Патент на изобретение №2225397
|
||||||||||||||||||||||||||
(54) Производные индола как ингибиторы фактора Ха
(57) Реферат: Изобретение относится к новым производным индола формулы I
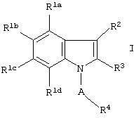
где два из R1a, Rlb, Rlc, Rld независимо друг от друга означают Н, F, I, Cl, Br, (С1-С4)алкил, фенил, фенил-(С1-С4)алкил, (С1–С4)алкокси, фенил-(С1-С4)алкокси, фенилокси, ОН, -NR5aR5b, -SOn-R6c, n равно 1-2, и являются одинаковыми или различными, а два других означают Н; где все остатки R5a, R5b, R6c, если присутствуют в молекуле более, чем один раз, являются независимыми друг от друга и могут быть каждый одинаковыми или различными; один из R2 и R3 означает -(CH2)p-CO-R8, а другой означает Н, F, Cl, Br или -(CH2)p-CO-R8; р равно 0, 1 или 2; R8 означает -NR9R10, -OR10; А означает двухвалентный остаток -(С1-С4)алкил-, который является насыщенным или который содержит тройную связь, или -(C1-C4)алкил-CO-NH-, где азот связан с R4; R4 означает фенил, который замещен одним остатком R15b, или пиридил, который является незамещенным или замещенным 14 по атому азота; все их стереоизомерические формы и их смеси в любых соотношениях, и их физиологически приемлемые соли. Соединения 1 ингибируют белки свертывания крови и могут быть использованы в фармацевтической композиции для ингибирования фактора Ха, для лечения тромбозов, сердечного инфаркта, грудной жабы и др. Описан способ получения соединений 1. 4 c. и 12 з.п. ф-лы, 2 табл.
Текст описания в факсимильном виде (см. графическую часть)
Формула изобретения 1. Производные индола формулы I
где два из R1a, Rlb, Rlc, Rld независимо друг от друга представляют собой водород, F, I, Сl, Вr, (С1-С4)алкил, фенил, фенил-(С1-С4)алкил, (С1–С4)aлкокси, фенил-(С1-С4)алкокси, фенилокси, ОН, -NR5aR5b, -SOn-R6c, где n равно 1-2, и являются одинаковыми или различными, а два других из остатков Rla, Rlb, Rlc, Rld представляют собой водород;
R5a представляет собой водород, (С1-С4)алкил, ((С1-С4)алкокси)карбонил;
R5b представляет водород, (С1-С4)алкил;
R6c представляет собой (С1-С4)алкил;
фенил, присутствующий в остатках Rla, Rlb Rlc, Rld, обозначает незамещенный фенильный остаток или фенильный остаток, который замещен одним или двумя одинаковыми или различными заместителями, выбранными из группы, включающей (С1-С4)алкил, F, I, Cl, Вr, (С1-С4)алкокси;
все остатки R5a, R5b, R6c, если присутствуют в молекуле более чем один раз, являются независимыми друг от друга и могут быть каждый одинаковыми или различными;
один из остатков R2 и R3 представляет собой -(CH2)P-CO-R8, а другой представляет водород, F, Cl, Вr или -(CH2)P-CO-R8, где р равно 0, 1 или 2;
R8 представляет собой -NR9R10, -ОR10;
R9 представляет собой водород, аминокарбонил-(С1-С4)алкил, (С1-С4)алкил, ((С1-С4)алкокси)карбонил-(С1-С4)алкил-, гидроксикарбонил-(С1-С4)алкил;
R10 представляет водород, -(С1-С10)алкил, фенил, нафтил, фенил-(С1-С4)алкил, нафтил-(С1-С4)алкил, пиридил, где остаток -(С1-С10)алкил и каждый фенильный и нафтильный остаток являются незамещенными или замещенными одним, двумя или тремя одинаковыми или различными остатками R11 и где пиридильный остаток является незамещенным или замещенным R14 по атому азота;
R11 представляет собой -N(R12)2, -OR12, -CO-N(R13)2, (С1-С14)алкил, хинолинил, который является незамещенным или замещенным R14 по атому азота, изохинолинил, который является незамещенным или замещенным R14 по атому азота, R15b, пиридил, который является незамещенным или замещенным R14 по атому азота, фенил, который является замещенным одним, двумя или тремя одинаковыми или различными остатками R15b, нафтил, который является замещенным одним, двумя или тремя одинаковыми или различными остатками R15b, пиперидинил, который является замещенным или незамещенным -(С1-С6)алкилом, где остатки R11, если присутствуют в молекуле более чем один раз, являются независимыми друг от друга и могут быть одинаковыми или различными;
