Патент на изобретение №2151145
|
||||||||||||||||||||||||||
(54) ПРОМЕЖУТОЧНОЕ СОЕДИНЕНИЕ ДЛЯ ПОЛУЧЕНИЯ ГЕТЕРОЦИКЛИЧЕСКИХ СОЕДИНЕНИЙ, ОБЛАДАЮЩИХ АНТИДИАБЕТИЧЕСКОЙ АКТИВНОСТЬЮ
(57) Реферат: Описывается промежуточное соединение для получения гетероциклических соединений общей формулы XIV, где Y – атом кислорода; Y1 – атом серы; R – атом водорода; m – целое число от 1 до 5; Q – низшая алкоксикарбонильная группа, формильная группа, защищенная формильная группа или карбоксильная группа, обладающих гипогликемической и противодиабетической активностями.
Настоящее изобретение относится к промежуточному продукту для синтеза ряда гетероциклических соединений, обладающих гипогликемической и антидиабетической активностями. Известно, что соединения, которые, содержат, кроме всего прочего, тиазолидиндионовую или оксазолидиндионовую группу, присоединенную через метиленовую или метилиденовую группу к бензольному ядру, обладают указанным типом активности. Соединения этого общего типа раскрыты в публикациях европейских патентов N 008203, N 139421, N 441605, N 208420, N 528734, N 177353, N 306228 и N 356214 и в WO 92/07850, 92/07839, 91/07107, 92/02520 и 92/03425. Данные изобретатели открыли, что введение в такие соединения некоторых специфических двуядерных азотсодержащих циклических систем дает в результате соединения с намного более высокой активностью. Таким образом, задачей настоящего изобретения является создание ряда новых химических соединений, которые можно рассматривать как производные тиазолидина и оксазолидина или как их производные с разомкнутым кольцом, которые могут быть пригодны для лечения и/или профилактики многообразных нарушений, включающий одно или несколько из следующих: гиперлипемия, гипергликемия, ожирение, недостаточность толерантности к глюкозе, устойчивость к инсулину и диабетические осложнения. Целью изобретения является создание промежуточных продуктов формулы (XIV), используемых для производства таких соединений, о которых говорилось выше. Соединения формулы (XIV) имеют следующую формулу: ![]() где Y и Y1 – атом кислорода или атом серы; Q – низшая алкоксикарбонильная группа, формил, защищенная формильная группа, карбоксильная группа или гидроксильная группа; R – атом водорода, алкильная группа, имеющая от 1 до 4 атомов углерода, алкоксигруппа, имеющая от 1 до 4 атомов углерода, атом галогена, гидроксигруппа, нитрогруппа, аралкильная группа, в которой алкильная группа, имеющая от 1 до 5 атомов углерода, замещена арильной группой, имеющей от 6 до 10 атомов углерода в кольце, или группа формулы – NRaRb, где Ra и Rb (одинаковые или разные) каждый – атом водорода, алкильная группа, имеющая от 1 до 8 атомов углерода, аралкильная группа, в которой алкильная группа, имеющая от 1 до 5 атомов углерода, замещена арильной группой, имеющей от 6 до 10 атомов углерода в кольце, арильная группа, имеющая от 6 до 10 атомов углерода в кольце, алифатическая карбоксиацильная группа, имеющая от 1 до 11 атомов углерода, алифатическая карбоксиацильная группа, которая имеет от 2 до 6 атомов углерода и которая замещена арильной группой, имеющей от 6 до 10 атомов углерода в кольце, или ароматическая карбоксиацильная группа, в которой арильная часть имеет от 6 до 10 атомов углерода в кольце; m – целое число от 1 до 5. Итак, в соответствии с настоящим изобретением предлагается соединение формулы XIV, представленной выше, в качестве промежуточного продукта для синтеза соединений формулы I ![]() где X – индолильная, индолинильная, азаиндолильная, азаиндолинильная, имидазопиридильная или имидазопиримидинильная группа, незамещенная или замещенная по крайней мере одним заместителем, выбранным из группы, состоящей из указанных ниже заместителей ;каждый из заместителей – алкильная группа, имеющая от 1 до 4 атомов углерода, арильная группа, имеющая от 6 до 10 атомов углерода, трифторметильная группа, алкилтиогруппа, имеющая от 1 до 4 атомов углерода, алкоксигруппа, имеющая от 1 до 4 атомов углерода, бензилоксигруппа, атом галогена, гидроксигруппа, ацетоксигруппа, фенилтиогруппа, нитрогруппа, аралкильная группа или группа, формулы -NRaRb, где Ra и Rb – такие, как указанные выше;вышеупомянутые арильные группу и арильные части упомянутых аралкильных групп, включенные в заместители , являются карбоциклическими ароматическими группами, имеющими от 6 до 10 атомов углерода в кольце и незамещенными или замещенными по крайней мере одним заместителем, выбранным из группы, состоящей из заместителей , указанных ниже;каждый из заместителей – алкильная группа, имеющая от 1 до 4 атомов углерода, алкоксигруппа, имеющая от 1 до 4 атомов углерода, атом галогена, гидроксигруппа, нитрогруппа, фенильная группа, трифторметильная группа или группа формулы -NRaRb, где Ra и Rb – такие, как указанные выше; и их соли.
