Патент на изобретение №2229117
|
||||||||||||||||||||||||||
(54) ТЕРМОЭЛЕКТРИЧЕСКИЙ СПОСОБ КОНТРОЛЯ МЕТАЛЛИЧЕСКИХ МАТЕРИАЛОВ
(57) Реферат: Изобретение относится к области неразрушающего контроля и может быть использовано в металлургической и машиностроительной промышленности для контроля различных свойств металлических материалов, коррелирующих с их абсолютной дифференциальной термоЭДС. Сущность: способ заключается в приведении в контакт с материалом электродов, выполненных из материала с одинаковой теплопроводностью и различной абсолютной дифференциальной термоЭДС, и измерении термоЭДС в паре нагретых электродов, в паре одного из нагретых и холодного электродов и в паре холодных электродов. Для расчета абсолютной дифференциальной термоЭДС исследуемого материала используется измерение термоЭДС, возникающих между указанными выше парами электродов, а также абсолютные дифференциальные термоЭДС горячих и холодных электродов. Технический результат изобретения состоит в повышении достоверности и точности определения абсолютной дифференциальной термоЭДС и расширении возможностей метода. 1 ил. Изобретение относится к области неразрушающего контроля и может быть использовано в металлургической и машиностроительной промышленности для контроля различных свойств металлических материалов, коррелирующих с их абсолютной дифференциальной термоЭДС. Известен способ контроля металлических материалов, включающий приведение в контакт с материалом, имеющим температуру окружающей среды холодного и двух нагретых электродов, измерение термоЭДС в паре нагретых электродов, выполненных из материала с одинаковой теплопроводностью и различной абсолютной дифференциальной термоЭДС и измерение термоЭДС в паре одного из нагретых и холодного электродов и по величине первого измеренного значения термоЭДС судят о разности температур в нагретом и холодном контактах, а по отношению измеренных термоЭДС – об абсолютной дифференциальной термоЭДС исследуемого материала. Недостатком указанного способа является то, что для его реализации требуется равенство температур холодных концов горячих электродов, холодного электрода и контролируемого материала. Неравенство друг другу указанных температур приводит к возникновению в цепи неучтенных составляющих термоЭДС, что снижает достоверность и точность получаемых результатов. В тоже время обеспечение указанного требования зачастую невозможно, что ограничивает возможности применения метода. Задача, на решение которой направлено изобретение, состоит в повышении достоверности и точности определения абсолютной дифференциальной термоЭДС и расширении возможностей метода. Это достигается тем, что в способе контроля металлических материалов, заключающемся в приведении в контакт с материалом электродов, выполненных из материала с одинаковой теплопроводностью и различной абсолютной дифференциальной термоЭДС, измерении термоЭДС в паре нагретых электродов, и в паре одного из нагретых и холодного электродов, в отличие от прототипа, в схему дополнительно вводят еще один холодный электрод, выполненный из материала с той же теплопроводностью, что и первый и отличной от первого абсолютной дифференциальной термоЭДС и измеряют термоЭДС, возникающую между холодными электродами в результате наличия разности температур между холодными концами электродов и контролируемым материалом. Использование указанной величины в расчетных зависимостях позволяет учесть влияние неравенства температур между холодными концами электродов и контролируемым материалом, что ведет к повышению достоверности и точности контроля и расширяет возможности метода. Сущность изобретения поясняется чертежом, на котором представлена схема осуществления способа. Электроды поз. 2, 3, 4, 5 выполнены из материалов с одинаковой теплопроводностью и различной абсолютной дифференциальной термоЭДС. Электроды 2 и 3 размещены в нагревателе 6 при температуре T1. Электроды 4 и 5 размещены вне нагревателя. Свободные окончания всех электродов имеют одинаковую температуру Т0, например, в результате помещения в общую контактную коробку 7 и соединены с измерителями термоЭДС E1, Е2 Е3 (поз. 8, 9, 10) согласно чертежу. Предлагаемый способ реализуется следующим образом. Электроды устанавливают на изделие 1, имеющее некоторую температуру Т2, неравную Т0. Вследствие одинаковой теплопроводности электродов условия передачи тепла в обоих контактах оказываются одинаковыми и контакты горячих электродов приобретают температуру T1’, а контакты холодных электродов, в результате теплообмена, приобретают температуру Т2. С помощью измерителя термоЭДС 8 определяют сигнал E1 в цепи электрод 2-материал-электрод 3.
