Патент на изобретение №2228217
|
||||||||||||||||||||||||||
(54) СПОСОБ КАВИТАЦИОННОЙ ОБРАБОТКИ ЖИДКИХ СРЕД И РЕАКТОР ДЛЯ ЕГО ОСУЩЕСТВЛЕНИЯ
(57) Реферат: Изобретение относится к области ультразвуковой кавитационной дезинтеграции жидких сред: разрушения, разъединения, разведения на части любых субстанций, включая живые, существующих в виде взвешенных фаз в этих средах, а также для диссоциации молекул самих сред. Кавитационной обработке могут подвергаться жидкие среды в виде суспензий, эмульсий, коллоидных либо истинных растворов, а также вода и другие жидкости. Изобретение может быть использовано в пищевой, химической, горнорудной, фармацевтической и парфюмерной отраслях промышленности. Обрабатываемую жидкую среду с заданной скоростью пропускают сквозь кавитационный реактор. Рассеивают акустическую модность с заданным средним значением объемной плотности, которая вызывает возникновение в ней кавитации в виде стационарной кавитационной области. Объемную плотность потенциальной энергии кавитации распределяют по объему реактора со среднеквадратичным отклонением от среднего значения, не большим чем 0,862 этого среднего значения. Реактор представляет собой заполняемую жидкостью камеру, ограниченную поверхностями корпуса, отражающей стенки и излучателя акустической волны. Размеры корпуса выбраны по формуле. Техническим результатам обработки жидких сред является повышение их дисперсности, гомогенности, интенсификации происходящих в них химических реакций, синтез новых соединений, бактериолиз и бактериостаз, а также повышение их химической активности, например гидратационной активности, и диссоциирующей способности воды. 2 с.п. ф-лы, 5 ил. Изобретение относится к области процессов и аппаратов ультразвуковой кавитационной дезинтеграции жидких сред: разрушения, разъединения, разделения на части любых субстанций, включая живые, существующих в виде взвешенных фаз в этих средах, а также для диссоциации молекул самих сред. Результатом кавитационной обработки жидких сред является повышение их дисперсности, гомогенности, интенсификация происходящих в них химических реакций, синтез новых соединений, бактериолиз и бактериостаз, а также повышение их химической активности, например гидратационной активности, и диссоциирующей способности воды. Кавитационной обработке могут подвергаться жидкие среды в виде суспензий, эмульсий, коллоидных либо истинных растворов, а также вода и другие жидкости. Изобретение может быть использовано в пищевой, химической, горнорудной, фармацевтической и парфюмерной отраслях промышленности. Известен способ воздействия энергией ультразвуковых колебаний на водно-мучную суспензию для активации хлебопекарных дрожжей, при котором обеспечивают заданную среднюю объемную плотность энергии, а жидкость (суспензию) постоянно перемешивают [1]. Известен также способ воздействия энергией ультразвуковых колебаний на поток жидкости при непрерывной гомогенизации или эмульгировании [2], при котором заданный уровень энергии поддерживают, управляя скоростью потока жидкости с учетом объема реактора, при этом жидкость также перемешивают. В том и другом случаях причиной, препятствующей достижению указанного ниже технического результата, является следующее обстоятельство. Известно [3], что результат акустического воздействия на жидкие среды в основном зависит от уровня потенциальной энергии акустического поля кавитации, то есть энергии перепадов давления во фронтах акустических волн, испускаемых кавитационными пузырьками [4, 5]. Мерой этой энергии может служить объемная плотность ее количества, выделяемого в объеме среды V за период Т колебаний первичного звука, называемого вынуждающим осциллятором, -ная часть мощности Р которого рассеивается за это время в этом объеме, вызывая явление кавитации [3]:
где Е – эрозионный коэффициент – отношение потенциальной энергии кавитации к полной энергии кавитации, выраженное в процентах.
Величина W зависит от амплитуды колебательного смещения в порождающей кавитацию упругой акустической волне, которая в свою очередь определяет амплитуду давления в пучности напряжений волны и зависит от объемной плотности мощности этой волны, то есть в конечном итоге от объема V, в котором происходит процесс.
Как известно, от амплитуды давления р зависит нетривиальный критерий подобия явления кавитации – динамическое число Di, которое служит для количественной оценки абсолютных значений потенциальной энергии.
В описаниях рассмотренных выше способов требования к объему реакторов предъявляются только исходя из расчета количества передаваемой в обрабатываемые среды энергии для обеспечения требуемой производительности процессов, но ничего не сказано о требованиях к объему реактора и соотношениям его размеров исходя из расчета количества выделяемой при этом потенциальной энергии кавитации. Хотя хорошо известно, что в зависимости от р энергия вынуждающего осциллятора, кроме образования поля переменных давлений и, соответственно, деформаций среды, рассеивается также и на возбуждении векторного поля колебательных скоростей частиц среды, трансформируясь в кинетическую энергию кавитации, оцениваемую посредством кинематического числа Ci. Эффекты же, производимые воздействием на среду циклическими деформациями и колебательными смещениями, принципиально неодинаковы по механизму воздействия и различны по результатам.
Поскольку р зависит от V и соотношения размеров этого объема, то результаты воздействия на жидкости описанными способами не будут воспроизводимыми в различных условиях. Так, в реакторах различных объемов, предназначенных для одних и тех же видов обработки жидкостей, результаты обработки могут быть различными, даже если в них будут обеспечены одинаковые уровни передаваемой в жидкость энергии вынуждающего осциллятора.
Наиболее близким способом того же назначения к заявленному изобретению является способ кавитационной обработки цельного молока с целью его бактериолиза и гомогенизации, при котором его пропускают сквозь кавитационный реактор со скоростью, обеспечивающей оптимальное время обработки. Внутри реактора в молоке рассеивают акустическую мощность с заданным средним значением объемной плотности, которая вызывает возникновение стационарных кавитационных областей [3 (с.67-69, таблица 3.3)]. Оптимальные параметры процесса предварительно определены экспериментальным путем с использованием так называемого эталонного реактора с полуволновой резонансной ячейкой [3 (с.61)], в которой вынуждающий осциллятор вызывает возникновение одной стационарной кавитационной области. В данном случае мерой W, кроме Р, служит эрозионный коэффициент, являющийся по определению отношением плотности потенциальной энергии к плотности полной энергии кавитации.
Этот способ принят за прототип.
Причиной, препятствующей достижению указанного ниже технического результата при использовании способа, принятого за прототип, являются следующие обстоятельства.
Полученное в эталонном процессе значение эрозионного коэффициента, которое служит мерой распределения потенциальной энергии, на самом деле является функцией заданного значения объемной плотности мощности и соотношений размеров внутреннего объема реактора, считающегося эталонным. Как известно, эрозионный коэффициент имеет определенного вида функцию распределения по внутреннему объему реактора, параметрами которой являются в том числе размеры и форма этого объема [3].
