Патент на изобретение №2225393
|
||||||||||||||||||||||||||
(54) Новые производные аминоциклогексана
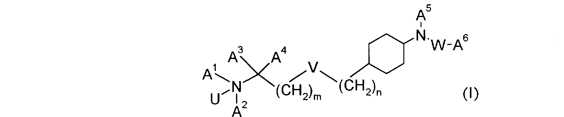
(57) Реферат: Изобретение относится к органической химии, в частности к новым соединениям формулы (I)
в которой U обозначает О или неподеленную пару электронов; V обозначает О, S, – CH2-, – СН=СН- или – С C-; W обозначает СО, COO, CONR1, CSO, CSNR1, SO2 или SO2NR1; m и n независимо друг от друга каждый обозначает число от 0 до 7, а сумма m+n составляет от 0 до 7 при условии, что m не обозначает 0, если V обозначает О или S; А1 обозначает Н, низший алкил, гидрокси(низш.)алкил или (низш.)алкенил; А2 обозначает (низш.)алкил, циклоалкил, циклоалкил(низший)алкил или (низш.)алкенил, необязательно замещенный группой R2; А3 и А4 каждый обозначает водородный атом или (низш.)алкил; А5 обозначает Н, (низш.)алкил, (низш.)алкенил или арил(низш.)алкил; А6 обозначает (низш.)алкил, циклоалкил, арил, арил(низший)алкил, гетероарил, гетероарил(низш.)алкил, (низш.)алкоксикарбонил(низш.)алкил; R2 обозначает гидрокси, гидрокси(низш.)алкил, (низш.)алкокси, (низш.)алкоксикарбонил, N(R4,R5) или тио(низш.)алкокси; R1, R3, R4 и R5 каждый независимо друг от друга обозначает водородный атом или (низш.)алкил, и к их фармацевтически приемлемым солям и/или фармацевтически приемлемым сложным эфирам. Эти соединения могут быть использованы при лечении и/или профилактике заболеваний, которые связаны с 2,3-оксидосквален-ланостеролциклазой, таких как гиперхолестеринемия, гиперлипемия, артериосклероз, сосудистые заболевания, микозы и паразитарные инфекции. 4 с. и 31 з.п. ф-лы, 1 табл.
Текст описания в факсимильном виде (см. графическую часть)
Формула изобретения 1. Соединения формулы (I)
в которой U обозначает О или неподеленную пару электронов;
V обозначает О, S, – CH2-, – СН=СН- или – С C-;
W обозначает СО, COO, CONR1, CSO, CSNR1, SO2 или SO2NR1;
m и n независимо друг от друга каждый обозначает число от 0 до 7, а сумма m+n составляет от 0 до 7 при условии, что m не обозначает 0, если V обозначает О или S;
А1 обозначает Н, низший алкил, гидрокси(низш.)алкил или (низш.)алкенил;
А2 обозначает (низш.)алкил, циклоалкил, циклоалкил(низший)алкил или (низш.)алкенил, необязательно замещенный группой R2;
А3 и А4 каждый обозначает водородный атом или (низш.)алкил или
А1 и А2 или А1 и А3 связаны между собой с образованием кольца, а сочетение –А1-А2– – или –А1-А3 – обозначает (низш.)алкилен или (низш.)алкенилен, необязательно замещенный группой R2, где одна группа – СН2 – сочетания –А1-А2 – или – А1-А3 – может быть необязательно замещенной группой NR, S или О, или
А3 и А4 связаны между собой с образованием кольца совместно с углеродным атомом, к которому они присоединены, а сочетание – А3-А4 – обозначает группу – (СН2)2-5-, которая может быть необязательно моно- или полизамещенной (низш.)алкилом;
А5 обозначает Н, (низш.)алкил, (низш.)алкенил или арил(низш.)алкил;
А6 обозначает (низш.)алкил, циклоалкил, арил, арил(низший)алкил, гетероарил, гетероарил(низш.)алкил, (низш.)алкоксикарбонил(низш.)алкил;
R2 обозначает гидрокси, гидрокси(низш.)алкил, (низш.)алкокси, (низш.)алкоксикарбонил, N(R4,R5) или тио(низш.)алкокси;
R1, R3, R4 и R5 каждый независимо друг от друга обозначает водородный атом или (низш.)алкил,
и их фармацевтически приемлемые соли и/или фармацевтически приемлемые сложные эфиры.
