Патент на изобретение №2225406
|
||||||||||||||||||||||||||
(54) АЛКИЛ-ПИПЕРАЗИНИЛ БЕНЗОКСАЗОЛОНОВЫЕ И АЛКИЛ-ПИПЕРИДИНИЛ БЕНЗОКСАЗОЛОНОВЫЕ ПРОИЗВОДНЫЕ, СПОСОБ ИХ ПОЛУЧЕНИЯ И СПОСОБ ЛЕЧЕНИЯ
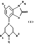
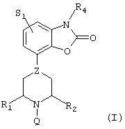
(57) Реферат: Изобретение относится к новым алкил-пиперазинил бензоксазолоновым и алкил-пиперидинил бензоксазолоновым производным формулы (I), где S1 представляет водород; Z представляет =С или N; R1, R2 и R4 независимо представляют водород, Q представляет метил, этил или циклопропилметил, и их соли и пролекарства. Способ получения соединений формулы (I) реакцией соединения формулы (I), где Q представляет водород, с соединением Q-Hal, где Q представляет метил, этил или циклопропилметил и Hal представляет галоген. Способ получения соединений формулы (I), где Z представляет N, реакцией соединения формулы (II) с соединением формулы (III). Способ получения соединений формулы (I), где Z представляет =С, реакцией соединения формулы (IV) с производным пиперидона, с последующим дегидратированием и снятием защиты. Способ лечения расстройств ЦНС, беспокойства и/или депрессии, болезни Паркинсона. Технический результат – получение новых соединений. 7 с. и 3 з. п. ф-лы, 1 табл. ![]()
Настоящее изобретение относится к новой группе производных пиперазина и ди-дегидропиперидина, обладающих представляющими интерес фармакологическими свойствами благодаря сочетанию активностей, опосредованных как частичным агонизмом в отношении допаминового рецептора D2, так и частичным агонизмом в отношении серотонинового рецептора 5-HT1A.
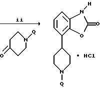
Кроме того, присутствует сродство к адренергическим рецепторам 1.Из ЕР 0189612 известно, что производные пиперазина, замещенные по одному атому азота фенил-гетероциклической группой и не замещенные по другому атому азота, обладают психотропной активностью. Кроме того, из ЕР 0190472 известно, что бензофурановые и бензодиоксоловые производные пиперазина, замещенные по другому атому азота пиперазиновой группы, также обладают психотропной активностью. Наконец, из ЕР 0169148 известно, что 1,3-дигидро-4-(1-этил-1,2,3,6-тетрагидропиридин-4-ил)-2Н-индол-2-он подобные соединения обладают аналгезирующими свойствами. К удивлению было обнаружено, что небольшая группа производных пиперазина и пиперидина, имеющих формулу (I) ![]() где S1 представляет водород, галоген, алкил(1-3С), CN, СF3, ОСF3, SCF3, алкокси(1-3С), амино или моно- или диалкил(1-3С)замещенный амино или гидрокси; X представляет NR3, S, СН2, О, SO или SO2, где R3 представляет Н или алкил(1-3С); …Z представляет =С или -N; R1 и R2 независимо представляют Н или алкил(1-3С), или R1 и R2 вместе могут образовывать мостик из 2 или 3 атомов углерода; R4 представляет водород или алкил(1-3С); Q представляет метил, этил, этил, замещенный одним или несколькими атомами фтора, циклопропилметил, необязательно замещенный одним или несколькими атомами фтора; при условии, что когда S1, R1, R2 и R4 представляют водород, …Z представляет =С и Q представляет этил, тогда Х не может представлять СН2, и их соли и пролекарства обладают комбинацией активностей частичного агониста допаминового рецептора D2 и частичного агониста серотонинового рецептора S-HT1A. Предпочтительными соединениями по настоящему изобретению являются соединения формулы (I), где S1, R1, R2 и R4 представляют водород, Х представляет кислород и …Z и Q имеют определенные выше значения, и их соли. Особенно предпочтительными являются соединения, где S1, R1, R2 и R4 представляют водород, Х представляет кислород и …Z представляет -N и Q представляет метил или этил, и их соли. Наиболее предпочтительным соединением является соединение, где Q представляет метил. Соединения по настоящему изобретению демонстрируют сродство как в отношении допаминового рецептора D2 (в диапазоне pKi 7,5-8,5), так и в отношении серотонинового рецептора 5-HT1A (в диапазоне pKi 7,0-8,0), измеренное в соответствии широко известными методами (например, Creese I, Schneider R. and Snyder S.H., [3H]-Spiroperidol labels dopamine receptors in rat pituitary and brain, Eur. J. Pharmacol. 