каждый остаток R12 представляет независимо водород, (С1-С4)алкил, фенил, нафтил;
каждый остаток R13 представляет независимо водород, (С1-С4)алкил, фенил, нафтил;
R14 представляет собой -(С1-С6)алкил, замещение этими остатками по атому азота гетероциклического остатка приводит к образованию положительно заряженной группы, имеющей X– в качестве противоиона; или R14 представляет собой оксидогруппу, такое замещение по атому азота гетероциклического остатка приводит к образованию N-оксида; и где остатки R14, если присутствуют в молекуле более чем один раз, являются независимыми друг от друга и могут быть одинаковыми или различными;
R15b представляет собой -(С1-С6)алкил, (С1-С4)алкокси, F, I, Вr, Cl, NO2, -(CH2)t-C(=NR17)-NHR17, -(CH2)t-NH-C(=NR17)-NHR17, гидрокси, -(CH2)t-CO-OR18, -(CH2)t-CO-N(R18)2, -(CH2)t-N(R16)2, -(CH2)t-N+(R16a)3X–, где алкил может быть замещен 1, 2 или 3 раза фтором и где остатки R15b, если присутствуют в молекуле более чем один раз, являются независимыми друг от друга и могут быть одинаковыми или различными;
каждый остаток R16 независимо от значения другого остатка R16 представляет собой водород и (С1-С6)алкил, и где группы, содержащие остатки R16, если присутствуют в молекуле более чем один раз, являются независимыми друг от друга и могут быть одинаковыми или различными;
каждый остаток R16a, независимо от значения другого остатка R16a, представляет собой (С1-С6)алкил, (С2-С6)алкенил, (С2-С6)алкинил, фенил-(С1-С6)алкил, где фенил, присутствующий в R16а, означает незамещенный фенильный остаток и где группы, содержащие остатки R16a, если присутствуют в молекуле более чем один раз, являются независимыми друг от друга и могут быть одинаковыми или различными;
каждый остаток R17, независимо от значения другого остатка R17, представляет собой водород, гидроксигруппу и, кроме того, в группе – (СН2)t-C(=NR17)-NHR17 два остатка R17 вместе с группой C(=N)-NH, к которой они присоединены, могут образовать кольцо дигидроимидазолила;
А представляет собой двухвалентный остаток -(С1-С4)алкил-, который является насыщенным или который содержит тройную связь, или -(C1-C4)алкил-CO-NH-, где азот связан с R4;
R4 представляет собой фенил, который замещен одним остатком R15b, или пиридил, который является незамещенным или замещенным 14 по атому азота;
R15c представляет -(CH2)t-N(R16)2, -(СН2)t-CN, -(CH2)t-NH-C(=NR17)-NHR17, -(CH2)t-C(=NR17)-NHR17, -(CH2)t-CS-NHR17, и где группы, содержащие остатки R17, если присутствуют в молекуле более чем один раз, являются независимыми друг от друга и могут быть одинаковыми или различными;
каждый остаток R18 независимо от значения другого остатка R18 представляет собой водород или (C1-C4)алкил;
t равно 0, 1, 2, 3; числа t, если присутствуют в молекуле более чем один раз, являются независимыми друг от друга и могут быть одинаковыми или различными;
Х– представляет собой физиологически приемлемый анион,
все их стереоизомерические формы и их смеси в любых соотношениях, и их физиологически приемлемые соли.
2. Соединение формулы I по п.1, где А представляет собой двухвалентный остаток -(C1-C4)алкил-, все его стереоизомерические формы и их смеси в любых соотношениях, и его физиологически приемлемые соли.
