Патент на изобретение №2225395
|
||||||||||||||||||||||||||
(54) Способ стереохимически контролируемого получения изомерно чистых высокозамещенных азациклических соединений
(57) Реферат: Изобретение относится к стереохимически контролируемому способу получения азациклических соединений формулы (Iа,), где R1 R2CH-группа в 5-положении циклического фрагмента и гидроксигруппа в 3-положении циклического элемента находятся в трансположении относительно друг друга и где заместитель R4 в 4-положениии и гидроксигруппа в 3-положении циклического фрагмента находятся в цисположении относительно друг друга и где n означает 0 или 1, R1– R3 – водород, R4 – водород или низший алкил, или R3 и R4 вместе означают С2-С6-алкиленовую цепь, R5– R7 – водород, R8 – водород, низший алкил, (низший алкокси)низший алкил, фенил или фенил-низший алкил, R6 и R7 вместе также могут образовывать связь, и R5 и R8 вместе с атомами углерода, с которыми они связаны, могут образовывать ароматическую С6-кольцевую систему, R9 – водород или защитная аминогруппа, или R8 и R9 вместе могут образовывать С3-С4-алкиленовую цепь или их солей. Способ заключается в том, что соединение формулы (II) подвергают взаимодействию с основанием, металлорганическим соединением и стереоизомером соединения формулы (VIII) с образованием стереоизомера соединения (IX), которое путем обработки подходящим реагентом превращают в соединение (Xa), это соединение обрабатывают иодидом самария II с последующим, в случае необходимости, отщеплением защитных групп. Способ позволяет получить высокозамещенные азациклические соединения в изомерно чистом виде с высоким выходом. Описываются также промежуточные соединения формулы (Xa). 3 с. и 7 з.п. ф-лы, 1 табл. Соединения формулы: Iа,, II, VIII, IX, Xa
Текст описания в факсимильном виде (см. графическую часть)
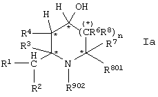
Формула изобретения 1. Способ стереохимически контролируемого получения соединений общей формулы 1а’
где R1R2CH-группа в 5-положении циклического фрагмента и гидроксигруппа в 3-положении циклического элемента находятся в транс-положении относительно друг друга и где заместитель R4 в 4-положении и гидроксигруппа в 3-положении циклического фрагмента находятся в цис-положении относительно друг друга;
n означает 0 или 1;
R1 означает водород;
R2 означает водород;
R3 означает водород;
R4 означает водород или низший алкил или R3 и R4 также вместе означают С2-С6-алкиленовую цепь;
R5 означает водород;
R6 означает водород;
R7 означает водород;
R8 означает водород, низший алкил, (низший алкокси)-низший алкил, фенил или фенил-низший алкил;
R6 и R7 вместе могут также образовывать связь;
R5 и R8 вместе с атомами углерода, с которыми они связаны, могут образовывать ароматическую С6-кольцевую систему;
R3 означает водород или защитную аминогруппу или R8 и R9 вместе могут образовывать С3-С4-алкиленовую цепь,
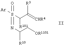
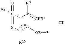
и их аддитивные соли кислот, причем, в случае необходимости, имеющиеся реакционноспособные группы в соединениях формулы 1а’ могут быть блокированы подходящими защитными группами, отличающийся тем, что а) соединение общей формулы II
где R3 и R4 имеют указанные выше значения;
R101 имеет значение, приведенное выше для R1;
Аr является фенилом, в случае необходимости, однократно до трехкратно замещенным низшим алкилом;
R10 означает низший алкил или фенил, в случае необходимости, однократно замещенный в фенильном кольце низшим алкилом или гидроксигруппой, защищенной подходящей защитной группой, или фенил-низший алкил, в случае необходимости, однократно замещенный в фенильном кольце низшим алкилом;
R1101 является сильной защитной группой,
последовательно подвергают взаимодействию с подходящим для его депротонирования основанием, металлорганическим соединением общей формулы VII
XM2(OR12)3 VII
где Х является галогеном;
M2 означает четырехвалентный переходный металл;
R12 является низшим алкилом, фенилом или фенил-низшим алкилом,
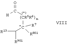
и стереоизомером соединения общей формулы VIII
где R5, R6, R7 и n имеют указанные выше значения, R801 имеет значения R8;
R901 является водородом или вместе с R801 означает С3-С4-алкиленовую цепь;
R13 означает защитную аминогруппу, которая при отщеплении оставляет нуклеофильный азот,
с образованием стереоизомера соединения общей формулы IX
где R101, R3, R4, R5, R6, R7, R801, R901, R10, R1101, R12, R13, n, Аr и М2 имеют указанные выше значения,
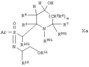
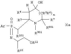
b) полученное соединение формулы IX путем обработки реагентом, подходящим для удаления группы R13, превращают в соединение общей формулы Ха
где R101, R3, R4, R5, R6, R7, R801, R901, R10, n и Аr имеют указанные выше значения;
R11 – водород или силильная защитная группа, и, если R901 является водородом, атом азота в основном циклическом фрагменте образующегося соединения формулы Ха блокируют устойчивой к основанию защитной группой и, в случае необходимости, отщепляют еще присутствующую силильную защитную группу R11;
с) для получения соединения общей формулы 1а
где R1, R2, R3, R4, R5, R6, R7, R801 и n имеют указанные выше значения;
R902 является защитной группой, устойчивой к основаниям, или вместе с R801 образует С3-С4-алкиленовую цепь,
полученное соединение формулы Ха или соединение, полученное путем отщепления силильной защитной группы R11, обрабатывают иодидом самария II, при желании все защитные группы в соединении формулы Iа снова отщепляют и, при желании, в случае необходимости, освобожденную NH-группу в 1-положении циклического фрагмента блокируют защитной аминогруппой для получения соединения формулы Ia’.