1997, 46: 377-381 and Gozian H. EI Mestikawy S. , Pichat L. , Glowinsky J. and Harmon M., 1983, Identification of presynaptic serotonin autoreceptors using a new ligand 3H-PAT, Nature 1983, 305: 140-142). Эти соединения показывают разную активность в качестве частичных агонистов на допаминовом рецепторе D2 и, к удивлению, на 5-HT1A рецепторе. Эту активность измеряли по образованию аденилатциклазы в клеточных линиях, экспрессирующих эти клонированные рецепторы (например, человеческие рецепторы D2 и 5-HT1A рецепторы, экспрессированные в линии клеток СНО, в соответствии с методами, описанными Solomon Y., Landos С., Rodbell M., 1974. A highly selective adenylyl cyclase assay. Anal Biochem 1974, 58:541-548 and Weiss S. , Sebben M. and Bockaert J.J., 1985, Corticotropin-peptide regulation of intracellular cyclic AMP production in cortical neurons in primary culture, J. Neurochem 1985, 45:869-874). Уникальное сочетание частичного агонизма в отношении допаминового рецептора D2 и частичного агонизма в отношении серотонинового рецептора 5-HT1A обеспечивает удивительно широкий спектр активности в некоторых моделях животных, предопределяющих психические и/или неврологические расстройства. Эти соединения демонстрируют удивительно высокую эффективность в терапевтической модели анксиолитической, антидепрессивной активности: модель обусловленного ультразвуком голосового сигнала у крыс (например, Molewijk H.E. , Van der Poel A.M., Mos J., Van der Heyden J.A.M. and Oliver В. (1995). Conditioned ultrasonic vocalizations in adult male rats as a paradigm for screening anti-panic drugs, Psychopharmacology 1995, 117:32-40). Активность соединений в этой модели была в низком диапазоне микрограмм/кг, что намного активнее (на порядок 100 или 3000) в сравнении с соединениями, описанными ранее в ЕР 0190472 и ЕР 0398413. Кроме того, эти соединения также демонстрируют эффект в моделях для предопределения антидепрессивной активности при более высоких дозах (тест принудительного плавания, например: Porsolt R.D., Anton G., Blavet N. and Jalfre M., 1978, Behavioural Despair in rats: A new model sensitive to antidepressant treatments, Eur J. Pharmacol 1978, 47:379-391 и дифференцированное усиление низких доз в модели реакции на раздражение у крыс, например, McGuire P. S. and Seiden L.S., The effects of tricyclic antidepressants on performance under a differential-reinforcement-of-low-rate schedule in rats, J. Pharmacol Exp Ther 1980, 214:635-641). При более высоких дозах также наблюдали эффекты, подобные антагонисту допамина (антагонизм индуцированного апоморфином поведения у мышей, выражающегося в карабканий вверх, (А), например: Costall B., Naylor R.J. and Nohria V., Differential actions of typical and atypical agents on two behavioral effects of apomorfine in the mouse, (B), Brit J. Pharmacol 1978, 63: 381-382; подавление опорно-двигательной активности, например: File S.E. and Hyde J. R. G., A test of anxiety that distinguishes between the actions of benzodiazepines and those of other minor tranquilisers or simulants, Pharmacol Biochem Behav 1979, 11:65-79 и ингибирование приобретенного рефлекса избегания у крыс, например: Van der Heyden J.A.M., Bradford L.D., A rapidly acquired one-way conditioned avoidance procedure in rats as a primary screening test for antipsychotics: influence of shock intensity on avoidance performance, Behav Brain Res 1988, 31:61-67). Первые две активности, А и В, были ранее описаны в литературе касательно частичных агонистов допаминового рецептора Da (Mewshaw et al., Bioorg. Meet. Chem. Lett. 8 (1998) 2675). Эти соединения, по-видимому, являются ценными для лечения поражений или заболеваний центральной