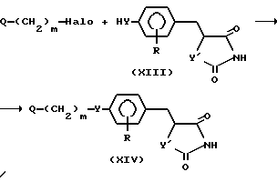
Y – атом кислорода или серы,Z – группа формулы (I), (II), (III), (IV) или (V) ![]() ![]() Когда R, в вышеприведенной формуле XIV представляет алкильную группу, это может быть неразветвленная или разветвленная алкильная группа, имеющая от 1 до 4 атомов углерода, и примерами являются метильная, этильная, пропильная, изопропильная, бутильная, изобутильная, втор-бутильная и трет-бутильная группы, из которых предпочтительной является метильная группа. Когда R, представляет алкоксигруппу, это может быть неразветвленная или разветвленная алкоксигруппа, имеющая от 1 до 4 атомов углерода, и примерами ее являются метокси, этокси, пропокси, изопропокси, бутокси, изобутокси, втор-бутокси, и трет-бутоксигруппы, из которых предпочтительной является метоксигруппа. Когда R представляет атом галогена, им может быть, например, атом брома, хлора, фтора или иода, из которых предпочтительны атомы брома, хлора и фтора, а наиболее предпочтителен атом хлора. Когда R представляет аралкильную группу, алкильная часть этой группы имеет от 1 до 5 атомов углерода и может быть неразветвленной или разветвленной группой, замещенной на арильную группу, которая сама может быть такой, как указанные выше и приведенные в качестве примера ниже. Вообще, аралкильная группа имеет предпочтительно 7- 11 атомов углерода. Примеры алкильной части таких групп включают метильную, этильную, пропильную, изопропильную, бутильную, изобутильную, втор-бутильную, трет-бутильную, пентильную, изопентильную, неопентильную и третпентильную группы (предпочтительно метильную и этильную группы). Примеры арильных групп даны ниже в связи с заместителями . Конкретные примеры таких аралкильных групп включают бензильную, 2-фенилэтильную (т. е. фенетильную), 1-фенилэтильную, 3-фенилпропильную, 2-фенилпропильную, 1-фенилпропильную, 4-фенилбутильную, 1-фенилбутильную, 5-фенилпентильную, 1-нафтилметильную и 2-нафтилметильную группы, из которых предпочтительны фенетильная и бензильная группы, а наиболее предпочтительна бензильная группа.
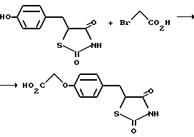
В соответствии с другим вариантом R, может представлять аминогруппу или замещенную аминогруппу формулы – NRaRb, где Ra и Rb, которые могут быть одинаковыми или разными, выбраны из следующих групп:1) атомы водорода; 2) алкильные группы, имеющие от 1 до 8 атомов углерода, которыми могут быть группы с неразветвленной или разветвленной цепью, например, метильная, этильная, пропильная, изопропильная, бутильная, изобутильная, втор-бутильная, трет-бутильная, пентильная, 2-пентильная, 3-пентильная, 2-метилбутильная, 3-метилбутильная, 1,1-диметилпропильная, 1,2-диметилпропильная, 2,2-диметилпропильная, гексильная, 2-гексильная, 3-гексильная, 2-метилпентильная, 3-метилпентильная, 4-метилпентильная, 1,1-диметилбутильная, 1,2-диметилбутильная, 1,3-диметилбутильная, 2,2-диметилбутильная, 2,3-диметилбутильная, 3,3-диметилбутильная, 1,1,2-триметилпропильная, 1,2,2-триметилпропильная, гептильная, 2-гептильная, 3-гептильная, 4-гептильная, 3,3-диметилпентильная, октильная, 1-метилгептильная, 2-этилгексильная и 1,1,3,3- тетраметилбутильная группы, из которых предпочтительны неразветвленные и разветвленные алкильные группы, имеющие от 1 до 4 атомов углерода, а наиболее предпочтительны метильная и этильная группы; 3) аралкильные группы, указанные и приведенные в качестве примера выше в связи с группой, которая может быть представлена радикалом R, и предпочтительно такие группы, имеющие от 7 до 11 атомов углерода; 4) арильные группы, имеющие от 6 до 10 атомов углерода, например фенильная, 1-нафтильная и 2-нафтильная группы; 5) алифатические карбоксиацильные группы, которые могут быть неразветвленными или разветвленными группами, имеющими от 1 до 11 атомов углерода, такими, как, например, формильная, ацетильная, пропионильная, бутирильная, изобутирильная, пивалоильная, пентаноильная, гексаноильная, гептаноильная, октаноильная, нонаноильная, деканоильная и ундеканоильная группы; 6) алифатические карбоксилацильные группы, которые имеют от 2 до 6 атомов углерода и замещены арильной группой и каждая из которых предпочтительно имеет в сумме от 8 до 12 атомов углерода; примерами алифатической ацильной части группы являются ацильные группы, имеющие от 2 до 6 атомов углерода, которые входят в перечень алифатических ацильных групп, представленные радикалами Ra и Rb выше (предпочтительно ацетильная и пропионильная группы), а примерами арильной части являются те группы, что входят в приведенный выше перечень арильных групп (предпочтительно фенильная и нафтильная группы, особенно фенильная группа); конкретными примерами предпочтительных арилзамещенных алифатических ацильных групп являются фенилацетильная, 3-фенилпропионильная, 4-фенилбутирильная, 5-фенилпентаноильная, 6-фенилгексаноильная, – метилфенилацетильная и , -диметилфенилацетильная