От вида функции распределения эрозионного коэффициента, а следовательно, и плотности потенциальной энергии кавитации в реакторе будет зависеть, вся ли проходящая через реактор обрабатываемая жидкость получит в равной мере необходимое для выполнения задачи ее обработки количество энергии. Ясно, что, полагаясь только на средние значения параметров процесса и не учитывая их распределение в пространстве реактора, невозможно обеспечить воспроизводимость результатов при использовании способа с реактором, имеющим отличные от эталонного форму и соотношение размеров. Варьируя же размерами внутреннего объема, также невозможно в точности воспроизвести функцию распределения плотности потенциальной энергии кавитации в реакторе с другим объемом, так как кавитационные реакторы не обладают подобием формы [3 (с.87, 88)].
Сущность изобретения в части, касающейся способа, заключается в следующем.
Надежной мерой, характеризующей любую функцию неизвестного вида распределения, является среднеквадратичное отклонение значений функции в исследуемом диапазоне параметров от ее среднего значения. Чем это отклонение меньше, тем равномернее распределение. В данном случае уменьшение значения среднеквадратичного отклонения плотности потенциальной энергии кавитации от среднего по объему реактора обеспечит увеличение равномерности обработки жидкости, что, в свою очередь, обеспечит получение сформулированного ниже технического результата.
Известно, что функция распределения плотности потенциальной энергии кавитации, также зависящая от перечисленных параметров, отлична от функции распределения эрозионного коэффициента. В зависимости от формы и размеров реактора она может иметь несколько экстремумов, которые в пространстве внутреннего объема реактора лежат за пределами размера реактора, определяемого из расчета минимизации воздействия кавитационной энергии на материалы его конструкции [6]. Это облегчает задачу при выборе в качестве оптимизируемого параметра именно распределения плотности потенциальной энергии.
Для использования в качестве меры величины среднеквадратичного отклонения плотности потенциальной энергии кавитации от среднего значения необходим пример для сравнения. В качестве такого примера может быть выбран гипотетический реактор сферической волны со стационарной кавитационной областью в виде сферической же поверхности диаметром, равным половине длины акустической волны , в находящейся в нем жидкости. Для практического использования такой реактор непригоден из-за сложности его конструктивно-технологического воплощения, однако его параметры могут служить канонической мерой сравнения реакторов других форм, так как он обладает уникальным свойством. Его объем при заданной длине акустической волны является константой по определению , а кавитационная эрозия элементов его конструкции минимальна, так как во внутреннем объеме реактора отсутствует их контакт с кавитационной областью. Эти свойства позволяют в необходимой и достаточной мере выполнять условия достижения сформулированного ниже технического результата.
Ниже будет показано, что из всех известных видов реакторов (круглого и квадратного в плане реакторов плоской волны, коаксиального реактора цилиндрической волны) [3] при выполнении условия минимизации объема, необходимого для снижения Р и исключения эрозии корпуса, сферический реактор обладает самым низким среднеквадратичным отклонением плотности потенциальной энергии кавитации от среднего значения.
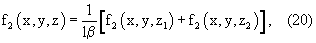
Сравнение проводилось в отношении реакторов с полуволновыми резонансными ячейками, работающими в режиме стоячей волны, то есть для самых неблагоприятных условий, так как известно [3 (с.49, рис.15)], что в реакторе при наличии двух и более кавитационных областей, акустическое поле кавитации не имеет нулевых значений энергии, то есть более равномерно.
При сравнении среднеквадратичных отклонений Sw плотности потенциальной энергии кавитации от среднего по объему различных реакторов удобно пользоваться неабсолютными значениями W и , относительным значением, которое вычисляются как . Такой параметр универсален для всей области предмета изобретения, так как он инвариантен по отношению к остальным параметрам, определяющим числа Di, значения Р, р и константы обрабатываемых жидкостей, задающие . В такой интерпретации среднее значение будет равно 1, а соответствующее ему также безразмерное значение относительного среднеквадратичного отклонения sw в каждом конкретном случае будет определяться только соотношением размеров внутреннего пространства реактора.
Следовательно, могут быть найдены такие размеры внутреннего объема реактора, при которых будет минимизирована кавитационная эрозия элементов его конструкции и обеспечено достаточно равномерное (не хуже, чем у сферического реактора) распределение плотности потенциальной энергии кавитации. То есть таким образом может быть обеспечено получение технического результата. Один из размеров внутреннего объема реактора может варьироваться только дискретно. Это характеристический размер резонансной ячейки [3 (с.15)]. Поэтому задача нахождения размеров внутреннего пространства реактора здесь сводится к расчету размеров поперечного сечения ячейки, то есть корпуса реактора.
Обеспечить реализацию описанного выше признака изобретения в части, касающейся способа, невозможно при использовании известных конструкций кавитационных реакторов.
Так, например, вышеописанный аналог способа [2] осуществляется при помощи установки, представляющей собой реактор заданного внутреннего объема, форма которого выполнена с учетом размещения в нем перемешивающего устройства и обеспечения наилучших условий перемешивания. Но перемешивающее устройство не позволяет установить в таком реакторе стоячую акустическую волну, неподвижное в пространстве реактора распределение плотности потенциальной энергии с заданным среднеквадратичным отклонением от неизменного во времени среднего значения.
Поле энергии кавитации в таком реакторе является суперпозицией полей бегущих волн в условиях постоянного изменения направлений их распространения.
Невозможно обеспечить требуемое среднеквадратичное отклонение от среднего значения плотности потенциальной энергии в обрабатываемой жидкости в конструкциях реакторов [7, 8], где жидкость пропускается в узкий зазор между поверхностями, в котором возбуждается кавитация. Кавитация в зазорах и тонких слоях порождается в большей степени не изменением во времени давления в пучности волны, а пространственным градиентом скорости частиц среды и является не акустической, а гидродинамической [9]. Известно, что в этих условиях трансформация энергии колебаний излучающей поверхности в энергию кавитации, а следовательно, и производимое кавитацией воздействие на жидкость менее эффективны. Поэтому здесь невозможно обеспечить требуемое значение р, от которого зависит критерий подобия явления кавитации Di, определяющий величину W. То есть этот параметр, а следовательно, и sw для процессов, осуществляемых такими реакторами, являются неуправляемыми.
Наиболее близким устройством того же назначения к заявленному изобретению является кавитационный реактор для обработки жидких сред, представляющий собой камеру, объем которой ограничен поверхностью корпуса, хотя бы одной отражающей стенки и хотя бы одного излучателя акустической волны, и заполнено обрабатываемой средой, который принят за прототип [6].
Существует следующая причина, препятствующая достижению указанного ниже технического результата, при использовании этого принятого за прототип кавитационного реактора.
В его описании сказано, что поле кавитационных областей со стабильной пространственной конфигурацией неоднородно. Оно имеет зоны с экстремальными (максимальными и нулевыми) значениями плотности потенциальной энергии, диссипация которой является причиной кавитационной эрозии. Расположение этих зон в пространстве зависит от формы и размеров кавитационных областей. В кавитационных реакторах с отражающими стенками кавитационные области ограничены периметром корпуса.