2. Соединения по п.1, у которых А3 и А4 не соединены между собой с образованием кольца совместно с углеродным атомом, с которым они связаны.
3. Соединения по любому из п.1 или 2, отличающиеся формулой (Iа)
в которой U, V, W, m, n, A1, А2, А3, А4, А5 и А6 имеют значения, указанные в любом из п.1 или 2.
4. Соединения по любому из пп.1-3, у которых U обозначает неподеленную пару электронов.
5. Соединения по любому из пп.1-4, у которых V обозначает О.
6. Соединения по любому из пп.1-4, у которых V обозначает –СН2-.
7. Соединения по любому из пп.1-4, у которых V обозначает -С=С-.
8. Соединения по любому из пп.1-4, у которых V обозначает -С=С.
9. Соединения по любому из пп.1-8, у которых W обозначает СО, COO, CONR1, CSNR1, SO2; или SO2NR1, a R обозначает водородный атом.
10. Соединения по любому из пп.1-9, у которых W обозначает СОО или SO2.
11. Соединения по любому из пп.1-10, у которых n обозначает 0.
12. Соединения по любому из пп.1-10, у которых n обозначает 1.
13. Соединения по любому из пп.1-12, у которых m обозначает число от 1 до 6.
14. Соединения по любому из пп.1-12, у которых m обозначает 0, а V обозначает -С=С-или -С=С.
15. Соединения по любому из пп.1-14, у которых А1 обозначает Н, метил, этил, изопропил, 2-гидроксиэтил или 2-пропенил.
16. Соединения по любому из пп.1-15, у которых А1 обозначает (низш.)алкил, циклоалкил(низш.)алкил или (низш.)алкенил, необязательно замещенный группой R2, где R2 обозначает гидрокси, метокси или этоксикарбонил.
17. Соединения по любому из пп.1-16, у которых А обозначает метил, этил, 2-гидроксиэтил, 2-пропенил, пропил или изопропил.
18. Соединения по любому из пп.1-14, у которых А1 и А2 связаны между собой с образованием кольца, а сочетание –А1-А2– обозначает (низш.)алкилен или (низш.)алкенилен, необязательно замещенный группой R2, где одна группа –СН2– сочетания –А1-А2– может быть необязательно замененной группой NR3, S или О, где R2 и R3 имеют значения, указанные в п.1.
19. Соединения по п.18, у которых А1 и А2 связаны между собой с образованием кольца, а сочетание -А1-А2– обозначает (низш.)алкилен или (низш.)алкенилен, необязательно замещенный группой R, где одна группа –СН2 – сочетания -А1-А2– может быть необязательно замененной атомом О, где R2 обозначает гидрокси или 2-гидроксиэтил.
20. Соединения по п.19, у которых А1 и А2 связаны между собой с образованием кольца, а сочетание -А1-А2– обозначает -(СН2)5-.
21. Соединения по любому из пп.1-20, у которых А3 обозначает водородный атом.
22. Соединения по любому из пп.1-21, у которых А4 обозначает водородный атом.
23. Соединения по любому из пп.1-19, у которых А3 и А4 соединены между собой с образованием циклопропильного кольца совместно с углеродным атомом, с которым они связаны, а сочетание –А3-А4– обозначает -(СН2)2-.
24. Соединения по любому из пп.1-23, у которых А5 обозначает Н, (низш.)алкил, (низш.)алкенил или бензил, необязательно замещенный атомом галогена.
25. Соединения по любому из пп.1-24, у которых А5 обозначает метил или этил.
26. Соединения по любому из пп.1-25, у которых А6 обозначает (низш.)алкил, циклоалкил, фенил, нафтил, фенил(низш.)алкил, пиридил, индолил, индолинил, тиенил, тиенилметилен, фурилметилен, бензодиоксил, хинолил, изоксазолил или имидазолил, необязательно замещенный одним или несколькими заместителями, выбранными из группы, включающей (низш.)алкил, (низш.)алкокси, (низш.)алкилкарбонил, (низш.)алкоксикарбонил, атомы фтора, хлора, брома, CN, СF3, NO2 и N(R6,R7), где каждый из R6 и R7 независимо друг от друга обозначают водородный атом или (низш.)алкил.
