Патент на изобретение №2225552
|
||||||||||||||||||||||||||
(54) ЗУБЧАТАЯ ПЕРЕДАЧА
(57) Реферат: Изобретение относится к машиностроению. Во впадинах между зубьев одного из зубчатых колес зубчатой передачи выполнены радиальные прорези, состоящие из двух частей. Часть, примыкающая к впадине, выполнена шириной и глубиной l1 по среднему радиусу R с осью, лежащей на цилиндрической поверхности, проходящей через середину глубины l1. Другая широкая часть выполнена шириной h и глубиной l. Ширина, глубина и радиус прорезей связаны определенными соотношениями. Зубчатый венец упомянутого колеса связан со ступицей гибкими шатунами с цилиндрическими ползунами, помещенными в широкую часть прорези. Упругими эластичными связями упомянутый зубчатый венец связан с валом. Ступица жестко закреплена на валу. Упругие эластичные связи могут быть выполнены из резины или в виде пружин. Технический результат – повышение надежности зубчатой передачи при переменном нагружении путем автоматического регулирования жесткости зубьев. 3 ил.
Изобретение относится к машиностроению.
Известна зубчатая передача, содержащая зубчатые колеса, в одном из которых во впадинах между зубьями выполнены углубления в виде прорезей глубиной, равной (2-3)m, и шириной (0,1-0,2)m, заполненных эластичным материалом [1].
Недостатком такой передачи является малая надежность передачи из-за большой динамической нагрузки и низкой демпфирующей способности материала в прорези.
Наиболее близкой, принятой за прототип, является зубчатая передача, содержащая зубчатые колеса, одно из которых выполнено с радиальными прорезями, состоящими из двух частей, при этом часть, примыкающая к впадине, выполнена цилиндрической [2].
Недостатком такой передачи является невозможность автоматического регулирования жесткости зубьев в зависимости от передаваемой нагрузки.
Задачей изобретения является повышение надежности зубчатой передачи при переменном нагружении путем автоматического регулирования жесткости зубьев.
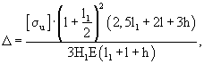
Для решения поставленной задачи предложена зубчатая передача, состоящая из зубчатых колес, в одном из которых во впадинах между зубьев выполнены радиальные прорези, состоящие из двух частей, часть, примыкающая к впадине, выполнена шириной и глубиной l1 по среднему радиусу R с осью, лежащей на цилиндрической поверхности, проходящей через середину глубины l1, другая широкая часть прорези выполнена шириной h1 и глубиной l, причем ширина, глубина и радиус прорезей выбраны из следующих соотношений:![]() ![]() R=(1,5-2)m, l1=(0,5-1,0)m, где – ширина прорези первого участка,h1 – ширина прорези второго участка, R – средний радиус прорези первого участка, l1 – глубина прорези первого участка, l – глубина прорези второго участка, h – высота зуба колеса, m – шаг зубьев колеса, z2 – число зубьев колеса, H1 – минимальное расстояние между соседними прорезями, rf2 – радиус окружности ножек колеса, [ и] – допускаемое напряжение изгиба материала колеса,Е – модуль упругости материала колеса, а зубчатое колесо состоит из ступицы, жестко закрепленной на валу, и зубчатого венца, связанного, с одной стороны, со ступицей гибкими шатунами с цилиндрическими ползунами, помещенными в другую широкую часть прорези, выполненной шириной h1 и глубиной l, и упругими эластичными связями с валом, с другой стороны. Предлагаемая конструкция зубчатой передачи позволяет повысить надежность зубчатой передачи за счет регулирования динамической нагрузки в зависимости от величины передаваемого силового потока. На фиг.1 показан общий вид колеса; на фиг.2 – варианты конструкции упругой эластичной связи зубчатого венца с валом; на фиг.3 – конструкция колеса, вид сбоку. В зубчатой передаче в колесе 1 во впадинах между зубьями выполнены радиальные прорези, состоящие из двух частей. Часть 2, примыкающая к впадине между зубьями, выполнена шириной и длиной l1 по среднему радиусу R с осью, лежащей на цилиндрической поверхности, проходящей через середину глубины l1. Другая, широкая часть прорези 3, выполнена шириной h1 и глубиной l, где размещается цилиндрический ползун 4, связанный гибким шатуном 5 со ступицей 6, которая в свою очередь жестко закреплена на валу 9. Зубчатый венец зубчатого колеса 1 связан с валом 9 при помощи упругих эластичных связей 7, например, посредством шпоночного соединения. Упругая эластичная связь 7 выполнена из резины либо в виде пружин. Зубчатая передача работает следующим образом.
При входе зуба зубчатого колеса 8 в зацепление с соответствующим зубом колеса 1 происходит динамическое взаимодействие зубьев. Динамическая нагрузка в зацеплении зависит от жесткости зуба, которая в начальный момент определяется длиной L зуба, и деформации зацепления.
