Патент на изобретение №2225396
|
||||||||||||||||||||||||||
(54) ПРОИЗВОДНЫЕ ИНДОЛА, ЛЕКАРСТВЕННОЕ СРЕДСТВО, ИХ СОДЕРЖАЩЕЕ, СПОСОБ ИХ ПОЛУЧЕНИЯ (ВАРИАНТЫ)
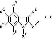
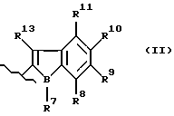
(57) Реферат: Изобретение относится к ингибиторам тирозинкиназ типа бис-индолилсодержащих соединений формулы I ![]() где Z означает группу общей формулы II ![]() где A, B, X, Z, R1-R10 имеют значения, указанные в формуле изобретения, а также к способу их получения и лекарственному средству на основе этих соединений. Технический результат – получение новых ингибиторов. 4 с. и 6 з. п. ф-лы, 2 табл. Текст описания в факсимильном виде (см. графическую часть)я Формула изобретения 1. Производные индола общей формулы
где Z означает группу общей формулы II
где А означает атом азота, кислорода или серы;
В – атом азота, кислорода или серы, при условии, что А и В не могут быть одновременно атомами кислорода;
Х означает группу общей формулы III или IV
где l и n могут означать число от 0 до 6;
m – число 1 или 2;
R14 и R15 либо оба вместе означают атом кислорода, либо R14 означает гидроксильную группу, а R15 означает атом водорода, либо R14 и R15 означают атомы водорода;
R16 означает атом водорода, алкильный остаток, замещенный галогеном, амино- или азидогруппой алкильный остаток, алкилоксиметильный остаток или замещенный алкилоксиметильный остаток;
R2 и R13 объединены с образованием структуры общей формулы V
где пунктирная линия означает двойную или простую связь;
R16 имеет указанные выше значения;
R2 и R13 означают одинаковые или различные остатки общей формулы VII
где пунктирная линия означает двойную или простую связь;
R16 имеет указанное выше значение;
R17 означает атом галогена или остаток общей формулы VIII
где р может быть равно 0, 1 или 2 (если р равно 0, то речь идет об ациклическом первичном амине и Y включает дополнительный атом водорода);
Y может означать атом углерода, кислорода или азота и если Y означает атом углерода или азота, то R18 означает водород или алкильный или фенильный остаток, замещенный алкильный или фенильный остаток, пиперидинил, алкоксикарбонил, аминокарбонилметил, замещенный аминокарбонилметил;
R2 и R13 объединены с образованием структуры общей формулы IX или Х
где W означает атом углерода или азота;
q может означать число от 0 до 6;
R19 и R20 могут означать водород, алкильный или замещенный алкильный остаток,
где R1 и R7 могут быть одинаковыми или различными и означают водород, алкил и аминоалкил, фенилсульфонил, алкилсилилметоксиметил, -D-глюкопиранозил или -D-маннопиранозил,
причем R3, R4, R5, R6, R8, R9, R10 и R11 могут быть одинаковыми или различными и по выбору означают водород, алкил, замещенный следующими группами: алкокси, амино, галоген, циклоалкил, морфолинил, пиперидинил, пирролидинил, фенил; алкокси, алкоксиметильную группу, нитрогруппу, галоген или O-алкоксигруппу общей формулы -O-(CO)-R21, причем R21 означает алкил, замещенный следующими группами: алкокси, амино, галоген, фенил, тиенил или фурил; алкокси или алкоксиметилгруппу; за исключением бис(бензотиофен)метана.
2. Соединения по п.1, отличающиеся тем, что они представлены общей формулой XI
где А означает атом азота;
В означает атомы азота, кислорода или серы;
R3, R4, R5, R6, R7, R8, R9, R10, R11, R14 и R15 имеют указанные выше значения.
3. Соединения по п.1 общей формулы I, отличающиеся тем, что Х означает группу общей формулы III или формулы IV по п.1, 1 и R2 означают атомы водорода, А и В означают атомы азота, a R1, R3, R4, R5, R6, R7, R8, R9, R10, R11 и R16 имеют указанные выше значения.
