Патент на изобретение №2225403
|
||||||||||||||||||||||||||
(54) СУЛЬФОНАМИДОЗАМЕЩЕННЫЕ БЕНЗОПИРАНОВЫЕ ПРОИЗВОДНЫЕ, СПОСОБ ИХ ПОЛУЧЕНИЯ И ФАРМАЦЕВТИЧЕСКАЯ КОМПОЗИЦИЯ НА ИХ ОСНОВЕ
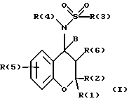
(57) Реферат: Изобретение относится к новым сульфонамидозамещенным бензопирановым производным формулы I ![]() где R(5) находится в одном из положений 5, 6, 7 и 8 и R(1) и R(2) независимо друг от друга означают водород или алкил с 1-6 атомами углерода, R(3) означает R(10)-CnH2n, R(10) означает атом водорода или метил, n означает целое число, равное 0-10, R(4) означает R(13)- СrН2r, причем одна СН2 -группа может быть заменена на -СО-O- или -O-СО- группу, R(13) означает метил или трифторметил, r означает целое число, равное 0-12, R(5) означает -Y-CsH2s-R(18), Y означает -О-, s означает целое число, равное 1-8, R(18) означает водород, трифторметил или фенил, R(6) означает -OR(10d) или -OCOR(10d) группу, R(10d) означает водород или алкил с 1-3 атомами углерода, В означает водород или R(6) и В вместе образуют связь; а также к их физиологически приемлемым солям. Изобретение также относится к способу получения соединений формулы I и к фармацевтической композиции, обладающей K+ – каналблокирующим действием, на основе этих соединений. Технический результат – получение новых соединений и лекарственных средств на их основе в целях профилактики и лечения сердечно-сосудистых заболеваний, в особенности аритмий, лечения язв желудочно-кишечного тракта и лечения заболеваний, протекающих с поносом. 3 с. и 17 з.п. ф-лы, 2 табл. Текст описания в факсимильном виде (см. графическую часть)/ Формула изобретения 1. Сульфонамидозамещенные бензопирановые производные общей формулы I
где R(5) находится в одном из положений 5, 6, 7 и 8;
R(1) и R(2) независимо друг от друга означают водород или алкил с 1-6 атомами углерода;
R(3) означает R(10)-CnH2n, R(10) означает атом водорода или метил, n означает целое число, равное 0-10;
R(4) означает R(13)-Cr-H2r, причем одна CH2-группа может быть заменена на -СО-О- или -O-СО- группу, R(13) означает метил или трифторметил, r означает целое число, равное 0-12;
R(5) означает -Y-CsH2s-R(18), Y означает -О-, s означает целое число, равное 1-8, R(18) означает водород, трифторметил или фенил;
R(6) означает -OR(10d) или -OCOR(10d) группу,
R(10d) означает водород или алкил с 1-3 атомами углерода;
В означает водород или R(6) и В вместе образуют связь,
а также их физиологически приемлемые соли.
2. Соединения формулы (I) по п.1, где R(1) и R(2) независимо друг от друга, означают водород или алкил с 1-6 атомами углерода, R(3) означает R(10)-CnH2n, R(10) означает метил, n означает целое число, равное 0-6, R(4) означает R(13)-СrН2r, причем одна СН2-группа может быть заменена на -СО-O- или -O-СО-группу, R(13) означает метил или трифторметил, r означает целое число, равное 0-12, R(5) означает -Y-CsH2s-R(18), Y означает -О-, s означает целое число, равное 1-8, R(18) означает водород, трифторметил или фенил, R(6) означает -OR(10d) или -OCOR(10d) группу, R(10d) означает водород или алкил с 1-3 атомами углерода, В означает водород или R(6) и В вместе образуют связь; а также их физиологически приемлемые соли.
