Патент на изобретение №2226683
|
||||||||||||||||||||||||||
(54) ФОТОЛЮМИНЕСЦЕНТНЫЙ СПОСОБ ОПРЕДЕЛЕНИЯ КОНЦЕНТРАЦИИ ПРИМЕСНЫХ ЦЕНТРОВ, ИЗОМОРФНО ВНЕДРЕННЫХ В СТРУКТУРУ АЛМАЗА
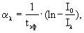
(57) Реферат: Изобретение относится к технике измерений. Способ включает затемнение части образца светонепроницаемым кольцом, возбуждение люминесцирующих центров световым пучком в открытой области и прохождение люминесцентного излучения от открытой области через затемненную, регистрацию фотолюминесценции от открытой части и прошедшей через затемненную часть алмаза, выявление бесфононных линий и фононных крыльев электронно-колебательных спектров люминесценции открытой и затемненной частей, определение интенсивности бесфононных линий при совпадении спектров фононных крыльев открытой и затемненной частей и определение заселенности нижних энергетических уровней центров. Технический результат – повышение чувствительности. 2 ил. Изобретение относится к области диагностики состава вещества, а именно к способам определения концентрации примесных центров в алмазах, изоморфно внедренных в структуру. Известен способ определения концентрации азота (N3-центры), изоморфно внедренного в структуру алмаза, по спектрам поглощения в видимой области [Бокий Г.Б., Безруков Г.Н., Клюев Ю.А., Налетов А.М., Непша В.И. Природные и синтетические алмазы. – М.: Наука, 1986, 221 с.]. Способ заключается в следующем: концентрацию N3-центров определяют по формуле С=q ·![]() ,
где q – эффективность проявления N3-центров в соответствующей полосе поглощения на длине волны ; для N3-центров этот коэффициент постоянен и равен q =2·1017;
![]() – коэффициент поглощения.
Коэффициент ![]() вычисляется аналитически по установленным соотношениям, а именно:
где I0 – интенсивность падающего на кристалл света;
I – интенсивность максимума полосы поглощения с длиной волны (для N3-центров характерен максимум полосы поглощения с длиной волны 415,2 нм);
tэф – эффективная толщина образца.
Концентрация N3-центров оценивается по формуле
С=2·1017· 451.2
Недостатком этого способа является то, что для исследования могут использоваться только крупные кристаллы правильной формы, а также низкая чувствительность к определению концентрации данного типа.
Известен способ определения концентрации центров свечения в кислородосодержащих материалах [Патент RU №2110059, МКИ G 01 N 21/62], включающий возбуждение люминесцентных примесей и собственных дефектов электронным пучком, длительность которого составляет 0,1 излучательного времени жизни наиболее короткоживущего центра свечения, регистрацию люминесценции, выявление характеристических полос в спектре люминесценции, идентификацию центров свечения, измерение интенсивностей эталона и характеристических полос, определение концентрации с привлечением данных по градуировочным образцам, внутренним эталоном чувствительности выбирают собственное фундаментальное широкополосное свечение исследуемого материала, длительность которого меньше излучательного времени центров свечения.
Недостатки этого способа – сложность измерительной установки (катодолюминесцентная установка), а также использование в процессе определения концентрации эталонных (градуировочных) образцов.
Задачей настоящего изобретения является разработка нового способа определения по спектрам люминесценции концентрации примесных центров, изоморфно внедренных в структуру алмаза.
Предлагаемый способ позволяет проводить количественную оценку концентрации примесных центров в алмазах. Высокая чувствительность спектров люминесценции позволяет регистрировать очень малые концентрации, простота и доступность способа дают возможность проводить экспресс-анализ в лабораторных условиях без разрушения исследуемого образца.
Фотолюминесцентный способ определения концентрации примесных центров, изоморфно внедренных в структуру алмаза, включает затемнение части образца светонепроницаемым кольцом, возбуждение люминесцирующих центров световым пучком в открытой области и прохождение люминесцентного излучения от открытой области через затемненную, регистрацию фотолюминесценции от открытой части и прошедшей через затемненную часть алмаза, выявление бесфононных линий и фононных крыльев электронно-колебательных спектров люминесценции открытой и затемненной частей, определение интенсивности бесфононных линий при совпадении спектров фононных крыльев открытой и затемненной частей, определение заселенности нижних энергетических уровней центров по формуле
где I1 – интенсивность люминесценции бесфононных линий в открытой области алмаза,
I2 – интенсивность люминесценции бесфононных линий в затемненной области алмаза,
x – длина затемненной части алмаза,
В12 – вероятность индуцированного перехода,
h – постоянная Планка;
– длина волны,
и суждение по ее значению о концентрации, исходя из приближения N n, где n – концентрация примесных центров, изоморфно внедренных в структуру алмаза.