Таким образом, задавая минимальный размер корпуса реактора по нормали к его границе, можно добиться того, что эрозионное воздействие на корпус будет сведено к нулю либо минимизировано.
Однако, поскольку минимальный размер обеспечивает положение первого минимума плотности потенциальной энергии на стенке корпуса, то тем самым он задает наихудшие условия в смысле величины среднеквадратичного отклонения w от .
Это можно показать следующим путем.
Сферический кавитационный реактор вообще не содержит корпуса по определению. Среднеквадратичное отклонение w от 1 у сферического реактора со стационарной кавитационной областью в виде сферической поверхности диаметром равным половине длины акустической волны в обрабатываемой жидкости можно вычислить по формуле, получаемой из математической модели кавитационного реактора [3], формул математической статистики и уравнений математического анализа как:
где W – функция распределения объемной плотности потенциальной энергии кавитации в сферическом реакторе от r [0, 1] – радиуса реактора, которая, в свою очередь, в соответствии с моделью кавитационного реактора при условии, что не один из линейных размеров реактора не превышает получается путем соответствующего преобразования формул 2.16; 2.58; 2.61 и 2.67 из [3] как:
где – адиабатическая сжимаемость обрабатываемой жидкой среды;
N – число кавитационных полостей в кавитационной области;
P0 – давление покоя на поверхности кавитационной полости;
R0 – радиус покоя среднестатистической кавитационной полости;
f1 – функция, задающая отношение среднего расстояния от любой произвольной точки внутреннего сферического пространства камеры реактора до сферической стационарной кавитационной области к 2r= ;
f2 – функция, задающая среднее значение величины, обратной расстоянию от любой произвольной точки внутреннего сферического пространства камеры реактора до сферической стационарной кавитационной области.
Эти функции при r 0,5 имеют вид:
а при r<0,5:
Вычитаемое из 1 в правой части выражения (2) есть не что иное, как относительная плотность потенциальной энергии w, поэтому выражение (2) можно записать проще как:
Константы состояния жидкости и критерии подобия явления кавитации , N, P0, R0, Di в этом выражении не используются, так как взаимно сокращаются. Функция sw становится зависимой только от объема реактора, который у сферы имеет только один параметр – радиус r.
Воспользовавшись приведенными формулами, можно показать, что среднеквадратичное отклонение w от 1 у сферического реактора равно 0,862. Для сравнения, например, у принятого за прототип круглого в плане полуволнового реактора при =0,073 м и минимальном расчетном размере корпуса, равном 0,129 м, приведенном в его описании, sw=0,919. У квадратного в плане полуволнового реактора sW при той же =0,073 м и минимальном расчетном размере корпуса, равном 0,123 м, приведенном в описании, составит 1,020. У коаксиального полуволнового реактора цилиндрической волны, например, при минимальном расчетном размере корпуса, равном 0,096 м, и диаметре излучателя 0,015 м sw=1,291 (формулы для расчета приведены ниже в качестве примеров конкретного применения изобретения).
Отсюда можно сделать вывод, что значения sw у любого из вариантов реактора-прототипа выше, чем у сферического реактора, то есть в прототипе не будет обеспечено условие равномерности распределения плотности потенциальной энергии, обоснованное выше, а sw сферического реактора можно использовать в качестве меры сравнения равномерности распределения w.
Сущность изобретения в части, касающейся кавитационного реактора для осуществления предлагаемого способа, заключается в следующем.
Для реализации признака изобретения в части, касающейся способа, можно воспользоваться следующими положениями, в том числе не противоречащими, требованиям, предъявляемым к прототипу, в достижении сформулированного в его описании технического результата:
– размеры корпуса реактора можно выбирать большими, чем минимальный расчетный;
– неравномерность распределения плотности относительной потенциальной энергии кавитации позволяет выбрать размеры корпуса реактора такими, при которых среднеквадратичное отклонение w от 1 будет меньше или равно этому значению у сферического реактора.
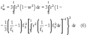
Для полуволнового реактора с внутренним объемом любой формы средняя по объему плотность потенциальной энергии вычисляется как:
а значение среднеквадратичного отклонения плотности потенциальной энергии от ее среднего по объему реактора значения соответственно:
Чтобы сделать выражение (8) инвариантным по отношению к константам обрабатываемой жидкости и параметрам акустической волны в принятых выше относительных единицах, можно записать:
Тогда в сравнении со сферическим реактором, у которого дисперсия , условие обеспечения равномерности распределения относительной плотности потенциальной энергии, возведя в квадрат и поменяв местами обе части уравнения (9), подставив вместо sw значение среднеквадратичного отклонения w от 1 сферического реактора и заменив знак равенства на , можно записать как:
Вид функции w определяется из известной математической модели кавитационного реактора.
В полуволновом кавитационном реакторе стоячей волны, то есть когда отсутствует кавитационная область на поверхности излучателя, а расстояние между стенками корпуса может превышать длину волны, w выражается путем соответствующего преобразования формул 2.16; 2.58; 2.61 и 2.67 из [3]:
где
(квадратными скобками обозначена целая часть числа);
– длина излучаемой акустической волны в обрабатываемой жидкости;
f1 – функция, задающая среднее значение расстояния от любой произвольной точки внутреннего объема реактора до видимой из нее части стационарной кавитационной области, возникающей при работе реактора на расстоянии 0,25 от поверхности излучателя;
f2 – функция, задающая среднее значение величины, обратной расстоянию от любой произвольной точки внутреннего объема реактора до видимой из нее части стационарной кавитационной области, возникающей при работе реактора на расстоянии 0,25 от поверхности излучателя.
О части поверхности речь идет потому, что, например, в коаксиальном реакторе остальная часть этой поверхности “затенена” излучателем цилиндрической волны. Ниже этот случай рассмотрен подробно.
Таким образом, в полуволновом кавитационном реакторе любой формы можно задать размеры корпуса с тем, чтобы обеспечить наибольшую равномерность распределения относительной плотности потенциальной энергии, в том числе при выполнении условия минимизации эрозии материала корпуса, то есть обеспечить требуемое качество обработки пропускаемой сквозь него жидкой среды.
По определению термина резонансной ячейки, данному в [3, (с.16)], ячейка ограничена в пространстве акустически непрозрачными стенками. Поскольку в стоячей волне обмена энергией между соседними полуволновыми объемами не происходит, то граница этих объемов также считается акустически непрозрачной [10], а эти объемы могут считаться самостоятельными полуволновыми резонансными ячейками. Исходя из этого, помня, что реакторы могут содержать несколько полуволновых объемов и что поле энергии кавитации в таких реакторах более равномерно, чем в полуволновых, далее при описании конструкции таких реакторов будет использоваться термин “полуволновая резонансная ячейка, прилегающая к излучателю”. Очевидно, что, проектируя реактор, содержащий несколько резонансных ячеек одной акустической волны, с учетом сущности признаков данного изобретения достаточно рассматривать только этот объем.
