|
|
|
|
РОССИЙСКАЯ ФЕДЕРАЦИЯ

ФЕДЕРАЛЬНАЯ СЛУЖБА ПО ИНТЕЛЛЕКТУАЛЬНОЙ СОБСТВЕННОСТИ, ПАТЕНТАМ И ТОВАРНЫМ ЗНАКАМ |
(19) |
RU |
(11) |
2225400 |
(13) |
C2 |
|
(51) МПК 7
C07D231/16, A01N43/56
|
(12) ОПИСАНИЕ ИЗОБРЕТЕНИЯ К ПАТЕНТУ
| Статус: по данным на 09.03.2011 – прекратил действие, но может быть восстановлен |
|
|
|
|
|
(21), (22) Заявка: 2000106058/04, 25.07.1998
(24) Дата начала отсчета срока действия патента:
25.07.1998
(45) Опубликовано: 10.03.2004
(56) Список документов, цитированных в отчете о поиске:
US 5438070, 01.08.1995. EP 0776889 A1, 20.11.1996. EP 0276177 A1, 27.07.1997. RU 94030477 A1, 27.04.1997.
(85) Дата перевода заявки PCT на национальную фазу:
15.03.2000
(86) Заявка PCT:
EP 98/04663 (25.07.1998)
(87) Публикация PCT:
WO 99/09013 (25.02.1999)
Адрес для переписки:
101000, Москва, М.Златоустинский пер., 10, кв.15, “ЕВРОМАРКПАТ”, пат.пов. И.А.Веселицкой
|
(72) Автор(ы):
АЙКЕН Карл (DE), РАКК Михаэль (DE), ВЕТТЕРИХ Франк (DE), АММЕРМАНН Эберхард (DE), ЛОРЕНЦ Гизела (DE), ШТРАТМАНН Зигфрид (DE)
(73) Патентообладатель(и):
БАСФ АКЦИЕНГЕЗЕЛЬШАФТ (DE)
(74) Патентный поверенный:
Веселицкая Ирина Александровна
|
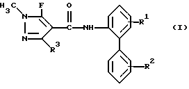
(54) ФТОРПИРАЗОЛБИФЕНИЛАМИДНЫЕ ФУНГИЦИДЫ
(57) Реферат:
Изобретение относится к бифениламидам общей формулы I  а также их солям, где R1 означает Н или F; R2 означает Н, галоген, С1-С4-алкил; R3 означает СН3; соединения I используют для борьбы с фитопатогенными грибами. 2 с.п. ф-лы.
Текст описания в факсимильном виде (см. графическую часть)я
Формула изобретения
1. Бифениламиды общей формулы I
а также их соли,
в которой R1 означает водород или фтор;
R2 означает водород, галоген, С1–С4–алкил;
R3 означает метил.
2. Средство борьбы с фитопатогенными грибами, содержащее эффективное количество по крайней мере одного соединения общей формулы I или одной из его солей по п.1 и по крайней мере один обычный для препаративной формы вспомогательный агент.
РИСУНКИ
Рисунок 1, Рисунок 2, Рисунок 3, Рисунок 4, Рисунок 5, Рисунок 6, Рисунок 7, Рисунок 8, Рисунок 9, Рисунок 10, Рисунок 11, Рисунок 12, Рисунок 13, Рисунок 14, Рисунок 15, Рисунок 16, Рисунок 17, Рисунок 18, Рисунок 19, Рисунок 20
MM4A – Досрочное прекращение действия патента СССР или патента Российской Федерации на изобретение из-за неуплаты в установленный срок пошлины за поддержание патента в силе
Дата прекращения действия патента: 26.07.2008
Извещение опубликовано: 20.07.2010 БИ: 20/2010
|
|
|
|
|