Патент на изобретение №2225462
|
||||||||||||||||||||||||||
(54) ИНГИБИТОР КОРРОЗИИ
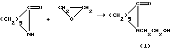
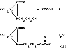
(57) Реферат: Изобретение относится к области нефтепереработки и нефтехимии, а именно к новым углеводородорастворимым ингибиторам коррозии металлов. Ингибитор коррозии представляет собой смесь сложных эфиров N-оксиэтиленкапролактама и синтетических жирных кислот технической фракции С10-С16. Концентрация вводимого ингибитора в минеральном масле 1-3 мас.%, в бензине 0,001-0,05 мас.%. Технический результат: ингибитор позволяет длительно сохранять эффективность при изменении режимов переработки нефти, не влиять на качество товарных продуктов, не образовывать отложений, быть стойким к окислению, восстановлению, высоким температурам, не быть токсичным. 2 з.п. ф-лы, 4 табл. Изобретение относится к области нефтепереработки и нефтехимии, точнее к способу получения новых углеводородорастворимых ингибиторов коррозии металлов. Защита металлов от коррозии с помощью ингибиторов коррозии является одним из наиболее простых и надежных способов. К настоящему времени в публикациях появилось значительное количество данных о применении ингибиторов коррозии в различных углеводородных средах. В основном это ингибиторы коррозии черных металлов в продуктах вторичной переработки нефти: бензине, керосине, смазочных маслах. Известен ряд отечественных и импортных масло- и углеводородорастворимых ингибиторов, рекомендованных для защиты от атмосферной коррозии черных и некоторых цветных металлов в качестве добавки к консервационным минеральным маслам, черных металлов в нефти и бензинах (Алцыбеева А.И., Левин С.З. Ингибиторы коррозии металлов. Л.: Химия, 1968 г., 242 с.). Одной из актуальных проблем эксплуатации современных нефтеперерабатывающих заводов является увеличение продолжительности межремонтных безостановочных пробегов технологических установок, значительная роль в решении которой отводится надежной защите металлов от коррозионного разрушения. Для увеличения сроков службы оборудования и коммуникаций установок первичной переработки нефти с целью защиты от коррозии используется обессоливание и обезвоживание нефти, введение щелочных реагентов в сырье и нейтрализация верхних погонов атмосферных колонн с помощью аммиака. Однако в этих способах защиты снижение скорости коррозии не превосходит 0,2-0,5 мм/год. Для предотвращения коррозии оборудования при первичной перегонке нефти более эффективно использование ингибиторов коррозии. Для защиты от атмосферной коррозии широко применяется промышленный отечественный ингибитор МСДА (соль дициклогексиламина и синтетических жирных кислот C10-С11) (А.И. Алцыбеева, С.З. Левин. Ингибиторы коррозии металлов. Л.: Химия, 1968 г., 242 с., с.136). К недостаткам известных ингибиторов, применяемых как в России, так и за рубежом, относится их ограниченная термостабильность, склонность к образованию смолистых отложений в оборудовании и питтингов на поверхности металла оборудования. Эфиры N-оксиэтиленкапролактама и СЖК в качестве ингибиторов коррозии черных и цветных металлов нам неизвестны. Задача заключается в разработке эффективного ингибитора для защиты от коррозии оборудования первичной обработки нефти и атмосферной коррозии черных и цветных металлов. Согласно изобретению поставленная задача решается при использовании в качестве ингибитора смеси сложных эфиров N-оксиэтиленкапролактама и синтетических жирных кислот технической фракции C10-C16 общей формулы: ![]() где R=C9H19 C15H31.
Для защиты от атмосферной коррозии ингибитор берут в концентрации 1-3 мас.% в минеральном масле.
В условиях первичной переработки нефти ингибитор берут в количестве 0,001-0,05 мас.% в бензине.
Предлагаемый ингибитор позволяет длительно сохранять эффективность при изменении режимов переработки нефти, не влиять на качество товарных продуктов, не образовывать отложений, быть стойким к окислению, восстановлению и высоким температурам, сохранять эффективность при пониженных концентрациях ингибитора, обеспечивать торможение питтинга и других видов локальной коррозии, не быть токсичным и в то же время иметь доступную сырьевую базу для их производства.
Согласно изобретению указанная цель достигается при использовании в качестве ингибитора смеси сложных эфиров N-оксиэтиленкапролактама и синтетических жирных кислот (СЖК) фракции С10-С16 общей формулы:![]() где R=C9H19 C15H31.
