Патент на изобретение №2226695
|
||||||||||||||||||||||||||
(54) УСТРОЙСТВО ДЛЯ ИЗМЕРЕНИЯ УСКОРЕНИЙ
(57) Реферат: Изобретение предназначено для применения в качестве чувствительного элемента в системах стабилизации, наведения и навигации. Сущность изобретения: в устройство, содержащее чувствительный элемент, датчик угла, усилитель и датчик момента, включенный в обратную связь, введены последовательно соединенные по информационным входам с выхода датчика угла на один из входов датчика моментов три усилительных каскада, два полосовых фильтра, два эмиттерных повторителя, универсальный синхронный JK-триггер, ждущие синхронные генераторы, асинхронный релейный RS-триггер, прецизионный релейный элемент. В устройство введен также кварцевый генератор, выход которого через устройство распределения синхроимпульсов соединен с входами ждущих синхронных генераторов, схем совпадения, малоразрядного реверсивного счетчика, первого и второго двоичного умножителя. Выход датчика угла соединен с одним из входов первого усилительного каскада, а вход – с выходом генератора опорного напряжения, и выход со второго двоичного умножителя является цифровым выходом устройства. Техническим результатом является обеспечение за счет введения усилительно-преобразующего тракта, охваченного как отрицательной обратной связью, так и пересекающимися положительными обратными связями, значения фазы равным нулю по несущей частоте и опережение по фазе по огибающей частоте, что обеспечивает повышение точности устройства и увеличение коэффициента передачи по разомкнутому контуру (увеличение чувствительности устройства) и полосы пропускания. 1 ил. Предлагаемое устройство для измерения ускорений предназначено для применения в качестве чувствительного элемента в системах стабилизации, наведения и навигации. Изобретение может найти применение в приборах измерения механических величин компенсационного типа. Известно устройство для измерения ускорений (патент РФ №2098833 МПК6 G01P 15/13, опубл. 10.12.97), содержащее чувствительный элемент, включающий в себя два неподвижных электрода и подвижную пластину, три усилителя, два резистора, при этом выход первого усилителя подключен к первому резистору, а вход второго усилителя соединен со вторым резистором и является выходом устройства. Для повышения помехоустойчивости при воздействии электрических помех в него введен источник опорного напряжения, генератор электрического сигнала, две транзисторные пары, три резистора, два конденсатора, позволяющих за счет охвата усилителей отрицательной обратной связью осуществить компенсацию электрических помех. Недостатком данного устройства является низкая точность измерения, так как выбор коэффициента усиления в жесткой отрицательной обратной связи ограничен условием устойчивости системы. Наиболее близким по техническому решению является устройство (А.С. №742801, МПК6 G01P 15/00, Б.И. №23, 1980), содержащее чувствительный элемент, датчик угла, интегрирующий усилитель обратной связи, датчик момента, дополнительный интегрирующий усилитель, электронный ключ, пороговый элемент, причем первый выход датчика угла подключен через интегрирующий усилитель обратной связи к датчику момента, а второй выход датчика угла через пороговый элемент, дополнительный интегрирующий усилитель подключен к управляющему входу электронного ключа. Недостатком устройства является низкая точность измерения, обусловленная точностью работы интегрирующих аналоговых усилителей и порогового элемента. Кроме того, точность измерения зависит от параметров схемы электронного ключа, осуществляющего выборку информации. Основная погрешность устройства связана с конечностью времени заряда конденсатора интегрирующего усилителя. Эта погрешность приводит к апертурной ошибке, свойственной подобной схеме выборки и обработки информации. Малая полоса пропускания устройства, невысокое быстродействие и малый коэффициент усиления по разомкнутому контуру определяют точность в установившемся режиме. Задачей настоящего изобретения является расширение полосы пропускания и увеличение точности измерения. Это достигается тем, что в устройство, содержащее чувствительный элемент, датчик угла, усилитель и датчик момента, включенного в обратную связь, введены последовательно соединенные по информационным входам с выхода датчика угла на один из входов датчика моментов первый усилительный каскад, первый полосовой