Патент на изобретение №2225408
|
||||||||||||||||||||||||||
(54) ФТАЛОЦИАНИНЫ В КАЧЕСТВЕ СРЕДСТВА МАРКИРОВКИ ЖИДКОСТЕЙ ЗА ИСКЛЮЧЕНИЕМ КРОВИ
(57) Реферат: Изобретение относится к фталоцианинам формулы (I), применяемым в качестве средств для маркировки жидкостей, например минеральных масел. Описываются фталоцианины формулы (I), где Ме означает два раза водород, магний, цинк, медь, никель, VO или TiO; по крайней мере четыре из радикалов от R1 до R16 обозначают независимо друг от друга содержащий азот гетероциклический радикал, который замещен один или несколько раз С1-С4-алкилом, бензилом, фенэтилом или фенилом и через кольцевой атом азота связан со скелетом фталоцианина и является остатком пирролидина, пиразолидина, имидазолидина, оксазолидина, изоксазолидина, пиперидина, пиперазина, морфолина или тиоморфолина и остальные радикалы от R1 до R16 необязательно означают водород, галоген, оксисульфонил или 1-С4-диалкилсульфамоил. Техническим результатом является хорошая растворимость фталоцианинов в подлежащих маркировке жидкостях, а также высокая химическая стабильность в растворе. 1 з. п. ф-лы, 4 табл.
Текст описания в факсимильном виде (см. графическую часть)е
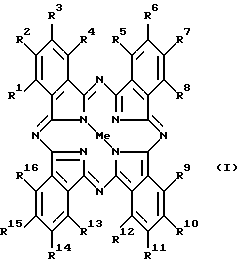
Формула изобретения 1. Применение фталоцианинов формулы (I)
в которой Ме означает два раза водород, магний, цинк, медь, никель, VO или TiO;
по крайней мере, четыре из радикалов от R1 до R16 обозначают независимо друг от друга содержащий азот гетероциклический радикал, который замещен один или несколько раз С1-С4-алкилом, бензилом, фенэтилом или фенилом и через кольцевой атом азота связан со скелетом фталоцианина и является остатком пирролидина, пиразолидина, имидазолидина, оксазолидина, изоксазолидина, пиперидина, пиперазина, морфолина или тиоморфолина и остальные радикалы от R1 до R16 необязательно означают водород, галоген, оксисульфонил или 1-С4-диалкилсульфамоил,
в качестве средства маркировки жидкостей за исключением крови.
2. Применение по п.1, в котором жидкостью являются минеральные масла.
РИСУНКИ
|
||||||||||||||||||||||||||

Текст описания в факсимильном виде (см. графическую часть)е
в которой Ме означает два раза водород, магний, цинк, медь, никель, VO или TiO;
по крайней мере, четыре из радикалов от R1 до R16 обозначают независимо друг от друга содержащий азот гетероциклический радикал, который замещен один или несколько раз С1-С4-алкилом, бензилом, фенэтилом или фенилом и через кольцевой атом азота связан со скелетом фталоцианина и является остатком пирролидина, пиразолидина, имидазолидина, оксазолидина, изоксазолидина, пиперидина, пиперазина, морфолина или тиоморфолина и остальные радикалы от R1 до R16 необязательно означают водород, галоген, оксисульфонил или 1-С4-диалкилсульфамоил,
в качестве средства маркировки жидкостей за исключением крови.
2. Применение по п.1, в котором жидкостью являются минеральные масла.