогруппу;
Х1 имеет одно из указанных для Х значений или означает R’-NH-C(=N-R”), причем R’ и R” независимо друг от друга имеют указанные для Х значения;
R2 означает водород, (С1-С8)-алкил, при необходимости замещенный (C6-C14)-арил, при необходимости замещенный в арильном остатке (С6-С14)-арил-(С1-С8)-алкил или (С3-С8)-циклоалкил;
R3 означает водород, (С1-С8)-алкил, при необходимости замещенный (С6-С14)-арил, при необходимости замещенный в арильном остатке (С6-С14)-арил-(С1-С8)-алкил, (С3-С8)-циклоалкил, (С2-С8)-алкенил, (С2-С8)-алкинил, (С2-С8)-алкенилкарбонил, (С2-С8)-алкинилкарбонил, пиридил, R11NH, R4CO, COOR4, CON(CH3)R14, CONHR14, CSNHR14, COOR15, CON(CH3)R15 или CONHR15;
R4 означает водород или (С1-С28)-алкил, который при необходимости может быть одно- или многократно замещен одинаковыми или различными остатками R4′;
R4′ означает гидроксил, гидроксикарбонил, аминокарбонил, моно- или ди-((С1-С18)-алкил) аминокарбонил, амино-(С2-С18)-алкиламинокарбонил, амино-(С1-С3)-алкилфенил-(С1-С3)-алкиламинокарбонил, (C1-C18)-алкилкарбониламино-(С1-С3)-алкилфенил-(С1-С3)-алкиламинокарбонил, (С1-С18)-алкилкарбониламино-(С2-С18)-алкиламинокарбонил; (C6-С14)-арил-(С1-С8)-алкоксикарбонил, который в арильном остатке также может быть замещен; аминогруппу, меркаптогруппу, (С1-С18)-алкоксил, (С1-С18)-алкоксикарбонил, при необходимости замещенный (С3-С8)-циклоалкил, галоген, нитрогруппу, трифторметил или остаток R5;
R5 означает при необходимости замещенный (С6-С14)-арил, при необходимости замещенный в арильном остатке (С6-С14)-арил-(С1-С8)-алкил; моно- или бициклический 5-12-членный гетероцикл, который может быть ароматическим, частично гидрированным или полностью гидрированным и который может содержать один, два или три одинаковых или различных гетероатома, выбранных из азота, кислорода и серы; остаток R6 или остаток R6СО-, причем арильный остаток и независимо от него гетероциклический остаток могут быть одно- или многократно замещены одинаковыми или различными остатками, выбранными из (С1-С18)-алкила, (С1-С18)-алкоксила, галогена, нитрогруппы, аминогруппы или трифторметила;
R6 означает R7R8N, R7О или R7S или аминокислотную боковую цепь, остаток природной или синтетической аминокислоты, иминокислоты, при необходимости N-(С1-С8)-алкилированной или N-((С6-С14)-арил-(С1-С8)-алкилированной азаминокислоты или дипептида, который в арильной части также может быть замещен и/или в котором пептидная связь может быть восстановлена до -NH-CH2-, а также их сложные эфиры и амиды, причем вместо свободных функциональных групп при необходимости может быть водород или гидроксиметил и/или свободные функциональные группы могут быть защищены обычными в химии пептидов защитными группами;
R7 означает водород, (С1-С18)-алкил, (С6-С14)-арил-(С1-С8)-алкил, (С1-С18)-алкилкарбонил, (С1-С18)-алкоксикарбонил, (С1-С18)-арилкарбонил, (С6-С14)-арил-(С1-С8)-алкилкарбонил или (С6-С14)-арил-(С1-С18)-алкилоксикарбонил, причем алкильные группы при необходимости могут быть защищены аминогруппой и/или арильные остатки могут быть одно- или многократно, предпочтительно однократно, замещены одинаковыми или различными остатками, выбранными из (С1-С8)-алкила, (С1-С8)-алкоксила, галогена, нитрогруппы, аминогруппы и три-фторметила; остаток природной или синтетической аминокислоты, иминокислоты, при необходимости N-(С1-С8)-алкилированной или N-((С6-С14)-арил-(С1-С8)-алкилированной) азааминокислоты или дипептида, который в арильном остатке также может быть замещен и/или в котором пептидная связь может быть восстановлена до -NH-CH2-;
