Патент на изобретение №2228516
|
||||||||||||||||||||||||||
(54) ИНТЕРФЕРЕНЦИОННЫЙ СПОСОБ ИЗМЕРЕНИЯ РАССТОЯНИЯ (ДЛИНЫ) И УСТРОЙСТВО ДЛЯ ЕГО РЕАЛИЗАЦИИ
(57) Реферат: Интерференционный способ измерения расстояний (длины) включает просвечивание собирающей линзы когерентными встречными пучками с плоскими волновыми фронтами, направление этих пучков по одной оптической оси в плоскость наблюдения и сравнение на основе интерференции амплитудно-фазовых характеристик этих двух пучков. При просвечивании собирающей линзы плоские волновые фронты преобразуются в сферические, и при перемещении линзы вдоль оптической оси кривизна волновых фронтов и их интерференция в плоскости наблюдения меняются в выбранной для измерения их расстояния (длины) точке плоскости наблюдения в виде числа и частоты полос. Устройство измерения расстояний (длины) содержит лазер, расположенные по ходу излучения телескопическую систему, расщепитель лазерного пучка, плоские зеркала, расположенные под углом к излучению лазера, плоскость наблюдения интерференционной картины, между плоскими зеркалами на оптической оси введена собирающая линза, снабженная механизмом перемещения, а в плоскости наблюдения располагается на определенном удалении от оптической оси приемник оптического излучения. Технический результат – повышение точности измерений длины в сочетании с высокой помехоустойчивостью и малой чувствительностью к изменениям окружающей среды. 2 с.п. ф-лы, 2 ил. Изобретение относится к оптико-интерференционным устройствам и может быть использовано в измерительной технике, при геодезических измерениях, например при измерениях расстояний. Известные интерференционные способы и устройства измерения длины [1] в основе содержат преимущественно лазерный интерферометр Майкельсона или Физо, в которых имеется одно подвижное зеркало, смещение которого вызывает перемещение интерференционных полос. Регистрация смещения интерференционных полос во времени позволяет определить величину линейных перемещений измеряемого объекта или непрерывно производить измерения изменения длины в одном из плеч интерферометра. Общим недостатком этих способов и устройств является высокая чувствительность к вибрациям (низкая виброустойчивость), значительные габариты при измерении больших длин, сложность контрольно-юстировочных работ при физическом пуске и эксплуатации устройства, высокая чувствительность к изменениям окружающей среды при эксплуатации устройств, длина когерентности излучения должна быть не меньше измеряемой длины. Известен оптический способ измерения расстояния с помощью интерферометра Майкельсона (прототип). Устройство включает лазер, расположенную по ходу излучения телескопическую систему, после прохождения которой лазерное излучение приобретает плоский фронт, расщепитель лазерного пучка, два плоских зеркала, устанавливаемых перпендикулярно каждому из двух пучков и друг другу вышедших после расщепителя, плоскость наблюдения интерференционной картины. С помощью такого устройства можно измерять параллельное перемещение одного из плоских зеркал вдоль оптической оси, подсчитав число изменений n интенсивности от максимума до максимума (или от минимума до минимума) в любой точке плоскости наблюдения интерференционной картины, используя известную зависимость:
где l – расстояние, на которое переместили одно из плоских зеркал;
– длина волны излучения лазера.
При этом надо учитывать, что измеряемое перемещение l не может превышать половину длины когерентности лазерного излучения, в противном случае интерференция двух пучков в плоскости наблюдения будет отсутствовать и при дальнейшем перемещении одного из плоских зеркал вдоль оптической оси в любой точке плоскости наблюдения не будет чередования интенсивности излучения от максимальной до минимальной, а будет наблюдаться одна интенсивность, равная сумме интенсивностей двух пучков.