При малой нагрузке угловое смещение ступицы 6 относительно зубчатого венца отсутствует и цилиндрические ползуны 4 находятся в крайнем, ближнем к оси колеса, положении. За счет глубины радиальных прорезей (l+l1) высота стандартного зуба L1 увеличивается до высоты зуба L=L1+(l+l1). При этом динамическая нагрузка в передаче падает, частота колебаний зуба также уменьшается и сопересопряжение зубьев по своей характеристике близко к статическому.
С увеличением силового потока, за счет упругих эластичных связей 7, происходит угловое смещение вала 9 относительно венца зубчатого колеса 1, при этом цилиндрические ползуны 4 под действием гибких шатунов 5 смещаются к первой части прорези 2, примыкающей к впадине между зубьями и выполненной шириной и глубиной l1 по среднему радиусу R, при этом высота зуба L уменьшается до высоты зуба (L1+l1), и тем самым автоматически увеличивается жесткость зацепления, адекватно ограничивая общую деформацию зубчатого венца.
При снятии нагрузки цилиндрические ползуны 4 под воздействием упругих эластичных связей 7 между зубчатым венцом зубчатого колеса 1 и валом 9 смещаются в исходное положение к центру зубчатого колеса.
Благодаря данной конструкции зубчатого колеса достигается функциональная зависимость жесткости зуба от величины передаваемого силового потока.
Источники информации1. А.с. 1237844, кл. F 16 Н 55/14, 1984. 2. А.с. 1733777, кл. F 16 Н 55/14, 1989. Формула изобретения Зубчатая передача, состоящая из зубчатых колес, в одном из которых во впадинах между зубьев выполнены радиальные прорези, состоящие из двух частей, часть, примыкающая к впадине, выполнена шириной и глубиной l1 по среднему радиусу R с осью, лежащей на цилиндрической поверхности, проходящей через середину глубины l1, другая часть выполнена шириной h1 и глубиной l, причем ширина, длина и радиус прорезей выбраны из следующих соотношений:
где – ширина прорези первого участка;
h1 – ширина прорези второго участка;
R – средний радиус прорези первого участка;
l1 – глубина прорези первого участка;
l – глубина прорези второго участка;
h – высота зуба колеса;
m – шаг зубьев колеса;
z2 – число зубьев колеса;
H1 – минимальное расстояние между соседними прорезями;
rf2 – радиус окружности ножек колеса;
[ и] – допускаемое напряжение изгиба материала колеса;
Е – модуль упругости материала колеса,
отличающаяся тем, что зубчатое колесо с радиальными прорезями состоит из ступицы и зубчатого венца, связанного с одной стороны со ступицей гибкими шатунами с цилиндрическими ползунами, помещенными в другую широкую часть прорези, выполненную шириной h1 и глубиной l, и упругими эластичными связями с валом – с другой стороны, причем ступица жестко закреплена на валу, а упругие эластичные связи могут быть выполнены из резины либо в виде пружин.
РИСУНКИ
MM4A Досрочное прекращение действия патента Российской Федерации на изобретение из-за неуплаты в установленный срок пошлины за поддержание патента в силе
Дата прекращения действия патента: 16.07.2004
Извещение опубликовано: 20.05.2006 БИ: 14/2006
|
||||||||||||||||||||||||||

и глубиной l1 по среднему радиусу R с осью, лежащей на цилиндрической поверхности, проходящей через середину глубины l1. Другая широкая часть выполнена шириной h и глубиной l. Ширина, глубина и радиус прорезей связаны определенными соотношениями. Зубчатый венец упомянутого колеса связан со ступицей гибкими шатунами с цилиндрическими ползунами, помещенными в широкую часть прорези. Упругими эластичными связями упомянутый зубчатый венец связан с валом. Ступица жестко закреплена на валу. Упругие эластичные связи могут быть выполнены из резины или в виде пружин. Технический результат – повышение надежности зубчатой передачи при переменном нагружении путем автоматического регулирования жесткости зубьев. 3 ил.
Изобретение относится к машиностроению.
Известна зубчатая передача, содержащая зубчатые колеса, в одном из которых во впадинах между зубьями выполнены углубления в виде прорезей глубиной, равной (2-3)m, и шириной (0,1-0,2)m, заполненных эластичным материалом [1].
Недостатком такой передачи является малая надежность передачи из-за большой динамической нагрузки и низкой демпфирующей способности материала в прорези.
Наиболее близкой, принятой за прототип, является зубчатая передача, содержащая зубчатые колеса, одно из которых выполнено с радиальными прорезями, состоящими из двух частей, при этом часть, примыкающая к впадине, выполнена цилиндрической [2].
Недостатком такой передачи является невозможность автоматического регулирования жесткости зубьев в зависимости от передаваемой нагрузки.
Задачей изобретения является повышение надежности зубчатой передачи при переменном нагружении путем автоматического регулирования жесткости зубьев.
Для решения поставленной задачи предложена зубчатая передача, состоящая из зубчатых колес, в одном из которых во впадинах между зубьев выполнены радиальные прорези, состоящие из двух частей, часть, примыкающая к впадине, выполнена шириной 

и] – допускаемое напряжение изгиба материала колеса,
где