Способ определения концентрации примесных центров, изоморфно внедренных в структуру алмаза, основан на регистрации фотолюминесценции (ФЛ) и эффекта реабсорбции. Спектр люминесценции примесных центров, изоморфно внедренных в структуру алмаза, состоит из бесфононных линий (БФЛ) и фононных крыльев (ФК). Каждая примесь дает свои спектры: набор БФЛ и ФК. Данный способ рассматривается на примере азотных центров (N3). Спектр состоит из БФЛ 415,2 нм и ФК, сопутствующих данной БФЛ. В спектрах ФЛ БФЛ являются резонансными, тогда как ФК не являются таковыми. Следовательно, реабсорбция может наблюдаться только на БФЛ, а ФК служит внутренним стандартом способа.
Способ включает определение параметров спектров фотолюминесценции. Две трети исследуемого алмазного образца покрываются светонепроницаемым кольцом. На открытую часть кристалла падает фильтрованный (365 нм) свет возбуждения от ртутной лампы. Люминесценция алмаза регистрируется спектральным прибором. В первом случае она направляется от освещенной части прямо в спектральный прибор, во втором случае люминесценция от освещенной части проходит через затемненную часть. Число люминесцирующих центров в обоих случаях одинаково. Интенсивность ФК в обоих случаях также одинакова. Интенсивность же БФЛ во втором случае будет меньше, чем в первом (фиг.1, кривые 1, 2). Это связано с реабсорбцией. Интенсивность БФЛ с учетом реабсорбции люминесценции в затемненной части образца уменьшиться на величину, пропорциональную интенсивности БФЛ для первого случая. Определение по спектрам отношения интенсивностей люминесценции БФЛ (I2/I1), позволяет по разработанной методике определять концентрацию люминесцирующих примесных центров в алмазе.
Технический результат достигается тем, что для определения концентрации примесных центров, изоморфно внедренных в структуру алмаза, необходимо получить спектр люминесценции, состоящий из БФЛ и ФК, возбуждаемый фильтрованным светом от ртутной лампы (365 нм), при этом измеряется интенсивность БФЛ в случае, когда свет от люминесцирующей части кристалла попадает прямо в спектральный прибор, и в случае, когда свет от люминесцирующей части кристалла проходит через затемненную часть, а затем попадает в спектральный прибор. Интенсивность ФК в обоих случаях должна быть одинакова, и по отношению интенсивностей БФЛ второго случая к первому производится расчет концентрации по разработанной методике согласно формулы (3).
Способ осуществляется следующим образом.
На фиг.1 представлены спектры люминесценции, схема способа – фиг.2. Две трети алмазного блока (1) покрываются светонепроницаемым кольцом (2). На открытую часть алмаза направляется от ртутной лампы фильтрованный (365 нм) свет возбуждения (Iв). Люминесценция алмаза (I1, I2), для случая (а), от освещенной части блока направляется прямо в спектральный прибор, для случая (б) – направляется от освещенной части через затемненную область алмаза. Число люминесцирующих центров в обоих случаях одинаково. Интенсивность ФК в обоих случаях также одинакова. Интенсивность БФЛ во втором случае будет меньше, чем в первом (фиг.1 кривые 1, 2). Это связано с реабсорбцией. В затемненной части алмаза N3 – центры находятся в нижнем энергетическом состоянии. Возможны лишь переходы с резонансным поглощением на частоте чисто электронного перехода. Интенсивность БФЛ с учетом реабсорбции люминесценции в затемненной части цилиндра уменьшиться на величину, пропорциональную интенсивности БФЛ экспериментальной конфигурации (а):
где I1, I2 – интенсивности люминесценции в (а) и (б) случаях соответственно; x – длина затемненной части алмаза, hv – энергия кванта (415.2 нм); B12 – вероятность индуцированного перехода, N1 и N2 – заселенности нижних и верхних уровней; с – скорость света. При комнатных и низких температурах N2<
Как следует из формулы, уменьшение интенсивности в (б)-случае определяется величинами В12 и N1. Величина B12 во всех кристаллах для примесных центров N3 типа имеет постоянную величину. Результаты измерения соотношения интенсивностей по предложенной методике можно использовать для определения заселенности N1 нижних энергетических уровней центров, которая характеризует концентрацию данных примесных центров N3 в алмазе:
Этот способ количественной оценки концентрации примесных центров определенного типа в алмазе обладает высокой чувствительностью и отличается своей простотой и доступностью.
Формула изобретения
где I1 – интенсивность люминесценции бесфононной линии в открытой области алмаза;
I2 – интенсивность люминесценции бесфононной линии в затемненной области алмаза;
х – длина затемненной части алмаза;
В12 – вероятность индуцированного перехода;
h – постоянная Планка;
– длина волны,
и по ее значению судят о концентрации, исходя из приближения N n, где n – концентрация примесных центров, изоморфно внедренных в структуру алмаза.