Технический результат – обеспечение максимально равномерного воздействия потенциальной энергии кавитации на обрабатываемую жидкую среду в кавитационном реакторе, в том числе при ее минимальном воздействии на элементы конструкции реактора.
Указанный технический результат при осуществлении изобретения достигается тем, что в известном способе, при котором:
– жидкость с заданной скоростью пропускают сквозь кавитационный реактор;
– рассеивают акустическую мощность с заданным средним значением объемной плотности, которая вызывает возникновение в ней кавитации в виде, как минимум, одной стационарной кавитационной области, особенность состоит в том, что объемную плотность потенциальной энергии возникающей кавитации распределяют по объему реактора со среднеквадратичным отклонением от среднего значения, не большим чем 0,862 этого среднего значения.
А в известном кавитационном реакторе для обработки жидких сред, представляющем собой заполненную обрабатываемой жидкостью камеру, объем которой ограничен поверхностями:
– корпуса;
– хотя бы одной отражающей стенки;
– хотя бы одного излучателя акустической волны, особенность состоит в том, что размеры корпуса выбраны из условия:
где
(квадратными скобками обозначена целая часть числа);
– длина излучаемой акустической волны в обрабатываемой жидкости;
V – объем полуволновой резонансной ячейки, прилегающей к излучателю;
f1 – функция, задающая среднее значение расстояния от любой произвольной точки объема V до видимой из нее части стационарной кавитационной области, возникающей при работе реактора на расстоянии 0,25 от поверхности излучателя;
f2 – функция, задающая среднее значение величины, обратной расстоянию от любой произвольной точки объема V до видимой из нее части стационарной кавитационной области, возникающей при работе реактора на расстоянии 0,25 от поверхности излучателя.
Ниже приведены примеры расчета внутренних размеров корпусов полуволновых кавитационных реакторов основных видов.
Пример 1. Для круглого в плане полуволнового кавитационного реактора плоской волны радиусом r и высотой 0,52 функции f1 и f2 имеют вид:
где
где
Координатная система в реакторе имеет начало в центре объема реактора, ось y направлена перпендикулярно отражающей стенке R и поверхности излучателя Е, а ось x находится в диаметральной плоскости (фиг.1). Видимой из произвольной точки внутреннего объема реактора, например точки А, частью стационарной кавитационной области, возникающей при работе реактора на расстоянии 0,25 , от поверхности излучателя, является вся поверхность стационарной кавитационной области S.
В координатах рассматриваемого реактора выражение (12) можно записать как:
Корпус здесь, кроме высоты, равной 0,5 , имеет только один размер – радиус r. Используя (13)-(15), можно показать, что при =0,073 м (среда – вода со скоростью звука в ней 1450 м/с, частота излучателя 20000 Гц) и радиусе r=0,085 м условие (15) будет выполняться 0,641<0,743. То есть, если увеличить радиус корпуса реактора-прототипа (у которого, как было показано выше s2W=0,919=0,844>0,743) с 0,065 м до 0,085 м, а также увеличить Р пропорционально соответствующему увеличению объема камеры, то можно обеспечить лучшие условия равномерности обработки среды. Производительность обработки (пропускная способность реактора) при этом также увеличится пропорционально увеличению объема.
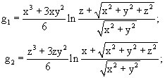
Пример 2. Для полуволнового реактора с внутренним пространством корпуса, имеющим в сечении форму прямоугольника со сторонами l и b, высотой 0,5 функции f1 и f2 будут иметь вид:
где
f1=g1+g2+g3+g4+g5;
где
f1=g1+g2+g3+g4;
Координатная система в реакторе имеет начало в центре объема реактора, ось у направлена перпендикулярно отражающей стенке R и поверхности излучателя Е, ось x параллельна ширине корпуса b, а ось z – длине l (фиг.2).
Видимой из произвольной точки внутреннего объема реактора, например точки А, частью стационарной кавитационной области, возникающей при работе реактора на расстоянии 0,25 от поверхности излучателя, является вся поверхность S.
В координатах реактора выражение (12) можно записать как:
Корпус здесь, кроме высоты, равной 0,5 , содержит два размера – длину l и ширину b. Используя (16)-(18), можно вычислить, что при =0,073 м и, например, l=0,170 м и b=0,123 м условие (18) будет также выполняться 0,710<0,743. То есть, если увеличить длину корпуса реактора-прототипа (у которого, как было показано выше, ) с 0,123 до 0,170 м, а также увеличить Р пропорционально соответствующему увеличению объема, то можно обеспечить лучшие условия равномерности обработки среды. Производительность обработки при этом здесь также увеличится пропорционально увеличению объема.
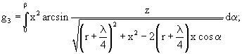
Пример 3. В случае коаксиального реактора, возбуждаемого цилиндрической волной от излучателя в виде цилиндра радиусом r и длиной l, расстояние от поверхности которого до отражающей цилиндрической же стенки равно 0,5 , функции f1 и f2 будут иметь вид:
где
где
Координатная система в реакторе имеет начало в центре цилиндрического излучателя, ось у направлена перпендикулярно отражающей стенке R и поверхности излучателя Е, ось x совпадает с диаметром излучателя и отражающей стенки, а ось z направлена по длине l (фиг.3). Видимой из произвольной точки внутреннего объема реактора, например точки А, частью стационарной кавитационной области, возникающей при работе реактора на расстоянии 0,25 от поверхности излучателя, является поверхность стационарной кавитационной области S, которая не затенена излучателем. В координатах реактора выражение (12) можно записать как:
Корпус этого реактора, состоящий из двух стенок в форме колец, характеризуется двумя размерами – длиной l и радиусом r излучателя – внутренним радиусом колец. Наружный радиус колец равен r+0,5 .
Используя (19)-(21), можно вычислить, что при =0,073 м и равных объемах V= (r+0,5![]() )2l- r2l= r2l= 0,069 [(0,015+0,5 0,073)2-0,0152]= 0,0625 [(0,0325+0,5 0,073)2-0,03252]=7,3 10-4 м условие (21) будет выполняться 0,727<0,743. То есть, увеличив радиус излучателя реактора-прототипа (у которого ) с 0,015 м до 0,0325 м, уменьшив длину реактора с 0,096 м до 0,0625 м, то есть, изменив не объем, а лишь пространственную форму этого объема, можно обеспечить лучшие условия равномерности обработки среды. Производительность обработки при этом останется неизменной.
Таким образом, сравнение заявленного способа и кавитационного реактора для его осуществления с прототипами, являющимися наиболее близкими аналогами из технических решений, характеризующих известный заявителю уровень техники в области предмета изобретения, показывает, что заявленный способ и кавитационный реактор обладают существенными по отношению к указанному техническому результату отличительными признаками.
