Патент на изобретение №2150833
|
||||||||||||||||||||||||||
(54) ГЕРБИЦИДНЫЙ ПРЕПАРАТ ИЗБИРАТЕЛЬНОГО ДЕЙСТВИЯ И СПОСОБ СЕЛЕКТИВНОЙ БОРЬБЫ С СОРНЯКАМИ И ТРАВАМИ
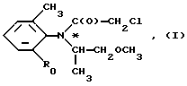
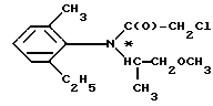
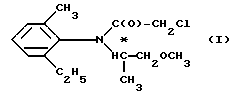
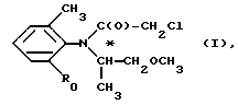
(57) Реферат: Описывается гербицидный препарат для селективного контроля за сорняками в посевах культурных растений, содержащий действующее начало наряду с инертными носителями и добавками, отличающийся тем, что в качестве действующего начала содержит гербицидно эффективное количество RS, 1’S(-)N-(1′-метил-2′-метоксиэтил)-N-хлорацетил-2-этил-6-метиланилина формулы (I), где R – этил, и противогербицидно эффективное количество соединения формулы (III). Описывается также способ селективной борьбы с сорняками и травами. Технический результат – получение гербицидного препарата, которым можно пользоваться без повреждения полезного растения, например кукурузы. 2 с. и 2 з.п. ф-лы, 5 табл.
![]()
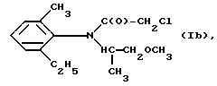
Изобретение относится к гербицидному препарату избирательного действия для борьбы с травами и сорняками при возделывании культурных растений, в частности при возделывании кукурузы, содержащему гербицид и антагонистическое средство (антидот), и предохраняющему полезные растения, а не сорняки от фитотоксического действия гербицида, а также к применению этого препарата или комбинации гербицид/антидот для борьбы с сорняками в посевах полезных культур. При использовании гербицидов в значительной степени могут повреждаться также культурные растения, что бывает обусловлено, например, дозировкой того или иного гербицида и типом его применения, видом культурных растений, особенностями почвы и климатическими условиями такими, как продолжительность светового дня, температура и количество выпадаемых осадков. Для решения этой и других аналогичных проблем уже предлагались различные вещества для использования их в качестве антидотов, которые способны нейтрализовать вредное воздействие гербицида на культурное растение, т.е. защитить его от этого воздействия и в то же время практически не снизить гербицидный эффект по отношению к сорнякам, против которых оно направлено. При этом было обнаружено, что предложенные до настоящего времени антидоты как по отношению к культурным растениям, так и по отношению к гербициду и частично в зависимости от типа применения во многих случаях по своему действию узко специфичны, иными словами, определенный антидот пригоден лишь для одного определенного культурного растения и для соответствующего гербицида, относящегося к определенному классу веществ. Было обнаружено, что некоторые хлор- и дихлорацетамиды могут эффективно использоваться для защиты культурных растений от фитотоксического действия соединения RS,1’S(-)N-(1′-метил-2′- метоксиэтил)-N-хлорацетил-2-этил-6-метиланилин формулы I![]() где R0 – метил или этил. Селективно-гербицидное средство, содержащее метолахлор в виде рацемической смеси изомеров, а также антидот беноксакор, известно и коммерчески доступно под торговым названием DUAL S. Это средство описано, например, в THE PESTICIDE MANUAL, 9-е издание, стр. 61, а также раскрыто в EP-A-0149974. Антидот беноксакор представляет собой компонент средства по настоящему изобретению и обозначен в нем как соединение формулы III. Известно, что оптически активный S-энантиомер соединения формулы I настоящего изобретения обладает более высокой гербицидной активностью, чем рацемическая смесь. Поэтому от гербицидного средства, содержащего в качестве действующих начал вместо рацемата оптически активный S-энантиомер формулы I, а также антидот формулы III, при одинаковой норме расхода следует ожидать более сильного гербицидного действия. Однако средство по изобретению обладает свойствами, которые далеко выходят за пределы того, что специалист мог бы ожидать от этой комбинации гербицида с антидотом. Задача настоящего изобретения состоит в том, чтобы получить селективное гербицидное средство, которое позволяет бороться с сорняками в посевах сельскохозяйственных растений, в частности при выращивании кукурузы, без повреждения полезного растения. Эта задача решается путем создания средства, которое наряду с гербицидно-действующим, оптически активным соединением формулы I, содержит специальный антидот формулы III. Таким образом, согласно настоящему изобретению описывается гербицидный препарат для селективного контроля за сорняками в посевах культурных растений, содержащий действующее начало наряду с инертными носителями и добавками, который в качестве действующего начала содержит гербицидно эффективное количество RS,1’S(-)N- (1′-метил-2′-метоксиэтил)-N-хлорацетил-2-этил-6-метиланилина формулы I![]() где R0 – этил, и противогербицидно эффективное количество соединения формулы III ![]() Неожиданным образом оказалось, что средство по изобретению, которое, как уже подчеркивалось, содержит существенно более сильный гербицидно действующий компонент в виде S-энантиомера, чем известное средство, содержащее рацемическое соединение, не требует повышенной нормы расхода антидота для противодействия нежелательному более сильному фитотоксическому действию гербицида на полезное растение. Для подтверждения