R8 означает водород, (С1-С18)-алкил, при необходимости замещенный (C6-C14)-арил или (C6-C14)-арил-(C1-C8)-алкил, который в арильном остатке также может быть замещен;
R9 означает водород, аминокарбонил, (С1-С18)-алкиламинокарбонил, (С3-С8)-циклоалкиламинокарбонил, при необходимости замещенный (C6-C14)-ариламинокарбонил, (С1-С18)-алкил, при необходимости замещенный (С6-С14)-арил или (С3-С8)-циклоалкил;
R10 означает гидроксил, (С1-С18)-алкоксил; (С6-С14)-арил-(С1-С8)-алкоксил, который в арильном остатке также может быть замещен; при необходимости замещенную ((С6-С14)-арилоксигруппу, аминогруппу или моно- или ди-((С1-С18)-алкил)аминогруппу;
R11 означает водород, (С1-С18)-алкил, R12СО, при необходимости замещенный (С6-С14)-арил-S(O)2, (C1-C18)-алкил-S(O)2, при необходимости замещенный в арильном остатке (С6-С14)-арил-(С1-С8)-алкил или R9NHS(O)2;
R12 означает водород, (С1-С18)-алкил, (C2-C8)-алкенил, (С2-С8)-алкинил, при необходимости замещенный (С6-C14)-арил, (С1-С18)-алкоксил, (С6-С14)-арил-(С1-С8)-алкоксил, который в арильном остатке также может быть замещен; при необходимости замещенную (С6-С14)-арилоксигруппу, аминогруппу или моно- или ди-((С1-С18)-алкил)-аминогруппу;
R13 означает водород, (С1-С6)-алкил, при необходимости замещенный в арильном остатке (С6-С14)-арил-(С1-С8)-алкил или (С3-С8)-циклоалкил;
R14 означает водород или (С1-С28)-алкил, который при необходимости может быть одно- или многократно замещен одинаковыми или различными остатками, выбранными из гидроксила, гидроксикарбонила, аминокарбонила, моно- или ди-((С1-С18)-алкил)аминокарбонила, амино-(C2-C18)-алкиламинокарбонила, амино-(С1-С3)-алкилфенил-(C1-C3)-алкиламинокарбонила, (С1-С18)-алкилкарбониламино-(С1-С3)-алкилфенил- (С1-С3)-алкиламинокарбонила, (С1-С18)-алкилкарбониламино-(C2-C18)-алкиламинокарбонила; (С6-С14)-арил-(С1-С8)-алкоксикарбонила, который в арильном остатке также может быть замещен; аминогруппы, меркаптогруппы, (С1-С18)-алкоксила, (С1-С18)-алкоксикарбонила, при необходимости замещенного (С3-С8)-циклоалкила, HOS(О)2-(С1-С3)-алкила, R9NHS(О)2-(С1-С3)-алкила, (R8О)2Р(О)-(С1-С3)-алкила, тетразолил-(С1-С3)-алкила, галогена, нитрогруппы, трифторметила и R5;
R15 означает R16-(С1-С6)-алкил или R16;
R16 означает 6-24-членный бициклический или трициклический остаток, который является насыщенным или частично ненасыщенным и который также может содержать 1-4 одинаковых или различных гетероатома, выбранных из ряда азота, кислорода и серы и который также может быть замещен одним или несколькими одинаковыми или различными заместителями, выбранными из (С1-С4)-алкила и оксогруппы;
с, d и f независимо друг от друга означают 0 или 1, однако все одновременно не могут означать 0;
е, g и h независимо друг от друга означают 0, 1, 2, 3, 4, 5 или 6;
во всех их стереоизомерных формах и в виде их смесей в любых соотношениях, а также их физиологически приемлемые соли.
