Патент на изобретение №2225411
|
||||||||||||||||||||||||||
(54) ПРОМЕЖУТОЧНЫЕ ПРОИЗВОДНЫЕ ЦЕФАЛОСПОРИНА И СПОСОБ ПОЛУЧЕНИЯ ЦЕФАЛОСПОРИНА
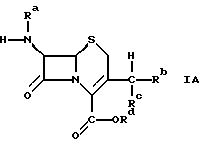
(57) Реферат: Изобретение относится к новым промежуточным производным цефалоспорина формулы IA, где ) Ra обозначает водород или силильную группу; Rb обозначает группу формулы -ORe, в которой Re обозначает водород или алкил; a Rc и Rd вместе обозначают связь; или ) Ra и Rb обозначает водород или силильную группу; а Rb и Rc совместно обозначают иминогруппу формулы =N-Y, в которой Y обозначает фенил; или ) Rd обозначает водород или силильную группу; Ra обозначает водород, если Rd обозначает водород; либо Ra обозначает водород или силильную группу, если Rd обозначает силильную группу; Rb и Rc совместно обозначают оксогруппу и силильная группа обозначает три(низш.алкил)силильную группу, в свободной форме или в форме соли, в качестве промежуточного продукта для получения цефалоспоринов. Способ получения цефалоспорина, включающий: 1) взаимодействие соединения формулы IA, в которой R обозначают силильную группу, с соединением формулы XI или с соединением формулы XII, в которой R5 и R6 одинаковые или различные и обозначают водород или органическую группу, либо R5 и R6 вместе обозначают замещенное или незамещенное кольцо, R10 обозначает арил или низший алкил, Cat+ обозначает катион щелочного металла или протонированную форму сильного органического основания, с образованием соединения формулы XIII, в которой R5, R6 и R определены выше; 2) десилилирование соединения формулы XIII с образованием соединения формулы VI, в которой R5 и R6 одинаковые или различные и обозначают водород или органическую группу либо R5 и R6 вместе обозначают замещенное или незамещенное кольцо; и 3) превращение соединения формулы VI в цефалоспорин. Технический результат – новые промежуточные производные цефалоспорина. 2 с. и 5 з.п. ф-лы.
![]() ![]() ![]() ![]() ![]()
Текст описания в факсимильном виде (см. графическую часть)е
Формула изобретения 1. Соединение формулы IA
где ) Ra обозначает водород или силильную группу; Rb обозначает группу формулы -ORe в которой Re обозначает водород или алкил; Rc и Rd вместе обозначают связь; или
) Ra и Rb обозначает водород или силильную группу; Rb и Rc совместно обозначают иминогруппу формулы =N-Y, в которой Y обозначает фенил; или
) Rd обозначает водород или силильную группу; Ra обозначает водород, если Rd обозначает водород; либо Ra обозначает водород или силильную группу, если Rd обозначает силильную группу;
Rb и Rc совместно обозначают оксогруппу;
и силильная группа обозначает три(низш. алкил)силильную группу; в свободной форме или в форме соли, в качестве промежуточного продукта для получения цефалоспоринов.
2. Соединение по п.1, представляющее собой соединение формулы Iб
в которой Re обозначает водород или алкил.
3. Соединение по п.1, представляющее собой соединение формулы I
в которой X– обозначает анион неорганической или органической кислоты и 1 обозначает водород или алкил.
4. Соединение по п.1, представляющее собой соединение формулы Iа
в которой R обозначает водород или силильную группу.
5. Соединение по п.1, представляющее собой соединение формулы II
в которой Y имеет значение, определенное в п.1, a R имеет значение, определенное в п.4, в свободной форме или в форме соли.
6. Соединение по п.1, представляющее собой соединение формулы I, определенной в п.3, где R1 обозначает водород, или соединения формулы Ib, определенной в п.2, в свободной форме, где Rе обозначает водород, или соединения формулы Iа, определенной в п.4, свободная или латентная альдегидная функциональная группа которого в положении 3 кольца взаимодействует с азотсодержащим альдегидным реагентом с образованием соответствующего продукта.
7. Способ получения цефалоспорина, включающий
1) взаимодействие соединения формулы IA
в которой R обозначают силильную группу, с соединение формулы XI
или с соединением формулы XII
в которой R5 и R6 одинаковые или различные и обозначают водород или органическую группу, либо R5 и R6 вместе обозначают замещенное или незамещенное кольцо, R10 обозначает арил или низший алкил, Cat+ обозначает катион щелочного металла или протонированную форму сильного органического основания, с образованием соединения формулы XIII
в которой R5, R6 и R определены выше;
2) десилилирование соединения формулы XIII с образованием соединения формулы VI
в которой R5 и R6 одинаковые или различные и обозначают водород или органическую группу, либо R5 и R6 вместе обозначают замещенное или незамещенное кольцо, и
3) превращение соединения формулы VI в цефалоспорин.