группы, из которых предпочтительна фенилацетильная группа;7) карбоциклические ароматические карбоксиацильные группы, в которых арильная группа – такая, как указанные и приведенные в качестве примера выше арильные группы (предпочтительно фенильная и нафтильная группы, особенно фенильная группа); и их примерами являются бензоильная, 1-нафтоильная и 2-нафтоильная группы, из которых предпочтительна бензоильная группа. Конкретными примерами таких аминогрупп, которые могут быть представлены радикалом R, являются следующие: 1) замещенные аминогруппы, в которых один из радикалов Ra и Rb представляет атом водорода, а другой – алкильную группу, такие, как метиламино-, этиламино-, пропиламино-, изопропиламино-, бутиламино-, изобутиламино-, втор-бутиламино-, трет-бутиламино-, пентиламино-, 2-пентиламино-, 3-пентиламино-, 2-метилбутиламино-, 3-мeтилбутилaминo-, 1,1-диметилпропиламино-, 1,2-диметилпропиламино-, 2,2-диметилпропиламино-, гексиламино-, 2-гексиламино-, 3-гексиламино-, 2-метилпентиламино-, 3-метилпентиламино-, 4-мeтилпeнтилaминo-, 1,1-диметилбутиламино-, 1,2-димeтилбутилaминo-, 1,3-диметилбутиламино-, 2,2-диметилбутиламино-, 2,3-диметилбутиламино-, 3,3-диметилбутиламино-, 1,1,2-триметилпропиламино-, 1,2,2-триметилпропиламино-, гептиламино-, 2-гептиламино-, 3-гептиламино-, 4-гептиламино-, 3,3-диметилпентиламино-, 2-этилгексиламино- и 1,1,3,3-тетраметилбутиламиногруппы; 2) замещенные аминогруппы, в которых один из радикалов Ra и Rb, представляет атом водорода, а другой – аралкильную группу, такие как бензиламино-, 2-фенилэтиламино-, 1-фенилэтиламино-, 3-фенилпропиламино-, 2-фенилпропиламино-, 1-фенилпропиламино-, 4-фенилбутиламино-, 1-фенилбутиламино-, 5-фенилпентиламино-, 1-нафтилметиламино- и 2-нафтилметиламиногруппы; 3) замещенные аминогруппы, в которых один из радикалов Ra и Rb представляет атом водорода, а другой – арильную группу, такие как фениламино-, 1-нафтиламино- и 2-нафтиламиногруппы; 4) замещенные аминогруппы, в которых один из радикалов Ra и Rb представляет атом водорода, а другой – алифатическую ацильную группу, такие, как формамидо-, ацетамидо-, пропионамидо-, бутирамидо-, изобутирамидо-, пивалоиламино-, пентаноиламино-, гексаноиламино-, гептаноиламино-, октаноиламино-, нoнaнoилaминo-, деканоиламино- и ундеканоиламиногруппы; 5) замещенные аминогруппы, в которых один из радикалов Ra и Rb представляет атом водорода, а другой – арилзамещенную алифатическую ацильную группу, такие, как фенилацетамидо-, 3-фенилпропионамидо-, 4-фенилбутирамидо-, 5-фенилпентаноиламино-; 6-фенилгексаноиламино-, -метилфенилацетамидо- и , -диметилфенилацетамидогруппы;6) замещенные аминогруппы, в которых один из радикалов Ra и Rb представляет атом водорода, а другой – ароматическую ацильную группу, такие как бензамидо-, 1-нафтоиламино- и 2-нафтоиламиногруппы; 7) замещенные аминогруппы, в которых и Ra, и Rb – алкильные группы, которые могут быть одинаковыми или отличающимися друг от друга, такие, как диметиламино-, диэтиламино-, N-метил-N-этиламино-и N-метил-N-пентиламиногруппы; 8) замещенные аминогруппы, в которых один из радикалов Ra и Rb представляет алкильную группу, а другой – аралкильную, такие как N-этил-N-бензиламино-, N-трет-бутил-N-бензиламино- и N-гексил-N-бензиламиногруппы; 9) замещенные аминогруппы, в которых один из радикалов Ra и Rb представляет алкильную группу, а другой – арильную, такие как N-метил-N-фениламино-, N-этил-N-фениламино- и N-октил-N-фениламиногруппы; 10) замещенные аминогруппы, в которых один из радикалов Ra и Rb представляет алкильную группу, а другой – алифатическую ацильную, такие как N-пропил-N-ацетиламино-, N-пентил-N-пропиониламино- и N-этил-N-гексаноиламиногруппы; 11) замещенные аминогруппы, в которых один из радикалов Ra и Rb представляет алкильную группу, а другой – арилзамещенную карбоксильную алифатическую ацильную группу, такие как N-этил-N-фенилацетиламино-, N-изопропил-N-(2-фенилпропионил)- амино- и N-метил-N-(6-фенилгексаноил)аминогруппы; 12) замещенные аминогруппы, в которых один из радикалов Ra и Rb представляет алкильную группу, а другой – ароматическую ацильную, такие как N-метил-N-бензоиламино-, N-вторбутил-N-бензоиламино- и N-гептил-N-бензоиламиногруппы; 13) замещенные аминогруппы, в которых и Ra, и Rb – аралкильные группы, которые могут быть одинаковыми или отличающимися друг от друга, такие как дибензиламино-, N-бензил- N-(3-фенилпропил)амино- и N-бензил-N-(2-нафтилметил)аминогруппы; 14) замещенные аминогруппы, в которых один из радикалов Ra и Rb представляет аралкильную группу, а другой – арильную, такие как N-бензил-N-фениламино- и N-(3-фенилпропил)-N- фениламиногруппы; 15) замещенные аминогруппы, в которых один из радикалов Ra и Rb представляет аралкильную группу, а другой – алифатическую ацильную, такие как N-бензил-N-ацетиламино-, N-бензил-N-пропиониламино- и N-бензил-N-пентаноиламиногруппы; 16) замещенные