Патент на изобретение №2226198
|
||||||||||||||||||||||||||
(54) ПОЛИАМИДНЫЙ ПОЛИМЕР И СПОСОБ ЕГО ПОЛУЧЕНИЯ
(57) Реферат: Изобретение относится к способу получения полиамидного полимера, который может быть использован в качестве гидрогелей с высокой степенью поглощения воды для медицины, в производстве красок, в качестве флоккулянтов при очистке воды, в качестве тонких электропроводных пленок для микросхем и других электронных устройств. Способ представляет собой реакцию полимеризации между , -ненасыщенным -лактоном, в частности 2(5Н)-фураноном, и амином, выбранным из группы, включающей RNH2, RNH+3 и их смеси, где R содержит от 1 до 50 атомов углерода и возможно замещен гетероатомами О, N, S и Р, а также их сочетаниями с последующим отделением полиамидного полимера из реакционной массы. Изобретение позволяет создать новые материалы в химии полимеров с различными свойствами. 4 с. и 34 з.п.ф-лы, 7 ил., 2 табл.
Текст описания в факсимильном виде (см. графическую часть).
Формула изобретения 1. Способ получения полиамидного полимера, включающий а) взаимодействие в реакционной смеси , -ненасыщенного -лактона и амина, выбранного из группы, включающей RNH2, RNH+3 и их смеси, где R содержит от 1 до 50 атомов углерода и возможно замещен гетероатомами О, N, S и Р, а также их сочетаниями, что позволяет получать полиамидный полимер, при этом в реакционной смеси R могут быть одинаковыми или различными, и б) отделение полиамидного полимера от реакционной смеси, при этом множество R расположено по вертикали на одной линии через промежутки вдоль основной цепи, образованной полиамидом.
2. Способ по п.1, отличающийся тем, что R выбран из группы, включающей алкил, алкен, алкин, циклоалкил, арил, аралкил, карбоксил, триалкиламмоний и их сочетания друг с другом и с гидроксилом, нитрилом, фосфатом, сульфонилом, и может быть произвольно замещен галогеном, выбранным из группы, включающей Cl, I, Br, F и их сочетания.
3. Способ по п.1, отличающийся тем, что R представляет собой алкил.
4. Способ по п.3, отличающийся тем, что R представляет собой алкил, содержащий от 1 до 8 атомов углерода, а реакцию проводят при отсутствии растворителя для амина.
5. Способ по п.3, отличающийся тем, что R представляет собой алкил, содержащий от 9 до 30 атомов углерода, а реакцию проводят в присутствии растворителя для амина.
6. Способ по п.5, отличающийся тем, что растворитель представляет собой толуол.
7. Способ по п.1, отличающийся тем, что амин представляет собой алкиленполиамин, при этом реакцию проводят в присутствии растворителя для алкиленполиамина.
8. Способ по п.7, отличающийся тем, что алкиленполиамин представляет собой пентаэтиленгексамин.
9. Способ по п.8, отличающийся тем, что растворитель представляет собой этанол.
10. Способ по п.7, отличающийся тем, что алкиленполиамин в реакционной смеси смешивают с алкиламином.
11. Способ по п.10, отличающийся тем, что растворитель выбирают из группы, включающей хлороформ и толуол А.
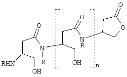
12. Способ получения полиамидного полимера, включающий а) взаимодействие в реакционной смеси 2(5Н)-фуранона и амина, выбранного из группы, включающей RNH2, RNH+3 и их смеси, где R содержит от 1 до 50 атомов углерода и возможно замещен гетероатомами О, N, S, Р и их сочетаниями, что позволяет получать полиамидный полимер, причем в реакционной смеси R могут быть одинаковыми или различными, а полимер имеет формулу
где n лежит в пределах от 50 до 10000,
и б) отделение полиамидного полимера от реакционной смеси, при этом множество R расположено по вертикали на одной линии через промежутки вдоль основной цепи, образованной полиамидом.
13. Способ по п.12, отличающийся тем, что R выбран из группы, включающей алкил, алкен, алкин, циклоалкил, арил, аралкил, карбоксил, триалкиламмоний и их сочетания друг с другом и с гидроксилом, нитрилом, фосфатом, сульфонилом, и может быть произвольно замещен галогеном, выбранным из группы, включающей Cl, I, Br, F и их сочетания.