27. Соединения по любому из пп.1-26, у которых А6 обозначает фенил, необязательно замещенный одним или несколькими заместителями, выбранными из группы, включающей атомы фтора, хлора, брома и СF3.
28. Соединения по любому из пп.1-27, у которых А6 обозначает 4-хлорфенил, 4-бромфенил или 4-трифторметилфенил.
29. Соединение по любому из пп.1-28, выбранное из группы, включающей 4-хлорфениловый эфир транс-{4-[6-(аллилметиламино)-гексилокси]циклогексил}метилкарбаминовой кислоты,
4-трифторметилфениловый эфир транс-{4-[4-(аллилметиламино)бутокси]циклогексил}метилкарбаминовой кислоты,
транс-N-[4-(6-диэтиламингексилокси)циклогексил]-N-метил-4-трифторметилбензолсульфонамид,
4-хлорфениловый эфир транс-{4-[4-(аллилметиламино)бутокси]циклогексил}метилкарбаминовой кислоты,
4-хлорфениловый эфир транс-{4-[2-(аллилметиламино)этилсульфанилметил]циклогексил}метилкарбаминовой кислоты,
4-хлорфениловый эфир транс-{4-[5-(аллилметиламино)пентил]циклогексил}метилкарбаминовой кислоты,
4-трифторметилфениловый эфир транс-(4-{4-[этил(2-гидроксиэтил)амино]бутокси}циклогексил)метилкарбаминовой кислоты,
транс-N-[4-(3-аллиламинопропокси)циклогексил]-N-метил-4-трифторметилбензолсульфонамид,
4-трифторметилфениловый эфир транс-{4-[5-(аллилметиламино)пентил]циклогексил}метилкарбаминовой кислоты,
4-трифторметилфениловый эфир транс-(4-{5-[этил(2-гидроксиэтил)амино]пентил}циклогексил)метилкарбаминовой кислоты,
4-бромфениловый эфир транс-(4-{5-[этил(2-гидроксиэтил)амино]пентил} циклогексил)метилкарбаминовой кислоты,
транс-N-(4-{5-[этил(2-гидроксиэтил)амино]пентил}циклогексил)-N-метил-4-трифторметилбензолсульфонамид,
4-трифторметилфениловый эфир транс-N-[4-(4-диметиламинобутокси)циклогексил]метилкарбаминовой кислоты,
4-бромфениловый эфир транс-{4-[5-(аллилметиламино)пентил]циклогексил}метилкарбаминовой кислоты,
4-хлорфениловый эфир транс-{4-[3-(аллилметиламино)проп-1-инил]циклогексил}метилкарбаминовой кислоты,
транс-N-{4-[5-(аллилметиламино)пентил]циклогексил}-N-метил-4-трифторметилбензолсульфонамид,
4-хлорфениловый эфир транс-(4-{3-[этил(2-гидроксиэтил)амино]пропил}циклогексил)метилкарбаминовой кислоты,
4-хлорфениловый эфир транс-{4-[4-(аллилметиламино)бутил]циклогексил}метилкарбаминовой кислоты и их фармацевтически приемлемый соли.