Предлагаемый ингибитор может быть получен известным способом в две стадии.
1 стадию – оксиэтилирование капролактама осуществляют по методике (Японск. пат. 26176, 11.11.68) с использованием эквимолярных количеств исходных продуктов путем барботирования окиси этилена через расплав капролактама при температуре 125-140oС, под давлением 3 атм или без него, в присутствии КОН в качестве катализатора в количестве 0,01-0,1 мас.% в расчете на капролактам по реакции:![]() II стадию – получение сложного эфира N-оксиэтиленкапролактама и синтетических жирных кислот осуществляют по методике (Б.К. Зейналов, Ф.И. Гарибов, А. Б. Насиров и др. Азерб. нефт. хоз-во, 1973, 2, с.32-33; авт. свид. СССР 292958, 17.03.71) путем нагревания эквимолярных количеств реагентов (N-оксиэтиленкапролактама и СЖК фракции 10-C16) в ксилоле при температуре 140-150oС в течение 10-18 часов. В качестве катализатора используют ионообменную смолу КЧ-2-8 чс в H+-форме в количестве 2-10 мас.% в расчете на СЖК по реакции: ![]() где R=C9H19 C15H31.
Предлагаемый ингибитор используют для защиты от атмосферной коррозии черных и цветных металлов в количестве 1-3 мас.% в минеральном масле, а для защиты стали в условиях первичной переработки нефти 0,001-0,05 мас.% в бензине.
Промышленная применимость предлагаемого ингибитора подтверждается следующими примерами.
Получение ингибитораПример 1 В колбу, снабженную мешалкой, обратным холодильником и барботером, помещают 56,3 г (0,5 моль) капролактама, 0,056 г (0,001 моль) едкого кали. Нагревают смесь до 125oС и через расплав капролактама пропускают в течение 1 часа 22 г (0,5 моль) газообразной окиси этилена. После пропускания расчетного количества окиси этилена реакционную смесь выдерживают при температуре 140oС еще в течение 2 часов. Полученный продукт далее подвергается этерификации синтетическими жирными кислотами фракции C10-C16 со средней мол. массой 220. В колбу, снабженную мешалкой, обратным холодильником, термометром и отстойником Дина-Старка, помещают 157 г (1 моль) СЖК фракции C10-C16, 4,4 г ионообменной смолы КУ-2-8 чс и 660 мл ксилола. Реакционную смесь перемешивают при температуре 140oС в течение 18 часов до отделения реакционной воды. После завершения реакции ионообменную смолу отфильтровывают от реакционной массы, растворитель ксилол отгоняют при атмосферном давлении, остаток представляет собой смесь эфиров N-оксиэтиленкапролактама и синтетических жирных кислот со следующим содержанием углеродных атомов в цепи, %: С9 0,56; С10 8,20; изо-С10 0,24; С11 12,54; изо-С11 0,89; С12 15,24; изо-С12 0,30; С13 16,89; С14 14,47; С15 13,42; С16 9,30; С17 5,54; С18 2,4. Физико-химические характеристики полученных соединений приведены в таблице 1. Пример 2 В условиях по примеру 1 проводят этерификацию 157,0 г (1 моль) N-оксиэтиленкапролактама и 219 г (1 моль) СЖК фракции 10-C16 со средней мол.м. 219 в присутствии 4,4 г ионообменной смолы КУ-2-8 чс. Конечный продукт представляет собой смесь эфиров N-оксиэтиленкапролактама с СЖК фракции C10-C16. Пример 3 В условиях по примеру 1 проводят этерификацию 157,0 г (1 моль) N-оксиэтиленкапролактама и 214 г (1 моль) СЖК фракции 10-C16 со средней мол.м. 214 в присутствии 2,3 г ионообменной смолы КУ-2-8 чс. Конечный продукт представляет собой смесь эфиров N-оксиэтиленкапролактама и СЖК фракции C10-C16. Пример 4 В условиях по примеру 1 проводят этерификацию 157,0 г (1 моль) N-оксиэтиленкапролактама и 227 г (1 моль) СЖК фракции 10-C16 со средней мол.м. 227 в присутствии 4,6 г ионообменной смолы КУ-2-8 чс. Конечный продукт представляет собой смесь эфиров N-оксиэтиленкапролактама и СЖК фракции C10-C16. Пример 5 В условиях по примеру 1 проводят этерификацию 157,0 г (1 моль) N-оксиэтиленкапролактама и 215 г (1 моль) СЖК фракции 10-C16 со средней мол.