2. Способ по п.1, отличающийся тем, что в качестве защитной аминогруппы R13 в соединениях формулы VIII используют неустойчивую к основанию защитную группу и на стадии b) в качестве реагента для удаления защитной группы R13 используют основание.
3. Способ по п.2, отличающийся тем, что неустойчивая к основанию защитная группа является флуорен-9-ил-метилоксикарбонильным остатком.
4. Способ по п.3, отличающийся тем, что в качестве основания используют пиперидин.
5. Способ по п.1, отличающийся тем, что, по меньшей мере, на стадии а) в качестве растворителя используют толуол.
6. Способ по п.I, отличающийся тем, что в соединениях общих формул Ia’, Ia, Ib, II, IX и Ха каждый R4 отличен от водорода.
7. Способ по п.1, отличающийся тем, что в качестве силильной защитной группы R1101 используют трет.-бутилдиметилсилил или триметилсилил.
8. Соединения общей формулы Ха
где n означает 0 или 1;
R101 означает водород;
R3 означает водород;
R4 означает водород, низший алкил или R3 и R4 также вместе означают С2-С6-алкиленовую цепь;
R5 означает водород;
R6 означает водород;
R7 означает водород;
R801 означает водород, низший алкил, (низший алкокси)низший алкил, фенил или фенилнизший алкил;
R901 означает водород;
R801 и R901 также вместе означают С3-С4-алкиленовую цепь;
R10 означает низший алкил или фенил, в случае необходимости, однократно замещенный в фенильном кольце низшим алкилом или гидроксигруппой, защищенной подходящей защитной группой, или фенилнизший алкил, в случае необходимости, однократно замещенный в фенильном кольце низшим алкилом;
R11 означает водород или силильную защитную группу;
Аr является фенилом, в случае необходимости, однократно до трехкратно замещенным низшим алкилом,
а также соединения, образующиеся из соединений формулы Ха путем удаления в случае необходимости имеющихся гидрокси- или силильных защитных групп, где каждый серусодержаший заместитель в 5-положении и гидроксигруппа в 3-положении циклического фрагмента находятся в транс-положении относительно друг друга и где заместитель R4 в 4-положении и гидроксигруппа в 3-положении циклического фрагмента находятся в цис-положении относительно друг друга.
9. Соединения общей формулы Ха по п.8, которые содержат вторичный атом азота в циклическом фрагменте, защищенный трет.-бутоксикарбонильной защитной группой.
10. Способ восстановительного обессеривания алкилсульфонимидоильных соединений общей формулы Ха по п.8, отличающийся тем, что восстановительное обессеривание проводят с использованием йодида самария (II).
РИСУНКИ
MM4A Досрочное прекращение действия патента Российской Федерации на изобретение из-за неуплаты в установленный срок пошлины за поддержание патента в силе
Дата прекращения действия патента: 11.05.2005
Извещение опубликовано: 20.10.2006 БИ: 29/2006
|
||||||||||||||||||||||||||

Текст описания в факсимильном виде (см. графическую часть)
где R1R2CH-группа в 5-положении циклического фрагмента и гидроксигруппа в 3-положении циклического элемента находятся в транс-положении относительно друг друга и где заместитель R4 в 4-положении и гидроксигруппа в 3-положении циклического фрагмента находятся в цис-положении относительно друг друга;
n означает 0 или 1;
R1 означает водород;
R2 означает водород;
R3 означает водород;
R4 означает водород или низший алкил или R3 и R4 также вместе означают С2-С6-алкиленовую цепь;
R5 означает водород;
R6 означает водород;
R7 означает водород;
R8 означает водород, низший алкил, (низший алкокси)-низший алкил, фенил или фенил-низший алкил;
R6 и R7 вместе могут также образовывать связь;
R5 и R8 вместе с атомами углерода, с которыми они связаны, могут образовывать ароматическую С6-кольцевую систему;
R3 означает водород или защитную аминогруппу или R8 и R9 вместе могут образовывать С3-С4-алкиленовую цепь,
и их аддитивные соли кислот, причем, в случае необходимости, имеющиеся реакционноспособные группы в соединениях формулы 1а’ могут быть блокированы подходящими защитными группами, отличающийся тем, что а) соединение общей формулы II
где R3 и R4 имеют указанные выше значения;
R101 имеет значение, приведенное выше для R1;
Аr является фенилом, в случае необходимости, однократно до трехкратно замещенным низшим алкилом;
R10 означает низший алкил или фенил, в случае необходимости, однократно замещенный в фенильном кольце низшим алкилом или гидроксигруппой, защищенной подходящей защитной группой, или фенил-низший алкил, в случае необходимости, однократно замещенный в фенильном кольце низшим алкилом;