фильтр, второй усилительный каскад, второй полосовой фильтр, третий усилительный каскад, первый эмиттерный повторитель, универсальный синхронный JK-триггер, ждущие синхронные генераторы, асинхронный релейный RS-триггер, прецизионный релейный элемент, причем второй выход второго усилительного каскада соединен со вторым входом первого усилительного каскада. Второй выход третьего усилительного каскада соединен со вторым входом второго усилительного каскада, один из выходов третьего усилительного каскада соединен также с К-входом универсального синхронного JK-триггера через инвертор и второй эмиттерный повторитель, а другой выход с третьим входом первого усилительного каскада через последовательно соединенные демодулятор, первый сглаживающий фильтр первого порядка и модулятор, причем вторые входы демодулятора и модулятора соединены с одним из выходов генератора опорного напряжения. Третьи входы демодулятора и модулятора соединены с выходом генератора опорного напряжения через первую фазосдвигающую цепь. Кроме того, выход генератора опорного напряжения соединен с третьим входом универсального синхронного JK-триггера через последовательно включенные вторую фазосдвигающую цепь, компаратор и формирователь длительности импульсов, а второй вход датчика моментов соединен с выходом прецизионного релейного элемента через второй сглаживающий фильтр. S-выход асинхронного релейного RS-триггера через схемы совпадения, малоразрядный реверсивный счетчик, итоговый регистр, преобразователь цифровой информации в прямой код, первый двоичный умножитель, многоразрядный реверсивный счетчик соединен с входом второго двоичного умножителя, один из выходов которого соединен со вторым входом многоразрядного реверсивного счетчика. В устройство введен кварцевый генератор, выход которого через устройство распределения синхроимпульсов соединен с входами ждущих синхронных генераторов, схем совпадения, малоразрядного реверсивного счетчика, первого и второго двоичных умножителей, также выход датчика угла соединен с одним из входов первого усилительного каскада, а вход с выходом генератора опорного напряжения. Выход со второго двоичного умножителя является цифровым выходом устройства. В предлагаемом устройстве за счет введения усилительного преобразующего тракта, охваченного как отрицательной обратной связью, так и пересекающимися положительными обратными связями, обеспечивается значение фазы, равное нулю, по несущей частоте и опережение по фазе по огибающей частоте, что обеспечивает повышение точности устройства, и увеличение коэффициента передачи по разомкнутому контуру (увеличение чувствительности устройства) и полосы пропускания. На чертеже изображена функциональная схема предлагаемого устройства. Устройство для измерения ускорений содержит чувствительный элемент 1, угловое положение которого фиксирует датчик угла 2. Обмотка возбуждения датчика угла 2 соединена с выходом генератора опорного напряжения 3. Выходная обмотка датчика угла 2 соединена с одним из входов первого усилительного каскада 4 усилительно-преобразующего тракта, выход которого соединен с входом второго усилительного каскада 6 через первый полосовой фильтр 5. Выход второго усилительного каскада 6 соединен с входом третьего усилительного каскада 8 через второй полосовой фильтр 7. Один из выходов второго усилительного каскада 6 соединен с одним из входов первого усилительного каскада 4, а выход третьего усилительного каскада 8 соединен с одним из входов каскада 6. Один из выходов третьего усилительного каскада 8 соединен с входом демодулятора 9, выход которого связан с входом первого сглаживающего фильтра 1-го порядка 10, выход фильтра 10 соединен с входом модулятора 11. Выход последовательной ветви, включающей в себя демодулятор 9, первый сглаживающий фильтр 1-го порядка 10 и модулятор 11, соединен с соответствующими входами первого усилительного каскада 4. Входы демодулятора 9 и модулятора 11 одной ветви соединены с выходом генератора опорного напряжения 3, а другие входы демодулятора 9 и модулятора 11 другой ветви, отрицательной обратной связи, соединены с выходом генератора опорного напряжения 3 через первую фазосдвигающую цепь 12. Выход третьего усилительного каскада 8 соединен с входами первого эмиттерного повторителя 13 и инвертора 14, причем последний соединен с входом второго эмиттерного повторителя 15. Выход генератора 3 соединен с