При анализе отличительных признаков описываемого способа обработки жидких сред энергией кавитации и кавитационного реактора для его осуществления не выявлено каких-либо известных аналогичных решений, касающихся установления требований к размерам корпуса реактора в связи с их влиянием на вид функции распределения по объему плотности потенциальной энергии кавитации с целью получения равномерного воздействия энергии кавитации на обрабатываемую среду.
На фиг.1 схематично показан внутренний объем круглого в плане кавитационного реактора плоской волны с радиусом r, для которого выполнен пример 1 расчета. Литерой S обозначена видимая из произвольной точки А поверхность стационарной кавитационной области, возникающей при работе реактора на расстоянии 0,25 от поверхности излучателя. Литерами Е, R и С показаны поверхности излучателя, отражающей стенки и корпуса соответственно. Начало координат помещено в геометрическом центре объема реактора.
На фиг.2 схематично показан внутренний объем прямоугольного в плане кавитационного реактора плоской волны с соотношением длины l и ширины b, для которых выполнен пример 2 расчета. Обозначения аналогичны обозначениям фиг.1. Начало координат помещено в геометрическом центре объема реактора.
На фиг.3 схематично показан внутренний объем коаксиального кавитационного реактора цилиндрической волны с соотношением длины l и радиуса излучателя r, для которых выполнен пример 3 расчета. Обозначения аналогичны обозначениям фиг 1. Начало координат помещено в геометрическом центре излучателя.
На фиг.4 видом, совмещенным с разрезом по плоскости продольной симметрии, показан кавитационный реактор с квадратной в плане резонансной ячейкой, соотношение размеров корпуса которого выбрано в соответствии с признаками изобретения.
На фиг.5 в правой части показан разрез того же, что и на фиг.4 кавитационного реактора по плоскости возникающей в нем при работе кавитационной области. Эквилиниями на разрезе показано распределение относительной плотности потенциальной энергии в плоскости стационарной кавитационной области. В левой части показан разрез реактора-прототипа также с принадлежащей ему картиной распределения w. Серым тоном выделены площади, где w превышает 1.
Изобретение может быть осуществлено следующим образом.
Поток жидкости, например цельного молока, требуется пропустить, например, при помощи насоса для перекачки пищевых сред сквозь полуволновой кавитационный реактор для обработки жидких сред, изображенный на фиг.4 с целью его бактерицидной обработки и гомогенизации. Для этого внутри кавитационного реактора при помощи излучателя ультразвуковых колебаний 1 в молоке рассеивают акустическую мощность Р с заданным средним значением объемной плотности p из [3 (с. 67, таблица 3.3)], равным 1,5 Вт/см3. Эта мощность рассеивается в обрабатываемой среде, возбуждая в ней кавитацию. Dp может быть установлена по амплитуде колебательного смещения поверхности излучателя max путем, например, установления соответствующей амплитуды тока питания магнитострикционного излучателя, так как Dp и max в случае плоской волны связаны зависимостью [4]:
где – плотность молока;
с – скорость звука в молоке;
f – частота излучателя.
В соответствии с сущностью изобретения необходимо так распределить объемную плотность потенциальной энергии возникающей кавитации по объему реактора, чтобы среднеквадратичное отклонение ее значения в любой точке камеры реактора от среднего значения не превышало бы 0,862 этого среднего значения.
Для этого в кавитационном реакторе, представляющем собой заполненную пропускаемым через нее молоком камеру объема V, ограниченную поверхностью квадратного в плане корпуса 2, отражающей стенки 3, отражающей стенки 4 и излучателя акустической волны 1, расстояние между которыми равно половине длины волны в молоке 0,5 =0,034 м при частоте излучателя 22000 Гц, размеры камеры – длина и ширина корпуса l=b=0,15 м, выбраны из условия (12).
Для выбранных размеров выполнение этого условия выглядит как 0,594<0,743. Формулы для расчета (16)-(18).
При осуществлении способа в реакторе скорость пропускания молока устанавливают, например, при помощи ротаметра, равной:
где topt – оптимальное время обработки из [3 (с.67, таблица 3.3)].
Молоко подается во внутренний объем реактора через диффузор 5 и выходит из него через коллектор 6, вертикальный размер которых на границе внутреннего объема реактора установлен равным четверти длины волны [3], чтобы избежать распространения колебаний за пределами реактора. В реакторе под действием рассеиваемой акустической мощности в молоке на расстоянии четверти длины волны от поверхности излучателя образуется стационарная кавитационная область 7. Потенциальная энергия кавитации осуществляет на молоко воздействие, заключающееся в механическом разрушении клеточных оболочек микробных тел, что приводит к снижению их содержания, и к диспергированию жировой фазы, что повышает гомогенность эмульсии молока.
На разрезе фиг.5 эквилиниями показано распределение относительной плотности потенциальной энергии в плоскости стационарной кавитационной области. Изображения получены путем использования математической модели кавитационного реактора аналогично [3 (с.51-54)].
Картина распределения, расположенная в правой части рисунка, принадлежит реактору, рассчитанному в соответствии с признаками изобретения. В левой части показана картина распределения в реакторе, выбранном прототипом с размерами l=b=0,123 м. Серым тоном выделена площадь, где w превышает 1. Отчетливо видно, что в реакторе, размеры корпуса которого выбраны в соответствии с сущностью изобретения, распределение w обладает значительно меньшим разбросом значений относительно среднего значения. Следовательно, молоко в нем будет обрабатываться равномернее.
Таким образом, вышеизложенные сведения свидетельствуют о возможности осуществления заявленного изобретения с помощью описанных в заявке или известных ранее средств и методов, а также о возможности достижения указанного выше технического результата при воплощении совокупности признаков изобретения.
Источники информации
1. RU 2184145 C2, 01.03.2000.
2. US 4302112, 24.11.1981.
3. Шестаков С.Д. Основы технологии кавитационной дезинтеграции. – М.: ЕВА-пресс, 2001. – 173 с.: ил.
4. Основы физики и техники ультразвука. /Б.А. Агранат, М.Н. Дубровин, Н.Н. Хавский и др. – М.: Высшая школа, 1987. – 352 с.: ил.
6. Заявка RU 2002114596/12, 04.06.2002. Решение о выдаче патента от 03.03.2003.
7. SU 1261700, 11.05.1984.
8. US 3645504, 29.02.1972.
10. Горелик Г.С. Колебания и волны. – М.: Ф-МЛ. – 1959. – 572 с.: ил.