нервной системы, вызванных расстройством допаминергической и/или серотонергической систем, например: расстройства, связанные с беспокойством (включая, например, общее беспокойство, состояние тревоги, обсессивно-компульсивное расстройство), депрессия, аутизм, шизофрения, болезнь Паркинсона, познавательные расстройства и расстройства памяти. Подходящими кислотами, с которыми соединения по настоящему изобретению могут образовывать приемлемые кислотно-аддитивные соли, являются, например, хлористоводородная кислота, серная кислота, фосфорная кислота, азотная кислота, и органические кислоты, такие как лимонная кислота, фумаровая кислота, малеиновая кислота, винная кислота, уксусная кислота, бензойная кислота, п-толуолсульфокислота, метансульфокислота и нафталинсульфокислота. Пролекарства являются производными соединений формулы (I), где R4 представляет группу, которая легко удаляется после введения пролекарств. Подходящими пролекарствами являются, например, соединения, где N-R4 представляет одну из следующих групп: амидин, енамин, основание Манниха, гидроксиметиленовое производное, производное О-(ацитоксиметилен карбамат)а, карбамат или енаминон. Указанные соединения или их соли могут быть приведены в формы, подходящие для введения при помощи обычных способов с использованием вспомогательных веществ, таких как материалы жидкого или твердого носителя. Соединения по изобретению можно получать способами, известными для синтеза подобных соединений. Соединения формулы (I) могут быть получены взаимодействием соответствующего соединения, где Q представляет водород, с соединением Q-Hal, где Q представляет метил, (необязательно фторированный)этил или (необязательно фторированный) циклопропилметил, и Hal представляет галоген, предпочтительно иод. Эту реакцию можно осуществлять в растворителе, таком как ацетонитрил, в присутствии основания, например этилдиизопропиламина или триэтиламина. Исходные соединения, где Q представляет водород и …Z представляет -N, являются известными или могут быть получены, как описано в ЕР 0189612. Исходные соединения, где Q представляет водород и …Z представляет =СН2, могут быть получены, как описано ниже. Соединения по настоящему изобретению, где …Z представляет -N, могут также быть получены взаимодействием соединения формулы (II) ![]() с соединением формулы (III) ![]() при этом в указанных формулах символы имеют определенные выше значения. Эту реакцию можно осуществлять в органическом растворителе, таком как хлорбензол. Соединения формулы (I), где …Z представляет =С, можно также получить способом, указанным на приведенной ниже схеме: ![]() ![]() Исходное соединение для стадии (i) можно получить в соответствии с процедурой, описанной в J. Org. Chem. 45 (1980), 4789, а саму стадию (i) осуществляют, как описано в J.Org.Chem. 47, (1982), 2804. Стадию (ii) осуществляют способом, известным для такого типа химических реакций, как это описано в примере 3. Далее изобретение поясняется при помощи следующих примеров. Пример 1. 1,28 г (5 ммоль) 1н. НСl суспендируют в 25 мл ацетонитрила и добавляют 0,34 мл (4,4 ммоль) этилиодида вместе с 5 мл диизопропилэтиламина. Полученную реакционную смесь перемешивают и кипятят с обратным холодильником в течение 18 часов в атмосфере азота. Реакционную смесь оставляют до достижения комнатной температуры, после чего добавляют небольшое количество SiO2. Полученную суспензию концентрируют в вакууме, после чего остается порошок, который помещают в верхнюю часть хроматографической колонки и осуществляют хроматографию (SiO2, элюент CH2Cl2/MeOH 95/5), получая 0,55 г белого твердого вещества. Это вещество кристаллизуют из смеси EtOAc/EtOH (прим. 1/1), к которой добавляют 1,1 эквивалент 1М HCl/EtOH. Кристаллы собирают фильтрованием, промывают соответственно EtOAc и диэтиловым эфиром с получением после сушки 0,5 г (42%) желаемой НСl соли соединения, где S1, R1, R2 и R4 представляют водород, Х представляет кислород, …Z представляет -N и Q представляет этил, т.