Патент на изобретение №2225409
|
||||||||||||||||||||||||||
(54) Производные тиенопиранкарбоксамидов
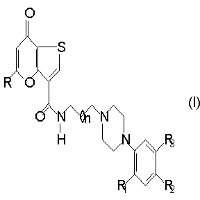
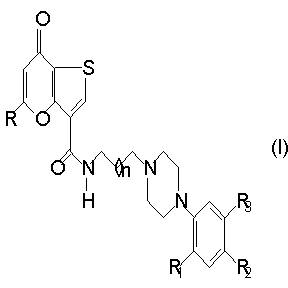
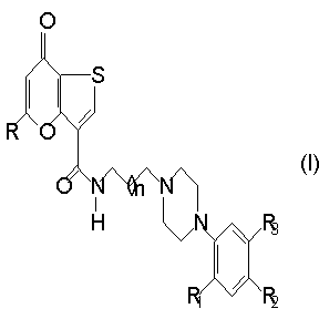
(57) Реферат: Настоящее изобретение относится к производным тиенопиранокарбоксамидов формулы I:
в которой R представляет арильную, циклоалкильную или полигалогеналкильную группу, r1 представляет алкильную, алкокси-, полифторалкокси-, гидрокси- или трифторметансульфонилоксигруппу, каждый из R2 и R3 представляет, независимо, атом водорода или галогена, или алкокси- или полифторалкоксигруппу, и n равен 0, 1 или 2, или N-оксид или фармацевтически приемлемая соль такого соединения. Описано также два варианта способа их получения и фармацевтическая композиция на основе соединений формулы I. Соединения обладают повышенной селективностью в отношении 1-адренергического рецептора и низкой активностью в отношении снижения кровяного давления. 4 с. и 11 з.п. ф-лы, 3 табл.
Текст описания в факсимильном виде (см. графическую часть)
Формула изобретения 1. Производные тиенопиранокарбоксамидов общей формулы I
в которой R представляет арильную, циклоалкильную или полигалогеналкильную группу;
R1 представляет алкильную, алкокси-, полифторалкокси-, гидрокси- или трифторметансульфонилоксигруппу;
каждый из R2 и R3 представляет, независимо, атом водорода или галогена или алкокси- или полифторалкоксигруппу; и
n равен 0, 1 или 2,
или N-оксид или фармацевтически приемлемая соль такого соединения.
2. Соединение по п.1, в котором R представляет фенильную, циклогексильную или трифторметильную группу.
3. Соединение по п.1 или 2, в котором R1 представляет метильную, метокси- или 2,2,2-трифторэтоксигруппу.
4. Соединение по любому из предшествующих пунктов, в котором R2 представляет атом водорода или фтора.
5. Соединение по любому из предшествующих пунктов, в котором R3 представляет атом водорода или хлора или 2,2,2-трифторэтоксигруппу.
6. Соединение по любому из предшествующих пунктов, в котором n равен 1.
7. Любое из следующих соединений:
N-{3-[4-(5-хлор-2-метоксифенил)-1-пиперазинил]пропил}-7-оксо-5-фенил-7Н-тиено[3,2-b]пиран-3-карбоксамид,
N-{3-[4-(2-метоксифенил)-1-пиперазинил]пропил}-7-оксо-5-фенил-7Н-тиено[3,2-b]пиран-3-карбоксамид,
5-циклогексил-N-{3-[4-(2-метоксифенил)-1-пиперазинил]пропил}-7-оксо-7Н-тиено[3,2-b]пиран-3-карбоксамид,
N-{3-[4-(2-метоксифенил)-1-пиперазинил]пропил}-7-оксо-5-трифторметил-7Н-тиено[3,2-b]пиран-3-карбоксамид,
7-оксо-5-фенил-N-{3-[4-[2-(2,2,2-трифторэтокси)фенил]-1-пиперазинил]пропил}-7Н-тиено[3,2-b]пиран-3-карбоксамид,
N-{3-[4-[2-метокси-5-(2,2,2-трифторэтокси)фенил]-1-пиперазинил]пропил}-7-оксо-5-фенил-7Н-тиено[3,2-b]пиран-3-карбоксамид и
N-{3-[4-[4-фтор-2-(2,2,2-трифторэтокси)фенил]-1-пиперазинил]пропил}-7-оксо-5-фенил-7Н-тиено[3,2-b]пиран-3-карбоксамид.
