Патент на изобретение №2228536
|
||||||||||||||||||||||||||
(54) СПЛАЙНОВЫЙ ИНТЕРПОЛЯТОР
(57) Реферат: Изобретение относится к области автоматического управления. Техническим результатом является расширение функциональных возможностей систем числового программного управления за счет использования новой схемы управления формообразованием при обработке сложнопрофильных деталей. Сплайновый интерполятор содержит с первого по шестнадцатый цифровые дифференциальные анализаторы и сумматор, причем вход интегрирующей функции первого цифрового дифференциального анализатора является входом сплайнового интерполятора, с выхода сумматора, построенного по схеме следящего интегратора в режиме суммирования, на вход шестнадцатого цифрового дифференциального анализатора поступает импульс суммированных сигналов, поступающих с одиннадцатого, двенадцатого и тринадцатого цифрового дифференциального анализатора, выходы четвертого, седьмого и десятого цифровых дифференциальных анализаторов являются первым, вторым и третьим выходами сплайнового интерполятора соответственно. 2 ил. Изобретение относится к области автоматического управления и может быть применено в системах числового программного управления (ЧПУ) технологическим оборудованием, например металлорежущими станками с ЧПУ. Известно устройство для кубической интерполяции (Патент РФ №1300508, кл. G 06 G 7/30, опубл. 20.11.85). Устройство содержит один информационный вход, два алгебраических сумматора, два блока выборки-хранения, три интегратора, один синхронизирующий вход и один выход. Устройство для кубической интерполяции относится к аналоговой вычислительной технике и для дискретного цифрового управления в автоматических системах числового программного управления не пригодно, т.к. не может обеспечивать требуемую точность в системах ЧПУ. Известно также устройство – сплайновый интерполятор (Патент РФ №1647599, кл. G 06 G 7/30, опубл. 04.04.89). Устройство относится к вычислительной технике и может быть использовано для сплайн-аппроксимации функций. Устройство содержит два генератора импульсов, один согласованный фильтр и один аттенюатор в каждом блоке формирования базисных сплайнов, один коммутатор, один перестраиваемый согласованный фильтр, ключ, шину запуска, входы задания порядка интерполяционного полинома, входы задания весовых коэффициентов. В данном устройстве независимым аргументом при вычислении точек сплайна является дискретное время, что не позволяет использовать это устройство в системах ЧПУ. Наиболее близким по технической сущности и достигаемому результату к заявляемому является сферический интерполятор, построенный на цифровых дифференциальных анализаторах (ЦЦА) (Патент РФ №2124227, кл. G 06 F 7/64, опубл. 11.09.96). Недостатком прототипа является то, что он может воспроизводить на металлорежущих станках с ЧПУ только узкий класс кривых второго порядка. Задачей, на решение которой направлено заявляемое изобретение, является расширение функциональных возможностей систем числового программного управления за счет использования новой схемы управления формообразованием при обработке сложнопрофильных деталей. Поставленная задача достигается тем, что сплайновый интерполятор, построенный на цифровых дифференциальных анализаторах и сумматоре, в отличие от прототипа содержит с первого по шестнадцатый цифровые дифференциальные анализаторы, причем выход первого цифрового дифференциального анализатора связан с входами интегрирующей функции второго – десятого цифровых дифференциальных анализаторов, выход второго цифрового дифференциального анализатора связан с входом третьего цифрового дифференциального анализатора, выход третьего цифрового дифференциального анализатора связан с входами четвертого и одиннадцатого цифровых дифференциальных анализаторов, а также с входом интегрирующей функции одиннадцатого цифрового дифференциального анализатора, причем выход четвертого цифрового дифференциального анализатора является первым выходом сплайнового интерполятора, выход пятого цифрового дифференциального анализатора связан с входом шестого цифрового дифференциального анализатора, выход шестого цифрового дифференциального анализатора связан с входами седьмого и двенадцатого цифровых дифференциальных анализаторов, а также с входом интегрирующей функции двенадцатого цифрового дифференциального анализатора, причем