Патент на изобретение №2225412
|
||||||||||||||||||||||||||
(54) Новый ахиральный дифосфиновый лиганд, комплексы на его основе и способ его получения
(57) Реферат: Изобретение относится к новым ахиральным дифосфиновым лигандам бигетероарильного типа. Описывается новый ахиральный дифосфиновый лиганд
Также описываются дифосфиновые комплексы переходных металлов формул IIa и IIIa.
и способ синтеза соединения Ia. Технический результат – получено новое соединение и дифосфиновые комплексы на его основе, которые могут быть использованы в каталитических процессах: аминировании, кросс-сочетании, гидроформилировании, гидроцианировании, гидрировании, аллильном алкилировании, полимеризации -олефинов и других реакциях, приводящих к образованию С-С и C-N связей. 3 с.п. ф-лы, 2 табл.
Изобретение относится к новым ахиральным дифосфиновым лигандам бигетероарильного типа, комплексам переходных металлов на основе данных дифосфинов и способам получения дифосфинов и их комплексов.
Процессы, катализируемые дифосфиновыми комплексами переходных металлов, такие как аминирование, кросс-сочетание, аллильное алкилирование, гидроцианирование, гидроформилирование, гидрирование и другие, являются объектом повышенного интереса науки и индустрии. Однако стоит отметить, что эффективность дифосфинов в каталитических реакциях очень сильно зависит от выбранного процесса и используемого субстрата.
Предложенные соединения не известны ни из технической, ни из патентной литературы.
Предложены новые ахиральные дифосфины общей формулы I:
где
R1=R3 или R1 R3 – линейный или разветвленный C1-C20 алкил; циклический С3-C8 алкил; фенил; замещенный арил или гетарил, где заместители – линейный или разветвленный C1-С20 алкил, галоген; OR10, где R10 – водород, линейный или разветвленный C1-C20 алкил, фенил, замещенный арил; NR11R12 (R11=R12 или R11 R12), где R11 и R12 – линейный или разветвленный C1-C20 алкил, арил;
SR13, где R13 – линейный или разветвленный C1-C20 алкил;
R2 – водород; линейный или разветвленный C1-C20 алкил; циклический С3-C8 алкил; фенил; замещенный арил или гетарил, где заместители – линейный или разветвленный C1-C20 алкил, галоген;
R6, R7, R8, R9 – линейный или разветвленный C1-C20 алкил; циклический С3-C8 алкил; фенил; замещенный арил или гетарил, где заместители – это линейный или разветвленный C1-C20 алкил, галоген; OR14, где R14 – водород, линейный или разветвленный C1-С20 алкил, фенил, замещенный арил; NR15R16 (R15=R16 или R15 R16), где R15 и R16 – линейный или разветвленный С1-С20 алкил, фенил, замещенный арил; SR17, где R17 – линейный или разветвленный C1-C20 алкил; R6 и R7 (R8 и R9) могут быть связаны мостиком (OR18O, где R18 – 1,1′-бинафтил; кислородным; серным; азотным);
Y=C1-C6, Si;
R4, R5 – водород, алкил, арил;
Х= S, N, О, Р. Вариантом дифосфина общей формулы I является:
Предложены дифосфиновые комплексы переходных металлов общей формулы II и III:
где
R1=R3 или R1 R3 – линейный или разветвленный C1-C20 алкил; циклический С3-C8 алкил; фенил; замещенный арил или гетарил, где заместители – линейный или разветвленный C1-С20 алкил, галоген; OR10, где R10 – водород, линейный или разветвленный C1-C20 алкил, фенил, замещенный арил; NR11R12 (R11=R12 или R11 R12), где R11 и R12 – линейный или разветвленный C1-C20 алкил, арил;
SR13, где R13 – линейный или разветвленный C1-C20 алкил;
R2 – водород; линейный или разветвленный C1-С20 алкил; циклический С3-С8 алкил; фенил; замещенный арил или гетарил, где заместители – линейный или разветвленный C1-С20 алкил, галоген;
R6, R7, R8, R9 – линейный или разветвленный C1-С20 алкил; циклический С3-C8 алкил; фенил; замещенный арил или гетарил, где заместители – это линейный или разветвленный C1-С20 алкил, галоген; OR14, где R14 – водород, линейный или разветвленный C1-С20 алкил, фенил, замещенный арил; NR15R16 (R15=R16 или R15 R16), где R15 и R16 – линейный или разветвленный C1-С20 алкил, фенил, замещенный арил; SR17, где R17 – линейный или разветвленный C1-С20 алкил; R6 и R7(R8 и R9) могут быть связаны мостиком (OR18O, где R18 – 1,1′-бинафтил; кислородным; серным; азотным);
Y=C1-C6, Si;
R4, R5 – водород,алкил,арил;
Х= S, N, О, Р;
М= переходный металл (включая металлы 3-8 групп таблицы Менделеева);
Z= галоген; фосфин; замещенный этилен; эфир; амин; ацетат, включая трифторацетат; амид; алкоксид (n= 0-4).