этого, приведен отчет о сравнительном биологическом испытании, в котором свойства известного средства, содержащего в качестве действующего начала рацемический метолахлор в качестве гербицида и беноксакор в качестве антидота, сравниваются со свойствами средства по изобретению, содержащего оптически активный S-энантиомер метолахлора и беноксакор. В таблице Б1 показаны результаты фитотоксического действия средств при предвсходовой обработке кукурузы. Результаты таблицы Б1 показывают, что S-энантиомер метолахлора при норме расхода 3000 г/га без антидота очень сильно повреждает культурное растение – кукурузу (фитотоксичность 40%). Соответствующее рацемическое соединение без антидота также показывает агрономически недопустимое, 20%-ое, повреждение полезного растения. Более сильное повреждение кукурузного растения S-энантиомером следовало ожидать на основании общеизвестной более высокой гербицидной активности S-энантиомера метолахлора в сравнении с рацематом. Если теперь добавить к обоим соединениям одно и то же количество (200 г/га) антидота формулы III, то наблюдается поразительный эффект: хотя S-метолахлор и является значительно более сильным гербицидом, неожиданным образом ему требуется всего лишь такое же количество антидота, что и гербицидно менее эффективному рацемату, чтобы снизить фитотоксичность для кукурузы до величины 5%. Этот поразительный эффект позволяет применять средство по изобретению, состоящее из S-метолахлора и беноксакора, для селективной борьбы с сорняками на кукурузе, без необходимости повышения количества антидота для защиты полезного растения из-за более сильного гербицидного действия S-метолахлора в сравнении с известным средством. Средство по изобретению обладает и другими непредсказуемыми, агрономически очень полезными свойствами. Как указывается в п.4 описания опыта, средство по изобретению в состоянии снизить всхожесть сорняка марь белая (Chenopodium album) со 100% до всего лишь 20%, т.е. рост сорняка подавляется еще до того, как растения взойдут. Известное средство, напротив, не проявляет никакого действия на семена сорняка и тем самым заметно уступает заявленному средству. Таким образом, предложенное средство имеет целый ряд неожиданных, агрономически ценных свойств, которые никоим образом не вытекают из уровня техники. В молекуле N-(1′-метил-2′-метоксиэтил)-N-хлорацетил-2-этил-6-метиланилина (метолахлор) имеется два центра асимметрии. Один, хиральный центр, находится у атома углерода C’1 в 1′-метил-2′- метоксиэтильной группе, а другой, хиральную ось, образует в результате отсутствия возможности свободного вращения вокруг связи между атомом азота и фенильной группой (связь а). ![]() Как в формуле изобретения, так и в описании центр C’1 хиральности в 1′-метил-2′-метоксиэтильной группе в соединениях формулы I обозначен звездочкой (*). Этот способ маркировки хирального центра в молекуле соответствует международному стандарту. Например, центр хиральности соединения формулы I в колонке 10, строка 15, патента США US-A-5002606 (см. стр. 11 описания) маркирован таким же образом. Стереоселективное химическое название и структурная формула с маркированным хиральным центром соответствуют однозначной конфигурации. Как можно видеть из информации, приведенной выше, формула I ![]() обозначена как RS,1’S(-)N-(1′-метил-2′-метоксиэтил)-N- хлорацетил-2-этил-6-метиланилин, что соответствует пространственной конфигурации этого соединения.
Таким образом, в случае соединения формулы I в настоящем изобретении речь идет о S-энантиомере, а не о рацемической смеси изомеров.
Обычными вспомогательными инертными веществами, используемыми для изготовления соответствующих препаративных форм, могут быть наполнители, растворители и смачивающие агенты.
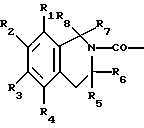
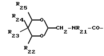
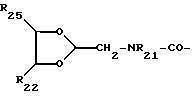
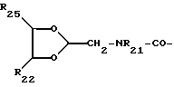
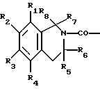
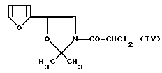
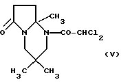
Следует отметить, что указанным избирательным гербицидным действием наряду с предложенным согласно изобретению препаратом могут обладать и другие препараты, включающие соединения формулы I, в частности препараты, содержащие смесь из:а) соответствующего, обладающего гербицидным действием количества соединения формулы I’ ![]() где R0 – метил или этил, и б) соответствующего, обладающего противогербицидным действием количества соединения формулы II R-CHYCl, где R – остаток формулы ![]() в которой R33 и R34 независимо друг от друга обозначают C1-C6-алкил либо C2-C6– алкенил или R33 и R34 вместе представляют собой ![]() R35 и R36 независимо друг от друга обозначают водород либо C1-C6-алкил, или R33 и R34 вместе представляют собой ![]() R37 и R38 независимо друг от друга обозначают C1-C4-алкил или R37 и R38 вместе представляют собой – (CH2)5-; R39 водород, C1-C4-алкил либо ![]() или R33 и R34 вместе представляют собой ![]() R40 – R54 независимо друг от друга – водород либо C1-C4-алкил, или R – остаток формулы ![]() или R – остаток формулы ![]() где R1 – R4 независимо друг от друга – водород, C1-C4-алкил, C1-C4-алкоксигруппа или C1-C4-галоалкил; R5 – R8 независимо друг от друга – водород, C1-C4-алкил либо