Патент на изобретение №2228440
|
||||||||||||||||||||||||||
(54) СПОСОБ АВТОМАТИЧЕСКОГО УПРАВЛЕНИЯ СКОРОСТЬЮ ПОДАЧИ УГОЛЬНЫХ КОМБАЙНОВ
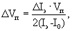
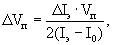
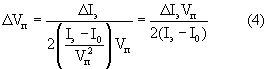
(57) Реферат: Изобретение относится к горному делу и может быть использовано для управления приводом подачи угольного комбайна при выемке угля. Способ включает задание установки тока, равного номинальному, определение эффективного тока, сравнение его с током установки, определение поправки к заданной скорости подачи при отклонении эффективного тока от тока установки и ввода поправки в виде отрицательной обратной связи, суммируемой с заданной скоростью. Поправку определяют по предложенному математическому выражению. Техническим результатом является повышение надежности системы автоматического управления скоростью подачи и регулирования нагрузки электродвигателя механизма резания угольного комбайна, поддерживания ее на уровне, определяющем допустимый нагрев двигателя. 6 ил. Изобретение относится к системе автоматического управления процессом выемки угля комбайнами и предназначено для автоматизации процесса выемки угля комбайнами и, в частности, для автоматического управления приводом подачи угольного комбайна. Известен способ управления горной машиной, обеспечивающий регулирование нагрузки путем изменения скорости подачи, включающий задание уставок номинального тока и тока отсечки и непрерывное измерение мгновенного тока двигателя привода резания горного комбайна. Управление скоростью подачи осуществляется в функции величины отклонения мгновенного значения потребляемого тока от заданного тока. Данный способ может вызвать автоколебания скорости подачи, которые определяются низким быстродействием гидравлических систем подачи [Б.Я.Стариков, В.Л.Азарх, З.М.Рабинович. Асинхронный электропривод очистных комбайнов. М.: Недра, 1996]. Наиболее близким к предлагаемому способу является способ управления [Патент РФ 2057931, МПК 7 Е 21 С 35/24, опубл. 1996], включающий задание уставок тока двигателя, равного его номинальному, и тока отсечки, определение эффективного тока двигателя и сравнение его с уставкой тока и поддержание их равенства изменением скорости подачи комбайна, принятый за прототип. Однако указанный способ имеет недостаток, заключающийся в том, что в нем не учитывается функциональная зависимость между скоростью подачи и эффективным током двигателя привода резания комбайна, что влияет на надежность и точность системы. Техническим результатом изобретения является повышение надежности системы автоматического управления скоростью подачи и регулирования нагрузки электродвигателя механизма резания угольного комбайна. Технический результат достигается тем, что в способе автоматического управления скоростью подачи угольных комбайнов, включающем задание уставки тока, равного номинальному, определение эффективного тока, сравнение его с током уставки, согласно изобретению определяют поправку к заданной скорости подачи при отклонении эффективного тока от тока уставки по формуле:
где Iэ – отклонение эффективного тока от тока уставки;
Iэ – текущее значение эффективного тока;
I0 – ток двигателя резания комбайна при скорости подачи, равной 0;
Vп – заданная скорость подачи комбайна,
Vп – поправка к скорости подачи,
и вводят поправку в виде отрицательной обратной связи, суммируя с заданной скоростью.
Тем самым поддерживается значение эффективного тока двигателя резания, равного заданному.
Способ поясняется чертежами, где на фиг.1 – схема устройства для осуществления способа; на фиг.2 – схема набора модели автоматизированного привода подачи угольного комбайна; на фиг.3, 4, 5, 6 – результаты математического моделирования предлагаемой системы автоматизации угольных комбайнов.
Суть способа состоит в использовании автоматического регулирования скорости подачи в функции эффективного тока двигателя резания, поддерживая его на уровне, определяющем допустимый нагрев двигателя.
Зависимость эффективного тока от скорости подачи комбайна определяется:
где Iэ – эффективный ток двигателя резания, А;
I0 – ток двигателя резания при Vп=0;
k – коэффициент, зависящий от физико-механических характеристик разрушаемого материала.
Производная тока от скорости подачи в приращениях может быть записана
Тогда
Подставляя значение k из(1) в (2), получим
где Iэ=Iэ-Iуставки;
Iуставки – уставка тока, А;
Vп – фактическая скорость подачи.
На фиг.1 представлен порядок вычислений поправки к скорости подачи. На сумматоре 1 вычисляется разность между током уставки и фактическим значением среднеквадратичного тока. На множителе 2 полученная разность умножается на заданную скорость подачи Vпод.зад. На сумматоре 3 вычисляется разность между среднеквадратичным током и током холостого хода двигателя. На множителе 4 сигнал с элемента 2 делится на разность значения среднеквадратичного тока и тока холостого хода двигателя резания, полученных на сумматоре 3. Частное от деления интегрируется на интеграторе 5 и умножается на коэффициент 0,5 на масштабном преобразователе 6 и сумма этих сигналов вычитается на сумматоре 7 из заданной скорости подачи. С выхода сумматора 7 сигнал скорректированной скорости Vфакт поступает в систему управления скоростью подачи.
Указанные вычисления могут осуществляться программным путем, так как в настоящее время все комбайны оснащаются микропроцессорами для диагностики работы элементов комбайна.
Сигнал отрицательной обратной связи поступает на сумматор 7 в канале задания скорости подачи и снижает ее, пока эффективный ток двигателя резания комбайна не станет равным току уставки.
Для исключения статической ошибки сигнал отрицательной обратной связи ( Vп) также интегрируется и складывается с пропорциональной частью обратной связи. В этом случае система автоматического регулирования скорости подачи становится астатической. Предлагаемый способ автоматического управления скоростью подачи угольного комбайна моделировался в среде “MATLAB”.
Результаты моделирования приведены на фиг.3, 4, 5, 6.
На фиг.3, 4 приведены графики Vп и Iэ при отключенной обратной связи по Iэ. На фиг.5, 6 с включенной обратной связью. На указанных чертежах четко видно, что при включении обратной связи система автоматического управления скоростью подачи практически точно поддерживает значение эффективного тока заданному, регулируя скорость подачи комбайна.
Формула изобретения Способ автоматического управления скоростью подачи угольных комбайнов, включающий задание уставки тока, равного номинальному, определение эффективного тока, сравнение его с током уставки, отличающийся тем, что определяют поправку к заданной скорости подачи при отклонении эффективного тока от тока уставки по формуле
где Iэ – отклонение эффективного тока от тока уставки;
Iэ – текущее значение эффективного тока;
I0 – ток двигателя резания комбайна при скорости подачи, равной 0;
Vп – заданная скорость подачи комбайна,
и выводят поправку в виде отрицательной обратной связи, суммируя с заданной скоростью.
РИСУНКИ
MM4A Досрочное прекращение действия патента Российской Федерации на изобретение из-за неуплаты в установленный срок пошлины за поддержание патента в силе
Дата прекращения действия патента: 23.10.2004
Извещение опубликовано: 10.06.2006 БИ: 16/2006
|
||||||||||||||||||||||||||

где
Iэ – отклонение эффективного тока от тока уставки;
Iэ – текущее значение эффективного тока;
I0 – ток двигателя резания комбайна при скорости подачи, равной 0;
Vп – заданная скорость подачи комбайна,
где Iэ – эффективный ток двигателя резания, А;
I0 – ток двигателя резания при Vп=0;
k – коэффициент, зависящий от физико-механических характеристик разрушаемого материала.
Производная тока от скорости подачи в приращениях может быть записана
Тогда
Подставляя значение k из(1) в (2), получим
где
где