пл. 280-2oС (разл.). Пример 2. 6,0 г (40 ммоль) соединения формулы (II) (где S1 и R4 представляют водород, а Х представляет кислород) растворяют в 150 мл хлорбензола, после чего добавляют 8,47 г (44 ммоль) моногидрохлорида N-метил-бис(хлорэтил)амина. Полученную реакционную смесь перемешивают и доводят до кипения с обратным холодильником. Присутствующую в исходном материале воду отделяют при помощи устройства Дина-Старка. Через 44 часа образуется твердый материал и реакционной смеси дают остыть до комнатной температуры. Жидкость отделяют, остаток промывают толуолом, после чего его кипятят с обратным холодильником в этаноле. После охлаждения твердый материал фильтруют и затем очищают флеш-хроматографией (SiO2, элюент: СН2Сl2/МеОН/МН4OН=97/2,5/0,5). В результате осуществления такой процедуры получают 4,5 г твердого материала, который растворяют в 96% EtOH (прим. 300 мл), после чего при перемешивании добавляют 2 эквивалента 1М HCl/MeOH. Осуществляют кристаллизацию и в конечном счете после фильтрования и сушки может быть выделено 4,15 г (38%) гидрохлорида желаемого соединения, где S1, R1 и R2 представляют водород, Х представляет кислород, …Z представляет -N и Q представляет метил, т.пл. 301,5-302,5oС. Пример 3 16,5 г (78,2 ммоль) N-(трет-бутоксикарбонил)метафторанилина растворяют в 230 мл безводного тетрагидрофурана (ТГФ) в инертной атмосфере, после чего этот раствор охлаждают до -75oС (сухой лед, ацетон). При перемешивании медленно добавляют коммерчески доступный раствор 1,5 М трет-бутиллития в гептане (прим. 156 ммоль, 2 мольных эквивалента), после чего реакционную смесь перемешивают в течение 0,5 ч при -70oС, а затем 2 часа при -25oС. Реакционную смесь снова доводят до -75oС и добавляют раствор 9,6 мл N-метилпиперидона (78,2 ммоль, 1 мольный эквивалент) в прим. 25 мл ТГФ. Реакционной смеси дают достичь комнатной температуры и перемешивают еще в течение 16 часов. Затем к реакционной смеси добавляют раствор 1,5 мл (83 ммоль) H2О в 50 мл МеОН, после чего добавляют 100 мл SiO2. Суспензию выпаривают досуха, после чего полученный порошкообразный остаток помещают в верхнюю часть хроматографической колонки и осуществляют флеш-хроматографию (SiO2 первый элюент; EtOAc второй элюент: MeOH/EtOAc/триэтиламин 15/85/1), получая 12,4 г масла темно-желтого цвета. 4,7 г (прим. 15,5 ммоль) полученного продукта растворяют в 100 мл диоксана, затем добавляют 100 мл концентрированной НСl, полученную смесь кипятят с обратным холодильником в течение 1 часа. Реакционной смеси дают охладиться до комнатной температуры, после чего ее концентрируют в вакууме, получая твердый остаток. Полученный остаток суспендируют в перемешиваемом изопропаноле, после чего твердый материал отфильтровывают и затем промывают соответственно EtOAc, диэтиловым эфиром и гексаном. После сушки остается 3,1 г остатка, из которых 1,5 г суспендируют в EtOH, остальное количество суспензии кипятят с обратным холодильником в течение 1 часа. Смеси дают остыть до комнатной температуры, затем ее фильтруют с получением остатка, который промывают абсолютным EtOH и ди(изопропиловым)эфиром соответственно. После сушки получают 1,1 г (53%) желаемого соединения, где 1, R1, R2 и R4 представляют водород, Х представляет кислород, …Z представляет =С и Q представляет метил. 1Н-ЯМР (400 МГц, D2O): 2,96 (широкий, 2Н, Н-5); 3,04(с, ЗН, Н-7); 3,3-4,3(широкий, 4Н, Н-2, Н-6); 6,4(м, 1Н, Н-3); 7,14(д, 1Н, Н-8 или Н-10, J=8 Гц); 7,2(д, 1Н, Н-10 или Н-8, J= 8 Гц); 7,26 (т, 1Н, Н-9, J=8 Гц), с использованием цифровых обозначений, как указано на приведенной ниже формуле: 7
Формула изобретения 1. Алкил-пиперазинил бензоксазолоновые и алкил-пиперидинил бензоксазолоновые производные формулы (I)
где S1 представляет водород;
…Z представляет =С или -N;
R1, R2 и R4 представляют Н;
Q представляет метил, этил или циклопропилметил,
и их соли и пролекарства.