входом второй фазосдвигающей цепи 16, выход которой соединен с входом компаратора 17, выход которого соединен с входом формирователя длительности импульсов несущей частоты 18. Входы универсального синхронного JK-триггера 19 соединены с входами первого и второго эмиттерных повторителей 13 и 15 и формирователя длительности импульсов 18. Выходы JK-триггера 19 соединены с входами ждущих синхронных генераторов (ЖСГ) 20 и 21, другие входы ЖСГ 20 и 21 соединены с выходами кварцевого генератора 22 через устройство распределения синхроимпульсов 23. Выходы ЖСГ 20 и 21 соединены со входами асинхронного релейного RS-триггера 24. Выход асинхронного релейного элемента 24 соединен с входом прецизионного релейного элемента 25, выход которого соединен с входом датчика момента 26 и со вторым сглаживающим фильтром 27, выход второго сглаживающего фильтра 27 соединен с входом датчика момента 26. Входы схем совпадения 28 и 29 соединены с выходами устройства распределения синхроимпульсов 23 и асинхронного релейного элемента 24 соответственно. Входы малоразрядного реверсивного счетчика (МРС) 30 соединены с выходами схем совпадения 28 и 29 и устройства распределения синхроимпульсов 23. Выход итогового регистра (ИР) 31 соединен с входом преобразователя цифровой информации в прямой код 32, а вход ИР 31 соединен с выходом МРС 30. Преобразователь цифровой информации в прямой код 32 соединен с входом первого двоичного умножителя 33, выход которого соединен с входом многоразрядного реверсивного двоичного счетчика 34, другой вход которого соединен с выходом второго двоичного умножителя 35. Вход второго двоичного умножителя 35 соединен с выходом многоразрядного двоичного счетчика 34. Внутреннее содержание блоков, реализующих устройство для измерения ускорения,описаны в книгах: Майоров С.А., Новиков Г.И. Принцип организации цифровых машин.-Л.: Машиностроение,1974, 432 с.; Хоровиц П., Хилл У. Искусство схемотехники. – М.: Мир, т. 1-3, 1993. Работа устройства осуществляется следующим образом. Отклонение чувствительного элемента 1, вызванное действием ускорения, вызывает смещение центра автоколебаний относительно нулевого положения, которое фиксируется датчиком угла 2. Обмотка возбуждения датчика угла 2 запитывается от генератора опорного напряжения 3. Выходной сигнал с датчика угла 2 имеет фазу 0° либо 180° относительно несущей частоты. Первый усилительный каскад 4, включенный на выход датчика угла 2, содержит ограничитель амплитуды в местной отрицательной обратной связи, охватывающей усилительный каскад, при этом не происходит искажения фазы при больших сигналах, и после усиления подает сигнал с датчика угла 2 на первый полосовой фильтр 5, пропускающий сигнал несущей частоты. После первого полосового фильтра 5 сигнал поступает на вход второго усилительного каскада 6, имеющего ограничение по амплитуде в цепи обратной связи, а затем на вход второго полосового фильтра 7. Один из выходов второго усилительного каскада 6 соединен с входом первого усилительного каскада 4, образуя положительную обратную связь. После прохождения сигнала через второй полосовой фильтр 7 он поступает на вход третьего усилительного каскада 8, охваченного отрицательной обратной связью по ограничению по амплитуде, один из выходов которого связан с выходом второго усилительного каскада 6. Прямая ветвь, состоящая из элементов 4, 5, 6, 7, 8, охвачена пересекающимися положительными обратными связями. Отрицательная обратная связь, охватывающая 4, 5, 6, 7, 8, состоит из двух параллельных ветвей и включает последовательно соединенные соответственно демодулятор 9, первый сглаживающий фильтр 1-го порядка 10 и модулятор 11. Причем одна ветвь, содержащая 9, 11, соединена от генератора опорного напряжения (ГОН) 3, а другая ветвь, содержащая 9, 11, соединена от ГОН 3 через первую фазосдвигающую цепь 12 (цепь сдвинута по фазе на 90 градусов). На информационные JK-входы универсального синхронного JK-триггера 19 сигнал с третьего усилительного каскада 8 должен подаваться в противофазе. Для этого усиленный по напряжению сигнал с 8, для одного из входов, инвертируется инвертором 14. Первый и второй эмиттерные повторители 13 и 15 обеспечивают согласование высокого выходного сопротивления 8 и 14 с низкоомным входным сопротивлением информационных входов JK-триггера 19. Для определения направления действия ускорения фазы сигналов с угла датчика 2 и генератора