Вариантом дифосфинового комплекса общей формулы II является:
Структура соединения IIа подтверждена методом рентгеноструктурного анализа (РСА):
где
R1=R3 или R1 R3 – линейный или разветвленный C1-C20 алкил; циклический С3-C8 алкил; фенил; замещенный арил или гетарил, где заместители – линейный или разветвленный C1-C20 алкил, галоген; OR8, где R8 – водород, линейный или разветвленный C1-C20 алкил, фенил, замещенный арил; NR9R10 (R9=R10 или R9 R10), где R9 и R10 – линейный или разветвленный C1-C20 алкил, арил; SR11, где R11 – линейный или разветвленный C1-C20 алкил;
R2 -водород; линейный или разветвленный C1-C20 алкил; циклический С3-C8 алкил; фенил; замещенный арил или гетарил, где заместители – линейный или разветвленный C1-C20 алкил, галоген;
R4, R5, R6, R7 – линейный или разветвленный C1-C20 алкил; циклический С3-C8 алкил; фенил; замещенный арил или гетарил, где заместители – это линейный или разветвленный C1-C20 алкил, галоген; OR12, где R12 – водород, линейный или разветвленный C1-C20 алкил, фенил, замещенный арил; NR13R14 (R13=R14 или R13 R14), где R13 и R14 – линейный или разветвленный C1-C20 алкил, фенил, замещенный арил; SR15, где R15 – линейный или разветвленныйC1-C20 алкил; R4 и R5 (R6 и R7) могут быть связаны мостиком (OR16O, где R16 – 1,1′-бинафтил; кислородным; серным; азотным);
X=S, N, O, P;
M= переходный металл (включая металлы 3-8 групп таблицы Менделеева);
Z= галоген; фосфин; замещенный этилен; эфир; амин; ацетат, включая трифторацетат, амид; алкоксид (n= 0-4).
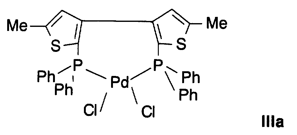
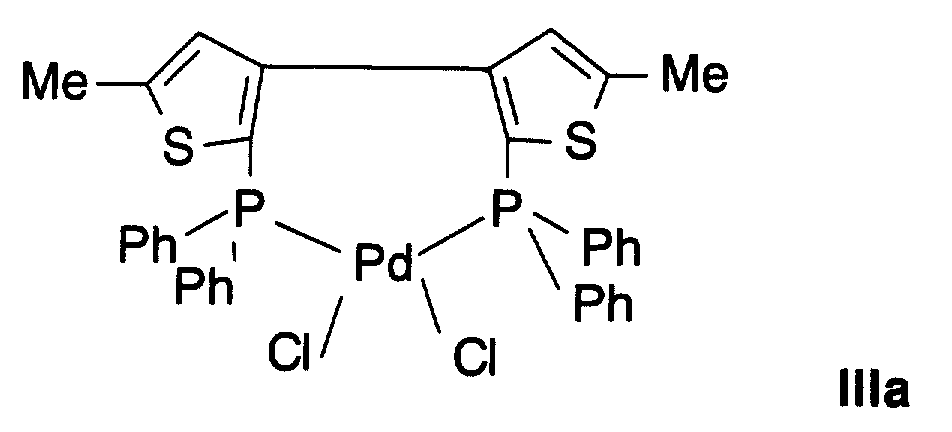
Вариантом дифосфинового комплекса общей формулы III является:
Структура соединения IIIa подтверждена методом РСА:
Предложен способ синтеза ахиральных дифосфинов общей формулы I, включающий получение промежуточных дилитиевых солей и последующую обработку реакционных смесей (R6-9)2PCl.
