Патент на изобретение №2226618
|
||||||||||||||||||||||||||
(54) ПРЕДПУСКОВОЙ ПОДОГРЕВАТЕЛЬ ДВИГАТЕЛЯ ВНУТРЕННЕГО СГОРАНИЯ
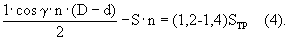
(57) Реферат: Изобретение относится к области двигателестроения и эксплуатации транспортных средств, точнее обеспечению необходимого предпускового теплового режима двигателя и отопления кабины автомобиля при пониженных температурах воздуха. В предпусковой подогреватель двигателя внутреннего сгорания, содержащий камеру сгорания, разделенную диафрагмой на две полости, в одной из которых в смесительной камере расположена запальная камера, объем которой соединен с объемом смесительной камеры посредством выполненных в кожухе запальной камеры отверстий, охватывающий камеру сгорания теплообменник в виде стакана с внешними винтовыми ребрами, соединенными с системой подачи охлаждающей жидкости, датчик пламени, установленный в смесительной камере, стабилизатор, размещенный на выходе из запальной камеры перед диафрагмой, размещенную в запальной камере свечу накаливания, и форсунку, связывающую камеру сгорания с системой подвода топлива, при этом смесительная камера связана с системой подачи воздуха, в отличие от известных, в него введен завихритель, установленный на стенках камеры сгорания и охватывающий запальную камеру, а также введен конденсатор-испаритель топлива, расположенный по периметру запальной камеры. Датчик пламени выполнен в виде полой трубки с фотоэлементом, вмонтированной в торцевую стенку ее корпуса, при этом в трубке между фотоэлементом и выходом в камеру сгорания выполнены радиальные отверстия, связанные с системой подачи воздуха. В теплообменнике внешние винтовые ребра выполнены переходящими с цилиндрической поверхности стакана на днище в виде части спирали с постепенно уменьшающейся высотой ребра к центральной части днища, внутренние ребра, расположенный вдоль оси стакана теплообменника с увеличивающейся в сечении толщиной ребра к основанию и переменной толщиной по длине ребра. Изобретение обеспечивает снижение потребляемой мощности подогревателем при запуске в условиях пониженных, отрицательных температур, повышение экономичности работы подогревателя, за счет повышения эффективности запала и улучшения кпд, а также удешевление подогревателя. 2 з.п. ф-лы, 7 ил. Изобретение относится к области двигателестроения и эксплуатации транспортных средств, точнее обеспечению необходимого предпускового теплового режима двигателя и отопления кабины автомобиля при пониженных температурах воздуха. Известен предпусковой подогреватель двигателя внутреннего сгорания (см. патент RU №2122138, F02N17/06, 20.11.98), содержащий камеру сгорания с форсунками, теплообменник, предкамеру, теплообменник с двухходовой системой движения продуктов сгорания, электронагреватель топлива с электроподогревателем воздуха вокруг предкамеры. Недостатком указанного предпускового подогревателя двигателя внутреннего сгорания является достаточно высокое напряжение и потребляемая мощность при запуске подогревателя. Наиболее близким по технической сущности к изобретению, принятым за прототип, является предпусковой подогреватель двигателя внутреннего сгорания (см. проспект “The New Add-Heater from Eberspacher”. By Dipl.-Ing. Michael Hamburg. Published in ATZ Automobiltechniche Zeitschrift 97 (1995) 12), содержащий камеру сгорания, разделенную диафрагмой на две полости, в одной из которых в смесительной камере расположена запальная камера, объем которой соединен с объемом смесительной камеры посредством выполненных в кожухе запальной камеры отверстий, охватывающий камеру сгорания теплообменник в виде стакана с внешними винтовыми ребрами, соединенными с системой подачи охлаждающей жидкости, датчик пламени, установленный в смесительной камере, стабилизатор, размещенный на выходе из запальной камеры перед диафрагмой, размещенную в запальной камере свечу накаливания, и