Патент на изобретение №2227750
|
||||||||||||||||||||||||||
(54) КОМПОЗИЦИЯ ДЛЯ ПРЕДОТВРАЩЕНИЯ И ЛЕЧЕНИЯ ВИЧ-1 ИНФЕКЦИИ, ЕЕ ПРИМЕНЕНИЕ
(57) Реферат: Изобретение относится к области медицины и фармацевтики и касается композиции для предотвращения и лечения ВИЧ-1 инфекции, включающей ингибитор обратной транскриптазы (ОТ)ВИЧ-1, представляющий собой гетероциклилкарб(окс/тио)анилид, второй ингибитор ОТ ВИЧ-1, который не выбирает тот же самый ВИЧ-1 мутантный штамм или штаммы, выбираемые первым соединением-ингибитором ОТ ВИЧ-1. Изобретение позволяет подавлять возникновение вирусной устойчивости. 15 з.п.ф-лы, 6 табл. Текст описания в факсимильном виде (см. графическую часть). Формула изобретения 1. Композиция для предотвращения или лечения ВИЧ-1 инфекций, которая включает терапевтически эффективное количество а) первого соединения-ингибитора ОТ ВИЧ-1 формулы
где Х1 является О или S;
X2 является S;
Q представляет
или COYR5,
Y представляет О или S;
R1 представляет галоген;
R2 представляет водород, С1-С4алкил;
R3 представляет водород;
R4 представляет С3-С6алкил;
R5 представляет С3-С7циклоалкил или
где R6 представляет водород или линейный или разветвленный C1-С6алкил;
R7 и R8 являются водородом;
b) второго ненуклеозидного соединения-ингибитора ОТ ВИЧ-1, которое не выбирает тот же самый ВИЧ-1 мутантный штамм или штаммы, выбираемые первым соединением-ингибитором ОТ ВИЧ-1 а);
где массовое соотношение первого соединения-ингибитора ОТ ВИЧ-1 и второго соединения-ингибитора ОТ ВИЧ-1 составляет от 100:1 до 1:100.
2. Композиция по п.1, в которой X1 является О и X2 является S.
3. Композиция по п.1, в которой Q представляет COYR3.
4. Композиция по п.3, в которой Y является О.
5. Композиция по п.1, в которой R2 является водородом, метилом или этилом.
6. Композиция по п.1, в которой R6 представляет линейный или разветвленный С3-С6алкил.
7. Композиция по п.1, в которой вторым ингибитором ОТ ВИЧ-1 b) является TSAO соединение формулы
где В представляет
i) пиримидин формулы
где Х2 представляет водород, С1-С4алкил, С2-С4алкенил, С2-С4алкинил, галоген, циано, тиоциано, гидроксиметил, С1-С2галогеналкил, нитро или амино;
X3 представляет водород, С1-С4алкил, С2-С4алкенил или С2-С4алкинил;
X4 представляет ОН, SH, NH2, NHCH3, N(CH3)2 или NHCOCH3;
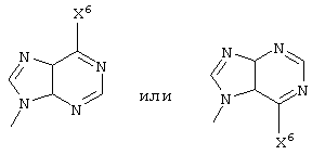
ii) пурин формулы
или пурин формулы
где Х5 представляет Н или С1-С4алкил;
X6 представляет Н, ОН, галоген, NH2, NНСН3 или N(СН3)2;
или iii) триазол формулы
где Х7 и Х8 являются каждый независимо водородом, С1-С4алкилом, С1-С4галогеналкилом, триметилсилилом, ацетилом, C1-С6алкоксикарбонилом, C1-С6алкилкарбонилом, CONH2, CONHCH3, СОN((СН3)2, NH2, NHCH3 или N(CH3)2;
R1’ представляет амино, С1-С4аминоалкил, С2-С4аминоалкенил или С2-С4аминоалкинил;
R2’ и R3’ представляют каждый независимо силил, тризамещенный одинаковыми или различными фенилом или линейным или разветвленным С1-С4алкилом.