C1-C4-галоалкил, или R – R – остаток формулы ![]() где R9 – C1-C4-алкил либо галоген; R10 – галоген; R11 и R12 независимо друг от друга – водород или C1-C4-алкил; Q – C1-C4-алкилен либо замещенный алкилом C1-C4-алкилен, или R – остаток формулы ![]() где R14 водород, галоген, C1-C4-алкил, дииксиметилен, C1-C4-алкокси, C2– C4-алкенилокси, C2-C4-алкинилокси или циано-C1-C4-алкил; P – C1-C4-алкил, C2-C4-алкенил, C2-C4-алкинил, C3-C8-циклоалкил, C1-C4-алкокси-C1-C4-алкил, C2– C4-алкенокси-C1-C4-алкил, C2-C4-алкинокси-C1-C4-алкил, C1-C4-алкилтио-C1-C4-алкил, C2-C4-алкенилтио-C1-C4-алкил, C2-C4-алкинилтио-C1-C4-алкил, C1-C4-алкилсульфинил-C1-C4-алкил, C1-C4-алкилсульфонил-C1-C4-алкил, галоген-C1-C4-алкил, циано-C1-C4-алкил, 2,2-ди-C1-C4-алкокси-C1-C4-алкил, 1,3-диоксолан-2-ил-C1-C4-алкил, 1,3- диоксолан-4-ил-C1-C4-алкил, 2,2-ди-C1-C4-алкил-1,3-диоксолан-4-ил-C1– C4-алкил, 1,3-диоксан-2-ил-C1-C4-алкил, 2- бензпиранил-C1-C4-алкил, C1-C4 -алкоксикарбонил либо C2-C4-алкенилоксикарбонил или тетрагидрофурфурил-C1-C4– алкил; группа P-X также обозначает галоген-C1-C4-алкил, X обозначает O, S, SO либо SO2; n = 1, 2 либо 3; A обозначает. C1-C8– углеводородный радикал или C1-C8-углеводородный радикал, замещенный на алкоксигруппу, алкилтио, фтор, циано либо галогеналкил, и R13 обозначает водород, C1-C5-углеводородный радикал или C1-C5-углеводородный радикал, замещенный на алкоксигруппу, полиалкоксигруппу, галоген, циано либо трифторметил, C3-C8-циклоалкил, C1-C4– алкил-C3-C8-циклоалкил, ди-C1-C4-алкокси- C1-C4-алкил, 1,3-диоксолан-2-ил-C1-C4-алкил, 1,3- диоксолан-4-ил-C1-C4-алкил, 1,3-диоксан-2-ил-C1– C4-алкил, фурил-C1-C4-алкил, тетрагидрофурил-C1-C4-алкил или представляет собой остаток формулы -NHCO2R01, -CH2CO2R01, – CH(CH3)CO2R01 либо -CH(R02)- C(R03)= NOR04, где R01 – метил, этил, пропил, изопропил либо аллил, R02 и R03 – каждый соответственно водород либо C1-C4-алкил и R04 – водород, C1-C4-алкил, C2-C4– алкенил либо C2-C4-алкинил; или R – остаток формулы (H5C2О)2P(O)CH2NHCO- либо, ![]() где R15 и R16 независимо друг от друга обозначают гидроксильную группу, C1-C4-алкил, арил, C1-C4-алкокси, C2-C4– алкенилокси, C2-C4-алкинилокси, C2-C4– галогеналкокси, C2-C8-алкоксиалкокси, C1-C4-цианоалкокси, C1-C4-фенилалкокси либо арилоксигруппу или арилоксигруппу, замещенную на галоген, циано, нитро либо C1-C4-алкокси, R17 обозначает водород, C1-C4-алкил либо фенил или фенил, замещенный на галоген, циано, нитро либо C1-C4-алкоксигруппу, R18 обозначает водород либо C1-C4-алкил, R19 обозначает водород или представляет собой остаток формулы -COCX1X2-R06 либо замещенный на галоген алкеноильный остаток с числом атомов углерода 2-4 в алкенильном фрагменте, где X1 и X2 независимо друг от друга обозначают водород либо галоген, или представляет собой остаток формулы -COOR07 либо -COR08 или C1-C4-алкильный, C2-C4– алкенильный либо C1-C4-фенилалкильный остаток, который может быть замещен в фенильном кольце на галоген, циано, нитро либо C1-C4-алкоксигруппу, и R20 – водород, C1-C4-алкил, C2-C4-алкенил либо C2-C4-алкинил, R06 – водород, галоген либо C1-C6-алкил, R07 – C1-C4-алкил, C1-C4-фенилалкил или C1-C4– фенилалкил, замещенный в фенильном фрагменте на галоген, циано, нитро либо C1-C8-алкоксигруппа, и R08 обозначает C1-C4-алкил, C2-C4-алкенил, C2-C4-алкинил, фенил, C1-C4-фенилалкил или C1-C4-фенилалкил, замещенный в фенильном фрагменте на галоген, циано, нитро либо C1-C4-алкоксигруппу, или R – остаток формулы ![]() или остаток формулы ![]() где R21 – метил, этил, пропил, 1-метилэтил, 2-пропенил, 2-бутенил, 1,1-диметил-2-пропенил, 2-пропинил либо 2-метил-2-пропинил; R22 – R25 независимо друг от друга – водород либо метил; Y – хлор или Y – водород, если R – остаток формулы (H5C2O)2P(O)H2NHCO-. Названные в связи с соединениями формулы II алкильные остатки могут быть линейными или разветвленными и представлять собой метил, этил, пропил, бутил, пентил и гексил, а также их разветвленные изомеры. Соответствующие алкенильные остатки являются производными вышеназванных алкильных остатков. В качестве арилокси рассматриваются прежде всего фенил- и нафтилокси. Под углеводородными радикалами имеются в виду одновалентные либо двухвалентные, насыщенные либо ненасыщенные линейные либо разветвленные или насыщенные либо ненасыщенные циклические радикалы из углерода и водорода, как, например, алкил, циклоалкил, алкенил, алкинил, циклоалкенил и фенил. Предпочтительными для применения в препарате соединениями формулы II являются те из них, в которых R – остаток формулы ![]() где R33 и R34 вместе представляют собой ![]() R37 и R38 независимо друг от друга – C1-C4-алкил или R37 и R38 вместе обозначают -(CH2)5-; R39 – водород, C1-C4-алкил или ![]() Примеры особенно предпочтительных соединений формулы II представлены в таблицах 1 и 2. Другую группу предпочтительных соединений формулы II образуют те из них, в которых R – остаток формулы ![]() где R21 – метил, этил, пропил, 2-пропенил либо 2-бутенил, a R22 и R25 – водород. Среди названных особенно предпочтительно соединение, где R21 – 2-пропенил. – 14 -К предпочтительным относятся также соединения формулы II, в которой R представляет собой остаток формулы ![]() где R1-R8 независимо друг от друга – водород или C1-C4-алкил. Прежде всего