3. Соединения формулы (I) по п.1 или 2, где R(5) находится в положении 6, представляющие собой соединения формулы (Iа)
где остатки R(1), R(2), R(3), R(4), R(5), R(6) и В имеют указанные в п.2 значения,
а также их физиологически приемлемые соли.
4. Соединения формулы (Ia) по любому из пп.1-3, где R(1) и R(2) независимо друг от друга, означают водород или алкил с 1-3 атомами углерода, R(3) означает R(10)-CnH2n, R(10) означает метил, n означает целое число, равное 0, 1 или 2, R(4) означает R(13)-СrН2r, причем одна СН2-группа может быть заменена на -СО-O- или -O-СО-группу, R(13) означает метил или трифторметил, r означает целое число, равное 0-8, R(5) означает -Y-CsH2s-R(18), Y означает -О-, s означает целое число, равное 1-6, R(18) означает водород, трифторметил или фенил, R(6) означает гидроксил, В означает водород, или R(6) и В вместе образуют связь, а также их физиологически приемлемые соли.
5. Соединения формулы (Iа) по любому из пп.1-4, где R(1) и R(2) означают метил, R(3) означает метил или этил, R(4) означает R(13)-СrН2r, причем одна СН2-группа может быть заменена на -СО-O- или -O-СО-группу, R(13) означает метил или трифторметил, r означает целое число, равное 0-8, R(5) означает -Y-CsH2s-R(18), Y означает -О-, s означает целое число, равное 1-6, R(18) означает водород, трифторметил или фенил, R(6) и В вместе образуют связь, а также их физиологически приемлемые соли.
6. Соединения формулы (Iа) по любому из пп.1-4, где R(1) и R(2) означают метил, R(3) означает метил или этил, R (4) означает R(13)-CrH2r, причем одна СН2-группа может быть заменена на -СО-O- или -O-СО- группу, R(13) означает метил или трифторметил, r означает целое число, равное 0-8, R(5) означает -Y-CsH2s-R(18), Y означает -О-, s означает целое число, равное 1-6, R(18) означает водород, трифторметил или фенил, R(6) означает гидроксил, В означает водород,
а также их физиологически приемлемые соли.
7. Способ получения соединений формулы (I) по любому из пп.1-6, отличающийся тем, что а) соединение формулы (II)
где R(1), R(2) и R(5) имеют указанные в пп.1-6 значения,
вводят во взаимодействие с сульфонамидом формулы (III)
в которой R(3) и R(4) имеют указанные в пп.1-6 значения;
М означает водород или эквивалент металла или триалкилсилильный остаток,
с получением хроманола формулы (Ib)
или б) соединение формулы (Ib) путем реакции алкилирования, или соответственно, ацилирования вводят во взаимодействие с алкилирующим средством формулы R(10d)-L или ацилирующим средством формулы R(10d)-COL, или соответственно, ангидридом формулы (R(10d)-CO)2О, где R(10d) имеет указанные в пп.1-4 значения и L означает нуклеофугную удаляемую группу, с получением соединения формулы (1с), где R(6) означает OR(10d) или OCOR(10d)
или в) соединение формулы (1с), где R(1), R(2), R(3), R(4) и R(5) имеют указанные в пп.1-6 значения;
R(6) означает ОСОСН3,
путем реакции элиминирования превращают в соединение формулы (Id)
где R(1), R(2), R(3), R(4) и R(5) имеют указанные в пп.1-6 значения.
8. Соединения формулы (I) по любому из пп.1-6 и/или их физиологически приемлемые соли, применяемые для получения лекарственного средства с блокирующим К+-канал действием.
9. Фармацевтическая композиция, обладающая блокирующим К+-канал действием и содержащая эффективное количество по меньшей мере одного соединения формулы (I) по любому из пп.1-6 и/или его физиологически приемлемой соли в качестве биологически активного вещества вместе с фармацевтически приемлемыми носителями и добавками и, в случае необходимости, еще с одним или несколькими другими фармакологически активными веществами.