8. Композиция по п.7, в которой В представляет
i) пиримидин формулы
где X2 представляет водород или С1-С4алкил;
X3 представляет водород или С1-С4алкил;
X4 представляет NH2, NHCH3 или N(СН3)2;
ii) пурин формулы
где X5 представляет С1-С4алкил;
или iii) триазол формулы
где X7 и X8 являются каждый независимо водородом, С1-С4алкилом, С1-С4галогеналкилом, триметилсилилом, ацетилом, C1-С6алкоксикарбонилом, C1-С6алкилкарбонилом, CONH2, СОNНСН3, СON(СН3)2, NH2, NHCH3 или N(CH3)2.
9. Композиция по п.8, в которой В представляет
i) пиримидин формулы
где Х2 представляет водород или С1-С4алкил;
X3 представляет водород или С1-С4алкил;
ii) пурин формулы
где X5 представляет С1-С4алкил; или
iii) триазол формулы
где X7 и X8 являются каждый независимо NH2, NНСН3 или N(CH3)2.
10. Композиция по п.7, в которой R1’ является амино или С1-С4аминоалкилом.
11. Композиция по любому из пп.1-10, которая дополнительно включает третье соединение-ингибитор ОТ ВИЧ, которое не выбирает тот же самый ВИЧ-1 мутантный штамм или штаммы, как первое соединение-ингибитор ОТ ВИЧ-1 или второе соединение-ингибитор ОТ ВИЧ-1.
12. Композиция по п.11, в которой третьим соединением-ингибитором ОТ ВИЧ является третье соединение-ингибитор ОТ ВИЧ-1, которое не выбирает тот же самый ВИЧ-1 мутантный штамм или штаммы, как первое соединение-ингибитор ОТ ВИЧ-1 или второе соединение-ингибитор ОТ ВИЧ-1.
13. Композиция по любому из пп.11 и 12, в которой третьим соединением-ингибитором ОТ ВИЧ является ингибитор ОТ ВИЧ, который не различает ОТ ВИЧ-1 и ВИЧ-2.
14. Композиция по п.11, которая включает
а) первое соединение-ингибитор ОТ ВИЧ-1 формулы
где Q представляет -CR3=NOR4 или COYR5;
Y представляет О;
R1 представляет галоген;
R2 представляет водород или С1-С4алкил;
R3 представляет водород;
R4 представляет С3-С6алкил;
R5 представляет С3-С7циклоалкил или
где R6 представляет линейный или разветвленный С1-С6алкил;
R7 и R8 являются водородом;
b) второе соединение-ингибитор ОТ ВИЧ-1 формулы
где В представляет
i) пиримидин формулы
где X2 представляет водород или С1-С4алкил;
X3 представляет водород или С1-С4алкил;
X4 представляет NH2, NНСН3 или N(CH3)2;
ii) пурин формулы
где Х5 представляет С1-С4алкил; или
iii) триазол формулы
где Х7 и Х8 являются каждый независимо водородом, С1-С4алкилом, С1-С4галогеналкилом, триметилсилилом, ацетилом, С1-С6алкоксикарбонилом, С1-С6алкилкарбонилом, CONH2, СОNНСН3, СОN(СН3)2, NH2, NHCH3 или N(СН3)2;
R1’ представляет амино или С1-С4аминоалкил;
R2’ и R3’ представляют каждый независимо силил, тризамещенный одинаковыми или различными фенилом или линейным или разветвленным С1-С4алкилом;
с) необязательно третье соединение-ингибитор ОТ ВИЧ, которое не выбирает тот же самый ВИЧ-1 мутантный штамм или штаммы, выбираемые либо первым соединением-ингибитором ОТ ВИЧ-1 а) или вторым соединением-ингибитором ОТ ВИЧ-1 b).
15. Композиция по п.11, которая включает
а) первое соединение-ингибитор ОТ ВИЧ-1 формулы
где R2 представляет водород, метил или этил;
R5 представляет С3-С7циклоалкил или
где R6 представляет водород или линейный разветвленный С3-С6алкил;
R7 и R8 являются водородом;
b) второе соединение-ингибитор ОТ ВИЧ-1 формулы
где В представляет
i) пиримидин формулы
где X2 представляет водород или С1-С4алкил;
X3 представляет водород или С1-С4алкил;
ii) пурин формулы
где X5 представляет С1-С4алкил; или
iii) триазол формулы
где Х7 и Х8 являются каждый независимо NH2, NHCH3, или N(СН3)2;
R1’ представляет амино или С1-С4аминоалкил;
R2’ и R3’ представляют каждый независимо силил, тризамещенный одинаковыми или различными фенилом или линейным или разветвленным С1-С4алкилом;
с) необязательно третье соединение-ингибитор ОТ ВИЧ, которое не выбирает тот же самый ВИЧ-1 мутантный штамм или штаммы, выбираемые либо первым соединением-ингибитором ОТ ВИЧ-1 а) или вторым соединением-ингибитором ОТ ВИЧ-1 b).