имеются в виду такие соединения, где R1-R7 – водород, а R8 – метил. В другой группе особо предпочтительных соединений R – остаток формулы ![]() где R14 – водород, C1-C4-алкил либо C1-C4-алкоксигруппа, P – C1-C4-алкил, C2-C4– алкенил либо C2-C4-алкинил, X – О либо S, n = 1, A – C1-C8-углеводородный радикал и R13 – водород или C1-C5– углеводородный радикал. Особенно предпочтительными среди названных являются те соединения формулы II, в которых R14 – C1-C4-алкоксигруппа, P – C1-C4-алкил, X является O, A – C1-C4-алкилен и R13 – C1-C4-алкил. Особый интерес представляет соединение, где R14 – метокси, P – метил, A – метилен и R13 – пропил. Другая группа предпочтительных соединений формулы II отличается тем, что R – остаток формулы ![]() где R15 и R16 независимо друг от друга обозначают гидроксильную группу, C1-C4-алкил либо C1-C4-алкоксигруппу, R17 и R18 независимо друг от друга – водород либо C1-C4– алкил, и R19 – водород или остаток формулы -COOR07, где R07) – C1-C4– алкил, и R20 – водород либо C1-C4-алкил. Особенно предпочтительны значения R15 и R16 в качестве C1-C4-алкоксигруппы, R17 и R18 в качестве водорода, R19 в качестве остатка формулы -COOR07, где R07 обозначает C1-C4-алкил, и R20 в качестве водорода. Наиболее важную роль играет соединение, в котором R15 и R16 – i-пропилокси, а R19 – -COOC2H5. Особо следует выделить средства, отличающиеся тем, что в качестве соединения формулы II они содержат соединение формулы III ![]() или формулы IV ![]() или формулы V ![]() Применяемое согласно изобретению соединение формулы I и его получение описаны, например, в патенте США US-A-5002606. Используемые в препаратах по изобретению соединения формулы II и их получение известны из ряда публикаций, как, например, патенты США US-A-4971618, US-A-3959304, USA-4256481, US-A-4708735, US-A- 4846880, европейские заявки EP-A-149974, EP-A-304409, EP-A- 31686, EP-A-54278, EP-A-23305, EP-A-143078, EP-A-163607, EP-A- 126710, а также патентная заявка Германии DE-A-2948535. Изобретение относится также к способу избирательной борьбы с сорняками и травами при возделывании полезных растений, предусматривающему обработку культур или их посевных площадей одновременно или независимо, т.е. друг за другом, эффективным количеством гербицида и противогербицидно эффективным количеством антидота, в качестве гербицида используют соединение формулы I, указанное выше, а в качестве антидота – соединение формулы III, указанной выше. Предпочтительно соединение формулы I используют в количестве 0,1-4 5 кг/га и соединение формулы III – в количестве 0,005-0,5 кг/га. При этом предпочтительной культурой при возделывании является кукуруза. Однако среди культурных растений, которые благодаря соединениям формулы II могут быть защищены от вредного воздействия упомянутого выше гербицида, в первую очередь следует назвать те из них, которые играют важную роль в пищевом или текстильном секторе, например, сахарный тростник и прежде всего просо и кукуруза, а также рис и другие виды зерновых, как пшеница, рожь, ячмень и овес. Среди сорняков, с которыми ведется борьба, можно назвать как однодольные, так и двудольные растения. Под посевными площадями имеются в виду почвенные ареалы с уже растущими на них культурными растениями или засеянные семенами этих растений, равно как и площади, предназначенные для возделывания этих культур. Антидот формулы II в зависимости от цели применения может предназначаться для предварительной обработки посевного материала (протравливание семян или черенков) или для внесения в почву до либо после сева. Указанный антидот может применяться либо сам по себе, либо вместе с гербицидом также для предвсходовой или послевсходовой обработки растений. Поэтому обработку растений или посевного материала антидотом можно проводить в принципе независимо от времени обработки гербицидом. Но обработку растений гербицидом и антидотом можно осуществлять также одновременно, используя для этого, например, смесь из одной емкости. При этом и в том, и в другом случае будет достигнут обеспечиваемый изобретением технический результат. Антидот может быть, например, внесен сразу, а гербицид на следующий день. Можно использовать антидот и гербицид разных производителей, т.е. в составе разных препаратов. Если растение или посевной материал обработать гербицидом через день после разбрызгивания антидота, то наблюдается эффект, идентичный эффекту, получаемому при одновременном нанесении этих веществ. Соотношение между используемым количеством антидота и гербицида в значительной степени зависит от типа применения. Так, при обработке полей, осуществляемой либо смесью антидота и гербицида из одной емкости, либо обоими компонентами раздельно, соотношение антидот/гербицид составляет, как правило, от 1:100 до 1:1, предпочтительно 1:50-1:10. При полевой обработке количество антидота на 1 га составляет, как правило, 0,001- 5,0 кг/га, предпочтительно 0,001-0,5 кг/га. Количество гербицида выбирают преимущественно в пределах от 0,001 до 10 кг/га, предпочтительно однако от 0,005 до 5 кг/га. Препараты по изобретению могут применяться во всех распространенных в сельском хозяйстве методах, как, например, предвсходовая или послевсходовая обработка, протравливание семян и т.