8. Фармацевтическая композиция, проявляющая L1-адренергическую активность, включающая соединение по любому из предшествующих пунктов или N-оксид или фармацевтически приемлемую соль такого соединения в смеси с фармацевтически приемлемым разбавителем или носителем.
9. Фармацевтическая композиция по п.8, дополнительно включающая антихолинергический агент.
10. Фармацевтическая композиция по п.9, в которой антихолинергический агент представляет один или более агент, выбранный из группы, включающей толтеродин, оксибутинин, дарифенацин, альвамелин и темиверин.
11. Способ получения соединения общей формулы I
в которой R представляет арильную, циклоалкильную или полигалогеналкильную группу;
R1 представляет алкильную, алкокси-, полифторалкокси-, гидрокси- или трифторметансульфонилоксигруппу;
каждый из R2 и R3 представляет, независимо, атом водорода или галогена, или алкокси- или полифторалкоксигруппу; и
n равен 0, 1 или 2,
включающий конденсацию производного 7-оксо-7Н-тиено[3,2-b]пиран-3-карбоновой кислоты общей формулы 1
в которой R имеет значения, определенные выше,
или сложного эфира, галогенида или ангидрида такого соединения с N-(w-аминоалкил)-N’-фенилпиперазиновым производным общей формулы 2
в которой n, R1, R2 и R3 имеют значения, определенные выше.
12. Способ по п.11, в котором конденсацию осуществляют в присутствии конденсирующего агента, такого, как дициклогексилкарбодиимид или диэтилцианофосфонат, необязательно, в присутствии промотирующего агента, такого, как N-гидроксисукцинимид или 4-диметиламинопиридин или N,N’-карбонилдиимидазол, в апротонном или хлорированном растворителе при температуре от 10 до 140оС.
13. Способ получения соединения общей формулы I
в которой R представляет арильную, циклоалкильную или полигалогеналкильную группу;
R1 представляет алкильную, алкокси-, полифторалкокси-, гидрокси- или трифторметансульфонилоксигруппу;
каждый из R2 и R3 представляет, независимо, атом водорода или галогена или алкокси- или полифторалкоксигруппу;
n равен 0, 1 или 2,
включающий конденсацию производного 7-оксо-7Н-тиено[3,2-b]пиран-3-карбоновой кислоты общей формулы 1
в которой R имеет значения, определенные выше,
с амином общей формулы
H2NCH2(CH2)nCH2X,
в которой Х представляет удаляемую группу или группу, легко превращаемую в удаляемую группу;
n имеет значения, определенные выше,
превращение, при необходимости, группы Х из ОН-группы в удаляемую группу в полученном соединении общей формулы 3
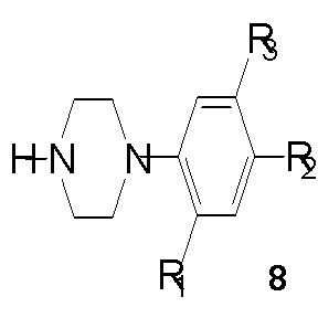
и взаимодействие соединения общей формулы 3 с фенилпиперазиновым производным 8
в котором R1, R2 и R3 имеют значения, определенные выше.
14. Способ по п.13, по которому конденсацию производного 7-оксо-7Н-тиено[3,2-b]пиран-3-карбоновой кислоты 1 с амином 2NCH2(CH2)nCH2X осуществляют в присутствии конденсирующего агента, такого, как дициклогексилкарбодиимид или диэтилцианофосфонат, необязательно, в присутствии поромотирующего агента, такого, как N-гидроксисукцинимид, или 4-диметиламинопиридин, или N,N’-карбонилдиимидазол, в апротонном или хлорированном растворителе при температуре от 10 до 140оС.