3. Соединение формулы I по п.1 и/или 2, где R4 представляет собой фенил, который замещен одним остатком R15c, все его стереоизомерические формы и их смеси в любых соотношениях, и его физиологически приемлемые соли.
4. Соединение формулы I по одному или нескольким из пп.1-3, 15с представляет собой –(СН2)t-C(=NR17)-NHR17, все его стереоизомерические формы и их смеси в любых соотношениях, и его физиологически приемлемые соли.
5. Соединение формулы I по одному или нескольким из пп.1-4, где А представляет собой метиленовый остаток -СН2-, a R4 представляет собой фенил, который замещен -C(=NR17)-NHR17 в мета-положении, все его стереоизомерические формы и их смеси в любых соотношениях, и его физиологически приемлемые соли.
6. Соединение формулы I по одному или нескольким из пп.1-5, где R3 представляет собой -CO-R8, все его стереоизомерические формы и их смеси в любых соотношениях, и его физиологически приемлемые соли.
7. Соединение формулы I по одному или нескольким из пп.1-6, где R2 представляет собой водород, Сl или Вr, все его стереоизомерические формы и их смеси в любых соотношениях, и его физиологически приемлемые соли.
8. Соединения формулы I по одному или нескольким из пп.1-7, где остатки Rlc, и Rld представляют собой водород, все его стереоизомерические формы и их смеси в любых соотношениях, и его физиологически приемлемые соли.
9. Соединение формулы I по одному или нескольким из пп.1-8, где один из остатков Rla и Rlb представляет собой водород, а другой выбран из ряда, состоящего из водорода, метила, F, Cl, Вr, I, гидроксильной группы, -(C1-C4) алкокси, фенил-(C1-C4) алкокси и -NHR5a, все его стереоизомерические формы и их смеси в любых соотношениях, и его физиологически приемлемые соли.
10. Способ получения соединения формулы I по одному или нескольким из пп.1-9, включающий конденсацию соединения формулы VII с соединением формулы HR8’, с получением соединения формулы VIII и необязательно превращение соединения формулы VIII в соединение формулы I
где остатки R8’, которые являются одинаковыми или различными, имеют обозначения R8, определенные в пп.1-9, и где остаток R40 обозначает группу -A-R4, и где группы -COR41, которые являются одинаковыми или различными, представляют собой группы карбоновых кислот или их производные, и где группы Rla, Rlb, Rlc и Rld имеют значения, как они определены в пп.1-9, или функциональные группы в них могут также присутствовать в защищенном виде.
11. Фармацевтическая композиция для ингибирования активности фактора Ха для ингибирования свертывания крови, для профилактики или лечения тромбоэмболических состояний, тромбозов, сердечного инфаркта, грудной жабы, повторного стеноза или реокклюзии, включающая соединение формулы I по одному или нескольким из пп.1-9 и/или их физиологически приемлемые соли вместе с фармацевтически приемлемым носителем.
12. Соединение формулы I по одному или нескольким из пп.1-9 и/или его физиологически приемлемые соли для применения в качестве фармацевтических препаратов для ингибирования активности фактора Ха, для ингибирования свертывания крови, для профилактики или лечения тромбоэмболических состояний, тромбозов, сердечного инфаркта, грудной жабы, повторного стеноза или реокклюзии, включающая соединение формулы I по одному или нескольким из пп.1-9 и/или их физиологически приемлемые соли вместе с фармацевтически приемлемым носителем.
13. Соединение формулы I по одному или нескольким из пп.1-9 и/или его физиологически приемлемые соли для применения в качестве ингибитора фактора Ха.
14. Соединение формулы I по одному или нескольким из пп.1-9 и/или его физиологически приемлемые соли для применения в качестве ингибитора свертывания крови.
15. Соединение формулы I по одному или нескольким из пп.1-9 и/или его физиологически приемлемые соли для применения в лечении или профилактике тромбоэмболических состояний.
16. Соединение формулы I по одному или нескольким из пп.1-9 и/или его физиологически приемлемые соли для применения в лечении или профилактике тромбозов, сердечного инфаркта, грудной жабы, повторного стеноза или реокклюзии.