д. При протравливании семян количество антидота на 1 кг семян составляет, как правило, 0,001-10 г, предпочтительно 0,05-2 г. Если антидот применяют в жидком виде, проводя обработку до высева в период набухания семян, то целесообразно использовать растворы антидота, содержащие действующее вещество в концентрации от 1 до 10000, предпочтительно от 100 до 1000 ч./млн. Для получения готовых для практического применения препаративных форм, таких как, например, эмульсионные концентраты, пасты для намазывания, растворы для непосредственного разбрызгивания и разбавляемые растворы, разбавленные эмульсии, порошки для опрыскивания, растворимые порошки, опыливающие средства, грануляты или микрокапсулы, соединения формулы II или комбинации из соединений формулы II и гербицидов формулы I, целесообразно с помощью обычных вспомогательных средств, широко используемых в технологии изготовления препаративных форм, перерабатывать в соответствующие композиции. Вышеперечисленные композиции приготавливают по известной методике, например, путем тщательного перемешивания и/или измельчения действующих веществ с соответствующими добавками, как, например, растворители, твердые наполнители и т.д. Кроме того, при получении композиций могут использоваться дополнительно поверхностно-активные соединения (так называемые тензиды). В качестве растворителей можно рекомендовать ароматические углеводороды, предпочтительно фракции C8-C12, такие как, например, ксилоловые смеси или замещенные нафталины, эфиры фталевой кислоты, например, дибутил – либо диоктилфталат, алифатические углеводороды, такие как циклогексан или парафины, спирты и гликоли, а также их простые и сложные эфиры, такие как этанол, этиленгликоль, монометиловый либо этиловый эфир этиленгликоля, кетоны, как циклогексанон, сильно полярные растворители, как N-метил-2-пирролидон, диметилсульфоксид либо диметилформамид, а также при определенных условиях эпоксидированные растительные масла, такие как эпоксидированное масло кокосового ореха либо соевое масло; или вода. В качестве наполнителей, например, для препаратов для опыливания и диспергируемых порошков, используют преимущественно муку горных пород, такие как кальцит, тальк, каолин, монтмориллонит или аттапульгит. Для улучшения физических свойств могут добавляться также высокодисперсная кремневая кислота либо высокодисперсные, обладающие абсорбционной способностью полимеризаты. В качестве зернистых адсорбционных наполнителей для гранулятов могут использоваться пористые типы, такие как, например, пемза, кирпичная крошка, сепиолит или бентонит; в качестве несорбционных наполнителей могут рассматриваться, например, кальцит или песок. Кроме вышеперечисленных, может применяться большое число других, предварительно гранулированных материалов неорганического либо органического происхождения, в частности доломит или измельченные остатки растений. В качестве поверхностно-активных соединений в зависимости от вида антидота и при определенных условиях также и от гербицида могут использоваться неионогенные, катионоактивные и/или анионоактивные тензиды, обладающие хорошими эмульгирующими, диспергирующими и смачивающими свойствами. Под тензидами следует понимать также смеси поверхностно-активных веществ. В качестве анионных тензидов могут выступать как так называемые водорастворимые мыла, так и водорастворимые синтетические поверхностно-активные соединения. В качестве вышеназванных мыл можно назвать соли щелочных и щелочноземельных металлов или при определенных условиях замещенные аммониевые соли высших жирных кислот (C10-C22), как, например, натриевые и калиевые соли масляной либо стеариновой кислоты, или смесей натуральных жирных кислот, которые можно получать, например, из масла кокосового ореха или топленого животного сала. Далее следует упомянуть также метилтауриновые соли жирных кислот. Чаще, однако, применяют так называемые синтетические тензиды, прежде всего жирные сульфонаты, жирные сульфаты, сульфонированные производные бензимидазола или алкиларилсульфонаты. Жирные сульфонаты или жирные сульфаты, используемые, как правило, в виде солей щелочных и щелочноземельных металлов или при определенных условиях в виде замещенных солей аммония, имеют алкильный остаток с числом C-атомов 8-22, причем алкил включает в себя также алкильный фрагмент ацильных остатков, например, натриевую или кальциевую соль лигнинсульфокислоты, эфира додецилсерной кислоты или полученной из натуральных жирных кислот смеси из жирных спиртов и сульфатов. Сюда же относятся также соли эфиров серной кислоты и сульфокислот аддуктов реакции жирного спирта и этиленоксида. Сульфонированные производные бензимидазола содержат предпочтительно 2-сульфокислотные группы и остаток жирной кислоты с числом C-атомов 8-22. Алкиларилсульфонаты представляют собой, например, натриевые, кальциевые или триэтаноламиновые соли додецилбензол-сульфокислоты, дибутилнафталинсульфокислоты или же продукта конденсации нафталинсульфокислоты и формальдегида. Далее можно назвать также соответствующие фосфаты, как, например, соли эфира фосфорной кислоты аддукта реакции п-нонилфенола и (4-14)-этиленоксида или фосфолипиды. В качестве неионных поверхностно-активных веществ могут применяться в первую очередь производные полигликолевого эфира алифатических либо