РИСУНКИ
PC4A – Регистрация договора об уступке патента Российской Федерации на изобретение
(73) Патентообладатель(и):
(73) Патентообладатель:
Дата и номер государственной регистрации перехода исключительного права: 28.10.2005 № РД0003569
Извещение опубликовано: 20.12.2005 БИ: 35/2005
PC4A – Регистрация договора об уступке патента Российской Федерации на изобретение
(73) Патентообладатель(и):
(73) Патентообладатель:
Дата и номер государственной регистрации перехода исключительного права: 10.04.2007 № РД0020515
Извещение опубликовано: 20.05.2007 БИ: 14/2007
MM4A – Досрочное прекращение действия патента СССР или патента Российской Федерации на изобретение из-за неуплаты в установленный срок пошлины за поддержание патента в силе
Дата прекращения действия патента: 25.04.2008
Извещение опубликовано: 20.09.2010 БИ: 26/2010
|
||||||||||||||||||||||||||

) Ra обозначает водород или силильную группу; Rb обозначает группу формулы -ORe, в которой Re обозначает водород или алкил; a Rc и Rd вместе обозначают связь; или
) Ra и Rb обозначает водород или силильную группу; а Rb и Rc совместно обозначают иминогруппу формулы =N-Y, в которой Y обозначает фенил; или
) Rd обозначает водород или силильную группу; Ra обозначает водород, если Rd обозначает водород; либо Ra обозначает водород или силильную группу, если Rd обозначает силильную группу; Rb и Rc совместно обозначают оксогруппу и силильная группа обозначает три(низш.алкил)силильную группу, в свободной форме или в форме соли, в качестве промежуточного продукта для получения цефалоспоринов. Способ получения цефалоспорина, включающий: 1) взаимодействие соединения формулы IA, в которой R обозначают силильную группу, с соединением формулы XI или с соединением формулы XII, в которой R5 и R6 одинаковые или различные и обозначают водород или органическую группу, либо R5 и R6 вместе обозначают замещенное или незамещенное кольцо, R10 обозначает арил или низший алкил, Cat+ обозначает катион щелочного металла или протонированную форму сильного органического основания, с образованием соединения формулы XIII, в которой R5, R6 и R определены выше; 2) десилилирование соединения формулы XIII с образованием соединения формулы VI, в которой R5 и R6 одинаковые или различные и обозначают водород или органическую группу либо R5 и R6 вместе обозначают замещенное или незамещенное кольцо; и 3) превращение соединения формулы VI в цефалоспорин. Технический результат – новые промежуточные производные цефалоспорина. 2 с. и 5 з.п. ф-лы.





Текст описания в факсимильном виде (см. графическую часть)е
где
в которой Re обозначает водород или алкил.
3. Соединение по п.1, представляющее собой соединение формулы I
в которой X– обозначает анион неорганической или органической кислоты и 1 обозначает водород или алкил.
4. Соединение по п.1, представляющее собой соединение формулы Iа
в которой R обозначает водород или силильную группу.
5. Соединение по п.1, представляющее собой соединение формулы II
в которой Y имеет значение, определенное в п.1, a R имеет значение, определенное в п.4, в свободной форме или в форме соли.
6. Соединение по п.1, представляющее собой соединение формулы I, определенной в п.3, где R1 обозначает водород, или соединения формулы Ib, определенной в п.2, в свободной форме, где Rе обозначает водород, или соединения формулы Iа, определенной в п.4, свободная или латентная альдегидная функциональная группа которого в положении 3 кольца взаимодействует с азотсодержащим альдегидным реагентом с образованием соответствующего продукта.
7. Способ получения цефалоспорина, включающий
1) взаимодействие соединения формулы IA
в которой R обозначают силильную группу, с соединение формулы XI
или с соединением формулы XII
в которой R5 и R6 одинаковые или различные и обозначают водород или органическую группу, либо R5 и R6 вместе обозначают замещенное или незамещенное кольцо, R10 обозначает арил или низший алкил, Cat+ обозначает катион щелочного металла или протонированную форму сильного органического основания, с образованием соединения формулы XIII
в которой R5, R6 и R определены выше;
2) десилилирование соединения формулы XIII с образованием соединения формулы VI
в которой R5 и R6 одинаковые или различные и обозначают водород или органическую группу, либо R5 и R6 вместе обозначают замещенное или незамещенное кольцо, и
3) превращение соединения формулы VI в цефалоспорин.