Формула изобретения 1. Способ кавитационной обработки жидких сред, при котором жидкость с заданной скоростью пропускают сквозь кавитационный реактор, где в жидкости рассеивают акустическую мощность с заданным средним значением объемной плотности, которая вызывает возникновение в ней кавитации в виде, как минимум, одной стационарной кавитационной области, отличающийся тем, что объемную плотность потенциальной энергии возникающей кавитации распределяют по объему реактора со среднеквадратичным отклонением от среднего значения не большим, чем 0,862 этого среднего значения. 2. Кавитационный реактор для обработки жидких сред, представляющий собой заполненную обрабатываемой жидкостью камеру, ограниченную поверхностями корпуса, хотя бы одной отражающей стенки и хотя бы одного излучателя акустической волны, отличающийся тем, что размеры корпуса выбраны из условия
где
(квадратными скобками обозначена целая часть числа);
– длина излучаемой акустической волны в обрабатываемой жидкости;
V – объем полуволновой резонансной ячейки, прилегающей к излучателю;
f1 – функция, задающая среднее значение расстояния от любой произвольной точки объема V до видимой из нее части стационарной кавитационной области, возникающей при работе реактора на расстоянии 0,25 от поверхности излучателя;
f2 – функция, задающая среднее значение величины, обратной расстоянию от любой произвольной точки объема V до видимой из нее части стационарной кавитационной области, возникающей при работе реактора на расстоянии 0,25 от поверхности излучателя.
РИСУНКИ
PC4A – Регистрация договора об уступке патента Российской Федерации на изобретение
(73) Патентообладатель(и):
(73) Патентообладатель:
Дата и номер государственной регистрации перехода исключительного права: 27.10.2005 № РД0003523
Извещение опубликовано: 20.12.2005 БИ: 35/2005
|
||||||||||||||||||||||||||

-ная часть мощности Р которого рассеивается за это время в этом объеме, вызывая явление кавитации [3]:
где Е – эрозионный коэффициент – отношение потенциальной энергии кавитации к полной энергии кавитации, выраженное в процентах.
Величина W зависит от амплитуды колебательного смещения в порождающей кавитацию упругой акустической волне, которая в свою очередь определяет амплитуду давления в пучности напряжений волны и зависит от объемной плотности мощности этой волны, то есть в конечном итоге от объема V, в котором происходит процесс.
Как известно, от амплитуды давления р зависит нетривиальный критерий подобия явления кавитации – динамическое число Di, которое служит для количественной оценки абсолютных значений потенциальной энергии.
В описаниях рассмотренных выше способов требования к объему реакторов предъявляются только исходя из расчета количества передаваемой в обрабатываемые среды энергии для обеспечения требуемой производительности процессов, но ничего не сказано о требованиях к объему реактора и соотношениям его размеров исходя из расчета количества выделяемой при этом потенциальной энергии кавитации. Хотя хорошо известно, что в зависимости от р энергия вынуждающего осциллятора, кроме образования поля переменных давлений и, соответственно, деформаций среды, рассеивается также и на возбуждении векторного поля колебательных скоростей частиц среды, трансформируясь в кинетическую энергию кавитации, оцениваемую посредством кинематического числа Ci. Эффекты же, производимые воздействием на среду циклическими деформациями и колебательными смещениями, принципиально неодинаковы по механизму воздействия и различны по результатам.
Поскольку р зависит от V и соотношения размеров этого объема, то результаты воздействия на жидкости описанными способами не будут воспроизводимыми в различных условиях. Так, в реакторах различных объемов, предназначенных для одних и тех же видов обработки жидкостей, результаты обработки могут быть различными, даже если в них будут обеспечены одинаковые уровни передаваемой в жидкость энергии вынуждающего осциллятора.
Наиболее близким способом того же назначения к заявленному изобретению является способ кавитационной обработки цельного молока с целью его бактериолиза и гомогенизации, при котором его пропускают сквозь кавитационный реактор со скоростью, обеспечивающей оптимальное время обработки. Внутри реактора в молоке рассеивают акустическую мощность с заданным средним значением объемной плотности, которая вызывает возникновение стационарных кавитационных областей [3 (с.67-69, таблица 3.3)]. Оптимальные параметры процесса предварительно определены экспериментальным путем с использованием так называемого эталонного реактора с полуволновой резонансной ячейкой [3 (с.61)], в которой вынуждающий осциллятор вызывает возникновение одной стационарной кавитационной области. В данном случае мерой W, кроме Р, служит эрозионный коэффициент, являющийся по определению отношением плотности потенциальной энергии к плотности полной энергии кавитации.
Этот способ принят за прототип.
Причиной, препятствующей достижению указанного ниже технического результата при использовании способа, принятого за прототип, являются следующие обстоятельства.
Полученное в эталонном процессе значение эрозионного коэффициента, которое служит мерой распределения потенциальной энергии, на самом деле является функцией заданного значения объемной плотности мощности и соотношений размеров внутреннего объема реактора, считающегося эталонным. Как известно, эрозионный коэффициент имеет определенного вида функцию распределения по внутреннему объему реактора, параметрами которой являются в том числе размеры и форма этого объема [3].
От вида функции распределения эрозионного коэффициента, а следовательно, и плотности потенциальной энергии кавитации в реакторе будет зависеть, вся ли проходящая через реактор обрабатываемая жидкость получит в равной мере необходимое для выполнения задачи ее обработки количество энергии. Ясно, что, полагаясь только на средние значения параметров процесса и не учитывая их распределение в пространстве реактора, невозможно обеспечить воспроизводимость результатов при использовании способа с реактором, имеющим отличные от эталонного форму и соотношение размеров. Варьируя же размерами внутреннего объема, также невозможно в точности воспроизвести функцию распределения плотности потенциальной энергии кавитации в реакторе с другим объемом, так как кавитационные реакторы не обладают подобием формы [3 (с.87, 88)].
Сущность изобретения в части, касающейся способа, заключается в следующем.
Надежной мерой, характеризующей любую функцию неизвестного вида распределения, является среднеквадратичное отклонение значений функции в исследуемом диапазоне параметров от ее среднего значения. Чем это отклонение меньше, тем равномернее распределение. В данном случае уменьшение значения среднеквадратичного отклонения плотности потенциальной энергии кавитации от среднего по объему реактора обеспечит увеличение равномерности обработки жидкости, что, в свою очередь, обеспечит получение сформулированного ниже технического результата.
Известно, что функция распределения плотности потенциальной энергии кавитации, также зависящая от перечисленных параметров, отлична от функции распределения эрозионного коэффициента. В зависимости от формы и размеров реактора она может иметь несколько экстремумов, которые в пространстве внутреннего объема реактора лежат за пределами размера реактора, определяемого из расчета минимизации воздействия кавитационной энергии на материалы его конструкции [6]. Это облегчает задачу при выборе в качестве оптимизируемого параметра именно распределения плотности потенциальной энергии.
Для использования в качестве меры величины среднеквадратичного отклонения плотности потенциальной энергии кавитации от среднего значения необходим пример для сравнения. В качестве такого примера может быть выбран гипотетический реактор сферической волны со стационарной кавитационной областью в виде сферической же поверхности диаметром, равным половине длины акустической волны
, в находящейся в нем жидкости. Для практического использования такой реактор непригоден из-за сложности его конструктивно-технологического воплощения, однако его параметры могут служить канонической мерой сравнения реакторов других форм, так как он обладает уникальным свойством. Его объем при заданной длине акустической волны является константой по определению
, а кавитационная эрозия элементов его конструкции минимальна, так как во внутреннем объеме реактора отсутствует их контакт с кавитационной областью. Эти свойства позволяют в необходимой и достаточной мере выполнять условия достижения сформулированного ниже технического результата.