Предложен способ синтеза палладиевых комплексов общей формулы II и III, заключающийся в нагревании соответствующих дифосфиновых лигандов с PdCl2 в тетрагидрофуране.
Пример 1. Синтез соединения Ia
К раствору 3-бромо-2[(3-бромо-5-метил-2-тиенил)метил]-5-метилтиофена (5 г, 0,014 моль) в Et2O (50 мл) при охлаждении до -70°С в атмосфере аргона прибавили 1,6 М раствор BuLi в гексане (19,4 мл, 0,031 моль). Реакционную смесь перемешивали, поддерживая охлаждение, в течение 1.5 ч и прибавили раствор Ph2PCl (6,1 мл, 0,034 моль) в Et2O (10 мл). Охлаждение сняли и оставили перемешиваться на 12 часов. Затем к реакционной смеси прибавили 10%-ный раствор NH4Cl (50 мл), осадок отфильтровали, промыли водой и Et2O. Полученное серое мелкокристаллическое вещество высушили в высоком вакууме и очистили колоночной хроматографией (силикагель 60, бензол). Растворитель удалили. Продукт: белое мелкокристаллическое вещество. Выход:
1,75 г (22 %). ЯМР 1H (СDCl3, , м.д.): 2,35 (с., 6Н, Me); 4,83 (с., 2Н, -CH2-); 6,29 (с., 2Н, -СН= тиофенового кольца); 7,35-7,50 (м., 20Н, -СН=, Рh). ЯМР 31Р (CDCl3, , м.д.): -30,75 (с.). ЯМР 13С (CDCl3, , м.д.,J/Гц): 15,10 (-СН3); 29,08 (т., J = 19,5) (-СН2-); 128,10, 128,18 (т., J = 3,2), 128,74 (-СН=); 131,51(д., J = 13) (=С<); 132,94 (д., J = 19,9) (-СН=); 137,85 (д., J =9,0), 138,27,149,10 (д.,J = 35,8) (=С<). Найдено (%): С, 72,97; Н, 5,18, С35Н30Р2S2. Вычислено (%): С, 72,89; Н, 5,24.
Пример 2. Синтез соединения IIа
К раствору 3,3′-бис(дифенилфосфино)-5,5′-диметил-2,2′-дитиенилметана Iа (0,69 г, 0,0012 моль) в тетрагидрофуране (15 мл) прибавили PdCl2 (0,21 г, 0,0012 моль). Реакционную смесь нагревали при перемешивании в течение 1.5 часа, охладили до комнатной температуры, выпавший осадок отфильтровали. Продукт: желтое мелкокристаллическое вещество. Выход: 0,33 г (37%). ЯМР 1H (СDCl3, , м.д.): 2,20 (с., 6Н, Me); 5,39 (уш. с., 2Н, -СН2-); 6,06 (с., 2Н, -СН= тиофенового кольца); 7,20-7,26, 7,35-7,40, 7,50-7,56 (все м., 20Н, -СН=, Ph). ЯМР 31Р (СDCl3, , м.д.): 10,71 (с.). Найдено (%): С, 55,87; Н, 3,91. С35Н30Р2S2РdCl2. Вычислено (%): С, 55,75; Н, 4,01.