14. Способ по п.12, отличающийся тем, что R представляет собой алкил.
15. Способ по п.14, отличающийся тем, что R представляет собой алкил, содержащий от 1 до 8 атомов углерода, а реакцию проводят при отсутствии растворителя для амина.
16. Способ по п.14, отличающийся тем, что R представляет собой алкил, содержащий от 9 до 30 атомов углерода, а реакцию проводят в присутствии растворителя для амина.
17. Способ по п.16, отличающийся тем, что растворитель представляет собой толуол.
18. Способ по п.12, отличающийся тем, что амин представляет собой алкиленполиамин, а реакцию проводят в присутствии растворителя для алкиленполиамина.
19. Способ по п.18, отличающийся тем, что алкиленполиамин представляет собой пентаэтиленгексамин.
20. Способ по п.19, отличающийся тем, что растворитель выбирают из группы, включающей этанол или другой спирт с низкой молекулярной массой, содержащий воду тетрагидрофуран и содержащий воду диоксан.
21. Полиамид, полученный взаимодействием между , -ненасыщенным -лактоном и амином, выбранным из группы, включающей RNH2, RNH+3 и их смеси, где R содержит от 1 до 50 атомов углерода и возможно замещен гетероатомами О, N, S, Р, а также их сочетаниями, при этом множество R расположено по вертикали на одной линии и через промежутки вдоль основной цепи, образующей полиамид, и R может иметь положительный заряд.
22. Полиамид по п.21, отличающийся тем, что R выбран из группы, включающей алкил, алкен, алкин, циклоалкил, арил, аралкил, карбоксил, триалкиламмоний и их сочетания друг с другом и с гидроксилом, нитрилом, фосфатом, сульфонилом, и может быть произвольно замещен галогеном, выбранным из группы, включающей Cl, I, Br, F и их сочетания.
23. Полиамид по п.21, отличающийся тем, что R представляет собой алкил.
24. Полиамид по п.23, отличающийся тем, что R представляет собой алкил, содержащий от 1 до 8 атомов углерода.
25. Полиамид по п.23, отличающийся тем, что R представляет собой алкил, содержащий от 9 до 30 атомов углерода.
26. Полиамид по п.21, отличающийся тем, что амин представляет собой алкиленполиамин.
27. Полиамид по п.26, отличающийся тем, что алкиленполиамин представляет собой пентаэтиленгексамин.
28. Полиамид по п.21, отличающийся тем, что часть R представляет собой алкил, а часть – алкенилполиамин.
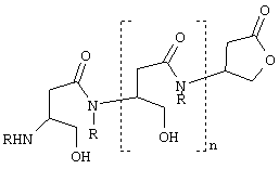
29. Полиамид формулы
где n лежит в пределах от 50 до 10000;
R содержит от 1 до 50 атомов углерода и возможно замещен гетероатомами кислорода, азота, серы или фосфора, а также их сочетаниями, при этом множество R расположено по вертикали на одной линии через промежутки вдоль основной цепи, образующей полиамид, и R может иметь положительный или отрицательный заряд.
30. Полиамид по п.29, отличающийся тем, что R выбран из группы, включающей алкил, алкен, алкин, циклоалкил, арил, аралкил, карбоксил, триалкиламмоний и их сочетания друг с другом и с гидроксилом, нитрилом, фосфатом, сульфонилом, и может быть произвольно замещен галогеном, выбранным из группы, включающей Cl, I, Br, F и их сочетания.
31. Полиамид по п.29, отличающийся тем, что R представляет собой алкил.
32. Полиамид по п.31, отличающийся тем, что алкил содержит от 1 до 8 атомов углерода.
33. Полиамид по п.31, отличающийся тем, что R представляет собой алкил, содержащий от 8 до 30 атомов углерода.
34. Полиамид по п.29, отличающийся тем, что R представляет собой алкенилполиамин.
35. Полиамид по п.34, отличающийся тем, что алкенилполиамин представляет собой пентаэтиленилпентамин.
36. Полиамид по п.29, отличающийся тем, что часть R представляет собой алкил, а часть – алкенилполиамин.
37. Полиамид по п.30, отличающийся тем, что R содержит более одной группы триалкиламмония для придания полиамиду положительного заряда.
38. Полиамид по п.30, отличающийся тем, что R содержит по меньшей мере одну из групп, выбранных из группы, включающей сульфонат и фосфат, для придания полиамиду отрицательного заряда.
