Патент на изобретение №2226696
|
||||||||||||||||||||||||||
(54) СПОСОБ ОПРЕДЕЛЕНИЯ ПЕРИОДА МНОГОЧАСТОТНОГО СИГНАЛА, ПРЕДСТАВЛЕННОГО В ЦИФРОВОЙ ФОРМЕ
(57) Реферат: Изобретение может быть использовано в электроэнергетических системах, телефонии, системах телеуправления и телесигнализации. В данном способе запоминают начальный подмассив размером b, представляющий собой первые несколько отсчётов рассматриваемого сигнала, и сравниваемый подмассив такого же размера, сдвинутый относительно начального подмассива на интервал времени, принадлежащий ожидаемой области нахождения искомой величины периода. Размер сравниваемых подмассивов выбирают в зависимости от уровня возможных помех. Между указанными подмассивами определяют арифметическое отклонение и путём перебора всех возможных сравниваемых подмассивов в ожидаемой области нахождения искомой величины периода и их сравнения с начальным подмассивом образуют массив сумм оценок, из которого выбирают минимальное значение, приходящееся на искомую величину периода. Способ позволяет быстро обрабатывать многочастотные сигналы произвольного спектрального состава с высоким уровнем помех в режиме реального времени и не требует большого числа ячеек памяти. 2 табл., 3 ил. Изобретение относится к электротехнике, в частности к релейной защите и противоаварийной автоматике электроэнергетических систем, а также может быть использовано в системах телефонии, телеуправления и телесигнализации. Тс по результатам сравнения трёх интегралов:
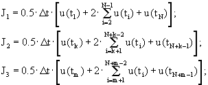
m>k>1,
где t – период дискретизации сигнала;
u(t1), u(t2), u(tm) – первый, k-й и m-й цифровой отсчёт рассматриваемого сигнала соответственно;
N – размер массива цифровых отсчётов рассматриваемого сигнала;
tN – время, приходящееся на N–й цифровой отсчёт рассматриваемого сигнала;
k, m – целые числа.
Путём перебора параметров k u m определяют минимальное значение Д от сравнения указанных интегралов:
Минимальному значению А соответствует искомое значение периода сложного многочастотного сигнала Тc= t Nmin, где Nmin – номер отсчёта, соответствующий минимальному значению .
Недостатками известного способа являются большие вычислительные затраты, связанные с вычислением интегралов.
Известен способ определения периода многочастотного сигнала, представленного в цифровой форме (Шутова И.А. Алгоритмы и программы обработки ваттметрической информации для технического диагностирования скважинных штанговых насосных установок: Автореферат диссертации на соискание учёной степени канд. тех. наук: 05.13.11. Томск, 1992. 18 с.: ил. В надзаг.: Томский политехнический университет. Библиогр.: с. 17-18(13назв.) АР92-11105 МФ-93/кн. ГРНТИ 52.47.19), выбранный в качестве прототипа, заключающийся в том, что определяют размер сравниваемых подмассивов
где N – длина реализации рассматриваемого сигнала.
Далее определяют границы ожидаемой области нахождения искомой величины периода:
где nmin и nmах – минимальная и максимальная граница ожидаемой области нахождения величины периода;
Тс0 – ожидаемая величина периода.
Запоминают первые b отсчётов входного сигнала U(ti), образуя тем самым начальный подмассив U(tm), где m [0; b] параметр изменения номера отсчёта. Начиная с момента времени, соответствующего nmin, запоминают текущие значения отсчётов входного сигнала U(ti), образуя тем самым сравниваемый подмассив U(tm+j) размера b, сдвинутый относительно начального подмассива на интервал времени j [nmin; nmax]. Сравнивают отсчёты начального и сравниваемых подмассивов, суммируют результаты сравнения. Путём перебора всех возможных значений сравниваемых подмассивов в ожидаемой области нахождения величины периода ТC образуют массив сумм квадратичных оценок Dj:
где U(tm) – m-й отсчёт начального подмассива рассматриваемого сигнала;
U(tm+j) – m-й отсчёт сравниваемого подмассива рассматриваемого сигнала;
j [nmin, nmax] – параметр сдвига сравниваемого подмассива.
В соответствии с интервалом времени, который приходится на Dmin, выдают искомую величину Тc.
Недостатками известного способа являются большие вычислительные затраты, связанные с вычислением оптимальной суммы квадратичных оценок при большой длине наблюдаемой реализации рассматриваемого сигнала.
