Патент на изобретение №2150734
|
||||||||||||||||||||||||||
(54) ОПТИЧЕСКИЙ ГЕНЕРАТОР ХАОТИЧЕСКИХ ПОСЛЕДОВАТЕЛЬНОСТЕЙ
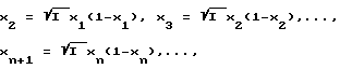
(57) Реферат: Изобретение относится к вычислительной технике и может быть использовано при статистическом моделировании оптическими средствами. Техническим результатом является возможность регулирования степени случайности амплитуд генерируемого процесса. Генератор содержит усилитель, электрооптический модулятор, оптический разветвитель, оптический фазовый модулятор и оптические бистабильные элементы. 1 ил. Изобретение относится к специализированной вычислительной технике и может быть использовано при статистическом моделировании, создании оптических средств обработки информации и т.д. Известны генераторы случайного процесса, обеспечивающие при формировании случайных величин заданный закон распределения с различной степенью приближения [А. С. N 1170454, кл. G 06 F 7/58, СССР; А.С. N 1317435, кл. G 06 F 7/58, СССР; А. С. N 1509884, кл. G 06 F 7/58, СССР]. Наиболее близким по техническому исполнению к предложенному устройству является стохастический фильтр [патент РФ N 2050581, 20.12.95], содержащий источник излучения, оптический разветвитель, электрооптический модулятор и фотоприемник. Недостатком данных устройств является отсутствие возможности регулирования степени случайности (хаотичности) амплитуд генерируемого процесса и обеспечения высокоточного приближения закона распределения амплитуд выходной последовательности к равномерному. Заявленное изобретение направлено на решение задачи формирования хаотического процесса с заданной степенью “случайности” (управляемым параметром хаотизации) и законом распределения его амплитуд, стремящимся к равномерному с регулируемой точностью. Поставленная задача возникает при моделировании сложных систем, анализе выходных сигналов систем большой размерности, разработке перспективных средств обработки информации и т.д. Сущность изобретения состоит в том, что в него введены усилитель, два оптических волновода, оптический фазовый модулятор, два оптических бистабильных элемента, выход источника излучения через первый оптический волновод подключен к информационному входу электрооптического модулятора, выход которого подключен ко входу оптического разветвителя, выход третьего оптического разветвления которого подключен ко входу фотоприемника, выход которого подключен к объединенному со входом устройства входу усилителя, выход которого подключен к управляющему входу электрооптического модулятора, информационный вход которого через последовательно соединенные второй оптический волновод и оптический фазовый модулятор оптически связан с выходом второго оптического разветвления оптического разветвителя, выход первого оптического разветвления которого подключен ко входу первого оптического бистабильного элемента, инверсный выход которого подключен ко входу второго оптического бистабильного элемента, прямой выход которого является выходом устройства. В основу работы генератора положено свойство функционального отображения вида xn+1 = r(1 – xn)xn, где r – параметр хаотизации; xn [0,1],порождать при итерировании хаотическую последовательность случайных величин [Шустер Г. Детерминированный хаос. – М.: Мир, 1988 г.]. При этом величина r влияет на характер плотности распределения последовательности амплитуд xn и определяет степень близости их закона распределения к равномерному [там же, стр.52]. Для обеспечения практического совпадения генерируемого закона распределения с равномерным достаточно отсечь “хвосты” плотности его распределения, т.е. осуществить цензурирование случайной последовательности на выходе устройства (амплитудную селекцию по верхнему xmax = 1- 1 и нижнему xmin = 2 значениям процесса, 1, 2 1 [там же, стр. 73].
Сущность изобретения поясняется чертежом, где представлена функциональная схема устройства.
Устройство содержит источник когерентного излучения 1, первый оптический волновод 2, электрооптический модулятор (ЭОМ) 3, оптический разветвитель 4, содержащий оптические разветвления 41, 42, 43, фотоприемник 5, усилитель 6, оптический фазовый модулятор 7, второй оптический волновод 8, первый и второй оптические бистабильные элементы (ОБЭ) 91, 92.
Источник излучения 1 в общем случае может быть выполнен управляемым – с регулируемой интенсивностью оптического потока. ЭОМ 3 может быть выполнен в виде ЭОМ Керра, обеспечивающего модуляцию интенсивности оптического сигнала.
Оптический фазовый модулятор 7 обеспечивает пространственный сдвиг фазы оптического потока на и может быть выполнен в виде оптически прозрачной пластины заданной толщины.
ОБЭ 91, 92 могут быть выполнены в виде одного из типов ОБЭ, имеющих два выхода: прямой – для оптического сигнала с амплитудой, превышающей порог срабатывания ОБЭ, и инверсный – для сигнала с амплитудой, меньшей пороговой [Семенов А. С. и др. Интегральная оптика для систем передачи и обработки информации. – М.: Радио и связь, 1990 г.].