РИСУНКИ
PD4A – Изменение наименования обладателя патента Российской Федерации на изобретение
(73) Новое наименование патентообладателя:
Извещение опубликовано: 27.12.2005 БИ: 36/2005
|
||||||||||||||||||||||||||

где два из R1a, Rlb, Rlc, Rld независимо друг от друга означают Н, F, I, Cl, Br, (С1-С4)алкил, фенил, фенил-(С1-С4)алкил, (С1–С4)алкокси, фенил-(С1-С4)алкокси, фенилокси, ОН, -NR5aR5b, -SOn-R6c, n равно 1-2, и являются одинаковыми или различными, а два других означают Н; где все остатки R5a, R5b, R6c, если присутствуют в молекуле более, чем один раз, являются независимыми друг от друга и могут быть каждый одинаковыми или различными; один из R2 и R3 означает -(CH2)p-CO-R8, а другой означает Н, F, Cl, Br или -(CH2)p-CO-R8; р равно 0, 1 или 2; R8 означает -NR9R10, -OR10; А означает двухвалентный остаток -(С1-С4)алкил-, который является насыщенным или который содержит тройную связь, или -(C1-C4)алкил-CO-NH-, где азот связан с R4; R4 означает фенил, который замещен одним остатком R15b, или пиридил, который является незамещенным или замещенным 14 по атому азота; все их стереоизомерические формы и их смеси в любых соотношениях, и их физиологически приемлемые соли. Соединения 1 ингибируют белки свертывания крови и могут быть использованы в фармацевтической композиции для ингибирования фактора Ха, для лечения тромбозов, сердечного инфаркта, грудной жабы и др. Описан способ получения соединений 1. 4 c. и 12 з.п. ф-лы, 2 табл.
Текст описания в факсимильном виде (см. графическую часть)
где два из R1a, Rlb, Rlc, Rld независимо друг от друга представляют собой водород, F, I, Сl, Вr, (С1-С4)алкил, фенил, фенил-(С1-С4)алкил, (С1–С4)aлкокси, фенил-(С1-С4)алкокси, фенилокси, ОН, -NR5aR5b, -SOn-R6c, где n равно 1-2, и являются одинаковыми или различными, а два других из остатков Rla, Rlb, Rlc, Rld представляют собой водород;
R5a представляет собой водород, (С1-С4)алкил, ((С1-С4)алкокси)карбонил;
R5b представляет водород, (С1-С4)алкил;
R6c представляет собой (С1-С4)алкил;
фенил, присутствующий в остатках Rla, Rlb Rlc, Rld, обозначает незамещенный фенильный остаток или фенильный остаток, который замещен одним или двумя одинаковыми или различными заместителями, выбранными из группы, включающей (С1-С4)алкил, F, I, Cl, Вr, (С1-С4)алкокси;
все остатки R5a, R5b, R6c, если присутствуют в молекуле более чем один раз, являются независимыми друг от друга и могут быть каждый одинаковыми или различными;
один из остатков R2 и R3 представляет собой -(CH2)P-CO-R8, а другой представляет водород, F, Cl, Вr или -(CH2)P-CO-R8, где р равно 0, 1 или 2;
R8 представляет собой -NR9R10, -ОR10;
R9 представляет собой водород, аминокарбонил-(С1-С4)алкил, (С1-С4)алкил, ((С1-С4)алкокси)карбонил-(С1-С4)алкил-, гидроксикарбонил-(С1-С4)алкил;
R10 представляет водород, -(С1-С10)алкил, фенил, нафтил, фенил-(С1-С4)алкил, нафтил-(С1-С4)алкил, пиридил, где остаток -(С1-С10)алкил и каждый фенильный и нафтильный остаток являются незамещенными или замещенными одним, двумя или тремя одинаковыми или различными остатками R11 и где пиридильный остаток является незамещенным или замещенным R14 по атому азота;
R11 представляет собой -N(R12)2, -OR12, -CO-N(R13)2, (С1-С14)алкил, хинолинил, который является незамещенным или замещенным R14 по атому азота, изохинолинил, который является незамещенным или замещенным R14 по атому азота, R15b, пиридил, который является незамещенным или замещенным R14 по атому азота, фенил, который является замещенным одним, двумя или тремя одинаковыми или различными остатками R15b, нафтил, который является замещенным одним, двумя или тремя одинаковыми или различными остатками R15b, пиперидинил, который является замещенным или незамещенным -(С1-С6)алкилом, где остатки R11, если присутствуют в молекуле более чем один раз, являются независимыми друг от друга и могут быть одинаковыми или различными;