выход седьмого цифрового дифференциального анализатора является вторым выходом сплайнового интерполятора, выход восьмого цифрового дифференциального анализатора связан с входом девятого цифрового дифференциального анализатора, выход девятого цифрового дифференциального анализатора связан с входами десятого и тринадцатого цифровых дифференциальных анализаторов, а также с входом интегрирующей функции тринадцатого цифрового дифференциального анализатора, причем выход десятого цифрового дифференциального анализатора является третьим выходом сплайнового интерполятора, выходы одиннадцатого, двенадцатого и тринадцатого цифровых дифференциальных анализаторов связаны с входами первого сумматора, выход которого связан с входом интегрирующей функции шестнадцатого цифрового дифференциального анализатора, выход шестнадцатого цифрового дифференциального анализатора связан с входами первого и четырнадцатого цифровых дифференциальных анализаторов, а также с входами интегрирующей функции четырнадцатого и пятнадцатого цифровых дифференциальных анализаторов, выход четырнадцатого цифрового дифференциального анализатора связан с входом пятнадцатого цифрового дифференциального анализатора, выход пятнадцатого цифрового дифференциального анализатора связан с входом шестнадцатого цифрового дифференциального анализатора. Сущность устройства поясняется чертежами. На фиг.1 представлена структурная схема заявляемого сплайнового интерполятора. На фиг.2 представлено расположение вектора дуги сплайна в трехкоординатном пространстве. Устройство включает в себя ЦДА соответственно 1-16 и сумматор 17 (фиг.1). Выход ЦДА 1 связан с входами интегрирующей функции ЦДА 2-10. Выход ЦДА 2 связан с входом ЦДА 3. Выход ЦДА 3 связан с входами ЦДА 4, 11 и с входом интегрирующей функции ЦДА 11. Выход ЦДА 4 является первым выходом заявляемого устройства. Выход ЦДА 5 связан с входом ЦДА 6. Выход ЦДА 6 связан с входами ЦДА 7, 12 и с входом интегрирующей функции ЦДА 12. Выход ЦДА 7 является вторым выходом заявляемого устройства. Выход ЦДА 8 связан с входом ЦДА 9. Выход ЦДА 9 связан с входами ЦДА 10, 13 и с входом интегрирующей функции ЦДА 13. Выход ЦДА 10 является третьим выходом заявляемого устройства. Выходы ЦДА 11, 12 и 13 связаны с входами сумматора 17, выход последнего связан с входом ЦДА 16. Выход ЦДА 16 связан с входами ЦДА 14, 1 и с входами интегрирующей функции ЦДА 14, 15. Выход ЦДА 15 связан с входом ЦДА 16. Входящий в состав устройства сумматор 17 построен по схеме следящего интегратора в режиме суммирования, частота импульсов, на входе интегрирующей функции которого должна быть минимум в п раз больше частоты импульсов S, где n – число входов сумматора, S – приращение длины дуги.
Работа сплайнового интерполятора поясняется фигурой 2. Сегменты кривых описываются кубическими параметрическими сплайнами в форме Фергюсона
где 0 u 1 для любого криволинейного сегмента.
Для определения сегмента требуется четыре вектора (или 12 коэффициентов). Обычно для определения векторных коэффициентов , , и задают значения и на обоих концах сегмента. Концы сегмента отвечают значениям параметра u=0 и u=1, а между конечными точками сегмента 0 < и < 1. Определяют векторные коэффициенты , , и путем решения следующей системы уравнений:
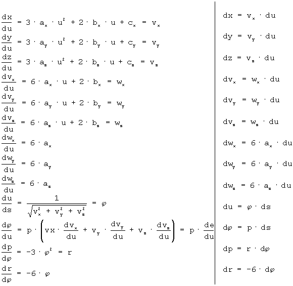
Процесс сплайновой интерполяции описывается с помощью следующей системы дифференциальных уравнений:
Начальные условия решения определяются правыми частями системы уравнений (3) при u=0. Уравнениям (3) соответствует структурная схема сплайнового интерполятора, состоящего из ЦДА (фиг.1). Каждому уравнению системы отвечает отдельный ЦДА. Решая систему уравнений (3) специально разработанным численным методом получаем на выходе интерполятора приращения координат x, y, z.
Устройство работает следующим образом. В начальный момент времени во все ЦДА записываются начальные значения всех подынтегральных функций и коэффициентов. Работа устройства начинается с момента прихода импульсов S, частота которых определяется требуемой скоростью движения. С выхода сумматора 17 сплайнового интерполятора, построенного по схеме следящего интегратора в режиме суммирования, на вход ЦДА 16 поступает импульс суммированных сигналов, поступающих с ЦЦА 11, 12 и 13. С выходов ЦДА 4, 7, и 10 поступают импульсы приращений по координатам X, Y, и Z соответственно.