аминогруппы, в которых один из радикалов Ra и Rb представляет аралкильную группу, а другой – арилзамещенную алифатическую карбоксиацильную группу, такие как N-бензил-N-фенилацетиламино- и N-бензил-N-(4-фенилбутирил)-аминогруппы; 17) замещенные аминогруппы, в которых один из радикалов Ra и Rb представляет аралкильную группу, а другой – ароматическую ацильную, такие как N-бензил-N-бензоиламино- и N-(2-фенилэтил)-N-бензоиламиногруппы; 18) замещенные аминогруппы, в которых и Ra, и Rb – арильные группы, которые могут быть одинаковыми или отличающимися друг от друга, такие как дифениламино-, N-(1-нафтил)-N-фениламино и N-(2-нафтил)-N-фениламиногруппы; 19) замещенные аминогруппы, в которых один из радикалов Ra и Rb представляет арильную группу, а другой – алифатическую карбоксиацильную, такие как N-фенил-N-ацетиламино-, N-фенил-N-пропиониламино- и N-фенил-N-гексаноиламиногруппы; 20) замещенные аминогруппы, в которых один из радикалов Ra и Rb представляет арильную группу, а другой – арилзамещенную алифатическую карбоксиацильную группу, такие как N-фенил-N-фенилацетиламин- и N-фенил-N-(4-фенилбутирил)аминогруппы; 21) замещенные аминогруппы, в которых один из радикалов Ra и Rb представляет арильную группу, а другой – ароматическую карбоксиацильную, такие как N-фенил-N-бензоиламино- и N-фенил-N-(2-нафтоил)аминогруппы; 22) замещенные аминогруппы, в которых и Ra, и Rb алифатические карбоксиацильные группы, которые могут быть одинаковыми или отличающимися друг от друга, такие как N,N-диацетиламино-, N-ацетил-N-пропиониламино- и N-бутирил-N- гексаноиламиногруппы; 23) замещенные аминогруппы, в которых один из радикалов Ra и Rb представляет алифатическую карбоксиацильную группу, а другой – арилзамещенную алифатическую карбоксиацильную группу, такие как N-ацетил-N-фенилацетиламино-, N-ацетил-N- (4-фенилбутирил)амино- и N-бутирил-N-фенилацетиламиногруппы; 24) замещенные аминогруппы, в которых один из радикалов Ra – и Rb представляет алифатическую карбоксиацильную группу, а другой – ароматическую карбоксиацильную группу, такие как N-ацетил-N-бензоиламино и N-бутирил-N-(2-нафтоил)аминогруппы; 25) замещенные аминогруппы, в которых и Ra, и Rb – арилзамещенные алифатические карбоксиацильные группы, которые могут быть одинаковыми или отличающимися друг от друга, такие как N,N-дифенилацетиламино-, N-фенилацетил-N-(2-фенилпропионил)-амино- и N-фенилацетил-N-(4-фенилбутирил) аминогруппы; 26) замещенные аминогруппы, в которых один из радикалов Ra и Rb представляет арилзамещенную алифатическую карбоксиацильную группу, а другой – ароматическую карбоксиацильную группу, такие как N-фенилацетил-N-бензоиламино- и N-фенилацетил- N-(2-нафтоил)аминогруппы; и 27) замещенные аминогруппы, в которых и Ra, и Rb – ароматические карбоксиацильные группы, которые могут быть одинаковыми или разными, такие как N, N-дибензоиламино- и N-бензоил-N-(2-нафтоил)аминогруппы. Соединение в соответствии с настоящим изобретением содержит в молекуле основную группу и потому может быть превращено посредством кислот в соли традиционными способами. Нет особого ограничения на характер таких солей, при условии, что если соединения должны иметь медицинское применение, то они должны быть фармацевтически приемлемыми, то есть не менее активными или неприемлемо менее активными и не более токсичными или неприемлемо более токсичными, чем родоначальное соединение. Однако, когда соединение не предназначено для медицинского применения, а используется в качестве промежуточного продукта при получении других соединений, то отсутствует даже это ограничение на характер солей, которые могут быть образованы. Примерами таких солей являются соли минеральных кислот, в частности галогенводородных (таких, как фтористоводородная, бромистоводородная, иодистоводородная или хлористоводородная кислота), азотной, хлорной, угольной, серной или фосфорной кислоты; соли (низший)алкилсульфокислот, таких как метансульфокислота, трифторметансульфокислота и этансульфокислота; соли арилсульфокислот, таких как бензолсульфокислота или паратолуолсульфокислота; соли органических карбоновых кислот, таких как уксусная, фумаровая, винная, щавелевая, малеиновая, яблочная, янтарная, бензойная, миндальная, аскорбиновая, молочная, глюконовая или лимонная кислота; и соли аминокислот, таких как глутаминовая или аспаргиновая кислота. Предпочтительны фармацевтически приемлемые соли. Кроме того, соединения в соответствии с настоящим изобретением могут быть превращены в соль посредством основания традиционными способами. Примерами таких солей являются соли щелочного металла, такого как натрий, калий или литий; соли щелочноземельного металла, такого как барий или кальций; и соли другого металла, такого как магний или алюминий. Предпочтительны фармацевтически приемлемые соли. Вследствие наличия асимметричного атома углерода в положении 5 соединения формулы (XIV) в