Задачей предлагаемого изобретения является упрощение способа определения периода многочастотного сигнала, представленного в цифровой форме.
Поставленная задача достигается тем, что в способе определения периода многочастотного сигнала, представленного в цифровой форме, как и в прототипе, сначала определяют размер сравниваемых подмассивов b. Далее определяют границы ожидаемой области нахождения искомой величины периода, запоминают начальный подмассив, представляющий собой первые несколько отсчётов рассматриваемого сигнала, размером b и сравниваемый подмассив такого же размера, сдвинутый относительно начального подмассива на интервал времени, принадлежащий ожидаемой области нахождения искомой величины периода. Между указанными подмассивами определяют отклонение и путём перебора всех возможных сравниваемых подмассивов в ожидаемой области нахождения искомой величины периода Тc и их сравнения с начальным подмассивом образуют массив сумм оценок, из которого выбирают минимальное значение, приходящееся на искомую величину периода Тc.
Согласно изобретению, в отличие от прототипа, при определении периода Тс многочастотного сигнала, представленного в цифровой форме, размер сравниваемых подмассивов выбирают в зависимости от уровня возможных помех. Границы ожидаемой области нахождения искомой величины периода определяют как
nmin=Tc0–b;
nmax=Tc0+b,
где nmin и nmax – минимальная и максимальная граница ожидаемой области нахождения величины периода;
Тc0 – ожидаемая величина периода, между начальным и сравниваемыми подмассивами определяют арифметическое отклонение.
Путём перебора всех возможных сравниваемых подмассивов в ожидаемой области нахождения искомой величины периода Тc образуют массив сумм арифметических оценок, из которого выбирают минимальное значение, приходящееся на искомую величину периода Тc.
За счёт того, что используется арифметическая оценка периода анализируемого сигнала, упрощается процесс вычислений и требуется меньшее количество ячеек памяти. При этом временные затраты, необходимые для вычислений, снижаются в 1,5 раза.
Предлагаемый способ определения периода многочастотного сигнала, представленного в цифровой форме, обладает рядом преимуществ, которые выражаются в том, что упрощается процесс определения оптимальной оценки периода рассматриваемого сигнала и при этом требуется меньшее количество ячеек памяти.
На фиг.1 изображена структурная схема реализации предлагаемого способа определения периода многочастотного сигнала, представленного в цифровой форме.
На фиг.2 изображена зависимость сумм арифметических оценок от времени.
На фиг.3 изображена область минимума массива сумм арифметических оценок, приходящегося на период рассматриваемого сигнала.
В таблице 1 приведены значения сигнала U(ti), взятые через период Тc.
В таблице 2 приведены рекомендуемые значения размера сравниваемых массивов в зависимости от максимального уровня шумов и максимальной погрешности определения величины Тc.
Способ определения периода многочастотного сигнала, представленного в цифровой форме, реализован с помощью структурной схемы (фиг.1), содержащей запоминающие устройства 1 и 2 (ЗУ1 и ЗУ2 соответственно), на входы которых подаётся сигнал U(ti) в цифровой форме, устройство вычитания 3 (УВ), входы которого соединены с выходами запоминающих устройств 1 и 2, устройство суммирования 4 (УС), вход которого соединён с выходом устройства вычитания 3, устройство минимизации суммы арифметических оценок 5 (УМ), вход которого соединён с выходом устройства суммирования 4, а выход с входом устройства вывода информации 6 (У Выв).
Запоминающие устройства 1 и 2 (ЗУ1 и ЗУ2) могут быть реализованы на основе оперативного запоминающего устройства микроконтроллера серии AT89S8252, AT89S4D12 или аналогичной серии. Устройство вычитания 3 (УВ), устройство суммирования 4 (УС), устройство минимизации суммы арифметических оценок 5 (УМ) и устройство вывода информации 6 (У Выв) могут быть реализованы на микроконтроллере серии AT89S8252, AT89S4D12 или аналогичной серии.
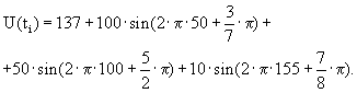
На входы запоминающих устройств 1 и 2 (ЗУ1 и ЗУ2) был подан следующий тестовый сигнал:
Истинный период данного сигнала составляет Тc=0,2 с, что можно наблюдать по данным из таблицы 1. В данной таблице приведены k отсчётов рассматриваемого сигнала, взятых относительно первого отсчёта (U(tk)) и через период этого сигнала (U(tk+Tc))
Сначала выбирают параметр b в зависимости от максимального уровня помех. В таблице 2 приведены рекомендуемые данные, полученные экспериментальным путём, по выбору параметра b в зависимости от максимального уровня шумов Rmax. При проведении экспериментов использовался центрированный белый шум. В данной таблице приведена также погрешность max определения величины Тc в зависимости от параметров Rmax и b.