4. Соединение по п.1, отличающееся тем, что оно выбрано из группы, содержащей следующие соединения: бисиндол-2-илметан-1-он, (5-метоксииндол-2-ил)(индол-2-ил)метан-1-он, бис(5-метоксииндол-2-ил)-1-метанон, бензо[b]тиофен-2-ил(5-метокси-1Н-2-индолил)-1-метанон, 1Н-2-индолил[5-(2-морфолин-1-илэтилокси)-1Н-2-индолил]метанон, 1Н-2-индолил[5-(2-диметиламиноэтилокси)-1Н-2-индолил]метанон, [2-(1Н-2-индолил-карбонил)-1Н-5-индолил)]этаноат, [2-(1Н-2-индолилкарбонил)-1Н-5-индолил)]бутаноат, [2-(1Н-2-индолилкарбонил)-1Н-5-индолил)]-2-(N,N)-диметиламиноэтаноат, [2-(1Н-2-индолилкарбонил)-1Н-5-индолил)]-пропаноат, [2-(1Н-2-индолилкарбонил)-1Н-5-индолил)]-2-тиофенилэтаноат.
5. Соединение по одному из пп.1-4 в качестве ингибитора тирозинкиназы.
6. Соединение по одному из пп.1-4 в качестве ингибитора PDGF-рецептор-тирозинкиназы или рецептор-тирозинкиназы с родственной структурой.
7. Соединение по одному из пп.1-4, обладающее противоопухолевой активностью.
8. Лекарственное средство, обладающее ингибиторной активностью в отношении тирозинкиназы и противоопухолевой активностью, содержащее соединение по одному из пп.1-4.
9. Способ получения соединений по п.1, в которых R2 и R13 означают остаток общей формулы V по п.1 или они объединены с образованием структуры общей формулы VII по п.1, отличающийся тем, что 2,2′-бис-1Н-индолилалкан или его производное общей формулы XI обрабатывают диброммалеинимидом
где X, R1, R3, R4, R5, R6, R7, R8, R9, R10 и R11 имеют указанные выше значения.
10. Способ получения соединений по п.1, в которых R2 и R13 объединены с образованием структуры общей формулы IX или Х по п.1, отличающийся тем, что сначала обрабатывают диброммалеинимидом 2,2′-бис-1Н-индолилалкан или его производное общей формулы XI
где X, R1, R3, R4, R5, R6, R7, R8, R9, R10 и R11 имеют указанные выше значения,
а затем его обрабатывают первичным или вторичным амином, представленным следующими общими структурами XVI, XVII или пиперазином:
где р, q, R17 и W имеют указанные выше значения.
РИСУНКИ
TK4A – Поправки к публикациям сведений об изобретениях в бюллетенях “Изобретения (заявки и патенты)” и “Изобретения. Полезные модели”
Страница: 674
Напечатано: (57) 1. …-(CH21
Следует читать: (57) 1. …-(CH21
Номер и год публикации бюллетеня: 13-2004 Номер и год публикации бюллетеня: 47-2004
Извещение опубликовано: 10.05.2004
PD4A – Изменение наименования обладателя патента Российской Федерации на изобретение
Номер и год публикации бюллетеня: 19-2004
(73) Новое наименование патентообладателя:
Извещение опубликовано: 10.07.2004
MM4A – Досрочное прекращение действия патента СССР или патента Российской Федерации на изобретение из-за неуплаты в установленный срок пошлины за поддержание патента в силе
Дата прекращения действия патента: 23.04.2006
Извещение опубликовано: 20.12.2007 БИ: 35/2007
|
||||||||||||||||||||||||||



где Z означает группу общей формулы II
где А означает атом азота, кислорода или серы;
В – атом азота, кислорода или серы, при условии, что А и В не могут быть одновременно атомами кислорода;
Х означает группу общей формулы III или IV
где l и n могут означать число от 0 до 6;
m – число 1 или 2;
R14 и R15 либо оба вместе означают атом кислорода, либо R14 означает гидроксильную группу, а R15 означает атом водорода, либо R14 и R15 означают атомы водорода;
R16 означает атом водорода, алкильный остаток, замещенный галогеном, амино- или азидогруппой алкильный остаток, алкилоксиметильный остаток или замещенный алкилоксиметильный остаток;
R2 и R13 объединены с образованием структуры общей формулы V
где пунктирная линия означает двойную или простую связь;
R16 имеет указанные выше значения;
R2 и R13 означают одинаковые или различные остатки общей формулы VII
где пунктирная линия означает двойную или простую связь;
R16 имеет указанное выше значение;
R17 означает атом галогена или остаток общей формулы VIII
где р может быть равно 0, 1 или 2 (если р равно 0, то речь идет об ациклическом первичном амине и Y включает дополнительный атом водорода);
Y может означать атом углерода, кислорода или азота и если Y означает атом углерода или азота, то R18 означает водород или алкильный или фенильный остаток, замещенный алкильный или фенильный остаток, пиперидинил, алкоксикарбонил, аминокарбонилметил, замещенный аминокарбонилметил;
R2 и R13 объединены с образованием структуры общей формулы IX или Х
где W означает атом углерода или азота;
q может означать число от 0 до 6;
R19 и R20 могут означать водород, алкильный или замещенный алкильный остаток,
где R1 и R7 могут быть одинаковыми или различными и означают водород, алкил и аминоалкил, фенилсульфонил, алкилсилилметоксиметил,
-D-глюкопиранозил или
-D-маннопиранозил,
причем R3, R4, R5, R6, R8, R9, R10 и R11 могут быть одинаковыми или различными и по выбору означают водород, алкил, замещенный следующими группами: алкокси, амино, галоген, циклоалкил, морфолинил, пиперидинил, пирролидинил, фенил; алкокси, алкоксиметильную группу, нитрогруппу, галоген или O-алкоксигруппу общей формулы -O-(CO)-R21, причем R21 означает алкил, замещенный следующими группами: алкокси, амино, галоген, фенил, тиенил или фурил; алкокси или алкоксиметилгруппу; за исключением бис(бензотиофен)метана.