Задачей изобретения является измерение расстояния в пределах прямой видимости от нескольких мм до нескольких км в сочетании с высокой помехоустойчивостью и малой чувствительностью к изменениям окружающей среды. Это достигается тем, что в интерференционном способе измерения расстояний (длины) осуществляют просвечивание собирающей линзы когерентными встречными пучками с плоскими волновыми фронтами, которые, согласно изобретению, при просвечивании собирающей линзы преобразуются в сферические, и при перемещении линзы вдоль оптической оси кривизна волновых фронтов и их интерференция в плоскости наблюдения меняются в выбранной точке плоскости наблюдения в виде числа и частоты полос.
Поставленная задача достигается также тем, что в устройство измерения расстояний (длины), содержащее лазер, расположенные по ходу излучения телескопическую систему, расщепитель лазерного пучка, плоские зеркала, расположенные под углом к излучению лазера, плоскость наблюдения интерференционной картины, согласно изобретению между плоскими зеркалами на оптической оси введена собирающая линза, снабженная механизмом перемещения, а в плоскости наблюдения располагается на определенном удалении от оптической оси приемник оптического излучения.
Таким образом, предлагаемый способ существенно отличается от известных особенностями измерений: зеркала неподвижны, перемещается линза внутри зеркал, в плоскости наблюдения интерференционной картины во взятой под наблюдение точке плоскости происходит периодическое изменение числа и частоты полос интенсивности интерференционной картины в зависимости от величины линейного перемещения собирающей линзы вдоль ее оптической оси в любом направлении от ее начального (нулевого) положения, при котором оптический центр линзы совпадает с точкой на оптической оси интерферометра Дауэла [2], который в дальнейшем описании будем называть интерферометром на встречных пучках, равноудаленной от расщепителя лазерного пучка в каждом из двух плеч интерферометра на встречных пучках, которую в дальнейшем описании будем называть центром интерферометра на встречных пучках.
На существующем уровне техники не обнаружено аналогичных технических решений. Это позволяет сделать вывод о соответствии заявленного технического решения критериям “новизна” и “изобретательский уровень”.
Начальное “нулевое” положение собирающей линзы в центре интерферометра на встречных пучках соответствует полосе бесконечной ширины в плоскости наблюдения. В точках фокуса линзы К и Р образуются квазиточечные источники лазерного излучения, проходящего через линзу навстречу друг другу. Если линза находится в центре интерферометра на встречных пучках, т.е. на равных расстояниях от расщепителя в обоих плечах интерферометра на встречных пучках, то расстояние от этих двух квазиточечных источников до плоскости наблюдения будет одинаковым. Это положение собирающей линзы соответствует центру интерферометра на встречных пучках, т.е. точке на оптической оси, равноудаленной от плоскости расщепителя лазерного пучка в обоих плечах интерферометра. От этой точки (точка О на фиг.1) измеряется расстоянием (ОМ на фиг.2) до точки пересечения оптической оси с плоскостью наблюдения интерференционной картины.
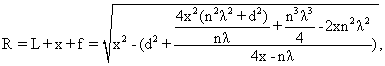
В плоскости наблюдения на оптической оси интерферометра (КМ на фиг.1) берется точка (точка М), удаленная от центра интерферометра на встречных пучках О на некоторое расстояние R, которое необходимо измерить. При смещении линзы на длину Х с помощью микрометрического устройства произойдет перемещение n полос интерференции на приемнике оптического излучения, удаленного от оптической оси интерферометра на встречных пучках в плоскости наблюдения на длину d (МН на фиг.1), число полос n будет зарегистрировано. Формула связи следующая:
где R=L+x+f – расстояние ОМ от центра интерферометра на встречных пучках (точка О) до плоскости наблюдения, L (РМ на фиг.1), х (ОО/ или OO на фиг.1), f (KO или РО на фиг.1);
x – величина осевого смещения линзы между плоскими зеркалами от центра интерферометра на встречных пучках, которую измеряют с помощью микрометрического устройства;
d – расстояние от точки М пересечения оптической оси с плоскостью наблюдения до точки наблюдения N интерференционных полос в плоскости наблюдения;
n – число интерференционных полос, зафиксированных в точке наблюдения N при перемещении линзы от центра интерферометра на встречных пучках (точка О) на расстояние х;
– длина волны когерентного излучения;
f – фокус линзы.