27. 5-Членные гетероциклы формулы (I) по п.26, где одновременно W означает R1-A-C(R13);
Y означает карбонил;
Z означает N(R0);
А означает двухвалентный остаток, выбранный из (С3-С7)-циклоалкилена, фенилена, фенилен-(С1-С6)-алкила, (С1-С6)-алкиленфенила, или двухвалентный остаток пяти- или шестичленного насыщенного или ненасыщенного цикла, который может содержать 1 или 2 атома азота и может быть одно- или двукратно замещен (С1-С6)-алкилом или дважды связанным кислородом или серой;
В означает двухвалентный метиленовый или этиленовый остаток, который замещен остатком, выбранным из (С1-С8)-алкила, (С2-С8)-алкенила, (С2-С8)-алкинила, (С3-С10)-циклоалкила, (C3-C10)-циклоалкил-(С1-С6)-алкила, при необходимости замещенного (С6-С14)-арила, при необходимости замещенного в арильном остатке (C6-C14)-арил-(С1-С6)-алкила, при необходимости замещенного гетероарила и при необходимости замещенного в гетероарильном остатке гетероарил-(С1-С6)-алкила;
D означает С(R2)(R3);
Е означает тетразолил или R10СО;
R означает водород или (С1-С8)-алкил;
R0 означает водород, (C1-C8)-алкил, (С3-С12)-цикпоалкил, (С3-С12)-циклоалкил-(С1-С8)-алкил, (C6-C12)-бициклоалкил, (C6-C12)-бициклоалкил-(C1-C8)-алкил, (C6-C12)-трициклоалкил, (С6-С12)-трициклоалкил-(С1-С8)-алкил, при необходимости замещенный (С6-С14)-арил, при необходимости замещенный в арильном остатке (С6-С14)-арил-(С1-С8)-алкил, при необходимости замещенный гетероарил, при необходимости замещенный в гетероарильном остатке гетероарил-(C1-C8)-алкил, CHD, (C1-C8)-алкил-CO, (С3-С12)-циклоалкил-СО, (С3-С12)-циклоалкил-(С1-С8)-алкил-СО, (С6-С12)-бициклоалкил-СО, (С6-С12)-бициклоалкил-(С1-С8)-алкил-CO, (С6-С12)-трициклоалкил-СО, (C6-C12)-трициклоалкил-(С1-С8)-алкил-СО, при необходимости замещенный (С6-С14)-арил-СО, при необходимости замещенный в арильном остатке (С6-С14)-арил-(С1-С8)-алкил-СО, при необходимости замещенный гетероарил-СО, при необходимости замещенный в гетероарильном остатке гетероарил-(С1-С8)-алкил-CO; (C1-C8)-алкил-S(О)n, (С3-С12)-циклоалкил-S(О)n, (С3-С12)-циклоалкил-(С1-С8)-алкил-S(O)n, (C6-C12)-бициклоалкил-S(О)n, (С6-С12)-бициклоалкил-(С1-С8)-алкил-S(О)n, (С6-С12)-трициклоалкил-S(O)n, (С6-С12)-трициклоалкил-(С1-С8)-алкил-S(О)n, при необходимости замещенный (С6-С14)-арил-S(О)n, при необходимости замещенный в арильном остатке (С6-С14)-арил-(С1-С8)-алкил-S(О)n, при необходимости замещенный гетероарил-S(О)n или при необходимости замещенный в гетероарильном остатке гетероарил-(С1-С8)-алкил-S(О)n, причем n = 1 или 2;
R1 означает X-NH-C(=NH)-(СН2)р или X1-NH-(CH2)p, причем р = 0, 1, 2 или 3;
X означает водород, (С1-С6)-алкил, (C1-C6)-алкилкарбонил, (C1-C6)-алкоксикарбонил, (С1-С18)-алкилкарбонилокси-(C1-C6)-алкоксикарбонил, при необходимости замещенный (С6-С14)-арилкарбонил, при необходимости замещенный (С6-С14)-арилоксикарбонил; (С6-С14)-арил-(С1-С6)-алкоксикарбонил, который в арильном остатке также может быть замещен; цианогруппу, гидроксил, (С1-С6)-алкоксил; (С6-С14)-арил-(С1-С6)-алкоксил, который в арильном остатке также может быть замещен; или аминогруппу;
Х1 имеет одно из указанных для Х значений или означает R’-NH-C(=N-R”), причем R’ и R” независимо друг от друга имеют указанные для Х значения;
R2 означает водород или (С1-С8)-алкил;