соответствии с настоящим изобретением могут существовать в форме различных изомеров. Все эти изомеры представлены в данном описании лишь одной молекулярной формулой (XIV), но настоящее изобретение охватывает как отдельные изомеры, так и их смеси (включая рацематы), причем изомеры могут присутствовать в таких смесях в любых пропорциях. Когда используют технологию стереоспецифического синтеза или в качестве исходных материалов используют оптически активные соединения, отдельные изомеры могут быть получены непосредственно, а если получают смесь изомеров, то отдельные изомеры могут быть получены традиционными способами разделения. Соединения настоящего изобретения (XIV) могут быть получены взаимодействием соединения формулы (XII) с соединением формулы (XIII) в присутствии основания, согласно следующей схеме: ![]() где значения Q, R, Y, Y1, и m указаны выше, Halo – атом галогена. Нет никакого особого ограничения на характер используемого основания, и в равной мере здесь может быть использовано любое основание, обычно используемое в этом типе реакции. Примерами таких оснований являются неорганические основания, например гидриды (такие, как гидрид натрия или гидрид калия) и карбонаты (такие, как карбонат калия или карбонат натрия); и органические основания, такие, как триэтиламин. Реакцию обычно и предпочтительно осуществляют в присутствии растворителя. Нет никакого особого ограничения на характер используемого растворителя, при условии что он не оказывает вредного влияния на реакцию или на участвующие в ней реагенты и что он может растворять реагенты, по крайней мере до некоторой степени. Примерами подходящих растворителей являются углеводороды (которые могут быть алифатическими или ароматическими), такие как бензол, толуол, ксилол, гексан или гептан; простые эфиры, такие как диэтиловый эфир, тетрагидрофуран или диоксан; амиды, такие как диметилформамид, диметилацетамид или гексаметилфосфортриамид; и смеси любых двух или более указанных растворителей. Реакция может быть проведена в широком диапазоне температур, и точная температура реакции не является важной для настоящего изобретения. Обычно, как было установлено, целесообразно проводить реакцию при температуре в пределах от охлаждения льдом до нагрева, например до температуры обратного стока реакционной смеси. Необходимое для реакции время также можно изменять в широких пределах в зависимости от многих факторов, особенно температуры реакции и характера используемых реагентов и растворителя. Однако, если реакцию проводят при указанных выше предпочтительных условиях, то обычно достаточен период времени от 0,5 часа до нескольких дней. Реакцию наиболее предпочтительно проводят с охлаждением или нагревом или при комнатной температуре в амидах или смеси по крайней мере одного амида с по крайней мере одним другим органическим растворителем в присутствии гидрида натрия в течение периода времени от 1 до 10 часов. Соединения формулы (XIV), которые получают этим способом, являются новыми соединениями и служат в качестве важных промежуточных продуктов для получения соединений формулы (I), в которых Z представляет 2,4-диоксетиазолидин-5-илметильную или 2,4-диоксооксазолидин-5-илметильную группу, т.е. соединений формулы (XV): ![]() В формуле (XV) значения X, Y, Y1, R и m такие, как указано выше, но X предпочтительно представляет имидазопиридильную или имидазопиримидинильную группу. Соединение формулы (XV) с использованием соединения формулы (XIV) получают одним из следующих двух способов (a) и (b). Стадия (a) Соединение формулы (XV) может быть получено взаимодействием соединения формулы (XIV), в котором Q – низшая алкоксигруппа, с производным 2,3-диаминопиридина или производным 5,4-диаминопиримидина. Когда Q представляет низшую алкоксикарбонильную группу, она предпочтительно имеет в сумме от 2 до 7 атомов углерода (т.е. алкоксильная часть имеет от 1 до 6 атомов углерода) и может быть неразветвленной или разветвленной. Примерами таких групп являются метоксикарбонильная, этоксикарбонильная, пропоксикарбонильная, изопропоксикарбонильная, бутоксикарбонильная, изобутоксикарбонильная, втор-бутоксикарбонильная, трет-бутоксикарбонильная, пентилоксикарбонильная, изо-пентилоксикарбонильная, неопентилоксикарбонильная, 2-метилбутоксикарбонильная, 1-этилпропоксикарбонильная, 4-метилпентоксикарбонильная, 3-метилпентоксикарбонильная, 2-метилпентилоксикарбонильная, 1-метилпентилоксикарбонильная, 3,3-диметилбутоксикарбонильная, 2,2-диметилбутоксикарбонильная, 1,1-диметилбутоксикарбонильная, 1,2-диметилбутоксикарбонильная, 1,3-диметилбутоксикарбонильная, 2,3-диметилбутоксикарбонильная, 2-этилбутоксикарбонильная, гексилоксикарбонильная и изогексилоксикарбонильная группы. Из них предпочтительны те алкоксикарбонильные группы, которые имеют от 1 до 4 атомов углерода, предпочтительно метоксикарбонильная, этоксикарбонильная, пропоксикарбонильная, изопропоксикарбонильная, бутоксикарбонильная