15. Способ по п.13 или 14, по которому реакцию соединения 3 с фенилпиперазином 8 осуществляют в отсутствии растворителя, или, альтернативно, в полярном растворителе, таком, как диметилформамид, или ацетонитрил, или метанол, при температуре от 20 до 200оС, предпочтительно в присутствии основания, такого, как карбонат калия.
РИСУНКИ
PC4A – Регистрация договора об уступке патента Российской Федерации на изобретение
(73) Патентообладатель(и):
(73) Патентообладатель:
Дата и номер государственной регистрации перехода исключительного права: 08.11.2006 № РД0013978
Извещение опубликовано: 20.12.2006 БИ: 35/2006
MM4A – Досрочное прекращение действия патента СССР или патента Российской Федерации на изобретение из-за неуплаты в установленный срок пошлины за поддержание патента в силе
Дата прекращения действия патента: 29.07.2008
Извещение опубликовано: 20.07.2010 БИ: 20/2010
|
||||||||||||||||||||||||||

в которой R представляет арильную, циклоалкильную или полигалогеналкильную группу, r1 представляет алкильную, алкокси-, полифторалкокси-, гидрокси- или трифторметансульфонилоксигруппу, каждый из R2 и R3 представляет, независимо, атом водорода или галогена, или алкокси- или полифторалкоксигруппу, и n равен 0, 1 или 2, или N-оксид или фармацевтически приемлемая соль такого соединения. Описано также два варианта способа их получения и фармацевтическая композиция на основе соединений формулы I. Соединения обладают повышенной селективностью в отношении
1-адренергического рецептора и низкой активностью в отношении снижения кровяного давления. 4 с. и 11 з.п. ф-лы, 3 табл.
Текст описания в факсимильном виде (см. графическую часть)
в которой R представляет арильную, циклоалкильную или полигалогеналкильную группу;
R1 представляет алкильную, алкокси-, полифторалкокси-, гидрокси- или трифторметансульфонилоксигруппу;
каждый из R2 и R3 представляет, независимо, атом водорода или галогена или алкокси- или полифторалкоксигруппу; и
n равен 0, 1 или 2,
или N-оксид или фармацевтически приемлемая соль такого соединения.
2. Соединение по п.1, в котором R представляет фенильную, циклогексильную или трифторметильную группу.
3. Соединение по п.1 или 2, в котором R1 представляет метильную, метокси- или 2,2,2-трифторэтоксигруппу.
4. Соединение по любому из предшествующих пунктов, в котором R2 представляет атом водорода или фтора.
5. Соединение по любому из предшествующих пунктов, в котором R3 представляет атом водорода или хлора или 2,2,2-трифторэтоксигруппу.
6. Соединение по любому из предшествующих пунктов, в котором n равен 1.
7. Любое из следующих соединений:
N-{3-[4-(5-хлор-2-метоксифенил)-1-пиперазинил]пропил}-7-оксо-5-фенил-7Н-тиено[3,2-b]пиран-3-карбоксамид,
N-{3-[4-(2-метоксифенил)-1-пиперазинил]пропил}-7-оксо-5-фенил-7Н-тиено[3,2-b]пиран-3-карбоксамид,
5-циклогексил-N-{3-[4-(2-метоксифенил)-1-пиперазинил]пропил}-7-оксо-7Н-тиено[3,2-b]пиран-3-карбоксамид,
N-{3-[4-(2-метоксифенил)-1-пиперазинил]пропил}-7-оксо-5-трифторметил-7Н-тиено[3,2-b]пиран-3-карбоксамид,
7-оксо-5-фенил-N-{3-[4-[2-(2,2,2-трифторэтокси)фенил]-1-пиперазинил]пропил}-7Н-тиено[3,2-b]пиран-3-карбоксамид,
N-{3-[4-[2-метокси-5-(2,2,2-трифторэтокси)фенил]-1-пиперазинил]пропил}-7-оксо-5-фенил-7Н-тиено[3,2-b]пиран-3-карбоксамид и
N-{3-[4-[4-фтор-2-(2,2,2-трифторэтокси)фенил]-1-пиперазинил]пропил}-7-оксо-5-фенил-7Н-тиено[3,2-b]пиран-3-карбоксамид.