R3 означает водород, (С1-С8)-алкил, при необходимости замещенный (С6-С14)-арил, при необходимости замещенный в арильном остатке (С6-С14)-арил-(С1-С8)-алкил, (С3-С8)-циклоалкил, (С2-С8)-алкенил, (C2-C8)-алкинил, (С2-С8)-алкенилкарбонил, (С2-С8)-алкинилкарбонил, пиридил, R11NH, CON(CH3)R14, CONHR14, CON(CH3)R15 или CONHR15;
R5 означает при необходимости замещенный (С6-С14)-арил, при необходимости замещенный в арильном остатке (С6-С14)-арил-(С1-С8)-алкил; моно- или моно- или бициклический 5-12-членный гетероцикл, который может быть ароматическим, частично гидрированным или полностью гидрированным и который может содержать один, два или три одинаковых или различных гетероатома, выбранных из азота, кислорода и серы; или означает остаток R6CO-, причем арильный остаток и независимо от него гетероциклический остаток могут быть одно- или многократно замещены одинаковыми или различными остатками, выбранными из (С1-С8)-алкила, (С1-С8)-алкоксила, галогена, нитрогруппы, аминогруппы или трифторметила;
R6 означает остаток природной или синтетической аминокислоты, иминокислоты, при необходимости N-(C1-C8)-алкилированной или N-((С6-С14)-арил-(С1-С8)-алкилированной) азааминокислоты или дипептида, который в арильном остатке также может быть замещен, а также их сложные эфиры и амиды, причем свободные функциональные группы могут быть защищены обычными в химии пептидов защитными группами;
R10 означает гидроксил, (С1-С18)-алкоксил, (С6-С14)-арил-(С1-С8)-алкоксил, который в арильном остатке также может быть замещен; при необходимости замещенную (С6-С14)-арилоксигруппу, аминогруппу или моно- или ди-((С1-С18)-алкил)аминогруппу;
R11 означает R12СО, при необходимости замещенный (С6-С14)-арил-S(O)n, или (С1-С18)-алкил-S(O)2;
R12 означает водород, (С1-С18)-алкил, (C2-C8)-алкенил, (С2-С8)-алкинил, при необходимости замещенный (С6-С14)-арил, (С1-С18)алкоксил; (C6-C14)-арил-(C1-C8)-алкоксил, который в арильном остатке также может быть замещен; или при необходимости замещенную (C6-C14)-арилоксигруппу;
R13 означает водород или (С1-С14)-алкил;
R14 означает (С1-С10)-алкил, который при необходимости может быть одно- или многократно замещен одинаковыми или различными остатками, выбранными из гидроксила, гидроксикарбонила, аминокарбонила, моно- или ди-((С1-С18)-алкил)аминокарбонила, (С6-С14)-арил-(С1-С8)-алкоксикарбонила, который в арильном остатке также может быть замещен, (С1-С8)-алкоксила, (С1-С8)-алкоксикарбонила, при необходимости замещенного (С3-С8)-циклоалкила, тетразолил-(С1-С3)-алкила, трифторметила и R5;
R15 означает R16-(С1-С6)-алкил или R16;
R16 означает 6-24-членный бициклический или трициклический остаток, который является насыщенным или частично ненасыщенным и который также может содержать 1-4 одинаковых или различных гетероатома, выбранных из азота, кислорода и серы и который также может быть замещен одним или несколькими одинаковыми или различными заместителями, выбранными из (С1-С4)-алкила и оксогруппы,
c и d = 1 и f = 0;
е и h независимо друг от друга означают 0 или 1, а g = нуль; во всех их стереоизомерных формах и в виде их смесей в любых соотношениях, а также их физиологически приемлемые соли.
28. 5-Членные гетероциклы формулы (Id) по п.26 и/или п.27, где остаток, которым замещена группа В, представляет собой (С1-С8)-алкильный остаток, во всех их стереоизомерных формах и в виде их смесей в любых соотношениях, а также их физиологически приемлемые соли.
29. 5-Членные гетероциклы формулы (Id) по любому из пп.26-28 и/или их физиологически приемлемые соли, используемые в качестве лекарственного средства.