Выход источника излучения 1 через первый оптический волновод 2 подключен к информационному входу ЭОМ 3, выход которого подключен ко входу оптического разветвителя 4. Выход третьего оптического разветвления 43 оптического разветвителя 4 подключен ко входу фотоприемника 5, выход которого подключен ко входу усилителя 6, объединенного со входом устройства. Выход усилителя 6 подключен к управляющему входу ЭОМ 3. Выход второго оптического разветвления 42 через оптический фазовый модулятор 7 подключен ко входу второго оптического волновода 8, выход которого подключен к информационному входу ЭОМ 3.
Выход первого оптического разветвления 41 подключен ко входу первого ОБЭ 91, инверсный выход которого подключен ко входу второго ОБЭ 92, прямой выход которого является выходом устройства.
Устройство работает следующим образом.
Когерентный оптический поток интенсивности I с выхода источника излучения 1 через первый оптический волновод 2 поступает на информационный вход электрооптического модулятора (ЭОМ) 3. На управляющий вход ЭОМ 3 в начальный момент времени работы поступает со входа устройства через усилитель 6 (с коэффициентом усиления = 3) сигнал x02, где x0 – начальное значение хаотического процесса. Модулированный в соответствии с сигналом на управляющем входе оптический сигнал на выходе ЭОМ 3 интенсивности 3I x02 поступает на вход оптического разветвителя 4, где разветвляется на три оптических потока интенсивности I x02.
С выхода первого оптического разветвления 41 оптический поток поступает на вход первого оптического бистабильного элемента (ОБЭ) 91, с выхода второго оптического разветвления 42 – на вход фазового модулятора 7, с выхода третьего оптического разветвления 43 – на вход фотоприемника 5. С выхода фазового модулятора 7 оптический поток (фаза которого по отношению к входному потоку сдвинута на по второму оптическому волноводу 8 поступает на информационный вход ЭОМ 3, где интерферирует с выходным оптическим потоком первого оптического волновода 2. Т.к. фазы данных оптических сигналов сдвинуты на , то на информационном входе ЭОМ 3 формируется оптический сигнал с амплитудой (с интенсивностью I(1 – x0)2). В то же время оптический сигнал с выхода третьего оптического разветвления 43, проходя через фотоприемник 5 и усилитель 6, формирует на управляющем входе ЭОМ 3 модулирующий сигнал 3Ix02. Данный управляющий сигнал, обеспечивая модуляцию по интенсивности входного оптического потока с интенсивностью I(1 – x0)2, приводит к формированию на выходе ЭОМ 3 оптического потока с хаотической интенсивностью 3I2(1 – x0)2 x02, а на выходах оптических разветвлений 41.. . 43 – с интенсивностями I2(1 – x0)2x02 = I x12, то есть хаотическими амплитудами , где . Далее процесс формирования новых хаотических сигналов на выходе ЭОМ 3 и, следовательно, на выходах оптического разветвителя 4 с хаотическими амплитудами повторяется аналогично вышеизложенному.
Очевидно, что управление интенсивностью излучения 1 (в источнике излучения 1) обеспечивает возможность регулирования параметра (степени) хаотичности генерируемого процесса. Для максимального приближения распределения амплитуд хаотического процесса к равномерному предусмотрено цензурирование (отсечение “хвостов” x < xmin , x > xmax его плотности распределения за счет введенного последовательного соединения двух ОБЭ 91, 92. Порог срабатывания по амплитуде первого ОБЭ 91 выбран равным xmax, второго ОБЭ 92 – xmin. При поступлении на вход первого ОБЭ 91, оптических сигналов с хаотической амплитудой, большей xmax, они проходят непосредственно на его прямой выход, где далее поглощаются. Если же амплитуды сигналов меньше xmax, то они поступают на инверсный выход ОБЭ 91 и далее – на вход ОБЭ 92. В случае превышения по амплитуде порога xmin, хаотические сигналы проходят на прямой выход ОБЭ 92, формируя на выходе устройства требуемый хаотический процесс (в противном случае поступают на инверсный выход ОБЭ 92, где далее поглощаются). Т. о. , с выхода устройства снимаются хаотические колебания с заданным параметром хаотизации.
Формула изобретения
РИСУНКИ
MM4A Досрочное прекращение действия патента Российской Федерации на изобретение из-за неуплаты в установленный срок пошлины за поддержание патента в силе
Дата прекращения действия патента: 27.01.2001
Номер и год публикации бюллетеня: 6-2003
Извещение опубликовано: 27.02.2003
|
||||||||||||||||||||||||||

[0,1],
1 и нижнему xmin =
1 [там же, стр. 73].