Пример 3. Синтез соединения IIIа
Соединение получили аналогично комплексу IIа исходя из: 2,2′-бис(дифенилфосфино)-5,5′-диметил-3,3′-дитиофена IV (1 г, 0,0018 моль), PdCl2 (0,32 г, 0,0018 моль) и ТГФ (20 мл). Продукт: желтое мелкокристаллическое вещество. Выход: 1 г (76 %). ЯМР 1H (СDCl3, , м.д.):2,20 (с., 6Н, Me); 6,40 (с., 2Н, -СН= тиофенового кольца); 7,40-7,55 (гр. м., 20Н, -СН=, Ph). ЯМР 31Р (CDCl3, , м.д.): 14,25 (с.). Найдено (%): С, 55,29; Н, 3,89. С34Н28Р2S2РdCl2. Вычислено (%): С, 55,18; Н, 3,81.
Дифосфиновые комплексы общей формулы II и III использованы в каталитических процессах: аминировании, кросс-сочетании, гидроформилировании, гидроцианировании, гидрировании, аллильном алкилировании, полимеризации -олефинов и других реакциях, приводящих к образованию С-С и C-N связей. В каталитических процессах могут быть использованы не только комплексы, но и сами дифосфиновые лиганды. В связи с этим, лиганд (IV), являющийся структурным фрагментом комплекса IIIа, был использован в вышеперечисленных каталитических процессах.
Пример 4. Кросс-сочетание п-бромтолуола и втор-бутилмагнийхлорида
Результаты количественного анализа компонентов реакционной смеси в кросс-сочетании п-бромтолуола и втор-бутилмагнийхлорида (4 ммоль п-бромтолуола, 12 ммоль втор-бутилмагнийхлорида, 0,04 ммоль PdCl2(P-P), 20 Mл Et2O) приведены в табл.1.
Пример 5. Реакция аминирования бромбензола с фенилэтиламином
Результаты количественного анализа компонентов реакционной смеси в реакции бромбензола с фенилэтиламином (4 ммоль бромбензола, 4,8 ммоль РhСН(МН2)СН3, 4,8 ммоль NaOtBu, 0,2 ммоль Pd(dba)2, 0,4 ммоль лиганда, 50 мл толуола, 100 °С, 3 часа) приведены в табл.2.
Пример 6. При использовании в реакции бромбензола с фенилэтиламином комплекса IIIa получены результаты, аналогичные приведенным в примере 5.
Формула изобретения 1. Новый ахиральный дифосфиновый лиганд
2. Дифосфиновые комплексы переходных металлов формул IIа и IIIa.
3. Способ синтеза соединения Iа по п.1 заключающийся во взаимодействии соединения Va с бутиллитием с последующей обработкой образующегося продукта дифенилхлорфосфином.
MM4A Досрочное прекращение действия патента Российской Федерации на изобретение из-за неуплаты в установленный срок пошлины за поддержание патента в силе
Дата прекращения действия патента: 13.03.2005
Извещение опубликовано: 20.05.2006 БИ: 14/2006
|
||||||||||||||||||||||||||

Также описываются дифосфиновые комплексы переходных металлов формул IIa и IIIa.
и способ синтеза соединения Ia. Технический результат – получено новое соединение и дифосфиновые комплексы на его основе, которые могут быть использованы в каталитических процессах: аминировании, кросс-сочетании, гидроформилировании, гидроцианировании, гидрировании, аллильном алкилировании, полимеризации
-олефинов и других реакциях, приводящих к образованию С-С и C-N связей. 3 с.п. ф-лы, 2 табл.
Изобретение относится к новым ахиральным дифосфиновым лигандам бигетероарильного типа, комплексам переходных металлов на основе данных дифосфинов и способам получения дифосфинов и их комплексов.