30. Фармацевтический препарат на основе активного вещества и обычных добавок, отличающийся тем, что в качестве активного вещества он содержит одно или несколько соединений формулы (Id) по любому из пп.26-28 и/или их физиологически приемлемых солей в эффективном количестве и фармацевтически приемлемые носители и/или целевые добавки.
31. 5-Членные гетероциклы формулы (Iе)
где W означает R1-А-С(R13) или R1-A-CH=C;
Y означает карбонил, тиокарбонил или метиленовую группу,
Z означает N(R0), кислород, серу или метиленовую группу;
А означает двухвалентный остаток, выбранный из (С1-С6)-алкилена, (С3-С7)-циклоалкилена, фенилена, фенилен-(С1-С6)-алкила, (С1-C6)-алкиленфенила, фенилен-(C2-C6)-алкенила, или двухвалентный остаток пяти- или шестичленного насыщенного или ненасыщенного цикла, который может содержать 1 или 2 атома изота и может быть одно- или двукратно замещен (С1-С6)-алкилом или дважды связанным кислородом или серой;
В означает двухвалентный остаток, выбранный из (С1-С6)-алкилена, (С2-С6)-алкенилена, фенилена, фенилен-(С1-С3)-алкила и (С1-С3)-алкиленфенила;
D означает C(R2)(R3), N(R3) или СН=С(R3);
Е означает тетразолил, (R8O)2P(O), HOS (O)2, R9NHS(O)2 или R10СО;
R означает водород, (С1-С8)-алкил, (С3-С8)-циклоакил, при необходимости замещенный (С6-С14)-арил или при необходимости замещенный в арильном остатке (С6-С14)-арил-(С1-С8)-алкил;
R0 означает CHO, (С1-С8)-алкил-СО, (С3-С12)-циклоалкил-СО, (С3-С12)-циклоалкил-(С1-С8)-алкил-СО, (С6-С12)-бициклоалкил-СО, (С6-С12)-бициклоалкил-(С1-С8)-алкил-СО, (С6-С12)-трициклоалкил-СО, (С6-С12)-трициклоалкил-(С1-С8)-алкил-СО, при необходимости замещенный (С6-С14)-арил-СО, при необходимости замещенный в арильном остатке (С6-С14)-арил-(С1-C8)-алкил-СО, при необходимости замещенный гетероарил-СО, при необходимости замещенный в гетероарильном остатке гетероарил-(С1-С8)-алкил-СО, (С1-С8)-алкил-S(O)n, (С3-С12)-циклоалкил-S(O)n, (С3-С12)-циклоалкил-(C1-C8)-алкил-S(O)n, (С6-Сl2)-бициклоалкил-S(О)n, (С6-С12)-бициклоалкил-(С1-С8)-алкил-S(О)n, (С6-С12)-трициклоалкил-S(О)n, (C6-C12)-трициклоалкил-(С1-С8)-алкил-S(О)n, при необходимости замещенный (С6-С14)-арил-S(О)n, при необходимости замещенный в арильном остатке (C6-C14)-арил-(С1-С8)-алкил-S(О)n, при необходимости замещенный гетероарил-S(О)n или при необходимости замещенный в гетероарильном остатке гетероарил-(С1-С8)-алкил-S(О)n, причем n = 1 или 2;
R1 означает X-NH-C(=NH)-(СН2)р или X1-NH-(CH2)р, причем р = 0, 1, 2 или 3;
X означает водород, (С1-С6)-алкил, (С1-С6)-алкилкарбонил, (С1-С6)-алкоксикарбонил, (С1-С18)-алкилкарбонилокси-(С1-С6)-алкоксикарбонил, при необходимости замещенный (С6-С14)-арилкарбонил, при необходимости замещенный (С6-С14)-арилоксикарбонил; (С6-С14)-арил-(С1-С6)-алкоксикарбонил, который в арильном остатке также может быть замещен; (R8O)2Р(O), цианогруппу, гидроксил, (С1-С6)-алкоксил; (С6-С14)-арил-(С1-С6)-алкоксил, который в арильном остатке также может быть замещен; или аминогруппу;
Х1 имеет одно из указанных для Х значений или означает R’-NH-C(=NR”), причем R’ и R” независимо друг от друга имеют указанные для Х значения;
R2 означает водород, (С1-C8)-алкил, при необходимости замещенный (С6-С14)-арил, при необходимости замещенный в арильном остатке (С6-С14)-арил-(С1-C8)-алкил или (С3-С8)-циклоалкил;