где S0 и S1 – абсолютная дифференциальная термоЭДС электродов 2 и 3.
С помощью измерителя термоЭДС 10 определяют сигнал Е3 в цепи электрод 4-материал-электрод 5.
где S2 и S3 – абсолютная дифференциальная термоЭДС электродов 4 и 5.
По известным значениям S0, S1, S2, S3 определяют разность температур между точками контакта горячих и холодных электродов используя выражение
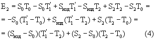
С помощью измерителя термоЭДС 9 определяют сигнал Е3 в цепи электрод 2-материал-электрод 4.
Из (2), (3) и (4) определяют абсолютную дифференциальную термоЭДС контролируемого материала:
Решение поставленной задачи подтверждается тем, что предлагаемые расчетные зависимости учитывают составляющие термоЭДС, возникающие в цепи в результате неравенства температур холодных концов электродов и контролируемого материала.
Величины (Т1’-Т2) и Sизд служат двумя параметрами, совокупность которых характеризует исследуемый материал при термоэлектрическом контроле.
Данный способ позволяет повысить достоверность и точность определения абсолютной дифференциальной термоЭДС и расширить возможности термоэлектрического метода.
Формула изобретения Термоэлектрический способ контроля металлических материалов, включающий приведение в контакт с материалом электродов, выполненных из материала с одинаковой теплопроводностью и различной абсолютной дифференциальной термоЭДС, измерение сигналов в паре из нагретых электродов и в паре одного из нагретых и холодного электродов, отличающийся тем, что в схему дополнительно вводят еще один холодный электрод, измеряют сигнал в паре холодных электродов и определяют абсолютную дифференциальную термоЭДС исследуемого материала по формуле
где S0 и S1 – абсолютная дифференциальная термоЭДС горячих электродов;
S2 и S3 – абсолютная дифференциальная термоЭДС холодных электродов;
Е1 – сигнал (термоЭДС) в паре горячих электродов;
Е2 – сигнал в паре горячего и холодного электродов;
Е3 – сигнал в паре холодных электродов,
а также определяют разность температур в точках контакта горячих и холодных электродов по формуле
(Т1`-Т2)=Е1/(S1-S0)-E3/(S3-S2).
РИСУНКИ
MM4A Досрочное прекращение действия патента Российской Федерации на изобретение из-за неуплаты в установленный срок пошлины за поддержание патента в силе
Дата прекращения действия патента: 11.02.2005
Извещение опубликовано: 20.11.2006 БИ: 32/2006
|
||||||||||||||||||||||||||

где S0 и S1 – абсолютная дифференциальная термоЭДС электродов 2 и 3.
С помощью измерителя термоЭДС 10 определяют сигнал Е3 в цепи электрод 4-материал-электрод 5.
где S2 и S3 – абсолютная дифференциальная термоЭДС электродов 4 и 5.
По известным значениям S0, S1, S2, S3 определяют разность температур между точками контакта горячих и холодных электродов используя выражение
С помощью измерителя термоЭДС 9 определяют сигнал Е3 в цепи электрод 2-материал-электрод 4.
Из (2), (3) и (4) определяют абсолютную дифференциальную термоЭДС контролируемого материала:
Решение поставленной задачи подтверждается тем, что предлагаемые расчетные зависимости учитывают составляющие термоЭДС, возникающие в цепи в результате неравенства температур холодных концов электродов и контролируемого материала.
Величины (Т1’-Т2) и Sизд служат двумя параметрами, совокупность которых характеризует исследуемый материал при термоэлектрическом контроле.
Данный способ позволяет повысить достоверность и точность определения абсолютной дифференциальной термоЭДС и расширить возможности термоэлектрического метода.
где S0 и S1 – абсолютная дифференциальная термоЭДС горячих электродов;
S2 и S3 – абсолютная дифференциальная термоЭДС холодных электродов;
Е1 – сигнал (термоЭДС) в паре горячих электродов;
Е2 – сигнал в паре горячего и холодного электродов;
Е3 – сигнал в паре холодных электродов,
а также определяют разность температур в точках контакта горячих и холодных электродов по формуле
(Т1`-Т2)=Е1/(S1-S0)-E3/(S3-S2).