циклоалифатических спиртов, насыщенных либо ненасыщенных жирных кислот и алкилфенолов, которые могут содержать от 3 до 30 гликольэфирных групп и 8-20 атомов углерода в (алифатическом) углеводородном остатке и 6-18 атомов углерода в алкильном остатке алкилфенолов. Другими пригодными для использования в указанных целях поверхностно-активными веществами являются водорастворимые, содержащие 20-250 этиленгликольэфирных групп и 10-100 пропиленгликольэфирных групп, аддукты полиэтитиленоксида, а также полипропиленгликоль, этилендиаминополипропиленгликоль и алкилполипропиленгликоль с числом атомов углерода 1-10 в алкильной цепи. Названные соединения содержат обычно на каждую пропиленгликолевую группу 1-5 этиленгликолевых групп. В качестве примеров неионных поверхностно-активных веществ следует упомянуть также нонилфенолполиэтоксиэтанолы, полигликолевый эфир касторового масла, аддукты реакции полипропилена и полиэтиленоксида, трибутилфеноксиполиэтоксиэтанол, полиэтиленгликоль и октилфеноксиполиэтоксиэтанол. Далее можно назвать также эфиры жирных кислот полиоксиэтиленсорбитана, как полиоксиэтиленсорбитантриолеат. При использовании катионных поверхностно-активных веществ речь идет прежде всего о четвертичных солях аммония, содержащих в качестве N-заместителя по крайней мере один алкильный остаток с числом C-атомов 8-22 и имеющих в качестве других заместителей низшие, возможно галогенированные алкильные, бензиловые либо низшие гидроксиалкильные остатки. Предпочтительно солями являются галогениды, метилсульфаты или этилсульфаты, такие как, например, хлорид стеарилтриметиламмония либо бромид бензилди-(2- хлорэтил)-этиламмония. Применяемые в технологии приготовления композиций поверхностно-активные вещества, которые могут использоваться также в составах по изобретению, описаны в частности в следующих публикациях: “Mc Cutcheon’s Detergents and Emulsifiers Annual”, изд-во MC Publishing Corp., Ridgewood, Нью-Джерси, 1981; Stache, H. , “Tensid-Taschenbuch”, изд-во Carl Hanser Verlag, Мюнхен/Вена, 1981; и J. Ash, “Encyclopedia of Surfactants”, том I-III, изд-во Chemical Publishing Co., Нью- Йорк, 1980-81. Агрохимические композиции содержат, как правило, 0,1-99 мас.%, прежде всего 0,1-95 мас% действующего вещества формулы II или смеси действующих 5 веществ антидот/гербицид, 1-99,9 мас.%, прежде всего 5-99,8 мас.% твердого либо жидкого вспомогательного вещества и 0-25 мас.%, прежде всего 0,1-25 мас.% поверхностно-активного вещества. В то время как торговля предлагает преимущественно концентрированные средства, конечный потребитель применяет их в разбавленном виде. Для получения дополнительных свойств препараты могут содержать также другие добавки, такие как стабилизаторы, пеногасители, регуляторы вязкости, связующие вещества, адгезивы, а также удобрения или же какие-либо другие действующие вещества, как, например, имеющиеся в продаже хлорацетанилиды, как фронтир, метазахлор, ацетохлор, алахлор, метолахлор или бутахлор. Для применения соединений формулы II или содержащих эти соединения препаратов в целях защиты культурных растений от вредного воздействия гербицида формулы I используются различные методы и различная технология, как, например, следующие: 1. Протравливание семян а) Протравливание семян с помощью приготовленного в виде порошка для опыливания действующего вещества формулы II, осуществляемое путем встряхивания в емкости до равномерного распределения по поверхности семян (сухое протравливание). При этом применяют приблизительно 1-500 г действующего вещества формулы II (4 г – 2 кг порошка для опрыскивания) на 100 кг семян. б) Протравливание семян эмульсионным концентратом действующего вещества формулы II по методу а) (мокрое протравливание). в) Протравливание, осуществляемое погружением семян в раствор из 100-1000 ч. /млн действующего вещества формулы II в течение 1-72 часов и при определенных условиях последующей сушкой семян (протравливание погружением). Протравливание семян или обработка проращенного сеянца относятся по своей сути к предпочтительным методам, так как в этом случае обработка действующим веществом полностью направлена на одну определенную культуру. Как правило, антидот применяют в количестве 1-1000 г, предпочтительно 5-250 г на 100 кг семян, причем в зависимости от методики, позволяющей производить добавку других действующих веществ или микроэлементов, указанная концентрация не является предельной и может варьироваться как в ту, так и в другую сторону (повторное протравливание). 2. Обработка смесью из одной емкости В этих случаях применяют жидкую смесь из антидота и гербицида (количественное соотношение обоих компонентов выбирают в пределах от 10:1 до 1:100), причем количество гербицида составляет 0,01-10 кг на 1 га. Обработку такой смесью проводят до или после посева. 3. Обработка по посевной борозде Антидот в виде эмульсионного концентрата, порошка для опрыскивания или в виде гранулята вносят в открытую засеянную борозду, а затем после заделывания борозды обычным способом осуществляют предвсходовую обработку гербицидом. 