м. 215 в присутствии 4,3 г ионообменной смолы КУ-2-8 чс. Конечный продукт представляет собой смесь эфиров N-оксиэтиленкапролактама и СЖК фракции C10-C16. Пример 6 В условиях по примеру 1 проводят этерификацию 157,0 г (1 моль) N-оксиэтиленкапролактама и 209 г (1 моль) СЖК фракции 10-C16 со средней мол.м. 209 в присутствии 4,2 г ионообменной смолы КУ-2-8 чс. Конечный продукт представляет собой смесь эфиров N-оксиэтиленкапролактама и СЖК фракции C10-C16. Физико-химические свойства полученного ингибитора характеризуются следующими показателями: d4 50=0,935-0,960; tкип., oС=292-310; tзаст., oC=(-1)-8; n23=1,465-1,4685; средняя мол.м. (по азоту) ~340. Элементарный состав сложного эфира N-оксиэтиленкапролактама и СЖК фракции C10-C16 следующий: Вычислено, %: N 3,9; Н 11,2; С 71,9; O 13,0; Найдено, %: N 4,0; Н 11,0; С 72,1; O 12,9. Выход ингибитора 85-90% от теоретического. Ик-спектры ингибитора сняты на ИК-спектофотометре ИR-20 в тонком слое между пластинами КВr. Строение полученной смеси сложных эфиров N-оксиэтиленкапролактама подтверждено следующим отнесением характеристических полос (см. таблицу 2). Коррозионные испытания полученного ингибитора проводят по двум методикам, приведенным ниже. Методика 1 Оценку защитных свойств ингибитора по отношению к черным металлам проводят на углеродистой стали Ст3 в смесях бензин – 3%-ный водный раствор NaСl (1: 1), подкисленный соляной кислотой до рН ~2,5, при температуре кипения смеси. Длительность испытаний – 1 час. В работе используют бензин-сырец, полученный прямой гонкой из западно-сибирской нефти с содержанием серы ~ 0,06%. Защитный эффект ингибитора оценивают по формуле: ![]() где – коэффициент торможения коррозии;К – потеря в весе пластин (в г/м2 час; мм/год) в холостом опыте (без ингибитора);К1 – то же, но в присутствии ингибитора. Методика 2 Оценку защитных свойств веществ в качестве ингибиторов атмосферной коррозии по отношению к черным и цветным металлам проводят в коррозионной климатической камере по ГОСТ 9.509-89 (метод 3). Изменение температуры осуществлялось автоматически: нагрев до 40oС, выдержка при этой температуре в течение 7 часов, охлаждение до комнатной температуры 1 час и выдержка в течение 16 часов. Общая продолжительность цикла составляет 24 часа, подготовка металлических образцов проводилась до чистоты 6. Относительная влажность 98-100% в камере создается наличием открытой поверхности над 0,5 М водным раствором глицерина. Общая продолжительность испытаний – 15 циклов. Эффективность ингибиторов оценивают по количеству очагов коррозии на металле по сравнению с их количеством в испытаниях без ингибитора.
Коэффициент торможения коррозии при испытаниях в камере рассчитывается по формуле:![]() где n2 – площадь коррозионного поражения поверхности на ингибитированных образцах через 15 циклов испытаний, %; n1 – то же на образцах без ингибитора, %. Пример 7 Пластины из углеродистой стали Ст3 в смеси бензина с 3%-ным раствором NaCl при рН 2,5 подвергают коррозионным испытаниям по методике 1. Скорость коррозии стали 12,95 г/м2 час или 1,25 мм/год.
Пример 8В условиях, аналогичных примеру 7, проводят коррозионные испытания смеси сложных эфиров N-оксиэтиленкапролактама и СЖК фр. C10-C16 в концентрации 0,05 мас.%. Скорость коррозии стали 0,104 г/м2 час или 0,01 мм/год. Коэффициент торможения коррозии равен 125.
Пример 9В условиях, аналогичных примеру 8, проводят коррозионные испытания смеси сложных эфиров N-оксиэтиленкапролактама и СЖК фр. C10-C16 в концентрации 0,001 мас.%. Скорость коррозии стали 0,622 г/м2 час или 0,06 мм/год. Коэффициент торможения коррозии равен 20. Результаты всех испытаний сведены в таблицу 3.