Процессы, катализируемые дифосфиновыми комплексами переходных металлов, такие как аминирование, кросс-сочетание, аллильное алкилирование, гидроцианирование, гидроформилирование, гидрирование и другие, являются объектом повышенного интереса науки и индустрии. Однако стоит отметить, что эффективность дифосфинов в каталитических реакциях очень сильно зависит от выбранного процесса и используемого субстрата.
Предложенные соединения не известны ни из технической, ни из патентной литературы.
Предложены новые ахиральные дифосфины общей формулы I:
где
R1=R3 или R1
R3 – линейный или разветвленный C1-C20 алкил; циклический С3-C8 алкил; фенил; замещенный арил или гетарил, где заместители – линейный или разветвленный C1-С20 алкил, галоген; OR10, где R10 – водород, линейный или разветвленный C1-C20 алкил, фенил, замещенный арил; NR11R12 (R11=R12 или R11
Предложены дифосфиновые комплексы переходных металлов общей формулы II и III:
где
R1=R3 или R1
Структура соединения IIа подтверждена методом рентгеноструктурного анализа (РСА):
где
R1=R3 или R1
Структура соединения IIIa подтверждена методом РСА:
Предложен способ синтеза ахиральных дифосфинов общей формулы I, включающий получение промежуточных дилитиевых солей и последующую обработку реакционных смесей (R6-9)2PCl.
Предложен способ синтеза палладиевых комплексов общей формулы II и III, заключающийся в нагревании соответствующих дифосфиновых лигандов с PdCl2 в тетрагидрофуране.
Пример 1. Синтез соединения Ia
К раствору 3-бромо-2[(3-бромо-5-метил-2-тиенил)метил]-5-метилтиофена (5 г, 0,014 моль) в Et2O (50 мл) при охлаждении до -70°С в атмосфере аргона прибавили 1,6 М раствор BuLi в гексане (19,4 мл, 0,031 моль). Реакционную смесь перемешивали, поддерживая охлаждение, в течение 1.5 ч и прибавили раствор Ph2PCl (6,1 мл, 0,034 моль) в Et2O (10 мл). Охлаждение сняли и оставили перемешиваться на 12 часов. Затем к реакционной смеси прибавили 10%-ный раствор NH4Cl (50 мл), осадок отфильтровали, промыли водой и Et2O. Полученное серое мелкокристаллическое вещество высушили в высоком вакууме и очистили колоночной хроматографией (силикагель 60, бензол). Растворитель удалили. Продукт: белое мелкокристаллическое вещество. Выход:
1,75 г (22 %). ЯМР 1H (СDCl3,
, м.д.): 2,35 (с., 6Н, Me); 4,83 (с., 2Н, -CH2-); 6,29 (с., 2Н, -СН= тиофенового кольца); 7,35-7,50 (м., 20Н, -СН=, Рh). ЯМР 31Р (CDCl3,
Пример 4. Кросс-сочетание п-бромтолуола и втор-бутилмагнийхлорида
Результаты количественного анализа компонентов реакционной смеси в кросс-сочетании п-бромтолуола и втор-бутилмагнийхлорида (4 ммоль п-бромтолуола, 12 ммоль втор-бутилмагнийхлорида, 0,04 ммоль PdCl2(P-P), 20 Mл Et2O) приведены в табл.1.
Пример 5. Реакция аминирования бромбензола с фенилэтиламином
Результаты количественного анализа компонентов реакционной смеси в реакции бромбензола с фенилэтиламином (4 ммоль бромбензола, 4,8 ммоль РhСН(МН2)СН3, 4,8 ммоль NaOtBu, 0,2 ммоль Pd(dba)2, 0,4 ммоль лиганда, 50 мл толуола, 100 °С, 3 часа) приведены в табл.2.
Пример 6. При использовании в реакции бромбензола с фенилэтиламином комплекса IIIa получены результаты, аналогичные приведенным в примере 5.
2. Дифосфиновые комплексы переходных металлов формул IIа и IIIa.
3. Способ синтеза соединения Iа по п.1 заключающийся во взаимодействии соединения Va с бутиллитием с последующей обработкой образующегося продукта дифенилхлорфосфином.