РИСУНКИ
MM4A Досрочное прекращение действия патента Российской Федерации на изобретение из-за неуплаты в установленный срок пошлины за поддержание патента в силе
Дата прекращения действия патента: 21.09.2005
Извещение опубликовано: 20.10.2006 БИ: 29/2006
|
||||||||||||||||||||||||||

,
-ненасыщенным
-лактоном, в частности 2(5Н)-фураноном, и амином, выбранным из группы, включающей RNH2, RNH+3 и их смеси, где R содержит от 1 до 50 атомов углерода и возможно замещен гетероатомами О, N, S и Р, а также их сочетаниями с последующим отделением полиамидного полимера из реакционной массы. Изобретение позволяет создать новые материалы в химии полимеров с различными свойствами. 4 с. и 34 з.п.ф-лы, 7 ил., 2 табл.
Текст описания в факсимильном виде (см. графическую часть).
где n лежит в пределах от 50 до 10000,
и б) отделение полиамидного полимера от реакционной смеси, при этом множество R расположено по вертикали на одной линии через промежутки вдоль основной цепи, образованной полиамидом.
13. Способ по п.12, отличающийся тем, что R выбран из группы, включающей алкил, алкен, алкин, циклоалкил, арил, аралкил, карбоксил, триалкиламмоний и их сочетания друг с другом и с гидроксилом, нитрилом, фосфатом, сульфонилом, и может быть произвольно замещен галогеном, выбранным из группы, включающей Cl, I, Br, F и их сочетания.
14. Способ по п.12, отличающийся тем, что R представляет собой алкил.
15. Способ по п.14, отличающийся тем, что R представляет собой алкил, содержащий от 1 до 8 атомов углерода, а реакцию проводят при отсутствии растворителя для амина.
16. Способ по п.14, отличающийся тем, что R представляет собой алкил, содержащий от 9 до 30 атомов углерода, а реакцию проводят в присутствии растворителя для амина.
17. Способ по п.16, отличающийся тем, что растворитель представляет собой толуол.
18. Способ по п.12, отличающийся тем, что амин представляет собой алкиленполиамин, а реакцию проводят в присутствии растворителя для алкиленполиамина.
19. Способ по п.18, отличающийся тем, что алкиленполиамин представляет собой пентаэтиленгексамин.
20. Способ по п.19, отличающийся тем, что растворитель выбирают из группы, включающей этанол или другой спирт с низкой молекулярной массой, содержащий воду тетрагидрофуран и содержащий воду диоксан.
21. Полиамид, полученный взаимодействием между
где n лежит в пределах от 50 до 10000;
R содержит от 1 до 50 атомов углерода и возможно замещен гетероатомами кислорода, азота, серы или фосфора, а также их сочетаниями, при этом множество R расположено по вертикали на одной линии через промежутки вдоль основной цепи, образующей полиамид, и R может иметь положительный или отрицательный заряд.
30. Полиамид по п.29, отличающийся тем, что R выбран из группы, включающей алкил, алкен, алкин, циклоалкил, арил, аралкил, карбоксил, триалкиламмоний и их сочетания друг с другом и с гидроксилом, нитрилом, фосфатом, сульфонилом, и может быть произвольно замещен галогеном, выбранным из группы, включающей Cl, I, Br, F и их сочетания.
31. Полиамид по п.29, отличающийся тем, что R представляет собой алкил.
32. Полиамид по п.31, отличающийся тем, что алкил содержит от 1 до 8 атомов углерода.
33. Полиамид по п.31, отличающийся тем, что R представляет собой алкил, содержащий от 8 до 30 атомов углерода.
34. Полиамид по п.29, отличающийся тем, что R представляет собой алкенилполиамин.
35. Полиамид по п.34, отличающийся тем, что алкенилполиамин представляет собой пентаэтиленилпентамин.
36. Полиамид по п.29, отличающийся тем, что часть R представляет собой алкил, а часть – алкенилполиамин.
37. Полиамид по п.30, отличающийся тем, что R содержит более одной группы триалкиламмония для придания полиамиду положительного заряда.
38. Полиамид по п.30, отличающийся тем, что R содержит по меньшей мере одну из групп, выбранных из группы, включающей сульфонат и фосфат, для придания полиамиду отрицательного заряда.