опорного напряжения 3 сравниваются на JK-триггере 19. Для этого необходимо подать на синхронный вход “С” импульс определенной длительности, формируемый второй фазосдвигающей цепью 16, компаратором 17 и формирователем длительности импульсов 18. Вторая фазосдвигающая цепь 16 обеспечивает сдвиг фазы гармонического сигнала несущей частоты на время задержки информационного сигнала при его прохождении через цепь 4, 5, 6, 7, 8. Компаратор 17 выдает прямоугольные импульсы при превышении гармоническим сигналом заданного уровня. Требуемая длительность обеспечивается формирователем длительности импульса несущей частоты 18. Если фаза отклонения чувствительного элемента 1 совпадает с фазой генератора опорного напряжения 3, то в момент подачи импульса несущей частоты JK-триггер 19 переходит в устойчивое состояние “1”, в противном случае – “0”. Кварцевый генератор 22 вырабатывает прямоугольные, стабилизированные по частоте, импульсы (f=1 МГц), обеспечивающие требуемый фронт нарастания и спада сигнала. Устройство распределения синхроимпульсов 23 вырабатывает строго синхронизированные по времени управляющие синхроимпульсы, необходимые для функционирования всего устройства. Ждущие синхронные генераторы 20 и 21, взводимые от JK-триггера 19, вырабатывают короткие (длительностью, определяемой частотой устройства распределения синхроимпульсов 23) импульсы, частота которых определяется частотой переключения JK-триггера 19. В зависимости от фазы отклонения чувствительного элемента 1 на асинхронный RS-триггер 24 подается импульс либо с генератора 20, либо с генератора 21, т.е. RS-триггер 24 переключается с частотой JK-триггера 19. Выходной сигнал с RS-триггера 24 не может быть непосредственно подан на вход датчика моментов 26 ввиду своей нестабильности по амплитуде. Для повышения точности этот импульс подается на прецизионный релейный элемент 25, осуществляющий стабилизацию сигнала по уровню. Выходной сигнал с релейного элемента 25 подается на один из входов датчика моментов 26, который будет возвращать чувствительный элемент 1 в исходное положение. Для повышения чувствительности в устройство введена местная положительная обратная связь с выхода релейного элемента 25 на вход датчика моментов 26 через второй сглаживающий фильтр 27, позволяющий выделить постоянную составляющую входного сигнала с релейного элемента 25. На один из входов схем совпадения (схем “И”) 28 и 29 подаются сигналы с выходов RS-триггера 24 на другие импульсы высокой частоты (импульсы счета) с устройства распределения синхроимпульсов 23. В зависимости от состояния RS-триггера 24 эти импульсы будут проходить либо на суммирующий, либо на вычитающий вход малоразрядного реверсивного счетчика 30. По окончании периода колебания информация из счетчика (равная разности числа “положительных” и “отрицательных” импульсов) по сигналу с устройства распределения синхроимпульсов 23 (импульс на С-вход регистра) переписывается в итоговой регистр 31. Следующим синхроимпульсом на вход сброса R0 счетчик 30 обнуляется. Положительная информация при этом представляется в прямом коде, а отрицательная – в дополнительном. Старший знаковый разряд показывает направление отклонения элемента 1. Информация из итогового регистра 31 поступает на вход преобразователя цифровой информации в прямой код 32. Код с преобразователя 32 может поступать на выходную шину малоразрядного цифрового кода ЭВМ, а также на вход первого двоичного умножителя 33, на выходе которого число синхроимпульсов с распределителя 23 будет пропорционально малоразрядному двоичному коду. Эти синхроимпульсы поступают на суммирующий вход многоразрядного реверсивного двоичного счетчика 34, информация с которого подается на шину многоразрядного цифрового кода и на вход второго двоичного умножителя 35. На другой вход второго двоичного умножителя 35 поступают синхроимпульсы с распределителя 23, сдвинутые по фазе относительно синхроимпульсов, поступающих на вход умножителя 32. Число импульсов с выхода второго двоичного умножителя 35, пропорциональное многоразрядному цифровому коду, подается на вычитающий вход двоичного многоразрядного счетчика 34. Работу устройства можно пояснить с помощью передаточных функций. Передаточную функцию отрицательной обратной связи усилительно-преобразующего тракта можно записать в виде
где
– передаточная функция сглаживающего фильтра;
0 – несущая частота;
Т – постоянная времени.