4. Контролируемое выделение действующего вещества Действующее вещество формулы II наносят в виде раствора на минеральные гранулированные наполнители или на полимеризованные грануляты (мочевина/формальдегид) и затем оставляют сохнуть. При определенных условиях грануляты могут покрываться оболочкой (грануляты в оболочке), которая обеспечивает возможность дозированного выделения действующего вещества через определенные интервалы времени. Механизм действия препаратов по изобретению поясняется на примерах (см. табл. A в конце описания). Сравнение гербицидного действия средства настоящего изобретения со средством согласно EP-A-0149974 Исследовались на гербицидное действие следующие средства. 1. Средство, содержащее в качестве действующих начал: Гербицид: Соединение формулы Ia RS,1’S(-)N-(1-‘метил-2’-метоксиэтил)-N-хлорацетил-2-этил-6-метиланилин (S-метолахлор)Антидот: Соединение формулы III ![]() 2,2-дихлор-1-(3-метил-2,3-дигидро-бензо[1,4]оксазин-4- ил)этанон. 2. Средство согласно EP-A-0149974, содержащее в качестве действующих начал: Гербицид: Соединение формулы Ib ![]() N-(1′-метил-2′-метоксиэтил)-N-хлорацетил-2- этил-6-метиланилин(метолахлор), описанное на стр. 12, 3-я строка снизу в EP-A-0149974. Соединение формулы Ib представляет собой рацемическую смесь из 4 возможных диастереомеров. Антидот: Соединение формулы III ![]() 2,2-дихлор-1-(3-метил-2,3-дигидро-бензо[1,4]оксазин-4- ил)этанон(беноксакор), описанное как соединение N 1.1 на стр. 25, пример H1, и на стр. 27, таблица 1 в EP-A-0149974. Средство, содержащее действующие начала метолахлор и беноксакор, описано также в THE PESTICIDE MANUAL, 9-е издание, стр. 61. 3. Сравнение предвсходового фитотоксического действия средств на посевах кукурузы В условиях теплицы высевают кукурузные растения в пластмассовые горшочки со смесью (1:1) земли с песком. Непосредственно после посева распыляют испытуемые вещества в форме водной суспензии (500 л воды на 1 га). Норма расхода гербицида формулы Ia, соответственно Ib составляет 3000 г/га, норма расхода антидота формулы III – 200 г/га. Затем выращивают растения в теплице при интенсивном поливе. Через 15 дней после обработки оценивают результаты обработки с помощью процентной шкалы. 100% означает полное уничтожение растения, 0% – отсутствие фитотоксического действия. Результаты представлены в таблице Б1. Результаты таблицы Б1 показывают, что соединение формулы Ia при норме расхода 3000 г/га без антидота очень сильно повреждает культурное растение кукурузу (фитотоксичность 40%). Соединение формулы Ib без антидота также показывает агрономически недопустимое, 20%-ное, повреждение полезного растения. Значительно более сильное фитотоксическое действие соединения формулы Ia в сравнении с соединением формулы Ib соответствует ожиданиям, так как общеизвестно, что оба S- энантиомера формулы Ia являются гербицидно более активными конфигурациями, представляющими собой смесь из 4 конфигураций диастереомеров формулы Ib. При добавлении к соединениям формул Ia и Ib одного и то же количества (200 г/га) антидота формулы III наблюдается поразительный эффект. Хотя соединение формулы Ia является значительно более сильным гербицидом, чем соединение формулы Ib, неожиданным образом ему требуется всего лишь такое же количество антидота, что и гербицидно менее эффективному соединению формулы Ib, чтобы снизить фитотоксичность для кукурузы до величины 5%. Этот поразительный эффект позволяет применять средство по изобретению, состоящее из действующих начал формулы Ia и формулы III, для селективной борьбы с сорняками на кукурузе без необходимости повышения количества антидота для защиты полезного растения из-за более сильного гербицидного действия соединения формулы Ia в сравнении с известным из EP-A-0149974 средством. Это неожиданное агрономически особенно ценное свойство обеспечивает средству по изобретению явное превосходство над известным из EP-A-0149974 средством в борьбе с сорняками при выращивании кукурузы. 4. Сравнение всхожести сорняков после обработки гербицидными средствами Всходы сорняка марь белая (Chenopodium album) исследуются на стадиях GS 00 и GS 06 прорастания соответственно через 5 дней после применения гербицидов формулы Ia и Ib индивидуально, а также смесей гербицидов с антидотом формулы III. Нормы расхода гербицида составляют 375 и 188 г/га, нормы расхода антидота – 12,5 и 6,25 г/га. Полученные результаты представлены в следующей таблице Б2. 100% означает, что полностью взошли все сорняки, 0% означает, что не взошел ни один сорняк. Из таблицы Б2 следует, что гербициды формул Ia и Ib при их индивидуальном применении на обеих испытанных стадиях развития сорняка не оказывают никакого влияния на всхожесть сорняка. Также не обнаруживается никакого влияния на всхожесть сорняка на стадии GS 00 в обоих случаях при смешении гербицидов с антидотом формулы III при нормах расхода гербицида 188 г/га и антидота 6,25 г/га. При норме расхода гербицида 375 г/га и антидота 12,5 г/га известная из EP-A-0149974 смесь незначительно (на 10%) снижает всхожесть сорняка. Неожиданным образом всхожесть сорняка на стадии GS 06 при применении средства по изобретению, при норме расхода гербицида формулы Ia 375 г/га и антидота формулы III 12,5 г/га составляет только 20% (т.