форсунку, связывающую камеру сгорания с системой подвода топлива, при этом смесительная камера связана с системой подачи воздуха. Недостатками указанного предпускового подогревателя двигателя внутреннего сгорания являются достаточно высокая потребляемая мощность, а, следовательно, невысокая экономичность работы, а также дороговизна конструкции в целом. Задачей, решаемой предлагаемым изобретением, является снижение потребляемой мощности подогревателем при запуске в условиях пониженных, отрицательных температур, повышение экономичности работы подогревателя, за счет повышения эффективности запала и улучшения кпд, а также удешевление подогревателя. Поставленная задача решается тем, что в предпусковой подогреватель двигателя внутреннего сгорания, содержащий камеру сгорания, разделенную диафрагмой на две полости, в одной из которых в смесительной камере расположена запальная камера, объем которой соединен с объемом смесительной камеры посредством выполненных в кожухе запальной камеры отверстий, охватывающий камеру сгорания теплообменник в виде стакана с внешними винтовыми ребрами, соединенными с системой подачи охлаждающей жидкости, датчик пламени, установленный в смесительной камере, стабилизатор, размещенный на выходе из запальной камеры перед диафрагмой, размещенную в запальной камере свечу накаливания, и форсунку, связывающую камеру сгорания с системой подвода топлива, при этом смесительная камера связана с системой подачи воздуха, в отличие от известных, в него введен завихритель, установленный на стенках камеры сгорания и охватывающий запальную камеру, а также введен конденсатор-испаритель топлива, расположенный по периметру запальной камеры. В предпусковом подогревателе двигателя внутреннего сгорания датчик пламени предлагается выполнить в виде полой трубки с фотоэлементом, вмонтированной в торцевую стенку ее корпуса, при этом в трубке между фотоэлементом и выходом в камеру сгорания выполнены радиальные отверстия, связанные с системой подачи воздуха. В теплообменнике внешние винтовые ребра предлагается выполнить переходящими с цилиндрической поверхности стакана на днище в виде части спирали и сходящимися к центру днища, а также выполнить внутренние ребра, расположенные вдоль оси стакана теплообменника. Улучшение процессов смешивания и равномерного испарения осевшего на конденсатор-испаритель топлива приводит к улучшению процесса дожигания топлива; повышению коэффициента полезного действия, а, следовательно, позволяет уменьшить габариты и массу, а также надежность предпускового подогревателя. За счет увеличения площадей контакта охлаждающей жидкости с поверхностями теплообменника становится возможным осуществление быстрого и надежного запуска, как самого подогревателя, так и двигателя внутреннего сгорания и отопления кабины автомобиля при пониженных температурах воздуха. Суть изобретения поясняется фиг.1-6, на которых представлены на фиг.1 – продольный разрез предпускового подогревателя двигателя внутреннего сгорания; по А-А (по датчику пламени и по завихрителю); на фиг.3 – сечение по Б-Б (запальной камеры с конденсатом-испарителем); на фиг.4 и фиг.5 – форма и размещение внешних ребер на днище теплообменника; на фиг.6 – сечение по Г-Г (по внутренним ребрам теплообменника); на фиг.7 – развертка внешних ребер. Предпусковой подогреватель двигателя внутреннего сгорания содержит размещенные в корпусе 1 камеру сгорания 2, разделенную диафрагмой 3 на две полости, в одной из полостей, полостью являющейся полостью смесительной камеры 4 расположена запальная камера 5. В кожухе 6 запальной камеры 5 выполнены отверстия 7, сообщающие объемы запальной 5 и смесительной камеры 4. Камера сгорания 2 охвачена теплообменником 8. Теплообменник соединен с системой подачи охлаждающей жидкости (не показана) посредством трубопровода 9. В камере сгорания 2 в смесительной камере 4 установлен датчик пламени 10, на выходе из запальной