30. Соединение по любому из пп.1-29, выбранное из группы, включающей
транс-N-[4-диметиламинобут-1-инил)циклогексил]-N-метил-4-трифторметилбензолсульфонамид,
4-хлорфениловый эфир транс-метил[4-(5-пиперидин-1-илпентил)циклогексил]карбаминовой кислоты,
4-трифторметилфениловый эфир транс-метил[4-(5-метиламинопентил)циклогексил]карбаминовой кислоты,
4-хлорфениловый эфир транс-(4-{5-[этил(2-гидроксиэтил)амино]пент-1-инил}циклогексил)метилкарбаминовой кислоты,
транс-N-этил-N-(4-{4-[(2-гидроксиэтил)метиламино]бутокси}циклогексил)-трифторметилбензолсульфонамид,
транс-(1Е)-N-(4-{3-[этил(2-гидроксиэтил)амино]пропенил}циклогексил)-N-метил-4-трифторметилбензолсульфонамид,
тpaнc-4-бpoм-N-[4-(2-диизoпpoпилaминoэтoкcи)циклoгeкcил]-N- метилбензолсульфонамид,
4-бромфениловый эфир транс-метил[4-(4-пиперидин-1-илбутил)циклогексил]карбаминовой кислоты,
транс-N-метил-N-[4-(4-пиперидин-1 -илбутил)циклогексил]-4-трифторметилбензолсульфонамид,
транс-N-(4-{4-[бис(2-гидроксиэтил)амино]бутокси}циклогексил)-N-этил-4-трифторметилбензолсульфонамид,
транс-4-бром-N-метил-N-[4-(2-пиперидин-1-илэтокси)циклогексил]бензолсульфонамид,
транс-N-[4-(4-диметиламинобутокси)циклогексил]-N-этил-4-трифторметилбензолсульфонамид,
4-хлорфениловый эфир транс-метил{4-[3-(метилпропиламино)проп-1-инил]циклогексил}карбаминовой кислоты,
транс-(1Е)-N-метил-N-{4-[3-(метилпропиламино)пропенил]циклогексил}-4-трифторметилбензолсульфонамид,
тpaнc-N-(4-{4-[этил(2-гидpoкcиэтил)aминo]бyт-l-инил}циклoгeкcил)-N-метил-4-трифторметилбензолсульфонамид,
транс-N-метил-N-{4-[4-(метилпропиламино)бут-1-инил]циклогексил}-4-трифторметилбензолсульфонамид,
тpaнс-N-(4-[2-(l-диметиламиноциклопропил)этокси]циклогексил}-N-метил-4-трифторметилбензолсульфонамид и их фармацевтически приемлемой соли.
31. Способ получения соединений по любому из пп.1-30, который включает взаимодействие соединения формулы (II)
в которой А5 имеет значения, указанные в п.1,
Z обозначает группу (А1,А2)N-C(А3,A4)-(СH2)m-V-(СН2)n или НО-(СН2)n, в которых А1, А2, А3, А4, V, m и n имеют значения, указанные в п.1, с C1SO2-A6, С1СОО-А6, C1CSO-A6, OCN-A6, SCN-A6, HOOC-A6 или C1SO2NR1-A6, где А6 имеет значения, указанные в п.1.
32. Соединения по любому из пп.1-30, полученные согласно способу по п.31.
33. Фармацевтическая композиция, обладающая свойством ингибировать 2,3-оксидосквален-ланостеролциклазу (ОСЦ), включающая соединение по любому из пп.1-30 и фармацевтически приемлемый носитель и/или адъювант.
34. Соединения по любому из пп.1-30 для применения в качестве терапевтически активных веществ.
35. Способ лечения и/или профилактики заболеваний, которые связаны с 2,3-оксидосквален-ланостеролциклазой (ОСЦ), таких как гиперхолестеринемия, гиперлипемия, артериосклероз, сосудистые заболевания, микозы и паразитарные инфекции, который включает введение человеку или животному соединения по любому из пп.1-30.