каждый остаток R12 представляет независимо водород, (С1-С4)алкил, фенил, нафтил;
каждый остаток R13 представляет независимо водород, (С1-С4)алкил, фенил, нафтил;
R14 представляет собой -(С1-С6)алкил, замещение этими остатками по атому азота гетероциклического остатка приводит к образованию положительно заряженной группы, имеющей X– в качестве противоиона; или R14 представляет собой оксидогруппу, такое замещение по атому азота гетероциклического остатка приводит к образованию N-оксида; и где остатки R14, если присутствуют в молекуле более чем один раз, являются независимыми друг от друга и могут быть одинаковыми или различными;
R15b представляет собой -(С1-С6)алкил, (С1-С4)алкокси, F, I, Вr, Cl, NO2, -(CH2)t-C(=NR17)-NHR17, -(CH2)t-NH-C(=NR17)-NHR17, гидрокси, -(CH2)t-CO-OR18, -(CH2)t-CO-N(R18)2, -(CH2)t-N(R16)2, -(CH2)t-N+(R16a)3X–, где алкил может быть замещен 1, 2 или 3 раза фтором и где остатки R15b, если присутствуют в молекуле более чем один раз, являются независимыми друг от друга и могут быть одинаковыми или различными;
каждый остаток R16 независимо от значения другого остатка R16 представляет собой водород и (С1-С6)алкил, и где группы, содержащие остатки R16, если присутствуют в молекуле более чем один раз, являются независимыми друг от друга и могут быть одинаковыми или различными;
каждый остаток R16a, независимо от значения другого остатка R16a, представляет собой (С1-С6)алкил, (С2-С6)алкенил, (С2-С6)алкинил, фенил-(С1-С6)алкил, где фенил, присутствующий в R16а, означает незамещенный фенильный остаток и где группы, содержащие остатки R16a, если присутствуют в молекуле более чем один раз, являются независимыми друг от друга и могут быть одинаковыми или различными;
каждый остаток R17, независимо от значения другого остатка R17, представляет собой водород, гидроксигруппу и, кроме того, в группе – (СН2)t-C(=NR17)-NHR17 два остатка R17 вместе с группой C(=N)-NH, к которой они присоединены, могут образовать кольцо дигидроимидазолила;
А представляет собой двухвалентный остаток -(С1-С4)алкил-, который является насыщенным или который содержит тройную связь, или -(C1-C4)алкил-CO-NH-, где азот связан с R4;
R4 представляет собой фенил, который замещен одним остатком R15b, или пиридил, который является незамещенным или замещенным 14 по атому азота;
R15c представляет -(CH2)t-N(R16)2, -(СН2)t-CN, -(CH2)t-NH-C(=NR17)-NHR17, -(CH2)t-C(=NR17)-NHR17, -(CH2)t-CS-NHR17, и где группы, содержащие остатки R17, если присутствуют в молекуле более чем один раз, являются независимыми друг от друга и могут быть одинаковыми или различными;
каждый остаток R18 независимо от значения другого остатка R18 представляет собой водород или (C1-C4)алкил;
t равно 0, 1, 2, 3; числа t, если присутствуют в молекуле более чем один раз, являются независимыми друг от друга и могут быть одинаковыми или различными;
Х– представляет собой физиологически приемлемый анион,
все их стереоизомерические формы и их смеси в любых соотношениях, и их физиологически приемлемые соли.
2. Соединение формулы I по п.1, где А представляет собой двухвалентный остаток -(C1-C4)алкил-, все его стереоизомерические формы и их смеси в любых соотношениях, и его физиологически приемлемые соли.