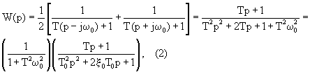
Преобразуем выражение (1) и в результате получим:
где
Зависимость (2) позволяет определить фазу по формуле:
Параметры устройства подобраны так, что выполняется условие:
При этом эквивалентная постоянная времени Т0 равна
и всегда автоматически настроена на несущую частоту.
При полученных значениях Т0 и 0 фаза, по цепи отрицательной обратной связи, усилительно-преобразующего устройства равна:
Из анализа (2) и (4) следует, что отрицательная обратная связь усилительно-преобразующего тракта осуществляет стабилизацию фазы на несущей частоте и создает опережение по фазе по огибающей. Создание самонастраивающейся отрицательной обратной связи усилительно-преобразующего тракта с опережением по фазе в огибающем сигнале приводит к расширению полосы пропускания всего устройства.
Введение в прямую ветвь трех усилителей через полосовые фильтры, охваченных пересекающимися положительными обратными связями, приводит к увеличению коэффициента передачи по разомкнутому контуру.
Действительно, передаточная функция первого усилительного тракта, полосового фильтра и второго усилительного тракта, охваченных положительной обратной связью с выхода второго на выход первого усилительных каскадов, имеет вид:
Если обеспечить выполнение условия 3-ККос=0, то в 30 раз обеспечится подъем ЛАФЧХ усилительно-преобразующего тракта. Во столько же раз обеспечивается подъем ЛАФЧХ другой пары усилительных каскадов с полосовым фильтром, охваченных положительной обратной связью. Результирующий коэффициент передачи, при охвате двух пар усилительных каскадов пересекающимися положительными обратными связями, будет увеличен в 900 раз.
Максимальный коэффициент передачи прототипа можно определить из передаточной функции:
Коэффициент передачи на несущей частоте при равенстве параметров полосового фильтра определяется так:
(для двух усилителей в прямой ветви).
Таким образом, введение в устройство усилительно-преобразующего тракта, содержащего в прямой ветви усилительные каскады, полосовые фильтры, охваченные пересекающимися положительными обратными связями, и в отрицательной самонастраивающейся обратной связи содержащего демодуляторы, сглаживающие фильтры и модуляторы, позволяют осуществить стабилизацию фазы на несущей частоте, создать опережение по фазе на огибающей частоте и увеличить коэффициент передачи, определяющий чувствительность, точность и полосу пропускания устройства.