10. Соединения формулы (I) по любому из пп.1-6 и/или их физиологически приемлемые соли, применяемые для получения лекарственного средства с блокирующим К+-канал действием для лечения и профилактики опосредуемых К+-каналом заболеваний.
11. Соединения формулы (I) по любому из пп.1-6 и/или их физиологически приемлемые соли, применяемые для получения лекарственного средства для ингибирования выделения кислоты желудочного сока.
12. Соединения формулы (I) по любому из пп.1-6 и/или их физиологически приемлемые соли, применяемые для получения лекарственного средства для лечения или профилактики язв желудка или кишечной области.
13. Соединения формулы (I) по любому из пп.1-6 и/или их физиологически приемлемые соли, применяемые для получения лекарственного средства для лечения или профилактики рефлюкс-эзофагита.
14. Соединения формулы (I) по любому из пп.1-6 и/или их физиологически приемлемые соли, применяемые для получения лекарственного средства для лечения или профилактики заболеваний, протекающих с поносом.
15. Соединения формулы (I) по любому из пп.1-6 и/или их физиологически приемлемые соли, применяемые для получения лекарственного средства для лечения или профилактики всех типов аритмий, включая предсердные, желудочковые и наджелудочковые аритмии.
16. Соединения формулы (I) по любому из пп.1-6 и/или их физиологически приемлемые соли, применяемые для получения лекарственного средства для лечения или профилактики нарушений сердечного ритма, которые можно устранять за счет удлинения потенциала действия.
17. Соединения формулы (I) по любому из пп.1-6 и/или их физиологически приемлемые соли, применяемые для получения лекарственного средства для лечения или профилактики предсердной фибрилляции или предсердного трепетания.
18. Соединения формулы (I) по любому из пп.1-6 и/или их физиологически приемлемые соли, применяемые для получения лекарственного средства для лечения или профилактики повторно возвращающихся аритмий или для предотвращения внезапной смерти от остановки сердца вследствие мерцания желудочков.
19. Соединения формулы (I) по любому из пп.1-6 и/или их физиологически приемлемые соли, применяемые для получения лекарственного средства для лечения сердечной недостаточности, в частности застойной сердечной недостаточности.
20. Соединения формулы (I) по любому из пп.1-6 и/или их физиологически приемлемые соли, применяемые для получения лекарственного средства для ингибирования стимулированного выделения кислоты желудочного сока, для лечения или профилактики язв желудка или кишечной области, рефлюкс-эзофагита, заболеваний, протекающих с поносом, для лечения или профилактики аритмий, включая предсердные, желудочковые и наджелудочковые аритмии, предсердной фибрилляции и предсердного трепетания и повторно возвращающихся аритмий, или для предотвращения внезапной смерти от остановки сердца вследствие мерцания желудочков.
РИСУНКИ
PD4A – Изменение наименования обладателя патента Российской Федерации на изобретение
(73) Новое наименование патентообладателя:
Извещение опубликовано: 27.12.2005 БИ: 36/2005
MM4A – Досрочное прекращение действия патента СССР или патента Российской Федерации на изобретение из-за неуплаты в установленный срок пошлины за поддержание патента в силе
Дата прекращения действия патента: 03.11.2006
Извещение опубликовано: 20.12.2007 БИ: 35/2007
|
||||||||||||||||||||||||||


где R(5) находится в одном из положений 5, 6, 7 и 8;
R(1) и R(2) независимо друг от друга означают водород или алкил с 1-6 атомами углерода;
R(3) означает R(10)-CnH2n, R(10) означает атом водорода или метил, n означает целое число, равное 0-10;
R(4) означает R(13)-Cr-H2r, причем одна CH2-группа может быть заменена на -СО-О- или -O-СО- группу, R(13) означает метил или трифторметил, r означает целое число, равное 0-12;
R(5) означает -Y-CsH2s-R(18), Y означает -О-, s означает целое число, равное 1-8, R(18) означает водород, трифторметил или фенил;
R(6) означает -OR(10d) или -OCOR(10d) группу,
R(10d) означает водород или алкил с 1-3 атомами углерода;
В означает водород или R(6) и В вместе образуют связь,
а также их физиологически приемлемые соли.