Сущность изобретения поясняется чертежом, где представлена функциональная схема устройства.
Устройство содержит источник когерентного излучения 1, первый оптический волновод 2, электрооптический модулятор (ЭОМ) 3, оптический разветвитель 4, содержащий оптические разветвления 41, 42, 43, фотоприемник 5, усилитель 6, оптический фазовый модулятор 7, второй оптический волновод 8, первый и второй оптические бистабильные элементы (ОБЭ) 91, 92.
Источник излучения 1 в общем случае может быть выполнен управляемым – с регулируемой интенсивностью оптического потока. ЭОМ 3 может быть выполнен в виде ЭОМ Керра, обеспечивающего модуляцию интенсивности оптического сигнала.
Оптический фазовый модулятор 7 обеспечивает пространственный сдвиг фазы оптического потока на
и может быть выполнен в виде оптически прозрачной пластины заданной толщины.
ОБЭ 91, 92 могут быть выполнены в виде одного из типов ОБЭ, имеющих два выхода: прямой – для оптического сигнала с амплитудой, превышающей порог срабатывания ОБЭ, и инверсный – для сигнала с амплитудой, меньшей пороговой [Семенов А. С. и др. Интегральная оптика для систем передачи и обработки информации. – М.: Радио и связь, 1990 г.].
Выход источника излучения 1 через первый оптический волновод 2 подключен к информационному входу ЭОМ 3, выход которого подключен ко входу оптического разветвителя 4. Выход третьего оптического разветвления 43 оптического разветвителя 4 подключен ко входу фотоприемника 5, выход которого подключен ко входу усилителя 6, объединенного со входом устройства. Выход усилителя 6 подключен к управляющему входу ЭОМ 3. Выход второго оптического разветвления 42 через оптический фазовый модулятор 7 подключен ко входу второго оптического волновода 8, выход которого подключен к информационному входу ЭОМ 3.
Выход первого оптического разветвления 41 подключен ко входу первого ОБЭ 91, инверсный выход которого подключен ко входу второго ОБЭ 92, прямой выход которого является выходом устройства.
Устройство работает следующим образом.
Когерентный оптический поток интенсивности I с выхода источника излучения 1 через первый оптический волновод 2 поступает на информационный вход электрооптического модулятора (ЭОМ) 3. На управляющий вход ЭОМ 3 в начальный момент времени работы поступает со входа устройства через усилитель 6 (с коэффициентом усиления = 3) сигнал x02, где x0 – начальное значение хаотического процесса. Модулированный в соответствии с сигналом на управляющем входе оптический сигнал на выходе ЭОМ 3 интенсивности 3I
x02 поступает на вход оптического разветвителя 4, где разветвляется на три оптических потока интенсивности I
(с интенсивностью I(1 – x0)2). В то же время оптический сигнал с выхода третьего оптического разветвления 43, проходя через фотоприемник 5 и усилитель 6, формирует на управляющем входе ЭОМ 3 модулирующий сигнал 3Ix02. Данный управляющий сигнал, обеспечивая модуляцию по интенсивности входного оптического потока с интенсивностью I(1 – x0)2, приводит к формированию на выходе ЭОМ 3 оптического потока с хаотической интенсивностью 3I2(1 – x0)2
, где
. Далее процесс формирования новых хаотических сигналов на выходе ЭОМ 3 и, следовательно, на выходах оптического разветвителя 4 с хаотическими амплитудами
повторяется аналогично вышеизложенному.
Очевидно, что управление интенсивностью излучения 1 (в источнике излучения 1) обеспечивает возможность регулирования параметра (степени) хаотичности
генерируемого процесса. Для максимального приближения распределения амплитуд хаотического процесса к равномерному предусмотрено цензурирование (отсечение “хвостов” x < xmin , x > xmax его плотности распределения за счет введенного последовательного соединения двух ОБЭ 91, 92. Порог срабатывания по амплитуде первого ОБЭ 91 выбран равным xmax, второго ОБЭ 92 – xmin. При поступлении на вход первого ОБЭ 91, оптических сигналов с хаотической амплитудой, большей xmax, они проходят непосредственно на его прямой выход, где далее поглощаются. Если же амплитуды сигналов меньше xmax, то они поступают на инверсный выход ОБЭ 91 и далее – на вход ОБЭ 92. В случае превышения по амплитуде порога xmin, хаотические сигналы проходят на прямой выход ОБЭ 92, формируя на выходе устройства требуемый хаотический процесс (в противном случае поступают на инверсный выход ОБЭ 92, где далее поглощаются). Т. о. , с выхода устройства снимаются хаотические колебания с заданным параметром хаотизации.