Формула изобретения Устройство для измерения ускорений, содержащее чувствительный элемент, датчик угла, усилитель и датчик момента, включенный в обратную связь, отличающееся тем, что в него введены последовательно соединенные по информационным входам с выхода датчика угла на один из входов датчика момента первый усилительный каскад, первый полосовой фильтр, второй усилительный каскад, второй полосовой фильтр, третий усилительный каскад, первый эммитерный повторитель, универсальный синхронный JK-триггер, ждущие синхронные генераторы, асинхронный релейный RS-триггер, прецезионный релейный элемент, причем второй выход второго усилительного каскада соединен со вторым входом первого усилительного каскада, а второй выход третьего усилительного каскада соединен со вторым входом второго усилительного каскада, один из выходов третьего усилительного каскада соединен также с К-входом универсального синхронного JK-триггера через инвертор и второй эммитерный повторитель, а другой выход с третьим входом первого усилительного каскада через последовательно соединенные демодулятор, первый сглаживающий фильтр первого порядка и модулятор, причем вторые входы демодулятора и модулятора соединены с одним из выходов генератора опорного напряжения, а третьи входы демодулятора и модулятора соединены с выходом генератора опорного напряжения через первую фазосдвигающую цепь, кроме того, выход генератора опорного напряжения соединен с третьим входом универсального синхронного JK-триггера через последовательно включенные вторую фазосдвигающую цепь, компаратор и формирователь длительности импульсов, а второй вход датчика момента соединен с выходом прецезионного релейного элемента через второй сглаживающий фильтр, а также S-выход асинхронного релейного RS-триггера через схемы совпадения, малоразрядный реверсивный счетчик, итоговый регистр, преобразователь цифровой информации в прямой код, первый двоичный умножитель, многоразрядный реверсивный счетчик соединен с входом второго двоичного умножителя, один из выходов которого соединен со вторым входом многоразрядного реверсивного счетчика, кроме того, в устройство введен кварцевый генератор, выход которого через устройство распределения синхроимпульсов соединен с входами ждущих синхронных генераторов, схем совпадения, малоразрядного реверсивного счетчика, первого и второго двоичного умножителя, также выход датчика угла соединен с одним из входов первого усилительного каскада, а вход – с выходом генератора опорного напряжения и выход со второго двоичного умножителя является цифровым выходом устройства. РИСУНКИ
MM4A Досрочное прекращение действия патента Российской Федерации на изобретение из-за неуплаты в установленный срок пошлины за поддержание патента в силе
Дата прекращения действия патента: 11.10.2004
Извещение опубликовано: 10.06.2006 БИ: 16/2006
|
||||||||||||||||||||||||||

где
– передаточная функция сглаживающего фильтра;
0 – несущая частота;
Т – постоянная времени.
Преобразуем выражение (1) и в результате получим:
где
Зависимость (2) позволяет определить фазу по формуле:
Параметры устройства подобраны так, что выполняется условие:
При этом эквивалентная постоянная времени Т0 равна
и всегда автоматически настроена на несущую частоту.
При полученных значениях Т0 и
0 фаза, по цепи отрицательной обратной связи, усилительно-преобразующего устройства равна:
Из анализа (2) и (4) следует, что отрицательная обратная связь усилительно-преобразующего тракта осуществляет стабилизацию фазы на несущей частоте и создает опережение по фазе по огибающей. Создание самонастраивающейся отрицательной обратной связи усилительно-преобразующего тракта с опережением по фазе в огибающем сигнале приводит к расширению полосы пропускания всего устройства.
Введение в прямую ветвь трех усилителей через полосовые фильтры, охваченных пересекающимися положительными обратными связями, приводит к увеличению коэффициента передачи по разомкнутому контуру.
Действительно, передаточная функция первого усилительного тракта, полосового фильтра и второго усилительного тракта, охваченных положительной обратной связью с выхода второго на выход первого усилительных каскадов, имеет вид:
Если обеспечить выполнение условия 3-ККос=0, то в 30 раз обеспечится подъем ЛАФЧХ усилительно-преобразующего тракта. Во столько же раз обеспечивается подъем ЛАФЧХ другой пары усилительных каскадов с полосовым фильтром, охваченных положительной обратной связью. Результирующий коэффициент передачи, при охвате двух пар усилительных каскадов пересекающимися положительными обратными связями, будет увеличен в 900 раз.
Максимальный коэффициент передачи прототипа можно определить из передаточной функции:
Коэффициент передачи на несущей частоте при равенстве параметров полосового фильтра определяется так:
(для двух усилителей в прямой ветви).
Таким образом, введение в устройство усилительно-преобразующего тракта, содержащего в прямой ветви усилительные каскады, полосовые фильтры, охваченные пересекающимися положительными обратными связями, и в отрицательной самонастраивающейся обратной связи содержащего демодуляторы, сглаживающие фильтры и модуляторы, позволяют осуществить стабилизацию фазы на несущей частоте, создать опережение по фазе на огибающей частоте и увеличить коэффициент передачи, определяющий чувствительность, точность и полосу пропускания устройства.