2. Соединения формулы (I) по п.1, где R(1) и R(2) независимо друг от друга, означают водород или алкил с 1-6 атомами углерода, R(3) означает R(10)-CnH2n, R(10) означает метил, n означает целое число, равное 0-6, R(4) означает R(13)-СrН2r, причем одна СН2-группа может быть заменена на -СО-O- или -O-СО-группу, R(13) означает метил или трифторметил, r означает целое число, равное 0-12, R(5) означает -Y-CsH2s-R(18), Y означает -О-, s означает целое число, равное 1-8, R(18) означает водород, трифторметил или фенил, R(6) означает -OR(10d) или -OCOR(10d) группу, R(10d) означает водород или алкил с 1-3 атомами углерода, В означает водород или R(6) и В вместе образуют связь; а также их физиологически приемлемые соли.
3. Соединения формулы (I) по п.1 или 2, где R(5) находится в положении 6, представляющие собой соединения формулы (Iа)
где остатки R(1), R(2), R(3), R(4), R(5), R(6) и В имеют указанные в п.2 значения,
а также их физиологически приемлемые соли.
4. Соединения формулы (Ia) по любому из пп.1-3, где R(1) и R(2) независимо друг от друга, означают водород или алкил с 1-3 атомами углерода, R(3) означает R(10)-CnH2n, R(10) означает метил, n означает целое число, равное 0, 1 или 2, R(4) означает R(13)-СrН2r, причем одна СН2-группа может быть заменена на -СО-O- или -O-СО-группу, R(13) означает метил или трифторметил, r означает целое число, равное 0-8, R(5) означает -Y-CsH2s-R(18), Y означает -О-, s означает целое число, равное 1-6, R(18) означает водород, трифторметил или фенил, R(6) означает гидроксил, В означает водород, или R(6) и В вместе образуют связь, а также их физиологически приемлемые соли.
5. Соединения формулы (Iа) по любому из пп.1-4, где R(1) и R(2) означают метил, R(3) означает метил или этил, R(4) означает R(13)-СrН2r, причем одна СН2-группа может быть заменена на -СО-O- или -O-СО-группу, R(13) означает метил или трифторметил, r означает целое число, равное 0-8, R(5) означает -Y-CsH2s-R(18), Y означает -О-, s означает целое число, равное 1-6, R(18) означает водород, трифторметил или фенил, R(6) и В вместе образуют связь, а также их физиологически приемлемые соли.
6. Соединения формулы (Iа) по любому из пп.1-4, где R(1) и R(2) означают метил, R(3) означает метил или этил, R (4) означает R(13)-CrH2r, причем одна СН2-группа может быть заменена на -СО-O- или -O-СО- группу, R(13) означает метил или трифторметил, r означает целое число, равное 0-8, R(5) означает -Y-CsH2s-R(18), Y означает -О-, s означает целое число, равное 1-6, R(18) означает водород, трифторметил или фенил, R(6) означает гидроксил, В означает водород,
а также их физиологически приемлемые соли.
7. Способ получения соединений формулы (I) по любому из пп.1-6, отличающийся тем, что а) соединение формулы (II)
где R(1), R(2) и R(5) имеют указанные в пп.1-6 значения,
вводят во взаимодействие с сульфонамидом формулы (III)
в которой R(3) и R(4) имеют указанные в пп.1-6 значения;
М означает водород или эквивалент металла или триалкилсилильный остаток,
с получением хроманола формулы (Ib)
или б) соединение формулы (Ib) путем реакции алкилирования, или соответственно, ацилирования вводят во взаимодействие с алкилирующим средством формулы R(10d)-L или ацилирующим средством формулы R(10d)-COL, или соответственно, ангидридом формулы (R(10d)-CO)2О, где R(10d) имеет указанные в пп.1-4 значения и L означает нуклеофугную удаляемую группу, с получением соединения формулы (1с), где R(6) означает OR(10d) или OCOR(10d)
или в) соединение формулы (1с), где R(1), R(2), R(3), R(4) и R(5) имеют указанные в пп.1-6 значения;
R(6) означает ОСОСН3,
путем реакции элиминирования превращают в соединение формулы (Id)
где R(1), R(2), R(3), R(4) и R(5) имеют указанные в пп.1-6 значения.