РИСУНКИ
MM4A Досрочное прекращение действия патента Российской Федерации на изобретение из-за неуплаты в установленный срок пошлины за поддержание патента в силе
Дата прекращения действия патента: 07.11.2005
Извещение опубликовано: 10.11.2006 БИ: 31/2006
|
||||||||||||||||||||||||||

·
где I0 – интенсивность падающего на кристалл света;
I
где I1 – интенсивность люминесценции бесфононных линий в открытой области алмаза,
I2 – интенсивность люминесценции бесфононных линий в затемненной области алмаза,
x – длина затемненной части алмаза,
В12 – вероятность индуцированного перехода,
h – постоянная Планка;
n, где n – концентрация примесных центров, изоморфно внедренных в структуру алмаза.
Способ определения концентрации примесных центров, изоморфно внедренных в структуру алмаза, основан на регистрации фотолюминесценции (ФЛ) и эффекта реабсорбции. Спектр люминесценции примесных центров, изоморфно внедренных в структуру алмаза, состоит из бесфононных линий (БФЛ) и фононных крыльев (ФК). Каждая примесь дает свои спектры: набор БФЛ и ФК. Данный способ рассматривается на примере азотных центров (N3). Спектр состоит из БФЛ 415,2 нм и ФК, сопутствующих данной БФЛ. В спектрах ФЛ БФЛ являются резонансными, тогда как ФК не являются таковыми. Следовательно, реабсорбция может наблюдаться только на БФЛ, а ФК служит внутренним стандартом способа.
Способ включает определение параметров спектров фотолюминесценции. Две трети исследуемого алмазного образца покрываются светонепроницаемым кольцом. На открытую часть кристалла падает фильтрованный (365 нм) свет возбуждения от ртутной лампы. Люминесценция алмаза регистрируется спектральным прибором. В первом случае она направляется от освещенной части прямо в спектральный прибор, во втором случае люминесценция от освещенной части проходит через затемненную часть. Число люминесцирующих центров в обоих случаях одинаково. Интенсивность ФК в обоих случаях также одинакова. Интенсивность же БФЛ во втором случае будет меньше, чем в первом (фиг.1, кривые 1, 2). Это связано с реабсорбцией. Интенсивность БФЛ с учетом реабсорбции люминесценции в затемненной части образца уменьшиться на величину, пропорциональную интенсивности БФЛ для первого случая. Определение по спектрам отношения интенсивностей люминесценции БФЛ (I2/I1), позволяет по разработанной методике определять концентрацию люминесцирующих примесных центров в алмазе.
Технический результат достигается тем, что для определения концентрации примесных центров, изоморфно внедренных в структуру алмаза, необходимо получить спектр люминесценции, состоящий из БФЛ и ФК, возбуждаемый фильтрованным светом от ртутной лампы (365 нм), при этом измеряется интенсивность БФЛ в случае, когда свет от люминесцирующей части кристалла попадает прямо в спектральный прибор, и в случае, когда свет от люминесцирующей части кристалла проходит через затемненную часть, а затем попадает в спектральный прибор. Интенсивность ФК в обоих случаях должна быть одинакова, и по отношению интенсивностей БФЛ второго случая к первому производится расчет концентрации по разработанной методике согласно формулы (3).
Способ осуществляется следующим образом.
На фиг.1 представлены спектры люминесценции, схема способа – фиг.2. Две трети алмазного блока (1) покрываются светонепроницаемым кольцом (2). На открытую часть алмаза направляется от ртутной лампы фильтрованный (365 нм) свет возбуждения (Iв). Люминесценция алмаза (I1, I2), для случая (а), от освещенной части блока направляется прямо в спектральный прибор, для случая (б) – направляется от освещенной части через затемненную область алмаза. Число люминесцирующих центров в обоих случаях одинаково. Интенсивность ФК в обоих случаях также одинакова. Интенсивность БФЛ во втором случае будет меньше, чем в первом (фиг.1 кривые 1, 2). Это связано с реабсорбцией. В затемненной части алмаза N3 – центры находятся в нижнем энергетическом состоянии. Возможны лишь переходы с резонансным поглощением на частоте чисто электронного перехода. Интенсивность БФЛ с учетом реабсорбции люминесценции в затемненной части цилиндра уменьшиться на величину, пропорциональную интенсивности БФЛ экспериментальной конфигурации (а):
где I1, I2 – интенсивности люминесценции в (а) и (б) случаях соответственно;
Как следует из формулы, уменьшение интенсивности в (б)-случае определяется величинами В12 и N1. Величина B12 во всех кристаллах для примесных центров N3 типа имеет постоянную величину. Результаты измерения соотношения интенсивностей по предложенной методике можно использовать для определения заселенности N1 нижних энергетических уровней центров, которая характеризует концентрацию данных примесных центров N3 в алмазе:
Этот способ количественной оценки концентрации примесных центров определенного типа в алмазе обладает высокой чувствительностью и отличается своей простотой и доступностью.
где I1 – интенсивность люминесценции бесфононной линии в открытой области алмаза;
I2 – интенсивность люминесценции бесфононной линии в затемненной области алмаза;