РИСУНКИ
MM4A – Досрочное прекращение действия патента СССР или патента Российской Федерации на изобретение из-за неуплаты в установленный срок пошлины за поддержание патента в силе
Дата прекращения действия патента: 09.08.2009
Извещение опубликовано: 20.07.2010 БИ: 20/2010
|
||||||||||||||||||||||||||

в которой U обозначает О или неподеленную пару электронов; V обозначает О, S, – CH2-, – СН=СН- или – С
C-; W обозначает СО, COO, CONR1, CSO, CSNR1, SO2 или SO2NR1; m и n независимо друг от друга каждый обозначает число от 0 до 7, а сумма m+n составляет от 0 до 7 при условии, что m не обозначает 0, если V обозначает О или S; А1 обозначает Н, низший алкил, гидрокси(низш.)алкил или (низш.)алкенил; А2 обозначает (низш.)алкил, циклоалкил, циклоалкил(низший)алкил или (низш.)алкенил, необязательно замещенный группой R2; А3 и А4 каждый обозначает водородный атом или (низш.)алкил; А5 обозначает Н, (низш.)алкил, (низш.)алкенил или арил(низш.)алкил; А6 обозначает (низш.)алкил, циклоалкил, арил, арил(низший)алкил, гетероарил, гетероарил(низш.)алкил, (низш.)алкоксикарбонил(низш.)алкил; R2 обозначает гидрокси, гидрокси(низш.)алкил, (низш.)алкокси, (низш.)алкоксикарбонил, N(R4,R5) или тио(низш.)алкокси; R1, R3, R4 и R5 каждый независимо друг от друга обозначает водородный атом или (низш.)алкил, и к их фармацевтически приемлемым солям и/или фармацевтически приемлемым сложным эфирам. Эти соединения могут быть использованы при лечении и/или профилактике заболеваний, которые связаны с 2,3-оксидосквален-ланостеролциклазой, таких как гиперхолестеринемия, гиперлипемия, артериосклероз, сосудистые заболевания, микозы и паразитарные инфекции. 4 с. и 31 з.п. ф-лы, 1 табл.
Текст описания в факсимильном виде (см. графическую часть)
в которой U обозначает О или неподеленную пару электронов;
V обозначает О, S, – CH2-, – СН=СН- или – С
в которой U, V, W, m, n, A1, А2, А3, А4, А5 и А6 имеют значения, указанные в любом из п.1 или 2.
4. Соединения по любому из пп.1-3, у которых U обозначает неподеленную пару электронов.
5. Соединения по любому из пп.1-4, у которых V обозначает О.
6. Соединения по любому из пп.1-4, у которых V обозначает –СН2-.
7. Соединения по любому из пп.1-4, у которых V обозначает -С=С-.
8. Соединения по любому из пп.1-4, у которых V обозначает -С=С.
9. Соединения по любому из пп.1-8, у которых W обозначает СО, COO, CONR1, CSNR1, SO2; или SO2NR1, a R обозначает водородный атом.
10. Соединения по любому из пп.1-9, у которых W обозначает СОО или SO2.
11. Соединения по любому из пп.1-10, у которых n обозначает 0.
12. Соединения по любому из пп.1-10, у которых n обозначает 1.
13. Соединения по любому из пп.1-12, у которых m обозначает число от 1 до 6.
14. Соединения по любому из пп.1-12, у которых m обозначает 0, а V обозначает -С=С-или -С=С.
15. Соединения по любому из пп.1-14, у которых А1 обозначает Н, метил, этил, изопропил, 2-гидроксиэтил или 2-пропенил.
16. Соединения по любому из пп.1-15, у которых А1 обозначает (низш.)алкил, циклоалкил(низш.)алкил или (низш.)алкенил, необязательно замещенный группой R2, где R2 обозначает гидрокси, метокси или этоксикарбонил.
17. Соединения по любому из пп.1-16, у которых А обозначает метил, этил, 2-гидроксиэтил, 2-пропенил, пропил или изопропил.
18. Соединения по любому из пп.1-14, у которых А1 и А2 связаны между собой с образованием кольца, а сочетание –А1-А2– обозначает (низш.)алкилен или (низш.)алкенилен, необязательно замещенный группой R2, где одна группа –СН2– сочетания –А1-А2– может быть необязательно замененной группой NR3, S или О, где R2 и R3 имеют значения, указанные в п.1.
19. Соединения по п.18, у которых А1 и А2 связаны между собой с образованием кольца, а сочетание -А1-А2– обозначает (низш.)алкилен или (низш.)алкенилен, необязательно замещенный группой R, где одна группа –СН2 – сочетания -А1-А2– может быть необязательно замененной атомом О, где R2 обозначает гидрокси или 2-гидроксиэтил.
20. Соединения по п.19, у которых А1 и А2 связаны между собой с образованием кольца, а сочетание -А1-А2– обозначает -(СН2)5-.
21. Соединения по любому из пп.1-20, у которых А3 обозначает водородный атом.
22. Соединения по любому из пп.1-21, у которых А4 обозначает водородный атом.