Далее определяют границы ожидаемой Тс0–области нахождения искомой величины периода:
nmin= Тс0 – b;
nmах=Тc0+b,
где nmin и nmax – минимальная и максимальная граница ожидаемой области нахождения величины периода;
Тс0 – ожидаемая величина периода.
Для сигнала U(ti) с Тс0=0,2 с при b=50 и t=10-4 секунд получим nmin=1950 и nmax=2050.
С помощью запоминающего устройства 1 (ЗУ1) запоминают первые b отсчётов входного сигнала U(ti), образуя тем самым начальный подмассив U(tm), где m [0; b] – параметр изменения номера отсчёта. Начиная с момента времени, соответствующего nmin, с помощью запоминающего устройства 2 (ЗУ2) запоминают текущие значения отсчётов входного сигнала U(ti), образуя тем самым сравниваемый подмассив U(tm+j) размера b, сдвинутый относительно начального подмассива на интервал времени j [nmin; nmax]. С помощью устройства вычитания 3 (УВ) сравнивают отсчёты начального и сравниваемых подмассивов без учёта знака разности сравнения, что равносильно вычислению модуля разности. С помощью устройства суммирования 4 (УС) суммируют результаты сравнения. Путём перебора всех возможных значений сравниваемых подмассивов в ожидаемой области нахождения величины периода Тc образуют массив сумм арифметических оценок Dj:
На фиг. 2 приведён график изменения массива Dj в зависимости от текущего времени. С помощью устройства минимизации сумм арифметических оценок 5 (УМ) определяют минимальное значение массива сумм арифметических оценок Dmin. На фиг.3 ясно видно, что минимум Dmin массива Dj приходится на искомую величину истинного периода рассматриваемого сигнала. Устройство вывода информации 6 (У Выв) в соответствие с интервалом времени, который приходится на Dmin, выдаёт искомую величину Тc, которая для рассматриваемого сигнала U(ti) составила 0,2 секунды.
Таким образом, предлагаемый способ определения периода сложного сигнала, представленного в цифровой форме, при использовании арифметической оценки требует меньше вычислительных затрат и обладает большей скоростью вычислений.
Формула изобретения Способ определения периода многочастотного сигнала, представленного в цифровой форме, заключающийся в том, что определяют размер сравниваемых подмассивов b, определяют границы ожидаемой области нахождения искомой величины периода, запоминают начальный подмассив, представляющий собой первые несколько отсчётов рассматриваемого сигнала, размером b и сравниваемый подмассив такого же размера, сдвинутый относительно начального подмассива на интервал времени, принадлежащий ожидаемой области нахождения искомой величины периода, определяют отклонение между указанными подмассивами и путём перебора всех возможных сравниваемых подмассивов в ожидаемой области нахождения искомой величины периода Тс и их сравнения с начальным подмассивом образуют массив сумм оценок, из которого выбирают минимальное значение, приходящееся на искомую величину периода Тс, отличающийся тем, что выбирают размер сравниваемых подмассивов в зависимости от уровня возможных помех, определяют границы ожидаемой области нахождения искомой величины периода как
где nmin и nmах – минимальная и максимальная граница ожидаемой области нахождения величины периода;
Тc0 – ожидаемая величина периода,
между начальным и сравниваемыми подмассивами определяют арифметическое отклонение, путём перебора всех возможных сравниваемых подмассивов в ожидаемой области нахождения искомой величины периода Тс образуют массив сумм арифметических оценок, из которого выбирают минимальное значение, приходящееся на искомую величину периода Тc.
РИСУНКИ
MM4A Досрочное прекращение действия патента Российской Федерации на изобретение из-за неуплаты в установленный срок пошлины за поддержание патента в силе
Дата прекращения действия патента: 09.07.2004
Извещение опубликовано: 10.03.2006 БИ: 07/2006
|
||||||||||||||||||||||||||

m>k>1,
где
t – период дискретизации сигнала;
u(t1), u(t2), u(tm) – первый, k-й и m-й цифровой отсчёт рассматриваемого сигнала соответственно;
N – размер массива цифровых отсчётов рассматриваемого сигнала;
tN – время, приходящееся на N–й цифровой отсчёт рассматриваемого сигнала;
k, m – целые числа.