2. Соединения по п.1, отличающиеся тем, что они представлены общей формулой XI
где А означает атом азота;
В означает атомы азота, кислорода или серы;
R3, R4, R5, R6, R7, R8, R9, R10, R11, R14 и R15 имеют указанные выше значения.
3. Соединения по п.1 общей формулы I, отличающиеся тем, что Х означает группу общей формулы III или формулы IV по п.1, 1 и R2 означают атомы водорода, А и В означают атомы азота, a R1, R3, R4, R5, R6, R7, R8, R9, R10, R11 и R16 имеют указанные выше значения.
4. Соединение по п.1, отличающееся тем, что оно выбрано из группы, содержащей следующие соединения: бисиндол-2-илметан-1-он, (5-метоксииндол-2-ил)(индол-2-ил)метан-1-он, бис(5-метоксииндол-2-ил)-1-метанон, бензо[b]тиофен-2-ил(5-метокси-1Н-2-индолил)-1-метанон, 1Н-2-индолил[5-(2-морфолин-1-илэтилокси)-1Н-2-индолил]метанон, 1Н-2-индолил[5-(2-диметиламиноэтилокси)-1Н-2-индолил]метанон, [2-(1Н-2-индолил-карбонил)-1Н-5-индолил)]этаноат, [2-(1Н-2-индолилкарбонил)-1Н-5-индолил)]бутаноат, [2-(1Н-2-индолилкарбонил)-1Н-5-индолил)]-2-(N,N)-диметиламиноэтаноат, [2-(1Н-2-индолилкарбонил)-1Н-5-индолил)]-пропаноат, [2-(1Н-2-индолилкарбонил)-1Н-5-индолил)]-2-тиофенилэтаноат.
5. Соединение по одному из пп.1-4 в качестве ингибитора тирозинкиназы.
6. Соединение по одному из пп.1-4 в качестве ингибитора PDGF-рецептор-тирозинкиназы или рецептор-тирозинкиназы с родственной структурой.
7. Соединение по одному из пп.1-4, обладающее противоопухолевой активностью.
8. Лекарственное средство, обладающее ингибиторной активностью в отношении тирозинкиназы и противоопухолевой активностью, содержащее соединение по одному из пп.1-4.
9. Способ получения соединений по п.1, в которых R2 и R13 означают остаток общей формулы V по п.1 или они объединены с образованием структуры общей формулы VII по п.1, отличающийся тем, что 2,2′-бис-1Н-индолилалкан или его производное общей формулы XI обрабатывают диброммалеинимидом
где X, R1, R3, R4, R5, R6, R7, R8, R9, R10 и R11 имеют указанные выше значения.
10. Способ получения соединений по п.1, в которых R2 и R13 объединены с образованием структуры общей формулы IX или Х по п.1, отличающийся тем, что сначала обрабатывают диброммалеинимидом 2,2′-бис-1Н-индолилалкан или его производное общей формулы XI
где X, R1, R3, R4, R5, R6, R7, R8, R9, R10 и R11 имеют указанные выше значения,
а затем его обрабатывают первичным или вторичным амином, представленным следующими общими структурами XVI, XVII или пиперазином:
где р, q, R17 и W имеют указанные выше значения.