16. Композиция по любому из пп.1-15 в качестве активного агента для лечения HIV-1 инфекций.
РИСУНКИ
|
||||||||||||||||||||||||||

где Х1 является О или S;
X2 является S;
Q представляет
или COYR5,
Y представляет О или S;
R1 представляет галоген;
R2 представляет водород, С1-С4алкил;
R3 представляет водород;
R4 представляет С3-С6алкил;
R5 представляет С3-С7циклоалкил или
где R6 представляет водород или линейный или разветвленный C1-С6алкил;
R7 и R8 являются водородом;
b) второго ненуклеозидного соединения-ингибитора ОТ ВИЧ-1, которое не выбирает тот же самый ВИЧ-1 мутантный штамм или штаммы, выбираемые первым соединением-ингибитором ОТ ВИЧ-1 а);
где массовое соотношение первого соединения-ингибитора ОТ ВИЧ-1 и второго соединения-ингибитора ОТ ВИЧ-1 составляет от 100:1 до 1:100.
2. Композиция по п.1, в которой X1 является О и X2 является S.
3. Композиция по п.1, в которой Q представляет COYR3.
4. Композиция по п.3, в которой Y является О.
5. Композиция по п.1, в которой R2 является водородом, метилом или этилом.
6. Композиция по п.1, в которой R6 представляет линейный или разветвленный С3-С6алкил.
7. Композиция по п.1, в которой вторым ингибитором ОТ ВИЧ-1 b) является TSAO соединение формулы
где В представляет
i) пиримидин формулы
где Х2 представляет водород, С1-С4алкил, С2-С4алкенил, С2-С4алкинил, галоген, циано, тиоциано, гидроксиметил, С1-С2галогеналкил, нитро или амино;
X3 представляет водород, С1-С4алкил, С2-С4алкенил или С2-С4алкинил;
X4 представляет ОН, SH, NH2, NHCH3, N(CH3)2 или NHCOCH3;
ii) пурин формулы
или пурин формулы
где Х5 представляет Н или С1-С4алкил;
X6 представляет Н, ОН, галоген, NH2, NНСН3 или N(СН3)2;
или iii) триазол формулы
где Х7 и Х8 являются каждый независимо водородом, С1-С4алкилом, С1-С4галогеналкилом, триметилсилилом, ацетилом, C1-С6алкоксикарбонилом, C1-С6алкилкарбонилом, CONH2, CONHCH3, СОN((СН3)2, NH2, NHCH3 или N(CH3)2;
R1’ представляет амино, С1-С4аминоалкил, С2-С4аминоалкенил или С2-С4аминоалкинил;
R2’ и R3’ представляют каждый независимо силил, тризамещенный одинаковыми или различными фенилом или линейным или разветвленным С1-С4алкилом.
8. Композиция по п.7, в которой В представляет
i) пиримидин формулы
где X2 представляет водород или С1-С4алкил;
X3 представляет водород или С1-С4алкил;
X4 представляет NH2, NHCH3 или N(СН3)2;
ii) пурин формулы
где X5 представляет С1-С4алкил;
или iii) триазол формулы
где X7 и X8 являются каждый независимо водородом, С1-С4алкилом, С1-С4галогеналкилом, триметилсилилом, ацетилом, C1-С6алкоксикарбонилом, C1-С6алкилкарбонилом, CONH2, СОNНСН3, СON(СН3)2, NH2, NHCH3 или N(CH3)2.
9. Композиция по п.8, в которой В представляет
i) пиримидин формулы
где Х2 представляет водород или С1-С4алкил;
X3 представляет водород или С1-С4алкил;
ii) пурин формулы
где X5 представляет С1-С4алкил; или
iii) триазол формулы
где X7 и X8 являются каждый независимо NH2, NНСН3 или N(CH3)2.