23. Соединения по любому из пп.1-19, у которых А3 и А4 соединены между собой с образованием циклопропильного кольца совместно с углеродным атомом, с которым они связаны, а сочетание –А3-А4– обозначает -(СН2)2-.
24. Соединения по любому из пп.1-23, у которых А5 обозначает Н, (низш.)алкил, (низш.)алкенил или бензил, необязательно замещенный атомом галогена.
25. Соединения по любому из пп.1-24, у которых А5 обозначает метил или этил.
26. Соединения по любому из пп.1-25, у которых А6 обозначает (низш.)алкил, циклоалкил, фенил, нафтил, фенил(низш.)алкил, пиридил, индолил, индолинил, тиенил, тиенилметилен, фурилметилен, бензодиоксил, хинолил, изоксазолил или имидазолил, необязательно замещенный одним или несколькими заместителями, выбранными из группы, включающей (низш.)алкил, (низш.)алкокси, (низш.)алкилкарбонил, (низш.)алкоксикарбонил, атомы фтора, хлора, брома, CN, СF3, NO2 и N(R6,R7), где каждый из R6 и R7 независимо друг от друга обозначают водородный атом или (низш.)алкил.
27. Соединения по любому из пп.1-26, у которых А6 обозначает фенил, необязательно замещенный одним или несколькими заместителями, выбранными из группы, включающей атомы фтора, хлора, брома и СF3.
28. Соединения по любому из пп.1-27, у которых А6 обозначает 4-хлорфенил, 4-бромфенил или 4-трифторметилфенил.
29. Соединение по любому из пп.1-28, выбранное из группы, включающей 4-хлорфениловый эфир транс-{4-[6-(аллилметиламино)-гексилокси]циклогексил}метилкарбаминовой кислоты,
4-трифторметилфениловый эфир транс-{4-[4-(аллилметиламино)бутокси]циклогексил}метилкарбаминовой кислоты,
транс-N-[4-(6-диэтиламингексилокси)циклогексил]-N-метил-4-трифторметилбензолсульфонамид,
4-хлорфениловый эфир транс-{4-[4-(аллилметиламино)бутокси]циклогексил}метилкарбаминовой кислоты,
4-хлорфениловый эфир транс-{4-[2-(аллилметиламино)этилсульфанилметил]циклогексил}метилкарбаминовой кислоты,
4-хлорфениловый эфир транс-{4-[5-(аллилметиламино)пентил]циклогексил}метилкарбаминовой кислоты,
4-трифторметилфениловый эфир транс-(4-{4-[этил(2-гидроксиэтил)амино]бутокси}циклогексил)метилкарбаминовой кислоты,
транс-N-[4-(3-аллиламинопропокси)циклогексил]-N-метил-4-трифторметилбензолсульфонамид,
4-трифторметилфениловый эфир транс-{4-[5-(аллилметиламино)пентил]циклогексил}метилкарбаминовой кислоты,
4-трифторметилфениловый эфир транс-(4-{5-[этил(2-гидроксиэтил)амино]пентил}циклогексил)метилкарбаминовой кислоты,
4-бромфениловый эфир транс-(4-{5-[этил(2-гидроксиэтил)амино]пентил} циклогексил)метилкарбаминовой кислоты,
транс-N-(4-{5-[этил(2-гидроксиэтил)амино]пентил}циклогексил)-N-метил-4-трифторметилбензолсульфонамид,
4-трифторметилфениловый эфир транс-N-[4-(4-диметиламинобутокси)циклогексил]метилкарбаминовой кислоты,
4-бромфениловый эфир транс-{4-[5-(аллилметиламино)пентил]циклогексил}метилкарбаминовой кислоты,
4-хлорфениловый эфир транс-{4-[3-(аллилметиламино)проп-1-инил]циклогексил}метилкарбаминовой кислоты,
транс-N-{4-[5-(аллилметиламино)пентил]циклогексил}-N-метил-4-трифторметилбензолсульфонамид,
4-хлорфениловый эфир транс-(4-{3-[этил(2-гидроксиэтил)амино]пропил}циклогексил)метилкарбаминовой кислоты,
4-хлорфениловый эфир транс-{4-[4-(аллилметиламино)бутил]циклогексил}метилкарбаминовой кислоты и их фармацевтически приемлемый соли.