Ниже будет показано, что из всех известных видов реакторов (круглого и квадратного в плане реакторов плоской волны, коаксиального реактора цилиндрической волны) [3] при выполнении условия минимизации объема, необходимого для снижения Р и исключения эрозии корпуса, сферический реактор обладает самым низким среднеквадратичным отклонением плотности потенциальной энергии кавитации от среднего значения.
Сравнение проводилось в отношении реакторов с полуволновыми резонансными ячейками, работающими в режиме стоячей волны, то есть для самых неблагоприятных условий, так как известно [3 (с.49, рис.15)], что в реакторе при наличии двух и более кавитационных областей, акустическое поле кавитации не имеет нулевых значений энергии, то есть более равномерно.
При сравнении среднеквадратичных отклонений Sw плотности потенциальной энергии кавитации от среднего
по объему различных реакторов удобно пользоваться неабсолютными значениями W и
, относительным значением, которое вычисляются как
. Такой параметр универсален для всей области предмета изобретения, так как он инвариантен по отношению к остальным параметрам, определяющим числа Di, значения Р, р и константы обрабатываемых жидкостей, задающие
будет равно 1, а соответствующее ему также безразмерное значение относительного среднеквадратичного отклонения sw в каждом конкретном случае будет определяться только соотношением размеров внутреннего пространства реактора.
Следовательно, могут быть найдены такие размеры внутреннего объема реактора, при которых будет минимизирована кавитационная эрозия элементов его конструкции и обеспечено достаточно равномерное (не хуже, чем у сферического реактора) распределение плотности потенциальной энергии кавитации. То есть таким образом может быть обеспечено получение технического результата. Один из размеров внутреннего объема реактора может варьироваться только дискретно. Это характеристический размер резонансной ячейки [3 (с.15)]. Поэтому задача нахождения размеров внутреннего пространства реактора здесь сводится к расчету размеров поперечного сечения ячейки, то есть корпуса реактора.
Обеспечить реализацию описанного выше признака изобретения в части, касающейся способа, невозможно при использовании известных конструкций кавитационных реакторов.
Так, например, вышеописанный аналог способа [2] осуществляется при помощи установки, представляющей собой реактор заданного внутреннего объема, форма которого выполнена с учетом размещения в нем перемешивающего устройства и обеспечения наилучших условий перемешивания. Но перемешивающее устройство не позволяет установить в таком реакторе стоячую акустическую волну, неподвижное в пространстве реактора распределение плотности потенциальной энергии с заданным среднеквадратичным отклонением от неизменного во времени среднего значения.
Поле энергии кавитации в таком реакторе является суперпозицией полей бегущих волн в условиях постоянного изменения направлений их распространения.
Невозможно обеспечить требуемое среднеквадратичное отклонение от среднего значения плотности потенциальной энергии в обрабатываемой жидкости в конструкциях реакторов [7, 8], где жидкость пропускается в узкий зазор между поверхностями, в котором возбуждается кавитация. Кавитация в зазорах и тонких слоях порождается в большей степени не изменением во времени давления в пучности волны, а пространственным градиентом скорости частиц среды и является не акустической, а гидродинамической [9]. Известно, что в этих условиях трансформация энергии колебаний излучающей поверхности в энергию кавитации, а следовательно, и производимое кавитацией воздействие на жидкость менее эффективны. Поэтому здесь невозможно обеспечить требуемое значение р, от которого зависит критерий подобия явления кавитации Di, определяющий величину W. То есть этот параметр, а следовательно, и sw для процессов, осуществляемых такими реакторами, являются неуправляемыми.
Наиболее близким устройством того же назначения к заявленному изобретению является кавитационный реактор для обработки жидких сред, представляющий собой камеру, объем которой ограничен поверхностью корпуса, хотя бы одной отражающей стенки и хотя бы одного излучателя акустической волны, и заполнено обрабатываемой средой, который принят за прототип [6].
Существует следующая причина, препятствующая достижению указанного ниже технического результата, при использовании этого принятого за прототип кавитационного реактора.
В его описании сказано, что поле кавитационных областей со стабильной пространственной конфигурацией неоднородно. Оно имеет зоны с экстремальными (максимальными и нулевыми) значениями плотности потенциальной энергии, диссипация которой является причиной кавитационной эрозии. Расположение этих зон в пространстве зависит от формы и размеров кавитационных областей. В кавитационных реакторах с отражающими стенками кавитационные области ограничены периметром корпуса.
Таким образом, задавая минимальный размер корпуса реактора по нормали к его границе, можно добиться того, что эрозионное воздействие на корпус будет сведено к нулю либо минимизировано.
Однако, поскольку минимальный размер обеспечивает положение первого минимума плотности потенциальной энергии на стенке корпуса, то тем самым он задает наихудшие условия в смысле величины среднеквадратичного отклонения w от
.
Это можно показать следующим путем.
Сферический кавитационный реактор вообще не содержит корпуса по определению. Среднеквадратичное отклонение w от 1 у сферического реактора со стационарной кавитационной областью в виде сферической поверхности диаметром равным половине длины акустической волны
где W – функция распределения объемной плотности потенциальной энергии кавитации в сферическом реакторе от r [0, 1] – радиуса реактора, которая, в свою очередь, в соответствии с моделью кавитационного реактора при условии, что не один из линейных размеров реактора не превышает
где
– адиабатическая сжимаемость обрабатываемой жидкой среды;
N – число кавитационных полостей в кавитационной области;
P0 – давление покоя на поверхности кавитационной полости;
R0 – радиус покоя среднестатистической кавитационной полости;
f1 – функция, задающая отношение среднего расстояния от любой произвольной точки внутреннего сферического пространства камеры реактора до сферической стационарной кавитационной области к 2r=
0,5 имеют вид:
а при r<0,5:

Вычитаемое из 1 в правой части выражения (2) есть не что иное, как относительная плотность потенциальной энергии w, поэтому выражение (2) можно записать проще как:
Константы состояния жидкости и критерии подобия явления кавитации
а значение среднеквадратичного отклонения плотности потенциальной энергии от ее среднего по объему реактора значения соответственно:
Чтобы сделать выражение (8) инвариантным по отношению к константам обрабатываемой жидкости и параметрам акустической волны в принятых выше относительных единицах, можно записать:
Тогда в сравнении со сферическим реактором, у которого дисперсия
, условие обеспечения равномерности распределения относительной плотности потенциальной энергии, возведя в квадрат и поменяв местами обе части уравнения (9), подставив вместо sw значение среднеквадратичного отклонения w от 1 сферического реактора и заменив знак равенства на
, можно записать как:
Вид функции w определяется из известной математической модели кавитационного реактора.