Из данных, представленных в таблице 3, следует, что предлагаемый ингибитор значительно превышает по эффективности:– отечественный ингибитор ИКБ-2-2 и импортный ингибитор ЕС-1021 В (производные имидазолина – прототипы); – отечественный ингибитор МСДА (аналог) – соль дициклогексиламина и СЖК C10-C16 (А. И. Алцыбеева, С.З. Левин. Ингибиторы коррозии металлов. Л.: Химия, 1968 г., 242 с., с.136); – сложные эфиры N-оксиэтиленкапролактама и индивидуальных кислот (С10, C12, C14, C18). Пример 10 (для сравнения без ингибитора) Пластины из углеродистой стали Ст3 окунались в индустриальное масло ИС-20, а затем подвергались коррозии в климатической камере в условиях испытаний методики 2. Коррозия на образцах через 15 циклов составляла 100%. Пример 11 Пластины из углеродистой стали Ст3 окунались в индустриальное масло ИС-20, содержащее 1% смеси сложных эфиров N-оксиэтиленкапролактама и СЖК фр. C10-C16, и затем подвергались коррозии в климатической камере в условиях испытаний методики 2. Коррозия на образцах через 15 циклов – 2,5%. Пример 12 Пластины из углеродистой стали Ст3 окунались в индустриальное масло ИС-20, содержащее 3% смеси сложных эфиров N-оксиэтиленкапролактама и СЖК фр. C10-C16, и затем подвергались коррозии в климатической камере в условиях испытаний методики 2. Коррозия на образцах через 15 циклов – 2,2%. Остальные результаты испытаний ингибиторов коррозии сведены в таблицу 4. Из данных, приведенных в таблице 4, следует, что полученный ингибитор обеспечивает лучшую защиту как черных, так и цветных металлов в атмосферных условиях, чем один из лучших известных отечественных ингибиторов атмосферной коррозии МСДА (аналог). Формула изобретения 1. Ингибитор коррозии стали в условиях первичной переработки нефти и атмосферной коррозии черных и цветных металлов, представляющий собой смесь сложных эфиров N-оксиэтиленкапролактама и синтетических жирных кислот технической фракции С10-С16 общей формулы
где R=C9H19 C15H31.
2. Ингибитор по п.1, отличающийся тем, что для защиты от атмосферной коррозии его берут в концентрации 1-3 мас.% в минеральном масле.
3. Ингибитор по п.1, отличающийся тем, что в условиях первичной переработки нефти его берут в количестве 0,001-0,05 мас.% в бензине.
РИСУНКИ
MM4A – Досрочное прекращение действия патента СССР или патента Российской Федерации на изобретение из-за неуплаты в установленный срок пошлины за поддержание патента в силе
Дата прекращения действия патента: 13.02.2006
Извещение опубликовано: 27.02.2007 БИ: 06/2007
NF4A Восстановление действия патента СССР или патента Российской Федерации на изобретение
Дата, с которой действие патента восстановлено: 20.05.2007
Извещение опубликовано: 20.05.2007 БИ: 14/2007
|
||||||||||||||||||||||||||


C15H31.
Для защиты от атмосферной коррозии ингибитор берут в концентрации 1-3 мас.% в минеральном масле.
В условиях первичной переработки нефти ингибитор берут в количестве 0,001-0,05 мас.% в бензине.
Предлагаемый ингибитор позволяет длительно сохранять эффективность при изменении режимов переработки нефти, не влиять на качество товарных продуктов, не образовывать отложений, быть стойким к окислению, восстановлению и высоким температурам, сохранять эффективность при пониженных концентрациях ингибитора, обеспечивать торможение питтинга и других видов локальной коррозии, не быть токсичным и в то же время иметь доступную сырьевую базу для их производства.
Согласно изобретению указанная цель достигается при использовании в качестве ингибитора смеси сложных эфиров N-оксиэтиленкапролактама и синтетических жирных кислот (СЖК) фракции С10-С16 общей формулы:



– коэффициент торможения коррозии;
час; мм/год) в холостом опыте (без ингибитора);
6. Относительная влажность 98-100% в камере создается наличием открытой поверхности над 0,5 М водным раствором глицерина. Общая продолжительность испытаний – 15 циклов. Эффективность ингибиторов оценивают по количеству очагов коррозии на металле по сравнению с их количеством в испытаниях без ингибитора.
Коэффициент торможения коррозии 
где R=C9H19