3. Соединение формулы I по п.1 и/или 2, где R4 представляет собой фенил, который замещен одним остатком R15c, все его стереоизомерические формы и их смеси в любых соотношениях, и его физиологически приемлемые соли.
4. Соединение формулы I по одному или нескольким из пп.1-3, 15с представляет собой –(СН2)t-C(=NR17)-NHR17, все его стереоизомерические формы и их смеси в любых соотношениях, и его физиологически приемлемые соли.
5. Соединение формулы I по одному или нескольким из пп.1-4, где А представляет собой метиленовый остаток -СН2-, a R4 представляет собой фенил, который замещен -C(=NR17)-NHR17 в мета-положении, все его стереоизомерические формы и их смеси в любых соотношениях, и его физиологически приемлемые соли.
6. Соединение формулы I по одному или нескольким из пп.1-5, где R3 представляет собой -CO-R8, все его стереоизомерические формы и их смеси в любых соотношениях, и его физиологически приемлемые соли.
7. Соединение формулы I по одному или нескольким из пп.1-6, где R2 представляет собой водород, Сl или Вr, все его стереоизомерические формы и их смеси в любых соотношениях, и его физиологически приемлемые соли.
8. Соединения формулы I по одному или нескольким из пп.1-7, где остатки Rlc, и Rld представляют собой водород, все его стереоизомерические формы и их смеси в любых соотношениях, и его физиологически приемлемые соли.
9. Соединение формулы I по одному или нескольким из пп.1-8, где один из остатков Rla и Rlb представляет собой водород, а другой выбран из ряда, состоящего из водорода, метила, F, Cl, Вr, I, гидроксильной группы, -(C1-C4) алкокси, фенил-(C1-C4) алкокси и -NHR5a, все его стереоизомерические формы и их смеси в любых соотношениях, и его физиологически приемлемые соли.
10. Способ получения соединения формулы I по одному или нескольким из пп.1-9, включающий конденсацию соединения формулы VII с соединением формулы HR8’, с получением соединения формулы VIII и необязательно превращение соединения формулы VIII в соединение формулы I
где остатки R8’, которые являются одинаковыми или различными, имеют обозначения R8, определенные в пп.1-9, и где остаток R40 обозначает группу -A-R4, и где группы -COR41, которые являются одинаковыми или различными, представляют собой группы карбоновых кислот или их производные, и где группы Rla, Rlb, Rlc и Rld имеют значения, как они определены в пп.1-9, или функциональные группы в них могут также присутствовать в защищенном виде.
11. Фармацевтическая композиция для ингибирования активности фактора Ха для ингибирования свертывания крови, для профилактики или лечения тромбоэмболических состояний, тромбозов, сердечного инфаркта, грудной жабы, повторного стеноза или реокклюзии, включающая соединение формулы I по одному или нескольким из пп.1-9 и/или их физиологически приемлемые соли вместе с фармацевтически приемлемым носителем.
12. Соединение формулы I по одному или нескольким из пп.1-9 и/или его физиологически приемлемые соли для применения в качестве фармацевтических препаратов для ингибирования активности фактора Ха, для ингибирования свертывания крови, для профилактики или лечения тромбоэмболических состояний, тромбозов, сердечного инфаркта, грудной жабы, повторного стеноза или реокклюзии, включающая соединение формулы I по одному или нескольким из пп.1-9 и/или их физиологически приемлемые соли вместе с фармацевтически приемлемым носителем.
13. Соединение формулы I по одному или нескольким из пп.1-9 и/или его физиологически приемлемые соли для применения в качестве ингибитора фактора Ха.
14. Соединение формулы I по одному или нескольким из пп.1-9 и/или его физиологически приемлемые соли для применения в качестве ингибитора свертывания крови.
15. Соединение формулы I по одному или нескольким из пп.1-9 и/или его физиологически приемлемые соли для применения в лечении или профилактике тромбоэмболических состояний.
16. Соединение формулы I по одному или нескольким из пп.1-9 и/или его физиологически приемлемые соли для применения в лечении или профилактике тромбозов, сердечного инфаркта, грудной жабы, повторного стеноза или реокклюзии.