Путём перебора параметров k u m определяют минимальное значение Д от сравнения указанных интегралов:
Минимальному значению А соответствует искомое значение периода сложного многочастотного сигнала Тc=
Nmin, где Nmin – номер отсчёта, соответствующий минимальному значению
где N – длина реализации рассматриваемого сигнала.
Далее определяют границы ожидаемой области нахождения искомой величины периода:
где nmin и nmах – минимальная и максимальная граница ожидаемой области нахождения величины периода;
Тс0 – ожидаемая величина периода.
Запоминают первые b отсчётов входного сигнала U(ti), образуя тем самым начальный подмассив U(tm), где m
[0; b] параметр изменения номера отсчёта. Начиная с момента времени, соответствующего nmin, запоминают текущие значения отсчётов входного сигнала U(ti), образуя тем самым сравниваемый подмассив U(tm+j) размера b, сдвинутый относительно начального подмассива на интервал времени j
[nmin; nmax]. Сравнивают отсчёты начального и сравниваемых подмассивов, суммируют результаты сравнения. Путём перебора всех возможных значений сравниваемых подмассивов в ожидаемой области нахождения величины периода ТC образуют массив сумм квадратичных оценок Dj:
где U(tm) – m-й отсчёт начального подмассива рассматриваемого сигнала;
U(tm+j) – m-й отсчёт сравниваемого подмассива рассматриваемого сигнала;
j
[nmin, nmax] – параметр сдвига сравниваемого подмассива.
В соответствии с интервалом времени, который приходится на Dmin, выдают искомую величину Тc.
Недостатками известного способа являются большие вычислительные затраты, связанные с вычислением оптимальной суммы квадратичных оценок при большой длине наблюдаемой реализации рассматриваемого сигнала.
Задачей предлагаемого изобретения является упрощение способа определения периода многочастотного сигнала, представленного в цифровой форме.
Поставленная задача достигается тем, что в способе определения периода многочастотного сигнала, представленного в цифровой форме, как и в прототипе, сначала определяют размер сравниваемых подмассивов b. Далее определяют границы ожидаемой области нахождения искомой величины периода, запоминают начальный подмассив, представляющий собой первые несколько отсчётов рассматриваемого сигнала, размером b и сравниваемый подмассив такого же размера, сдвинутый относительно начального подмассива на интервал времени, принадлежащий ожидаемой области нахождения искомой величины периода. Между указанными подмассивами определяют отклонение и путём перебора всех возможных сравниваемых подмассивов в ожидаемой области нахождения искомой величины периода Тc и их сравнения с начальным подмассивом образуют массив сумм оценок, из которого выбирают минимальное значение, приходящееся на искомую величину периода Тc.
Согласно изобретению, в отличие от прототипа, при определении периода Тс многочастотного сигнала, представленного в цифровой форме, размер сравниваемых подмассивов выбирают в зависимости от уровня возможных помех. Границы ожидаемой области нахождения искомой величины периода определяют как
nmin=Tc0–b;
nmax=Tc0+b,
где nmin и nmax – минимальная и максимальная граница ожидаемой области нахождения величины периода;
Тc0 – ожидаемая величина периода, между начальным и сравниваемыми подмассивами определяют арифметическое отклонение.
Путём перебора всех возможных сравниваемых подмассивов в ожидаемой области нахождения искомой величины периода Тc образуют массив сумм арифметических оценок, из которого выбирают минимальное значение, приходящееся на искомую величину периода Тc.
За счёт того, что используется арифметическая оценка периода анализируемого сигнала, упрощается процесс вычислений и требуется меньшее количество ячеек памяти. При этом временные затраты, необходимые для вычислений, снижаются в 1,5 раза.
Предлагаемый способ определения периода многочастотного сигнала, представленного в цифровой форме, обладает рядом преимуществ, которые выражаются в том, что упрощается процесс определения оптимальной оценки периода рассматриваемого сигнала и при этом требуется меньшее количество ячеек памяти.
На фиг.1 изображена структурная схема реализации предлагаемого способа определения периода многочастотного сигнала, представленного в цифровой форме.
На фиг.2 изображена зависимость сумм арифметических оценок от времени.
На фиг.3 изображена область минимума массива сумм арифметических оценок, приходящегося на период рассматриваемого сигнала.
В таблице 1 приведены значения сигнала U(ti), взятые через период Тc.