2. Соединения по п.1, где Q представляет метил или этил и …Z имеет значение, определенное в п.1.
3. Соединения по п.2, где …Z представляет -N.
4. Соединение по п.3, где Q представляет метил.
5. Способ получения соединении по п.1 реакцией соединения формулы (I), где Q представляет водород, с соединением формулы Q-Hal, где Q представляет метил, этил или циклопропилметил и Hal представляет галоген.
6. Способ получения соединений по п.1, где …Z представляет -N, реакцией соединения формулы (II)
с соединением формулы (III)
в которой Q имеет значение, определенное в п.1.
7. Способ получения соединений формулы (I), где …Z представляет =С, реакцией соединения формулы (IV)
с производным пиперидона, которое имеет группу Q, с последующим дегидрированием и снятием защиты.
8. Способ лечения расстройств ЦНС, отличающийся тем, что используют соединение по пп.1-4.
9. Способ лечения беспокойства и/или депрессии, отличающийся тем, что используют соединение по пп.1-4.
Способ лечения болезни Паркинсона, отличающийся тем, что используют соединение по пп.1-4.
РИСУНКИ
|
||||||||||||||||||||||||||


Настоящее изобретение относится к новой группе производных пиперазина и ди-дегидропиперидина, обладающих представляющими интерес фармакологическими свойствами благодаря сочетанию активностей, опосредованных как частичным агонизмом в отношении допаминового рецептора D2, так и частичным агонизмом в отношении серотонинового рецептора 5-HT1A.
Кроме того, присутствует сродство к адренергическим рецепторам
1.




2,96 (широкий, 2Н, Н-5); 3,04(с, ЗН, Н-7); 3,3-4,3(широкий, 4Н, Н-2, Н-6); 6,4(м, 1Н, Н-3); 7,14(д, 1Н, Н-8 или Н-10, J=8 Гц); 7,2(д, 1Н, Н-10 или Н-8, J= 8 Гц); 7,26 (т, 1Н, Н-9, J=8 Гц), с использованием цифровых обозначений, как указано на приведенной ниже формуле:
7
где S1 представляет водород;
…Z представляет =С или -N;
R1, R2 и R4 представляют Н;
Q представляет метил, этил или циклопропилметил,
и их соли и пролекарства.
2. Соединения по п.1, где Q представляет метил или этил и …Z имеет значение, определенное в п.1.
3. Соединения по п.2, где …Z представляет -N.
4. Соединение по п.3, где Q представляет метил.
5. Способ получения соединении по п.1 реакцией соединения формулы (I), где Q представляет водород, с соединением формулы Q-Hal, где Q представляет метил, этил или циклопропилметил и Hal представляет галоген.
6. Способ получения соединений по п.1, где …Z представляет -N, реакцией соединения формулы (II)
с соединением формулы (III)
в которой Q имеет значение, определенное в п.1.
7. Способ получения соединений формулы (I), где …Z представляет =С, реакцией соединения формулы (IV)
с производным пиперидона, которое имеет группу Q, с последующим дегидрированием и снятием защиты.
8. Способ лечения расстройств ЦНС, отличающийся тем, что используют соединение по пп.1-4.
9. Способ лечения беспокойства и/или депрессии, отличающийся тем, что используют соединение по пп.1-4.
Способ лечения болезни Паркинсона, отличающийся тем, что используют соединение по пп.1-4.