R1101 является сильной защитной группой,
последовательно подвергают взаимодействию с подходящим для его депротонирования основанием, металлорганическим соединением общей формулы VII
XM2(OR12)3 VII
где Х является галогеном;
M2 означает четырехвалентный переходный металл;
R12 является низшим алкилом, фенилом или фенил-низшим алкилом,
и стереоизомером соединения общей формулы VIII
где R5, R6, R7 и n имеют указанные выше значения, R801 имеет значения R8;
R901 является водородом или вместе с R801 означает С3-С4-алкиленовую цепь;
R13 означает защитную аминогруппу, которая при отщеплении оставляет нуклеофильный азот,
с образованием стереоизомера соединения общей формулы IX
где R101, R3, R4, R5, R6, R7, R801, R901, R10, R1101, R12, R13, n, Аr и М2 имеют указанные выше значения,
b) полученное соединение формулы IX путем обработки реагентом, подходящим для удаления группы R13, превращают в соединение общей формулы Ха
где R101, R3, R4, R5, R6, R7, R801, R901, R10, n и Аr имеют указанные выше значения;
R11 – водород или силильная защитная группа, и, если R901 является водородом, атом азота в основном циклическом фрагменте образующегося соединения формулы Ха блокируют устойчивой к основанию защитной группой и, в случае необходимости, отщепляют еще присутствующую силильную защитную группу R11;
с) для получения соединения общей формулы 1а
где R1, R2, R3, R4, R5, R6, R7, R801 и n имеют указанные выше значения;
R902 является защитной группой, устойчивой к основаниям, или вместе с R801 образует С3-С4-алкиленовую цепь,
полученное соединение формулы Ха или соединение, полученное путем отщепления силильной защитной группы R11, обрабатывают иодидом самария II, при желании все защитные группы в соединении формулы Iа снова отщепляют и, при желании, в случае необходимости, освобожденную NH-группу в 1-положении циклического фрагмента блокируют защитной аминогруппой для получения соединения формулы Ia’.
2. Способ по п.1, отличающийся тем, что в качестве защитной аминогруппы R13 в соединениях формулы VIII используют неустойчивую к основанию защитную группу и на стадии b) в качестве реагента для удаления защитной группы R13 используют основание.
3. Способ по п.2, отличающийся тем, что неустойчивая к основанию защитная группа является флуорен-9-ил-метилоксикарбонильным остатком.
4. Способ по п.3, отличающийся тем, что в качестве основания используют пиперидин.
5. Способ по п.1, отличающийся тем, что, по меньшей мере, на стадии а) в качестве растворителя используют толуол.
6. Способ по п.I, отличающийся тем, что в соединениях общих формул Ia’, Ia, Ib, II, IX и Ха каждый R4 отличен от водорода.
7. Способ по п.1, отличающийся тем, что в качестве силильной защитной группы R1101 используют трет.-бутилдиметилсилил или триметилсилил.
8. Соединения общей формулы Ха
где n означает 0 или 1;
R101 означает водород;
R3 означает водород;
R4 означает водород, низший алкил или R3 и R4 также вместе означают С2-С6-алкиленовую цепь;
R5 означает водород;
R6 означает водород;
R7 означает водород;
R801 означает водород, низший алкил, (низший алкокси)низший алкил, фенил или фенилнизший алкил;
R901 означает водород;
R801 и R901 также вместе означают С3-С4-алкиленовую цепь;
R10 означает низший алкил или фенил, в случае необходимости, однократно замещенный в фенильном кольце низшим алкилом или гидроксигруппой, защищенной подходящей защитной группой, или фенилнизший алкил, в случае необходимости, однократно замещенный в фенильном кольце низшим алкилом;
R11 означает водород или силильную защитную группу;
Аr является фенилом, в случае необходимости, однократно до трехкратно замещенным низшим алкилом,
а также соединения, образующиеся из соединений формулы Ха путем удаления в случае необходимости имеющихся гидрокси- или силильных защитных групп, где каждый серусодержаший заместитель в 5-положении и гидроксигруппа в 3-положении циклического фрагмента находятся в транс-положении относительно друг друга и где заместитель R4 в 4-положении и гидроксигруппа в 3-положении циклического фрагмента находятся в цис-положении относительно друг друга.
9. Соединения общей формулы Ха по п.8, которые содержат вторичный атом азота в циклическом фрагменте, защищенный трет.-бутоксикарбонильной защитной группой.
10. Способ восстановительного обессеривания алкилсульфонимидоильных соединений общей формулы Ха по п.8, отличающийся тем, что восстановительное обессеривание проводят с использованием йодида самария (II).