В таблице 2 приведены рекомендуемые значения размера сравниваемых массивов в зависимости от максимального уровня шумов и максимальной погрешности определения величины Тc.
Способ определения периода многочастотного сигнала, представленного в цифровой форме, реализован с помощью структурной схемы (фиг.1), содержащей запоминающие устройства 1 и 2 (ЗУ1 и ЗУ2 соответственно), на входы которых подаётся сигнал U(ti) в цифровой форме, устройство вычитания 3 (УВ), входы которого соединены с выходами запоминающих устройств 1 и 2, устройство суммирования 4 (УС), вход которого соединён с выходом устройства вычитания 3, устройство минимизации суммы арифметических оценок 5 (УМ), вход которого соединён с выходом устройства суммирования 4, а выход с входом устройства вывода информации 6 (У Выв).
Запоминающие устройства 1 и 2 (ЗУ1 и ЗУ2) могут быть реализованы на основе оперативного запоминающего устройства микроконтроллера серии AT89S8252, AT89S4D12 или аналогичной серии. Устройство вычитания 3 (УВ), устройство суммирования 4 (УС), устройство минимизации суммы арифметических оценок 5 (УМ) и устройство вывода информации 6 (У Выв) могут быть реализованы на микроконтроллере серии AT89S8252, AT89S4D12 или аналогичной серии.
На входы запоминающих устройств 1 и 2 (ЗУ1 и ЗУ2) был подан следующий тестовый сигнал:
Истинный период данного сигнала составляет Тc=0,2 с, что можно наблюдать по данным из таблицы 1. В данной таблице приведены k отсчётов рассматриваемого сигнала, взятых относительно первого отсчёта (U(tk)) и через период этого сигнала (U(tk+Tc))
Сначала выбирают параметр b в зависимости от максимального уровня помех. В таблице 2 приведены рекомендуемые данные, полученные экспериментальным путём, по выбору параметра b в зависимости от максимального уровня шумов Rmax. При проведении экспериментов использовался центрированный белый шум. В данной таблице приведена также погрешность
max определения величины Тc в зависимости от параметров Rmax и b.
Далее определяют границы ожидаемой Тс0–области нахождения искомой величины периода:
nmin= Тс0 – b;
nmах=Тc0+b,
где nmin и nmax – минимальная и максимальная граница ожидаемой области нахождения величины периода;
Тс0 – ожидаемая величина периода.
Для сигнала U(ti) с Тс0=0,2 с при b=50 и
[0; b] – параметр изменения номера отсчёта. Начиная с момента времени, соответствующего nmin, с помощью запоминающего устройства 2 (ЗУ2) запоминают текущие значения отсчётов входного сигнала U(ti), образуя тем самым сравниваемый подмассив U(tm+j) размера b, сдвинутый относительно начального подмассива на интервал времени j
[nmin; nmax]. С помощью устройства вычитания 3 (УВ) сравнивают отсчёты начального и сравниваемых подмассивов без учёта знака разности сравнения, что равносильно вычислению модуля разности. С помощью устройства суммирования 4 (УС) суммируют результаты сравнения. Путём перебора всех возможных значений сравниваемых подмассивов в ожидаемой области нахождения величины периода Тc образуют массив сумм арифметических оценок Dj:
На фиг. 2 приведён график изменения массива Dj в зависимости от текущего времени. С помощью устройства минимизации сумм арифметических оценок 5 (УМ) определяют минимальное значение массива сумм арифметических оценок Dmin. На фиг.3 ясно видно, что минимум Dmin массива Dj приходится на искомую величину истинного периода рассматриваемого сигнала. Устройство вывода информации 6 (У Выв) в соответствие с интервалом времени, который приходится на Dmin, выдаёт искомую величину Тc, которая для рассматриваемого сигнала U(ti) составила 0,2 секунды.
Таким образом, предлагаемый способ определения периода сложного сигнала, представленного в цифровой форме, при использовании арифметической оценки требует меньше вычислительных затрат и обладает большей скоростью вычислений.
где nmin и nmах – минимальная и максимальная граница ожидаемой области нахождения величины периода;
Тc0 – ожидаемая величина периода,
между начальным и сравниваемыми подмассивами определяют арифметическое отклонение, путём перебора всех возможных сравниваемых подмассивов в ожидаемой области нахождения искомой величины периода Тс образуют массив сумм арифметических оценок, из которого выбирают минимальное значение, приходящееся на искомую величину периода Тc.