R3 означает водород, (С1-С8)-алкил, при необходимости замещенный (С6-С14)-арил, при необходимости замещенный в арильном остатке (C6-C14)-арил-(С1-С8)-алкил, (С3-С8)-циклоалкил, (C2-C8)-алкенил, (С2-С8)-алкинил, (С2-С8)-алкенилкарбонил, (С2-С8)-алкинилкарбонил, пиридил, R11NH, R4CO, COOR4, CON(CH3)R14, CONHR14, CSNHR14, COOR15, CON(CH3)R15 или CONHR15;
R4 означает водород или (С1-С28)-алкил, который при необходимости может быть одно- или многократно замещен одинаковыми или различными остатками R4′;
R4′ означает гидроксил, гидроксилкарбонил, аминокарбонил, моно- или ди-((С1-С18)-алкил)-аминокарбонил, амино-(С2-С18)-алкиламинокарбонил, амино-(С1-С3)-алкилфенил-(С1-С3)-алкиламинокарбонил, (С1-С18)-алкилкарбониламино-(С1-С3)-алкилфенил-(С1-С18)-алкиламинокарбонил, (С2-С18)-алкилкарбониламино-(С2-С18)-алкиламинокарбонил; (С6-С14)-арил-(С1-С8)-алкоксикарбонил, который в арильном остатке также может быть замещен; аминогруппу, меркаптогруппу, (С1-С18)-алкоксил, (С1-С18)-алкоксикарбонил, при необходимости замещенный (С3-С8)-циклоалкил, галоген, нитрогруппу, трифторметил или остаток R5;
R5 означает при необходимости замещенный (С6-С14)-арил, при необходимости замещенный в арильном остатке (С6-С14)-арил-(С1-С8)-алкил; моно- или бициклический 5-12-членный гетероцикл, который может быть ароматическим, частично гидрированным или полностью гидрированным и может содержать один, два или три одинаковых или различных гетероатома, выбранных из азота, кислорода и серы; остаток R6 или остаток R6-СО-, причем арильный остаток и независимо от него гетероциклический остаток могут быть одно- или многократно замещены одинаковыми или различными остатками, выбранными из (С1-C18)-алкила, (С1-С18)-алкоксила, галогена, нитрогруппы, аминогруппы или трифторметила;
R6 означает R7R8N, R7О или R7S или аминокислотную боковую цепь, остаток природной или синтетической аминокислоты, иминокислоты, при необходимости N-(С1-С8)-алкилированной или N-((С6-С14)-арил-(С1-С8)-алкилированной) азааминокислоты или дипептида, который в арильном остатке также может быть замещен и/или в котором пептидная связь может быть восстановлена до -NH-CH2-, а также их сложные эфиры и амиды, причем вместо свободных функциональных групп при необходимости может быть водород или гидроксиметил и/или свободные функциональные группы могут быть защищены обычными в химии пептидов защитными группами;
R7 означает водород, (С1-С18)-алкил, (С6-С14)-арил-(С1-С8)-алкил, (С1-С18)-алкилкарбонил, (С1-С18)-алкоксикарбонил, (С6-С14)-арилкарбонил, (C6-C14)-арил-(C1-C8)-алкилкарбонил или (C6-C14)-арил-(C1-C18)-алкоксикарбонил, причем алкильные группы при необходимости замещены аминогруппой и/или арильные остатки могут быть одно- или многократно, предпочтительно однократно, замещены одинаковыми или различными остатками, выбранными из (С1-С8)-алкила, (C1-C8)-алкоксила, галогена, нитрогруппы, аминогруппы и трифторметила; остаток природной или синтетической аминокислоты, иминокислоты, при необходимости N-(С1-С8)-алкилированной или N-((C6-С14)-арил-(С1-С8)-алкилированной) азааминокислоты или дипептида, который в арильном остатке также может быть замещен и/или в котором пептидная связь может быть восстановлена до -NH-CH2-;