В предлагаемом способе измерения расстояний (длины) к излучателю не предъявляются требования высокой пространственно-временной когерентности (излучатель может быть частично когерентным светом).
Пример. На оптической скамье ОСК-2ЦЛ был собран макет устройства, включающий лазер ЛГН-215 с длиной волны излучения =0,6328 мкм, оптический коллиматор для создания плоского волнового фронта с фокусным расстоянием fk=1000 мм, интерферометр на встречных пучках с расположением плоских зеркал по оптической оси на длине 400 мм друг от друга, на двухкоординатном столике с точностью перемещения 1 мкм была закреплена собирающая линза с f=200 мм. Линза была помещена вовнутрь интерферометра на встречных пучках между зеркалами. Плоскость наблюдения находилась на расстоянии примерно 3000 мм от центра интерферометра на встречных пучках, измеренном рулеткой, в плоскости наблюдения на удалении от оптической оси интерферометра на длину d=60 мм находился ФЭУ-83 с диафрагмой диаметром 0,1 мм. Были зарегистрированы n интерференционных полос, n=10, при смещении линзы на величину х, х=15826 мкм.
По формуле было вычислено расстояние R, R=3000,101 мм, что соответствует расстоянию от плоскости наблюдения до центра интерферометра на встречных пучках, измеренному рулеткой.
На фиг.2 показано устройство для реализации предлагаемого способа. Устройство содержит источник 1 когерентного излучения, телескопическую систему 2, расщепитель лазерного пучка 3, плоские зеркала 4, 5 для сведения двух встречных пучков, собирающую линзу 6 с механизмом перемещения, плоскость наблюдения 7 интерференционной картины, приемник оптического излучения 8.
Устройство работает следующим образом.
Излучение когерентного света 1 через телескопическую систему 2 в виде параллельного пучка направляют на расщепитель лазерного пучка 3 и на плоские зеркала 4, 5, от которых когерентные пучки света направляют навстречу друг другу и на собирающую линзу 6 с некоторым фокусным расстоянием, после линзы пучки когерентного света направляют на расщепитель лазерного пучка 3 и от него оба пучка направляют в плоскость 7 наблюдения интерференционной картины. При сложении этих двух пучков в плоскости наблюдения реализуется интерференционная картина, которую регистрируют приемником оптического излучения 8, расположенным на измеренном расстоянии d от точки пересечения оптической оси с плоскостью наблюдения.
Изменение числа и частоты полос этой картины происходит при перемещении линзы относительно ее нулевого положения.
Измеряя перемещение Х линзы внутри интерферометра на встречных пучках с помощью микрометрического устройства и изменение числа полос n в плоскости наблюдения, легко рассчитать расстояние от центра интерферометра на встречных пучках между зеркалами 4 и 5 до точки пересечения оптической оси с плоскостью наблюдения.
Наведение оптической оси на точку в плоскости наблюдения, до которой необходимо измерить расстояние от точки центра интерферометра на его оптической оси, производится известным способом с помощью зрительной трубы с перекрестием, оптическая ось которой параллельна оптической оси интерферометра на встречных пучках и которая жестко закреплена в этом положении к интерферометру.
При изменении расстояния до плоскости наблюдения от центра интерферометра на встречных пучках меняется частота полос в плоскости наблюдения при неизменном расстоянии d от пересечения оптической оси интерферометра с плоскостью наблюдения до точки наблюдения интерференционной картины, а значит, изменится и число считываемых полос n. При увеличении расстояния R число n уменьшается и наоборот.
Источники информации
1. Промышленный лазерный измеритель перемещения ФОУ-1, С.Я. Доброва, А.В. Золотов, Н.Е. Левандовская, Автометрия, 1975, № 5, с. 43-48.
2. Основы оптики, М. Борн, Э. Вольф, Наука, 1973, с. 283.