камеры 5 перед диафрагмой 3 установлен стабилизатор 11, в запальной камере 5 размещена также свеча накаливания 12. Камера сгорания 2 связана форсункой 13 с системой подвода топлива (не показана), а смесительная камера 4 связана каналом 14 с системой подачи воздуха, содержащей электродвигатель 15, на ось которого насажан нагнетатель 16. На стенках камеры сгорания 2, охватывая запальную камеру 5, установлен завихритель 17, а по периметру запальной камеры 5 расположен конденсатор-испаритель 18, выполненный в виде сетки, закрепленной на стенке запальной камеры 5 с внешней стороны. Теплообменник выполнен в виде стакана с внешними винтовыми ребрами 19 на цилиндрической поверхности и на днище стакана и внутренними ребрами 20, при этом внутренние ребра 20 связаны выходным патрубком 21 с гибким металлическим гофрированным рукавом (не показан), а внешние винтовые ребра 19 связаны через коллектор 22 в систему подогрева двигателя. Внешние винтовые ребра 19, переходящие с цилиндрической поверхности стакана на днище, выполнены в виде части спирали с постепенно уменьшающейся высотой ребра к центральной части днища, а внутренние ребра 20 расположены вдоль оси стакана теплообменника с увеличивающейся в сечении толщиной ребра к основанию и переменной толщиной по длине ребра. Датчик пламени 10, установленный в торцевой стенке 23 камеры сгорания 2, выполнен в виде полой трубки 24, с размещенным в ней фотоэлементом 25; трубка 24 датчика пламени вмонтирована в торцевую стенку 23 с внешней стороны камеры сгорания 2. При этом в трубке 24 между фотоэлементом 25 и выходом в камеру сгорания выполнены радиальные отверстия 26, связанные с системой подачи воздуха (не показана). Система подачи топлива включает насос подачи топлива с трубопроводами (не показаны). Система подвода охлаждающей жидкости включает насос прокачки охлаждающей жидкости (не показан). Насос подачи топлива, нагнетатель и насос прокачки охлаждающей жидкости приводятся в действие электродвигателями. Работой управляет процессор, в блок управления которого вводится алгоритм работы и контролирующий все необходимые параметры и обеспечивающие безопасную эксплуатацию. Перед запуском подогревателя производится контроль энергопитания, продувка системы в течение определенного времени. Воздух как при продувке, так при запуске, в рабочих режимах, подается нагнетателем 16, приводимым в действие электродвигателем 15. Сначала охлажденный воздух по каналу 9 и частично по трубке 22 датчика пламени 10 поступает в смесительную камеру 4 с малым напором. Включается прокачка охлаждающей жидкости. На свечу накаливания 12 подается напряжение, в результате чего происходит ее прогрев и прогрев всех элементов запальной камеры 5 (наиболее интенсивно). Через форсунку 13 в разогретую запальную камеру 5 подается топливо, при этом для обеспечения подачи топлива малыми порциями оно впрыскивается через иглу, которой заканчивается форсунка 13. Осуществляется запуск свечи накаливания. Часть топлива в процессе испаряется, часть оседает на конденсатор-испаритель 18, с которого, также испаряясь, смешивается с воздухом в смесительной камере 4, и частично с воздухом в запальной камере 5 уже на рабочих режимах. Завихритель 17 производит закрутку воздушного потока при переходе из зоны, расположенной между завихрителем 17 и входом смесительной камеры, в зону между завихрителем 17 и диафрагмой 3. При этом часть воздуха через отверстия 7 попадает в запальную камеру 5. Горящие газы проходят через отверстие диафрагмы 3 из одной полости смесительной камеры в другую полость, ударяясь в днище, проходят по внутренним ребрам 20, отдавая тепло и затем, выходя через выходной патрубок 21 в гибкий металлический гофрированный рукав, заканчивающийся гасителем возможно горящих частиц (не показан). Теплообменник для увеличения срока службы выполнен из нержавеющей стали. Для увеличения отдачи тепла охлаждающей