В полуволновом кавитационном реакторе стоячей волны, то есть когда отсутствует кавитационная область на поверхности излучателя, а расстояние между стенками корпуса может превышать длину волны, w выражается путем соответствующего преобразования формул 2.16; 2.58; 2.61 и 2.67 из [3]:
где
(квадратными скобками обозначена целая часть числа);
где
(квадратными скобками обозначена целая часть числа);
где
где
Координатная система в реакторе имеет начало в центре объема реактора, ось y направлена перпендикулярно отражающей стенке R и поверхности излучателя Е, а ось x находится в диаметральной плоскости (фиг.1). Видимой из произвольной точки внутреннего объема реактора, например точки А, частью стационарной кавитационной области, возникающей при работе реактора на расстоянии 0,25
Корпус здесь, кроме высоты, равной 0,5
где
f1=g1+g2+g3+g4+g5;
где
f1=g1+g2+g3+g4;
Координатная система в реакторе имеет начало в центре объема реактора, ось у направлена перпендикулярно отражающей стенке R и поверхности излучателя Е, ось x параллельна ширине корпуса b, а ось z – длине l (фиг.2).
Видимой из произвольной точки внутреннего объема реактора, например точки А, частью стационарной кавитационной области, возникающей при работе реактора на расстоянии 0,25
Корпус здесь, кроме высоты, равной 0,5
) с 0,123 до 0,170 м, а также увеличить Р пропорционально соответствующему увеличению объема, то можно обеспечить лучшие условия равномерности обработки среды. Производительность обработки при этом здесь также увеличится пропорционально увеличению объема.
Пример 3. В случае коаксиального реактора, возбуждаемого цилиндрической волной от излучателя в виде цилиндра радиусом r и длиной l, расстояние от поверхности которого до отражающей цилиндрической же стенки равно 0,5
где
где
Координатная система в реакторе имеет начало в центре цилиндрического излучателя, ось у направлена перпендикулярно отражающей стенке R и поверхности излучателя Е, ось x совпадает с диаметром излучателя и отражающей стенки, а ось z направлена по длине l (фиг.3). Видимой из произвольной точки внутреннего объема реактора, например точки А, частью стационарной кавитационной области, возникающей при работе реактора на расстоянии 0,25
Корпус этого реактора, состоящий из двух стенок в форме колец, характеризуется двумя размерами – длиной l и радиусом r излучателя – внутренним радиусом колец. Наружный радиус колец равен r+0,5
(r+0,5
) с 0,015 м до 0,0325 м, уменьшив длину реактора с 0,096 м до 0,0625 м, то есть, изменив не объем, а лишь пространственную форму этого объема, можно обеспечить лучшие условия равномерности обработки среды. Производительность обработки при этом останется неизменной.
Таким образом, сравнение заявленного способа и кавитационного реактора для его осуществления с прототипами, являющимися наиболее близкими аналогами из технических решений, характеризующих известный заявителю уровень техники в области предмета изобретения, показывает, что заявленный способ и кавитационный реактор обладают существенными по отношению к указанному техническому результату отличительными признаками.
При анализе отличительных признаков описываемого способа обработки жидких сред энергией кавитации и кавитационного реактора для его осуществления не выявлено каких-либо известных аналогичных решений, касающихся установления требований к размерам корпуса реактора в связи с их влиянием на вид функции распределения по объему плотности потенциальной энергии кавитации с целью получения равномерного воздействия энергии кавитации на обрабатываемую среду.
На фиг.1 схематично показан внутренний объем круглого в плане кавитационного реактора плоской волны с радиусом r, для которого выполнен пример 1 расчета. Литерой S обозначена видимая из произвольной точки А поверхность стационарной кавитационной области, возникающей при работе реактора на расстоянии 0,25
max путем, например, установления соответствующей амплитуды тока питания магнитострикционного излучателя, так как Dp и
где
– плотность молока;
с – скорость звука в молоке;
f – частота излучателя.
В соответствии с сущностью изобретения необходимо так распределить объемную плотность потенциальной энергии возникающей кавитации по объему реактора, чтобы среднеквадратичное отклонение ее значения в любой точке камеры реактора от среднего значения не превышало бы 0,862 этого среднего значения.
Для этого в кавитационном реакторе, представляющем собой заполненную пропускаемым через нее молоком камеру объема V, ограниченную поверхностью квадратного в плане корпуса 2, отражающей стенки 3, отражающей стенки 4 и излучателя акустической волны 1, расстояние между которыми равно половине длины волны в молоке 0,5
где topt – оптимальное время обработки из [3 (с.67, таблица 3.3)].
Молоко подается во внутренний объем реактора через диффузор 5 и выходит из него через коллектор 6, вертикальный размер которых на границе внутреннего объема реактора установлен равным четверти длины волны [3], чтобы избежать распространения колебаний за пределами реактора. В реакторе под действием рассеиваемой акустической мощности в молоке на расстоянии четверти длины волны от поверхности излучателя образуется стационарная кавитационная область 7. Потенциальная энергия кавитации осуществляет на молоко воздействие, заключающееся в механическом разрушении клеточных оболочек микробных тел, что приводит к снижению их содержания, и к диспергированию жировой фазы, что повышает гомогенность эмульсии молока.
На разрезе фиг.5 эквилиниями показано распределение относительной плотности потенциальной энергии в плоскости стационарной кавитационной области. Изображения получены путем использования математической модели кавитационного реактора аналогично [3 (с.51-54)].
Картина распределения, расположенная в правой части рисунка, принадлежит реактору, рассчитанному в соответствии с признаками изобретения. В левой части показана картина распределения в реакторе, выбранном прототипом с размерами l=b=0,123 м. Серым тоном выделена площадь, где w превышает 1. Отчетливо видно, что в реакторе, размеры корпуса которого выбраны в соответствии с сущностью изобретения, распределение w обладает значительно меньшим разбросом значений относительно среднего значения. Следовательно, молоко в нем будет обрабатываться равномернее.
Таким образом, вышеизложенные сведения свидетельствуют о возможности осуществления заявленного изобретения с помощью описанных в заявке или известных ранее средств и методов, а также о возможности достижения указанного выше технического результата при воплощении совокупности признаков изобретения.
Источники информации
1. RU 2184145 C2, 01.03.2000.
2. US 4302112, 24.11.1981.
3. Шестаков С.Д. Основы технологии кавитационной дезинтеграции. – М.: ЕВА-пресс, 2001. – 173 с.: ил.
4. Основы физики и техники ультразвука. /Б.А. Агранат, М.Н. Дубровин, Н.Н. Хавский и др. – М.: Высшая школа, 1987. – 352 с.: ил.
6. Заявка RU 2002114596/12, 04.06.2002. Решение о выдаче патента от 03.03.2003.
7. SU 1261700, 11.05.1984.
8. US 3645504, 29.02.1972.
10. Горелик Г.С. Колебания и волны. – М.: Ф-МЛ. – 1959. – 572 с.: ил.
где
(квадратными скобками обозначена целая часть числа);