10. Композиция по п.7, в которой R1’ является амино или С1-С4аминоалкилом.
11. Композиция по любому из пп.1-10, которая дополнительно включает третье соединение-ингибитор ОТ ВИЧ, которое не выбирает тот же самый ВИЧ-1 мутантный штамм или штаммы, как первое соединение-ингибитор ОТ ВИЧ-1 или второе соединение-ингибитор ОТ ВИЧ-1.
12. Композиция по п.11, в которой третьим соединением-ингибитором ОТ ВИЧ является третье соединение-ингибитор ОТ ВИЧ-1, которое не выбирает тот же самый ВИЧ-1 мутантный штамм или штаммы, как первое соединение-ингибитор ОТ ВИЧ-1 или второе соединение-ингибитор ОТ ВИЧ-1.
13. Композиция по любому из пп.11 и 12, в которой третьим соединением-ингибитором ОТ ВИЧ является ингибитор ОТ ВИЧ, который не различает ОТ ВИЧ-1 и ВИЧ-2.
14. Композиция по п.11, которая включает
а) первое соединение-ингибитор ОТ ВИЧ-1 формулы
где Q представляет -CR3=NOR4 или COYR5;
Y представляет О;
R1 представляет галоген;
R2 представляет водород или С1-С4алкил;
R3 представляет водород;
R4 представляет С3-С6алкил;
R5 представляет С3-С7циклоалкил или
где R6 представляет линейный или разветвленный С1-С6алкил;
R7 и R8 являются водородом;
b) второе соединение-ингибитор ОТ ВИЧ-1 формулы
где В представляет
i) пиримидин формулы
где X2 представляет водород или С1-С4алкил;
X3 представляет водород или С1-С4алкил;
X4 представляет NH2, NНСН3 или N(CH3)2;
ii) пурин формулы
где Х5 представляет С1-С4алкил; или
iii) триазол формулы
где Х7 и Х8 являются каждый независимо водородом, С1-С4алкилом, С1-С4галогеналкилом, триметилсилилом, ацетилом, С1-С6алкоксикарбонилом, С1-С6алкилкарбонилом, CONH2, СОNНСН3, СОN(СН3)2, NH2, NHCH3 или N(СН3)2;
R1’ представляет амино или С1-С4аминоалкил;
R2’ и R3’ представляют каждый независимо силил, тризамещенный одинаковыми или различными фенилом или линейным или разветвленным С1-С4алкилом;
с) необязательно третье соединение-ингибитор ОТ ВИЧ, которое не выбирает тот же самый ВИЧ-1 мутантный штамм или штаммы, выбираемые либо первым соединением-ингибитором ОТ ВИЧ-1 а) или вторым соединением-ингибитором ОТ ВИЧ-1 b).
15. Композиция по п.11, которая включает
а) первое соединение-ингибитор ОТ ВИЧ-1 формулы
где R2 представляет водород, метил или этил;
R5 представляет С3-С7циклоалкил или
где R6 представляет водород или линейный разветвленный С3-С6алкил;
R7 и R8 являются водородом;
b) второе соединение-ингибитор ОТ ВИЧ-1 формулы
где В представляет
i) пиримидин формулы
где X2 представляет водород или С1-С4алкил;
X3 представляет водород или С1-С4алкил;
ii) пурин формулы
где X5 представляет С1-С4алкил; или
iii) триазол формулы
где Х7 и Х8 являются каждый независимо NH2, NHCH3, или N(СН3)2;
R1’ представляет амино или С1-С4аминоалкил;
R2’ и R3’ представляют каждый независимо силил, тризамещенный одинаковыми или различными фенилом или линейным или разветвленным С1-С4алкилом;
с) необязательно третье соединение-ингибитор ОТ ВИЧ, которое не выбирает тот же самый ВИЧ-1 мутантный штамм или штаммы, выбираемые либо первым соединением-ингибитором ОТ ВИЧ-1 а) или вторым соединением-ингибитором ОТ ВИЧ-1 b).
16. Композиция по любому из пп.1-15 в качестве активного агента для лечения HIV-1 инфекций.