жидкости на стакане теплообменника 8 выполнены внешние винтовые ребра 19, протекая по которым охлаждающая жидкость отбирает тепло, и нагретая выходит через кольцевой коллектор 22 теплообменника 8. А также для повышения теплообмена в теплообменнике выполнены внутренние ребра, расположенные вдоль оси стакана теплообменника, для отбора тепла от горячих газов и передаче тепла охлаждающей жидкости, проходящей по 4-х заходному винтовому шнеку. Коэффициент передачи тепла от теплообменника охлаждающей жидкости увеличивается при увеличении площади контакта с охлаждающей жидкостью и увеличения скорости прокачки ее через теплообменник. При выполнении внешних ребер теплообменника однозаходными (при равных скоростях прокачки) охлаждающая жидкость будет больше находиться в контакте с поверхностями теплообменника и, следовательно, более прогретыми будут выходить охлаждающая жидкость и отработанные газы, не отдав всего тепла. Устранить указанные недостатки возможно за счет предлагаемой доработки теплообменника. Наиболее оптимальным является конструкция теплообменника с внешними ребрами, винтовыми по форме, выполненными 4-х заходными, и для увеличения контактных площадей переходящими с цилиндрической поверхности стакана на днище в виде части спирали с постепенно уменьшающейся высотой ребра к центральной части днища, при этом суммарная площадь проходного сечения канала для охлаждающей жидкости SСУММ=(1,2 1,4)SТР – внутреннее сечение трубопровода, где Sтр – внутреннее сечение трубопровода системы подачи охлаждающей жидкости. Целесообразно выполнение внутренних ребер, расположенных вдоль оси стакана теплообменника с увеличивающейся в сечении толщиной ребра к основанию и переменной толщиной по длине ребра от S1 – наименьшего утолщения до S2 – наибольшего утолщения в плоскости, пересекающейся с внешними винтовыми ребрами, при соотношении S2=(l,4 2,0) (S1(см. фиг.6).
Параметры теплообменника выбираются из следующих соотношений:.
Площадь проходного сечения по днищу стакана теплообменника
Sторцi = Z Di
где Z – зазор между днищем стакана теплообменника и корпусом подогревателя определяется диаметром сечения по днищу стакана Di:
S – площадь проходного сечения трубопровода системы охлаждения;
SРЕБ.ДН – площадь поперечного сечения по нормали ребра на днище;
n – число заходов внешних винтовых ребер (принято = 4).
Следовательно,
SТОРЦi=Z Di=(l,2 l,4)SТР + SРЕБ.ДН n.
Шаг внешних винтовых ребер на цилиндрической поверхности определяется соотношением:
SРЕБ.ЦИЛ – площадь сечения внешнего винтового ребра по нормали (конструктивный параметр подогревателя);
D – диаметр теплообменника по высоте внешних винтовых ребер (равен внутреннему диаметру корпуса подогревателя);
d – наружный диаметр стакана теплообменника;
– угол подъема винтовой линии внешнего винтового ребра по цилиндрической поверхности стакана теплообменника;
L – ход внешних винтовых ребер по цилиндрической поверхности стакана теплообменника;
L=n l(n=4).
Площадь проходного сечения внешних винтовых ребер Sпрох.цил определяется соотношением
![]()
ln – расстояние между соседними внешними винтовыми ребрами по нормали:
ln = lcos
Подставив значение ln в (2), соответственно:
Проходное сечение для охлаждающей жидкости Sсумм=(1,2 1,4)SТР
Следовательно,
Отсюда получаем выражение (1).
Предлагаемая конструкция улучшает смешивание и равномерное испарение осевшего на конденсатор-испаритель топлива, что приводит к улучшению процесса дожигания топлива; повышению коэффициента полезного действия и надежности предпускового подогревателя, а, следовательно, позволяет уменьшить габариты и массу, а также надежность предпускового подогревателя. За счет увеличения площадей контакта охлаждающей жидкости с поверхностями теплообменника осуществляется быстрой и надежной запуск, как самого подогревателя, так и двигателя внутреннего сгорания и отопления кабины автомобиля при пониженных температурах воздуха.