е. 80% существующих семян не прорастает), в то время как известная из EP-A-0149874 смесь гербицида формулы Ib с антидотом формулы III при этой норме расхода не оказывает никакого влияния на всхожесть сорняка. При норме расхода гербицида формулы Ia 188 г/га и антидота формулы III 6,25 г/га средство по изобретению значительно (до 60%) снижает всхожесть сорняка, в то время как известное из EP-A-0149974 средство и в этом случае не оказывает на всхожесть сорняка никакого влияния. Отсюда следует, что средство по изобретению при испытанных нормах расхода может уничтожать марь белую (Chenopodium album) уже на очень ранней фазе роста, в значительной мере подавляя прорастание ее семян. Напротив, известное из EP-A-0149974 средство при этих нормах расхода совершенно не пригодно для подавления прорастания сорняка марь белая. Это превосходство средства по изобретению на фоне структурной аналогии соединений формулы Ia и Ib необходимо рассматривать как совершенно неожиданное. Биологические примеры Пример Б2: Предвсходовое фитотоксическое действие на сорняки комбинации по изобретению, состоящей из гербицида aRS,1’S(-)N-(1′-метил-2′-метоксиэтил)- N-хлорацетил-2-этил-6-метиланилина (s-метолахлор, формула I) и антидота 2,2-дихлор-1-(3-метил-2,3-дигидро-бензо[1,4] оксазин- 4-ил)этанона (беноксакор, формула III, соединение N 1.006). В пластмассовые горшочки с обычной землей высевают сорняки DIGITARIA SANGUINALIS, ECHINOCHLOA CRUS GALLI и SETARIA FABERI. Непосредственно после посева распыляют испытуемые вещества в форме водной суспензии (500 л воды на 1 га). Испытуемые вещества получают из вышеназванных рецептур 1-8. Норма расхода гербицида составляет 187,5 г/га, норма расхода антидота – 6,25 г/га. Затем культивируют испытуемые растения в теплице при оптимальных условиях. Через 30 дней испытаний производят оценку фитотоксического действия гербицида на сорняки (в процентах фитотоксичности). Были получены следующие результаты: Сорняк – Фитотоксичность, % DIGITARIA SANGUINALIS – 80 ECHINOCHLOA CRUS GALLI – 100 SETARIA FABERI – 95 В примере Б2, в котором испытывалось гербицидное действие средства согласно изобретению на сорняки при норме расхода гербицида 0,1875 кг/га и норме расхода антидота 0,00625 кг/га. Из этого примера следует, что заявленное средство при низких нормах расхода проявляет очень сильное гербицидное действие на сорняки (фитотоксичность от 80 до 100%). Так это действие достигается уже при норме расхода гербицида 0,1875 кг/га, то интервал норм расхода от 0,1 до 10 кг/га является абсолютно реальным. Фитотоксическое действие гербицидов формулы I как таковых и заявленного состава, включающего гербицид формулы I и антидот формулы III (соединение N 1.006), при послевсходовой обработке кукурузы. В пластмассовые горшочки со стандартной землей высевают кукурузу (сорта Cecilia). На стадии одного листа, когда видна верхушка второго листа, производят опрыскивание субстратом в форме водной суспензии (500 л воды на 1 га). В состав этой формы входит одна из указанных композиций 1-8. Расход гербицида 1250 г/га, расход антидота 61,5 г/га. По окончании обработки растения культивируют в оптимальных условиях. По истечении 13 дня опыта оценивают фитотоксическое действие гербицида на кукурузу с помощью процентной шкалы. Результаты: соединение формулы I (1250 г/га) – фитотоксичность 20%; соединение формулы I (1250 г/га) + соединение N 1.006 (61,5 г/га) – фитотоксичность 0%. В этом примере сравнивается фитотоксическое действие на кукурузу соединений формулы I как таковых с фитотоксическим действием заявленного средства, содержащего гербицид формулы I и антидот формулы III. Как видно из примера, средство согласно изобретению и при послевсходовом применении повышает на 20% фитотоксическое действие соединения формулы I, применяемого в количестве 1250 г на га кукурузы. Формула изобретения
RS, 1’S(-)N-(1’метил-2′-метоксиэтил)-N-хлорацетил-2-этил-6-метиланилина формулы I![]() где R0-этил, и противогербицидно эффективное количество соединения формулы III ![]() 2. Способ селективной борьбы с сорняками и травами при возделывании полезных растений, предусматривающий обработку культур или их посевных площадей одновременно или независимо друг от друга эффективным количеством гербицида и противогербицидно эффективным количеством антидота, отличающийся тем, что в качестве гербицида используют соединение формулы I по п.1, а в качестве антидота – соединение формулы III по п.1. 3. Способ по п. 2, отличающийся тем, что соединение формулы I по п.1 используют в количестве 0,1 – 4 кг/га и соединение формулы III по п.1 – в количестве 0,005 – 0,5 кг/га. 4. Способ по п.2, отличающийся тем, что его используют при возделывании кукурузы. РИСУНКИ
PC4A – Регистрация договора об уступке патента Российской Федерации на изобретение
Номер и год публикации бюллетеня: 4-2004
(73) Патентообладатель:
(73) Патентообладатель:
Дата и номер государственной регистрации перехода исключительного права: 10.11.2003 № 17718
Извещение опубликовано: 10.02.2004
|
||||||||||||||||||||||||||

RS, 1’S(-)N-(1′-метил-2′-метоксиэтил)-N-хлорацетил-2-этил-6-метиланилина формулы (I), где R – этил, и противогербицидно эффективное количество соединения формулы (III). Описывается также способ селективной борьбы с сорняками и травами. Технический результат – получение гербицидного препарата, которым можно пользоваться без повреждения полезного растения, например кукурузы. 2 с. и 2 з.п. ф-лы, 5 табл.

