Заявляемое изобретение позволяет воспроизводить на станке траекторию движения центра инструмента в виде сплайн-функций. Сплайновый интерполятор рассчитывает точки по дуге сплайна таким образом, что они располагаются на одинаковом расстоянии, обеспечивая тем самым поддержание постоянной контурной скорости вдоль дуги сплайна, причем независимым аргументом при вычислении точек сплайна является длина дуги. Заявляемый сплайновый интерполятор предназначен для воспроизведения кривых широкого диапазона классов: линий 1-го порядка, кривых 2-го и 3-го порядков, заданных в параметрической форме. При управлении станком сплайновый интерполятор позволит заменить линейную интерполяцию в пространстве сплайновой, тем самым повысить точность изготовления деталей. Использование сплайновой интерполяции позволит использовать высокоскоростную обработку сложнопрофильных деталей на металлорежущих станках с ЧПУ, что позволяет увеличить производительность обработки деталей.
Итак, заявляемое изобретение позволяет значительно расширить функциональные возможности систем числового программного управления, повысить точность и производительность обработки деталей на станках с ЧПУ за счет использования новой схемы управления формообразованием при обработке сложнопрофильных деталей.
Формула изобретения Сплайновый интерполятор, содержащий цифровые дифференциальные анализаторы и сумматор, отличающийся тем, что сплайновый интерполятор содержит с первого по шестнадцатый цифровые дифференциальные анализаторы, причем выход первого цифрового дифференциального анализатора связан с входами интегрирующей функции второго-десятого цифровых дифференциальных анализаторов, выход второго цифрового дифференциального анализатора связан с входом третьего цифрового дифференциального анализатора, выход третьего цифрового дифференциального анализатора связан с входами четвертого и одиннадцатого цифровых дифференциальных анализаторов, а также с входом интегрирующей функции одиннадцатого цифрового дифференциального анализатора, причем выход четвертого цифрового дифференциального анализатора является первым выходом сплайнового интерполятора, выход пятого цифрового дифференциального анализатора связан с входом шестого цифрового дифференциального анализатора, выход шестого цифрового дифференциального анализатора связан с входами седьмого и двенадцатого цифровых дифференциальных анализаторов, а также с входом интегрирующей функции двенадцатого цифрового дифференциального анализатора, причем выход седьмого цифрового дифференциального анализатора является вторым выходом сплайнового интерполятора, выход восьмого цифрового дифференциального анализатора связан с входом девятого цифрового дифференциального анализатора, выход девятого цифрового дифференциального анализатора связан с входами десятого и тринадцатого цифровых дифференциальных анализаторов, а также с входом интегрирующей функции тринадцатого цифрового дифференциального анализатора, причем выход десятого цифрового дифференциального анализатора является третьим выходом сплайнового интерполятора, выходы одиннадцатого, двенадцатого и тринадцатого цифровых дифференциальных анализаторов связаны с входами первого сумматора, выход которого связан с входом интегрирующей функции шестнадцатого цифрового дифференциального анализатора, выход шестнадцатого цифрового дифференциального анализатора связан с входами первого и четырнадцатого цифровых дифференциальных анализаторов, а также с входами интегрирующей функции четырнадцатого и пятнадцатого цифровых дифференциальных анализаторов, выход четырнадцатого цифрового дифференциального анализатора связан с входом пятнадцатого цифрового дифференциального анализатора, выход пятнадцатого цифрового дифференциального анализатора связан с входом шестнадцатого цифрового дифференциального анализатора. РИСУНКИ
MM4A Досрочное прекращение действия патента Российской Федерации на изобретение из-за неуплаты в установленный срок пошлины за поддержание патента в силе
Дата прекращения действия патента: 01.10.2004
Извещение опубликовано: 27.05.2006 БИ: 15/2006
|
||||||||||||||||||||||||||

S, где n – число входов сумматора,
где 0
u
,
,
и
задают значения
и
на обоих концах сегмента. Концы сегмента отвечают значениям параметра u=0 и u=1, а между конечными точками сегмента 0 < и < 1. Определяют векторные коэффициенты
,
,
и
путем решения следующей системы уравнений:
Процесс сплайновой интерполяции описывается с помощью следующей системы дифференциальных уравнений:
Начальные условия решения определяются правыми частями системы уравнений (3) при u=0. Уравнениям (3) соответствует структурная схема сплайнового интерполятора, состоящего из ЦДА (фиг.1). Каждому уравнению системы отвечает отдельный ЦДА. Решая систему уравнений (3) специально разработанным численным методом получаем на выходе интерполятора приращения координат