30. Соединение по любому из пп.1-29, выбранное из группы, включающей
транс-N-[4-диметиламинобут-1-инил)циклогексил]-N-метил-4-трифторметилбензолсульфонамид,
4-хлорфениловый эфир транс-метил[4-(5-пиперидин-1-илпентил)циклогексил]карбаминовой кислоты,
4-трифторметилфениловый эфир транс-метил[4-(5-метиламинопентил)циклогексил]карбаминовой кислоты,
4-хлорфениловый эфир транс-(4-{5-[этил(2-гидроксиэтил)амино]пент-1-инил}циклогексил)метилкарбаминовой кислоты,
транс-N-этил-N-(4-{4-[(2-гидроксиэтил)метиламино]бутокси}циклогексил)-трифторметилбензолсульфонамид,
транс-(1Е)-N-(4-{3-[этил(2-гидроксиэтил)амино]пропенил}циклогексил)-N-метил-4-трифторметилбензолсульфонамид,
тpaнc-4-бpoм-N-[4-(2-диизoпpoпилaминoэтoкcи)циклoгeкcил]-N- метилбензолсульфонамид,
4-бромфениловый эфир транс-метил[4-(4-пиперидин-1-илбутил)циклогексил]карбаминовой кислоты,
транс-N-метил-N-[4-(4-пиперидин-1 -илбутил)циклогексил]-4-трифторметилбензолсульфонамид,
транс-N-(4-{4-[бис(2-гидроксиэтил)амино]бутокси}циклогексил)-N-этил-4-трифторметилбензолсульфонамид,
транс-4-бром-N-метил-N-[4-(2-пиперидин-1-илэтокси)циклогексил]бензолсульфонамид,
транс-N-[4-(4-диметиламинобутокси)циклогексил]-N-этил-4-трифторметилбензолсульфонамид,
4-хлорфениловый эфир транс-метил{4-[3-(метилпропиламино)проп-1-инил]циклогексил}карбаминовой кислоты,
транс-(1Е)-N-метил-N-{4-[3-(метилпропиламино)пропенил]циклогексил}-4-трифторметилбензолсульфонамид,
тpaнc-N-(4-{4-[этил(2-гидpoкcиэтил)aминo]бyт-l-инил}циклoгeкcил)-N-метил-4-трифторметилбензолсульфонамид,
транс-N-метил-N-{4-[4-(метилпропиламино)бут-1-инил]циклогексил}-4-трифторметилбензолсульфонамид,
тpaнс-N-(4-[2-(l-диметиламиноциклопропил)этокси]циклогексил}-N-метил-4-трифторметилбензолсульфонамид и их фармацевтически приемлемой соли.
31. Способ получения соединений по любому из пп.1-30, который включает взаимодействие соединения формулы (II)
в которой А5 имеет значения, указанные в п.1,
Z обозначает группу (А1,А2)N-C(А3,A4)-(СH2)m-V-(СН2)n или НО-(СН2)n, в которых А1, А2, А3, А4, V, m и n имеют значения, указанные в п.1, с C1SO2-A6, С1СОО-А6, C1CSO-A6, OCN-A6, SCN-A6, HOOC-A6 или C1SO2NR1-A6, где А6 имеет значения, указанные в п.1.
32. Соединения по любому из пп.1-30, полученные согласно способу по п.31.
33. Фармацевтическая композиция, обладающая свойством ингибировать 2,3-оксидосквален-ланостеролциклазу (ОСЦ), включающая соединение по любому из пп.1-30 и фармацевтически приемлемый носитель и/или адъювант.
34. Соединения по любому из пп.1-30 для применения в качестве терапевтически активных веществ.
35. Способ лечения и/или профилактики заболеваний, которые связаны с 2,3-оксидосквален-ланостеролциклазой (ОСЦ), таких как гиперхолестеринемия, гиперлипемия, артериосклероз, сосудистые заболевания, микозы и паразитарные инфекции, который включает введение человеку или животному соединения по любому из пп.1-30.