8. Фармацевтическая композиция, проявляющая L1-адренергическую активность, включающая соединение по любому из предшествующих пунктов или N-оксид или фармацевтически приемлемую соль такого соединения в смеси с фармацевтически приемлемым разбавителем или носителем.
9. Фармацевтическая композиция по п.8, дополнительно включающая антихолинергический агент.
10. Фармацевтическая композиция по п.9, в которой антихолинергический агент представляет один или более агент, выбранный из группы, включающей толтеродин, оксибутинин, дарифенацин, альвамелин и темиверин.
11. Способ получения соединения общей формулы I
в которой R представляет арильную, циклоалкильную или полигалогеналкильную группу;
R1 представляет алкильную, алкокси-, полифторалкокси-, гидрокси- или трифторметансульфонилоксигруппу;
каждый из R2 и R3 представляет, независимо, атом водорода или галогена, или алкокси- или полифторалкоксигруппу; и
n равен 0, 1 или 2,
включающий конденсацию производного 7-оксо-7Н-тиено[3,2-b]пиран-3-карбоновой кислоты общей формулы 1
в которой R имеет значения, определенные выше,
или сложного эфира, галогенида или ангидрида такого соединения с N-(w-аминоалкил)-N’-фенилпиперазиновым производным общей формулы 2
в которой n, R1, R2 и R3 имеют значения, определенные выше.
12. Способ по п.11, в котором конденсацию осуществляют в присутствии конденсирующего агента, такого, как дициклогексилкарбодиимид или диэтилцианофосфонат, необязательно, в присутствии промотирующего агента, такого, как N-гидроксисукцинимид или 4-диметиламинопиридин или N,N’-карбонилдиимидазол, в апротонном или хлорированном растворителе при температуре от 10 до 140оС.
13. Способ получения соединения общей формулы I
в которой R представляет арильную, циклоалкильную или полигалогеналкильную группу;
R1 представляет алкильную, алкокси-, полифторалкокси-, гидрокси- или трифторметансульфонилоксигруппу;
каждый из R2 и R3 представляет, независимо, атом водорода или галогена или алкокси- или полифторалкоксигруппу;
n равен 0, 1 или 2,
включающий конденсацию производного 7-оксо-7Н-тиено[3,2-b]пиран-3-карбоновой кислоты общей формулы 1
в которой R имеет значения, определенные выше,
с амином общей формулы
H2NCH2(CH2)nCH2X,
в которой Х представляет удаляемую группу или группу, легко превращаемую в удаляемую группу;
n имеет значения, определенные выше,
превращение, при необходимости, группы Х из ОН-группы в удаляемую группу в полученном соединении общей формулы 3
и взаимодействие соединения общей формулы 3 с фенилпиперазиновым производным 8
в котором R1, R2 и R3 имеют значения, определенные выше.
14. Способ по п.13, по которому конденсацию производного 7-оксо-7Н-тиено[3,2-b]пиран-3-карбоновой кислоты 1 с амином 2NCH2(CH2)nCH2X осуществляют в присутствии конденсирующего агента, такого, как дициклогексилкарбодиимид или диэтилцианофосфонат, необязательно, в присутствии поромотирующего агента, такого, как N-гидроксисукцинимид, или 4-диметиламинопиридин, или N,N’-карбонилдиимидазол, в апротонном или хлорированном растворителе при температуре от 10 до 140оС.
15. Способ по п.13 или 14, по которому реакцию соединения 3 с фенилпиперазином 8 осуществляют в отсутствии растворителя, или, альтернативно, в полярном растворителе, таком, как диметилформамид, или ацетонитрил, или метанол, при температуре от 20 до 200оС, предпочтительно в присутствии основания, такого, как карбонат калия.