8. Соединения формулы (I) по любому из пп.1-6 и/или их физиологически приемлемые соли, применяемые для получения лекарственного средства с блокирующим К+-канал действием.
9. Фармацевтическая композиция, обладающая блокирующим К+-канал действием и содержащая эффективное количество по меньшей мере одного соединения формулы (I) по любому из пп.1-6 и/или его физиологически приемлемой соли в качестве биологически активного вещества вместе с фармацевтически приемлемыми носителями и добавками и, в случае необходимости, еще с одним или несколькими другими фармакологически активными веществами.
10. Соединения формулы (I) по любому из пп.1-6 и/или их физиологически приемлемые соли, применяемые для получения лекарственного средства с блокирующим К+-канал действием для лечения и профилактики опосредуемых К+-каналом заболеваний.
11. Соединения формулы (I) по любому из пп.1-6 и/или их физиологически приемлемые соли, применяемые для получения лекарственного средства для ингибирования выделения кислоты желудочного сока.
12. Соединения формулы (I) по любому из пп.1-6 и/или их физиологически приемлемые соли, применяемые для получения лекарственного средства для лечения или профилактики язв желудка или кишечной области.
13. Соединения формулы (I) по любому из пп.1-6 и/или их физиологически приемлемые соли, применяемые для получения лекарственного средства для лечения или профилактики рефлюкс-эзофагита.
14. Соединения формулы (I) по любому из пп.1-6 и/или их физиологически приемлемые соли, применяемые для получения лекарственного средства для лечения или профилактики заболеваний, протекающих с поносом.
15. Соединения формулы (I) по любому из пп.1-6 и/или их физиологически приемлемые соли, применяемые для получения лекарственного средства для лечения или профилактики всех типов аритмий, включая предсердные, желудочковые и наджелудочковые аритмии.
16. Соединения формулы (I) по любому из пп.1-6 и/или их физиологически приемлемые соли, применяемые для получения лекарственного средства для лечения или профилактики нарушений сердечного ритма, которые можно устранять за счет удлинения потенциала действия.
17. Соединения формулы (I) по любому из пп.1-6 и/или их физиологически приемлемые соли, применяемые для получения лекарственного средства для лечения или профилактики предсердной фибрилляции или предсердного трепетания.
18. Соединения формулы (I) по любому из пп.1-6 и/или их физиологически приемлемые соли, применяемые для получения лекарственного средства для лечения или профилактики повторно возвращающихся аритмий или для предотвращения внезапной смерти от остановки сердца вследствие мерцания желудочков.
19. Соединения формулы (I) по любому из пп.1-6 и/или их физиологически приемлемые соли, применяемые для получения лекарственного средства для лечения сердечной недостаточности, в частности застойной сердечной недостаточности.
20. Соединения формулы (I) по любому из пп.1-6 и/или их физиологически приемлемые соли, применяемые для получения лекарственного средства для ингибирования стимулированного выделения кислоты желудочного сока, для лечения или профилактики язв желудка или кишечной области, рефлюкс-эзофагита, заболеваний, протекающих с поносом, для лечения или профилактики аритмий, включая предсердные, желудочковые и наджелудочковые аритмии, предсердной фибрилляции и предсердного трепетания и повторно возвращающихся аритмий, или для предотвращения внезапной смерти от остановки сердца вследствие мерцания желудочков.