R8 означает водород, (С1-С18)-алкил, при необходимости замещенный (С6-С14)-арил или (С6-С14)-арил-(С1-С8)-алкил, который в арильном остатке может быть также замещен;
R9 означает водород, аминокарбонил, (С1-С18)-алкиламинокарбонил, (С3-С8)-циклоалкиламинокарбонил, при необходимости замещенный (С6-С14)-ариламинокарбонил, (С1-С18)-алкил, при необходимости замещенный (С6-С14)-арил или (С3-С8)-циклоалкил;
R10 означает гидроксил, (С1-С18)-алкоксил; (С6-С14)-арил-(С1-С8)-алкоксил, который в арильном остатке также может быть замещен; при необходимости замещенную (C6-С14)-арилоксигруппу, аминогруппу или моно- или ди-((С1-С18)-алкил)аминогруппу;
R11 означает водород, (С1-С18)-алкил, R12СО, при необходимости замещенный (C6-C14)-арил-S(О)2, (C1-C18)-алкил-S(O)2, при необходимости замещенный в арильном остатке (С6-С14)-арил-(С1-C8)-алкил или R9NHS(O)2;
R12 означает водород, (С1-С18)-алкил, (C2-C8)-алкенил, (С2-С8)-алкинил, при необходимости замещенный (C6-C14)-арил, (С1-С18)-алкоксил; (C6-C14)-арил-(С1-С8)-алкоксил, который в арильном остатке также может быть замещен; при необходимости замещенную (С6-С14)-арилоксигруппу, аминогруппу или моно- или ди-((С1-С18)-алкил) аминогруппу;
R13 означает водород, (С1-С6)-алкил, при необходимости замешенный в арильном остатке (С6-С14)-арил-(С1-С8)-алкил или (C3-C8)-циклоалкил;
R14 означает водород или (С1-С28)-алкил, который при необходимости может быть одно- или многократно замещен одинаковыми или различными остатками, выбранными из гидроксила, гидроксикарбонила, аминокарбонила, моно- или ди-((С1-С18)-алкил)аминокарбонила, амино-(С2-С18)-алкиламинокарбонила, амино-(С1-С3)-алкилфенил-(С1-С3)-алкиламинокарбонила, (С1-С18)-алкилкарбониламино-(С1-С3)-алкилфенил-(С1-С3)-алкиламинокарбонила, (С1-С18)-алкилкарбониламино-(С2-С18)-алкиламинокарбонила; (С6-С14)-арил-(С1-С8)-алкоксикарбонила, который в арильном остатке также может быть замещен; аминогруппы, меркаптогруппы, (С1-С18)-алкоксила, (С1-С18)-алкоксикарбонила, при необходимости замещенного (С3-С8)-циклоалкила, HOS(О)2-(С1-С3)-алкила, R9NHS(О)2-(С1-С3)-алкила, (R8O)2P(O)-(C1-C3)-aлкилa, тетразолил-(С1-С3)-алкила, галогена, нитрогруппы, трифторметила и R5;
R15 означает R16-(С1-С6)-алкил или R16;
R16 означает 6-24-членный бициклический или трициклический остаток, который является насыщенным или частично ненасыщенным и который также может содержать 1-4 одинаковых или различных гетероатома, выбранных из азота, кислорода и серы, и который также может быть замещен одним или несколькими одинаковыми или различными заместителями выбранного из (С1-С4)-алкила и оксогруппы;
b, с, d и f независимо друг от друга означают 0 или 1, однако все одновременно не могут означать 0;
е, g и h независимо друг от друга означают 0, 1,2, 3, 4, 5 или 6;
во всех их стереоизомерных формах и в виде их смесей в любых соотношениях, а также их физиологически приемлемые соли.
32. 5-Членные гетероциклы формулы (Iе) по п.31 и/или их физиологически приемлемые соли, используемые в качестве лекарственного средства.
33. Фармацевтический препарат на основе активного вещества и обычных добавок, отличающийся тем, что в качестве активного вещества он содержит одно или несколько соединений формулы (Iе) по п.31 и/или их физиологически приемлемых солей в эффективном количестве и фармацевтически приемлемые носители и/или целевые добавки.