и изобутоксикарбонильная группы, а наиболее предпочтительно метоксикарбонильная и этоксикарбонильная группы. Реакцию обычно и предпочтительно осуществляют в присутствии или отсутствии растворителя. Нет никакого особого ограничения на характер используемого растворителя, при условии что он не оказывает вредного влияния на реакцию или на участвующие в ней реагенты и что он может растворять реагенты, по крайней мере до некоторой степени. Примерами подходящих растворителей являются углеводороды (предпочтительно ароматические), такие как бензол, толуол или ксилол; простые эфиры, такие как диэтиловый эфир, тетрагидрофуран или диоксан; амиды, такие как диметилформамид, диметилацетамид или гексаметилфосфортриамид; спирты, такие как метанол, этанол или бутанол; кислоты, такие как уксусная или пропионовая кислота; и смеси любых двух или более указанных растворителей. Реакция может быть проведена в широком диапазоне температур, и точная температура реакции не является важной для настоящего изобретения. Обычно, как было установлено, целесообразно проводить реакцию при нагреве, например до температуры обратного стока реакционной смеси. Необходимое для реакции время также можно изменять в широких пределах в зависимости от многих факторов, особенно температуры реакции и характера используемых реагентов и растворителя. Однако, если реакцию проводят при указанных выше предпочтительных условиях, то обычно достаточен период времени от 3 часов до нескольких дней. Реакцию наиболее предпочтительно осуществляют в отсутствие растворителя с нагревом при температуре от 50oC до 150oC в течение периода времени от 5 часов до 2 дней. Стадия (b) В соответствии с другим вариантом соединение формулы (XV) может быть получено взаимодействием соединения формулы (XIV), где Q представляет формильную группу, на первой ступени с производным 2,3-диаминопиридина или производным 4,5-диаминопиримидина и затем, на второй ступени, обработкой продукта окислителем. Реакцию обычно и предпочтительно осуществляют в присутствии растворителя. Нет никакого особого ограничения на характер используемого растворителя, при условии что он не оказывает вредного влияния на реакцию или на участвующие в ней реагенты, и что он может растворять реагенты, по крайней мере до некоторой степени. Примерами подходящих растворителей являются углеводороды (которые могут быть алифатическими или ароматическими), такие как бензол, толуол, ксилол, гексан или гептан; простые эфиры, такие как диэтиловый эфир, тетрагидрофуран, диоксан или 1,2-диметоксиэтан; амиды, такие как диметилформамид, диметилацетамид или гексаметилфосфортриамид; спирты, такие как метанол, этанол или изопропанол; кислоты, такие как уксусная или пропионовая; сульфоксиды, такие как диметилсульфоксид; и смеси любых двух или более указанных растворителей. Реакция может быть проведена в широком диапазоне температур, и точная температура реакции не является важной для настоящего изобретения. Обычно, как было установлено, целесообразно проводить реакцию примерно при комнатной температуре или с нагревом, например до температуры обратного стока реакционной смеси. Необходимое для реакции время также можно изменять в широких пределах в зависимости от многих факторов, особенно температуры реакции и характера используемых реагентов и растворителя. Однако, если реакцию проводят при указанных выше предпочтительных условиях, то обычно достаточен период времени от 1 часа до нескольких дней. Затем (на второй ступени) продукт обрабатывают окислителем. Нет никакого особого ограничения на характер используемого окислителя, и в равной мере здесь может быть использован любой окислитель, обычно используемый в реакциях этого типа. Примерами таких окислителей являются иод, оксид серебра и тетраацетат свинца, из которых предпочтительным является иод. Обработку окислителем обычно и предпочтительно осуществляют в присутствии растворителя. Нет особого ограничения на характер используемого растворителя, при условии что он не оказывает вредного влияния на реакцию или на участвующие в ней реагенты и что он может растворять реагенты, по крайней мере до некоторой степени. Примерами подходящих растворителей являются растворители, указанные выше для первой ступени, предпочтительно простые эфиры. Реакция может быть проведена в широком диапазоне температур, и точная температура реакции не является важной для настоящего изобретения. Обычно, как было установлено, целесообразно проводить реакцию с нагревом. Необходимое для реакции время также можно изменять в широких пределах в зависимости от многих факторов, особенно температуры реакции и характера используемых реагентов и растворителя. Однако, если реакцию проводят при указанных выше предпочтительных условиях, то обычно достаточен период времени от 1 часа до нескольких дней. В соединении формулы (XIV), где Q представляет защищенную формильную группу, формилзащитная группа может быть удалена до того, как соединение будет подвергнуто реакции стадии D2. Примерами таких защищенных формильных групп являются, например, диметоксиметильная, диэтоксиметильная, 1,3-диоксан-2-ильная, 1,3-диоксолан-2-ильная, 1,3-дитиан-2-ильная и 1,3-дитиолан-2-ильная группы. Формилзащитная группа может быть удалена традиционными способами, хорошо известными в данной области техники, например путем введения соединения формулы (XIV) в контакт с традиционным агентом для снятия защиты при условиях, традиционно используемых для снятия защиты. Эти условия описаны у T.W.Green: Protective Groups in Organic Synthesis (John Wiley and Sons Ed.) или у J.F.W.McOmie: Protective Groups in Organic Chemistry (Plenum Press Ed.). Далее настоящее изобретение проиллюстрировано приведенными ниже неограничивающими примерами. Пример 1 5-[4-(Этоксикарбонилметокси)бензил]-тиазолидин-2,4-дион Раствор 100 г метил-4-(2-бром-2-бутоксикарбонилэтил)- феноксиацетата и 22 г тиомочевины в 200 мл этанола нагревали с обратным холодильником в течение 2,5 часов. После этого к смеси добавляли 2 н. водный раствор хлористоводородной кислоты, и полученную смесь нагревали с обратным холодильником 5 часов. По окончании этого времени реакционную смесь освобождали от растворителя путем перегонки под пониженным давлением. Полученный остаток разводили водой, после чего экстрагировали этилацетатом. Экстракт осушали над безводным сульфатом натрия, и удаляли растворитель отгонкой под пониженным давлением. Полученный остаток очищали путем колоночной хроматографии через силикагель, использовав в качестве элюента смесь (2:5 по объему) этилацетата и гексана, и в результате получили 19,4 г указанного в заголовке соединения, плавящегося при 105-106oC. Пример 2 5-[4-(2,2-Диэтоксиэтокси)бензил]тиазолидин-2,4-дион К суспензии 260 мг гидрида натрия (в виде 55%-ной по массе дисперсии в минеральном масле, причем предварительно промытой толуолом) в 5 мл диметилформамида добавляли (при охлаждении льдом) 530 мг 5-(4-гидроксибензил)-тиазолидин-2,4-диона, и полученную смесь перемешивали при комнатной температуре в течение 30 минут. По окончании этого времени к смеси добавляли (при охлаждении льдом) 0,73 мл диэтилацеталя бромацетальдегида, и полученную смесь перемешивали при 50oC в течение 3 часов. Путем перегонки под пониженным давлением освобождали реакционную смесь от диметилформамида. Полученный остаток разводили водой, и водную смесь регулировали до pH от 2 до 3 добавлением 1 н. водного раствора хлористоводородной кислоты, после чего экстрагировали этилацетатом. Экстракт промывали насыщенным водным раствором хлорида натрия и осушали над безводным сульфатом натрия, после чего удаляли растворитель путем отгонки под пониженным давлением. Полученный остаток очищали путем колоночной хроматографии через силикагель с использованием в качестве элюента смеси гексана и этилацетата в отношении 2:1 по объему, получив в результате 600 мг указанного в заголовке соединения, имеющего Rf = 0,46 (при тонкослойной хроматографии на силикагеле с использованием в качестве проявляющего растворителя смеси гексана и этилацетата в отношении 2:1 по объему). Пример 3 5-[4-(2-Оксоэтокси)бензил]тиазолидин-2,4-дион К раствору 10,07 г 5-[4-(2,2-диэтоксиэтокси)бензил-тиазолидин- 2,4-диона (полученного так, как описано в Примере 2) в 80 мл тетрагидрофурана добавляли 20 мл 6 н. водного раствора хлористоводородной кислоты, и полученной смеси давали постоять всю ночь при комнатной температуре. По окончании этого периода реакционную смесь освобождали от растворителя путем перегонки под пониженным давлением. Остаток разбавляли водой, после чего экстрагировали этилацетатом. Экстракт осушали над безводным сульфатом натрия, и удаляли растворитель путем отгонки под пониженным давлением. Полученный остаток очищали путем колоночной хроматографии через силикагель с использованием в качестве элюента смеси гексана и этилацетата в отношении 2:3, получив в результате 5,92 г указанного в заголовке соединения, имеющего Rf = 0,37 (при тонкослойной хроматографии на силикагеле с использованием в качестве проявляющего растворителя смеси гексана и этилацетата в отношении 1:2 по объему). Пример 4 5-{4-[2-(1,3-Диоксолан-2-ил)этокси]бензил}-тиазолидин-2,4-дион Повторяли процедуру, аналогичную той, что описана в Примере 2, за исключением того, что использовали 15,0 г 5-(4-гидроксибензил) тиазолидин-2,4-диона, 8,80 г гидрида натрия (в виде 55%-ной по массе дисперсии в минеральном масле), 17 мл 2-(2-бромэтил)-1,3-диоксолана и 80 мл диметилформамида и что полученный продукт очищали путем колоночной хроматографии через силикагель с использованием в качестве элюента смеси гексана и этилацетата в отношении 1:1 по объему, в результате чего получили 6,67 г указанного в заголовке соединения, плавящегося