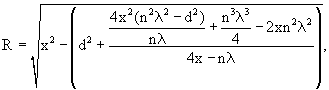
Формула изобретения 1. Интерференционный способ измерения расстояния (длины), включающий просвечивание собирающей линзы когерентными встречными пучками с плоскими волновыми фронтами, при этом плоские волновые фронты преобразуются в сферические, направление этих пучков по одной оптической оси в плоскость наблюдения и сравнение на основе интерференции амплитудно-фазовых характеристик этих двух пучков, отличающийся тем, что при перемещении линзы вдоль оптической оси от точки на оптической оси интерферометра на встречных пучках, равноудаленной от расщепителя, в любом направлении кривизна волновых фронтов и их интерференция в плоскости наблюдения меняются в выбранном для измерения расстоянии (длины), в виде числа изменения при таком перемещении линзы интенсивности интерференционной картины, при этом расстояние от точки на оптической оси интерферометра, равноудаленной от расщепителя, до точки пересечения оптической оси с плоскостью наблюдения рассчитывается из соотношения
где R – расстояние от точки на оптической оси интерферометра, равноудаленной от расщепителя интерферометра, до точки пересечения оптической оси с плоскостью наблюдения интерференционной картины;
n – число измерений интенсивности интерференционной картины в точке ее наблюдения при перемещении линзы вдоль оптической оси интерферометра от точки на оптической оси интерферометра, равноудаленной от расщепителя интерферометра;
d – расстояние от точки пересечения оптической оси с плоскостью наблюдения до приемника излучения, которое заранее измерено и не меняется в процессе изменения числа n;
x – величина перемещения линзы вдоль оптической оси интерферометра от точки на оптической оси интерферометра, равноудаленной от расщепителя, которую измеряют с помощью микрометрического устройства;
– длина волны излучения используемого лазера.
2. Устройство измерения расстояний (длины), содержащее лазер, расположенные по ходу излучения телескопическую систему, расщепитель лазерного пучка, плоские зеркала, расположенные под углом к излучению лазера, плоскость наблюдения интерференционной картины, в которое согласно изобретению между плоскими зеркалами на оптической оси введена линза, снабженная механизмом перемещения, а в плоскости наблюдения располагается на определенном удалении d от оптической оси приемник лазерного излучения.
РИСУНКИ
MM4A – Досрочное прекращение действия патента СССР или патента Российской Федерации на изобретение из-за неуплаты в установленный срок пошлины за поддержание патента в силе
Дата прекращения действия патента: 22.03.2006
Извещение опубликовано: 20.02.2007 БИ: 05/2007
|
||||||||||||||||||||||||||

где l – расстояние, на которое переместили одно из плоских зеркал;
– длина волны излучения лазера.
При этом надо учитывать, что измеряемое перемещение l не может превышать половину длины когерентности лазерного излучения, в противном случае интерференция двух пучков в плоскости наблюдения будет отсутствовать и при дальнейшем перемещении одного из плоских зеркал вдоль оптической оси в любой точке плоскости наблюдения не будет чередования интенсивности излучения от максимальной до минимальной, а будет наблюдаться одна интенсивность, равная сумме интенсивностей двух пучков.
Задачей изобретения является измерение расстояния в пределах прямой видимости от нескольких мм до нескольких км в сочетании с высокой помехоустойчивостью и малой чувствительностью к изменениям окружающей среды. Это достигается тем, что в интерференционном способе измерения расстояний (длины) осуществляют просвечивание собирающей линзы когерентными встречными пучками с плоскими волновыми фронтами, которые, согласно изобретению, при просвечивании собирающей линзы преобразуются в сферические, и при перемещении линзы вдоль оптической оси кривизна волновых фронтов и их интерференция в плоскости наблюдения меняются в выбранной точке плоскости наблюдения в виде числа и частоты полос.
Поставленная задача достигается также тем, что в устройство измерения расстояний (длины), содержащее лазер, расположенные по ходу излучения телескопическую систему, расщепитель лазерного пучка, плоские зеркала, расположенные под углом к излучению лазера, плоскость наблюдения интерференционной картины, согласно изобретению между плоскими зеркалами на оптической оси введена собирающая линза, снабженная механизмом перемещения, а в плоскости наблюдения располагается на определенном удалении от оптической оси приемник оптического излучения.