Формула изобретения 1. Предпусковой подогреватель двигателя внутреннего сгорания, содержащий камеру сгорания, разделенную диафрагмой на две полости, в одной из которых в смесительной камере расположена запальная камера, объем которой соединен с объемом смесительной камеры посредством выполненных в кожухе запальной камеры отверстий, охватывающий камеру сгорания теплообменник в виде стакана с внешними винтовыми ребрами, соединенными с системой подачи охлаждающей жидкости, датчик пламени, установленный в смесительной камере, стабилизатор, размещенный на выходе из запальной камеры перед диафрагмой, размещенную в запальной камере свечу накаливания и форсунку, связывающую камеру сгорания с системой подвода топлива, при этом смесительная камера связана с системой подачи воздуха, отличающийся тем, что в него введен завихритель, установленный на стенках камеры сгорания и охватывающий запальную камеру, а также введен конденсатор-испаритель топлива, расположенный по периметру запальной камеры. 2. Предпусковой подогреватель двигателя внутреннего сгорания по п.1, отличающийся тем, что датчик пламени выполнен в виде полой трубки с фотоэлементом, вмонтированной в торцевую стенку ее корпуса, при этом в трубке между фотоэлементом и выходом в камеру сгорания выполнены радиальные отверстия, связанные с системой подачи воздуха. 3. Предпусковой подогреватель двигателя внутреннего сгорания по п.1, отличающийся тем, что в теплообменнике внешние винтовые ребра выполнены переходящими с цилиндрической поверхности стакана на днище в виде части спирали и сходящимися к центру днища, а также выполнены внутренние ребра, расположенные вдоль оси стакана теплообменника. РИСУНКИ
MM4A – Досрочное прекращение действия патента СССР или патента Российской Федерации на изобретение из-за неуплаты в установленный срок пошлины за поддержание патента в силе
Дата прекращения действия патента: 30.08.2006
Извещение опубликовано: 27.07.2007 БИ: 21/2007
|
||||||||||||||||||||||||||

1,4)SТР – внутреннее сечение трубопровода, где Sтр – внутреннее сечение трубопровода системы подачи охлаждающей жидкости. Целесообразно выполнение внутренних ребер, расположенных вдоль оси стакана теплообменника с увеличивающейся в сечении толщиной ребра к основанию и переменной толщиной по длине ребра от S1 – наименьшего утолщения до S2 – наибольшего утолщения в плоскости, пересекающейся с внешними винтовыми ребрами, при соотношении S2=(l,4
(S1(см. фиг.6).
Параметры теплообменника выбираются из следующих соотношений:.
Площадь проходного сечения по днищу стакана теплообменника
Sторцi = Z
S – площадь проходного сечения трубопровода системы охлаждения;
SРЕБ.ДН – площадь поперечного сечения по нормали ребра на днище;
n – число заходов внешних винтовых ребер (принято = 4).
Следовательно,
SТОРЦi=Z
SРЕБ.ЦИЛ – площадь сечения внешнего винтового ребра по нормали (конструктивный параметр подогревателя);
D – диаметр теплообменника по высоте внешних винтовых ребер (равен внутреннему диаметру корпуса подогревателя);
d – наружный диаметр стакана теплообменника;
– угол подъема винтовой линии внешнего винтового ребра по цилиндрической поверхности стакана теплообменника;
L – ход внешних винтовых ребер по цилиндрической поверхности стакана теплообменника;
L=n
ln – расстояние между соседними внешними винтовыми ребрами по нормали:
ln = lcos
Проходное сечение для охлаждающей жидкости Sсумм=(1,2
Отсюда получаем выражение (1).
Предлагаемая конструкция улучшает смешивание и равномерное испарение осевшего на конденсатор-испаритель топлива, что приводит к улучшению процесса дожигания топлива; повышению коэффициента полезного действия и надежности предпускового подогревателя, а, следовательно, позволяет уменьшить габариты и массу, а также надежность предпускового подогревателя. За счет увеличения площадей контакта охлаждающей жидкости с поверхностями теплообменника осуществляется быстрой и надежной запуск, как самого подогревателя, так и двигателя внутреннего сгорания и отопления кабины автомобиля при пониженных температурах воздуха.