при 102-104oC. Пример 5 5-[4-(3-Оксопропокси)бензил]тиазолидин-2,4-дион Раствор 6,30 г 5-{ 4-[2-(1, 3-диоксолан-2-ил)этокси]бензил}- тиазолидин-2,4-диона (полученного так, как описано в Примере 4 в смеси (4:1 по объему) уксусной кислоты и воды перемешивали при 60oC в течение 6 часов. По окончании этого времени реакционную смесь освобождали от растворителя путем перегонки под пониженным давлением. Полученный остаток очищали путем колоночной хроматографии через силикагель и использованием в качестве элюента смеси гексана и этилацетата в отношении 1:1, получив в результате 2,20 г указанного в заголовке соединения, плавящегося при 48-51oC. Пример 6. ![]() 5-(4-Карбоксиметоксибензил)тиазолидин-2,4-дион 20 мл 1N водного раствора гидроокиси натрия добавляют к раствору 1,1 г 5-(4-гидроксибензил)тиазолидин-2,4-диона в 50 мл тетрагидрофурана. Затем к раствору добавляют 0,83 г -бромуксусной кислоты, 0,37 г иодида тетрабутиламмония и 0,17 г иодида калия, и полученную смесь перемешивают при комнатной температуре 1,5 часа, и затем оставляют при комнатной температуре на всю ночь. И кроме того, добавляют 0,42 г -бромуксусной кислоты и смесь перемешивают при комнатной температуре в течение 5 часов. После этого добавляют к реакционной смеси 16 мл 2N водной хлористоводородной кислоты и 10 г хлористого натрия, и полученную смесь экстрагируют 50 мл этилацетата. Экстракт промывают насыщенным водным раствором хлористого натрия и высушивают над безводным сульфатом магния, после чего растворитель удаляют дистилляцией при пониженном давлении. Полученный остаток очищают колоночной хроматографией на силикагеле (LiChroprep DIOL(Merk)), используя 2:3 по объему смесь этилацетата и гексана в качестве элюента, получая 0,17 г соединения, указанного в заголовке, температура плавления 174-175oC.
Примеры получения гетероциклических соединений, обладающих антидиабетической активностью, из предложенных промежуточных соединений:Пример А. 5-{4-(1H-Имидазо[4,5-b]пиридин-2-илметокси)бензил}тиазолидин- 2,4-дион К 200 мг 2,3-диаминопиридина добавляют 1,13 г соединения примера 1, и полученную смесь перемешивают при 110oC в течение 2 дней. После этого реакционную смесь обрабатывают 3н. водной хлористоводородной кислотой и затем подщелачивают путем добавления водного раствора аммиака. Водную смесь упаривают досуха при пониженном давлении, и затем остаток очищают путем колоночной хроматографии через силикагель, используя градиентный метод элюирования со смесями этилацетата и этанола в отношении 1:0 до 10:1 по объему в качестве элюента. Продукт выкристаллизовывают растиранием с этилацетатом, получая 400 мг указанного в заголовке соединения, плавящегося при 247-248oC. Пример Б 5-{ 4-(3-Метил-6-трифторметилимидазо[5,4-b] пиридин-2-илметокси) бензил} тиазолидин-2,4-дион К раствору 3,00 г 3-амино-2-метиламино-5-трифторметилпиридина в смеси 6 мл этанола и 6 мл уксусной кислоты добавляют 4,16 г соединения примера 3, и полученную смесь перемешивают при комнатной температуре 4 часа. После этого реакционную смесь освобождают от растворителя путем перегонки при пониженном давлении. К остатку добавляют 50 мл 1,2-диметоксиэтана и 5,2 г иода, и полученную смесь перемешивают при 60oC в течение одного дня. После этого реакционную смесь вливают в воду, затем экстрагируют этилацетатом. Экстракт промывают водным раствором хлорида натрия и высушивают над безводным сульфатом натрия, после чего растворитель удаляют путем отгонки при пониженном давлении. Остаток очищают путем колоночной хроматографии на силикагеле, используя в качестве элюента смесь (1:1 по объему) гексана и этилацетата. Продукт выкристаллизовывают растиранием с этилацетатом, получая в результате 520 мг указанного в заголовке соединения, плавящегося при 212-214oC. Пример В 5-{ 4-[2-(3-Метилимидазо[5,4-b] пиридин-2-ил)этокси]бензил} тиазолидин-2,4-дион Повторяют процедуру, описанную в примере Б, за исключением того, что используют 0,94 г 3-амино-2-метиламинопиридина, 2,10 г соединения примера 5,6 мл этанола, 3 мл уксусной кислоты, 2,32 г иода и 30 мл 1,2-диметоксиэтана. После обработки продукта так, как описано в примере Б, полученный неочищенный продукт очищают колоночной хроматографией на силикагеле, используя в качестве элюента этилацетат, и в результате получают 85 мг указанного в заголовке соединения, плавящегося при 96-100oC. Формула изобретения
![]() где Y – атом кислорода; Y’ – атом серы; R – атом водорода; m – целое число от 1 до 5; Q – низшая алкоксикарбонильная группа, формильная группа, защищенная формильная группа или карбоксильная группа. MM4A Досрочное прекращение действия патента Российской Федерации на изобретение из-за неуплаты в установленный срок пошлины за поддержание патента в силе
Дата прекращения действия патента: 11.04.2003
Извещение опубликовано: 10.01.2005 БИ: 01/2005
|
||||||||||||||||||||||||||



;
, указанных ниже;