Таким образом, предлагаемый способ существенно отличается от известных особенностями измерений: зеркала неподвижны, перемещается линза внутри зеркал, в плоскости наблюдения интерференционной картины во взятой под наблюдение точке плоскости происходит периодическое изменение числа и частоты полос интенсивности интерференционной картины в зависимости от величины линейного перемещения собирающей линзы вдоль ее оптической оси в любом направлении от ее начального (нулевого) положения, при котором оптический центр линзы совпадает с точкой на оптической оси интерферометра Дауэла [2], который в дальнейшем описании будем называть интерферометром на встречных пучках, равноудаленной от расщепителя лазерного пучка в каждом из двух плеч интерферометра на встречных пучках, которую в дальнейшем описании будем называть центром интерферометра на встречных пучках.
На существующем уровне техники не обнаружено аналогичных технических решений. Это позволяет сделать вывод о соответствии заявленного технического решения критериям “новизна” и “изобретательский уровень”.
Начальное “нулевое” положение собирающей линзы в центре интерферометра на встречных пучках соответствует полосе бесконечной ширины в плоскости наблюдения. В точках фокуса линзы К и Р образуются квазиточечные источники лазерного излучения, проходящего через линзу навстречу друг другу. Если линза находится в центре интерферометра на встречных пучках, т.е. на равных расстояниях от расщепителя в обоих плечах интерферометра на встречных пучках, то расстояние от этих двух квазиточечных источников до плоскости наблюдения будет одинаковым. Это положение собирающей линзы соответствует центру интерферометра на встречных пучках, т.е. точке на оптической оси, равноудаленной от плоскости расщепителя лазерного пучка в обоих плечах интерферометра. От этой точки (точка О на фиг.1) измеряется расстоянием (ОМ на фиг.2) до точки пересечения оптической оси с плоскостью наблюдения интерференционной картины.
В плоскости наблюдения на оптической оси интерферометра (КМ на фиг.1) берется точка (точка М), удаленная от центра интерферометра на встречных пучках О на некоторое расстояние R, которое необходимо измерить. При смещении линзы на длину Х с помощью микрометрического устройства произойдет перемещение n полос интерференции на приемнике оптического излучения, удаленного от оптической оси интерферометра на встречных пучках в плоскости наблюдения на длину d (МН на фиг.1), число полос n будет зарегистрировано. Формула связи следующая:
где R=L+x+f – расстояние ОМ от центра интерферометра на встречных пучках (точка О) до плоскости наблюдения, L (РМ на фиг.1), х (ОО/ или OO на фиг.1), f (KO или РО на фиг.1);
x – величина осевого смещения линзы между плоскими зеркалами от центра интерферометра на встречных пучках, которую измеряют с помощью микрометрического устройства;
d – расстояние от точки М пересечения оптической оси с плоскостью наблюдения до точки наблюдения N интерференционных полос в плоскости наблюдения;
n – число интерференционных полос, зафиксированных в точке наблюдения N при перемещении линзы от центра интерферометра на встречных пучках (точка О) на расстояние х;
где R – расстояние от точки на оптической оси интерферометра, равноудаленной от расщепителя интерферометра, до точки пересечения оптической оси с плоскостью наблюдения интерференционной картины;
n – число измерений интенсивности интерференционной картины в точке ее наблюдения при перемещении линзы вдоль оптической оси интерферометра от точки на оптической оси интерферометра, равноудаленной от расщепителя интерферометра;
d – расстояние от точки пересечения оптической оси с плоскостью наблюдения до приемника излучения, которое заранее измерено и не меняется в процессе изменения числа n;
x – величина перемещения линзы вдоль оптической оси интерферометра от точки на оптической оси интерферометра, равноудаленной от расщепителя, которую измеряют с помощью микрометрического устройства;