Патент на изобретение №2150709
|
||||||||||||||||||||||||||
(54) ЧАСТОТНО-НЕЗАВИСИМЫЙ МНОГОПЛЕЧИЙ ТРАНСФОРМАТОРНЫЙ МОСТ ПЕРЕМЕННОГО ТОКА ДЛЯ ИЗМЕРЕНИЯ ПАРАМЕТРОВ ТРЕХЭЛЕМЕНТНЫХ ДВУХПОЛЮСНИКОВ ПО ПОСЛЕДОВАТЕЛЬНОЙ RLC-СХЕМЕ И СПОСОБ ЕГО УРАВНОВЕШИВАНИЯ
(57) Реферат: Изобретение относится к электроизмерительной технике, а конкретно к мостовым методам измерения на переменном токе параметров трехэлементных двухполюсников. Единая сущность заявленной группы изобретений заключается в обеспечении высокой точности и малой продолжительности измерения параметров трехэлементных двухполюсников по последовательной RLC-схеме. Этот единый технический результат достигается посредством раздельного отсчета измеряемых параметров по числам коммутируемых витков заземленных обмоток трансформаторов напряжения с тесной индуктивной связью при применении постоянной меры сопротивления в плече сравнения и амплитудного нуль-индикатора в измерительной диагонали многоплечего трансформаторного моста переменного тока, а также достигается в способе уравновешивания этого моста, по которому сначала на частоте, большей заданной частоты отсчета измеряемых параметров, проводят операцию уравновешивания по двум разнородным параметрам, а затем на частотах, меньших и больших заданной частоты, поочередно проводят операции уравновешивания по параметру для отсчета измеряемой емкости и по параметру для отсчета измеряемой индуктивности. 2 c.п. ф-лы, 1 ил. Изобретение относится к области электроизмерительной техники, а конкретно к мостовым методам измерения на переменном токе параметров трехэлементных двухполюсников по последовательной RLC-схеме, не зависящих от частоты. Известен наиболее близкий к заявленному устройству в группе изобретений по совокупности признаков того же назначения и потому выбранный за прототип частотно-независимый четырехплечий мост переменного тока для измерения параметров последовательного колебательного контура (а.с. 413430 (СССР), МКИ2 G 01 R 17/10. Б.И., 1974, N 4, см. также книгу Кнеллера В.Ю., Боровских Л.П. “Определение параметров многоэлементных двухполюсников”.- Москва: Энергоатомиздат, 1986, стр. 104, рис. 2.54), снабженный амплитудным нуль-индикатором. Недостатком, препятствующим достижению указанного ниже технического результата, прототипа к заявленному устройству в группе изобретений является использование в плече сравнения регулируемых двух элементов R, C и последовательно включенной с ними образцовой катушки индуктивности L, а в одном из плеч отношения также регулируемого элемента R, вследствие чего возникает существенная погрешность измерения из-за наличия шунтирующих емкостей элементов коммутации, с помощью которых изменяются параметры упомянутых регулируемых элементов, из-за емкостей утечки и из-за остаточных параметров катушки индуктивности L, являющихся значительными и к тому же частотно- зависимыми. Кроме того, у прототипа к заявленному устройству отсутствует раздельный отсчет измеряемых параметров, а регулировки двух разнородных параметров трехэлементного его плеча сравнения для достижения частотно-независимого равновесия моста по фазе являются сильно зависящими друг от друга, что обуславливает в целом чрезвычайно плохую сходимость процесса уравновешивания по трем параметрам первого прототипа, то есть указанного прототипа к заявленному устройству в группе изобретений. От указанного второго недостатка отмеченного первого прототипа свободен способ уравновешивания по трем параметрам, выбранный за прототип способа в заявленной группе изобретений, по а.с. N 849100 (СССР), G 01 R 27/02, Б.И., 1981, N 27, с. 168 (см. также книгу Тюкавина А.А. “Измерение параметров трех- и четырехэлементных двухполюсников мостами переменного тока”, изд-во Сарат. ун-та, 1988, с. 55-58), обеспечивающий удовлетворительную сходимость по трем параметрам процесса уравновешивания частотно-независимых мостов переменного тока и в случае измерения параметров трехэлементных двухполюсников по последовательной RCL-схеме. Этот способ состоит из N операций уравновешивания моста по двум параметрам на первой частоте при задаваемых значениях третьего параметра плеча сравнения по знаку фазы сигнала разбаланса, появляющегося после перевода уравновешенного моста на вторую частоту измерения. Недостаток второго прототипа, то есть прототипа способа в заявленной группе изобретений, также препятствующий достижению указанного ниже технического результата, заключается в использовании на второй частоте фазочувствительного нуль-индикатора, значительно уступающего по чувствительности амплитудному нуль-индикатору, вследствие чего не достигается наивысшая по мостовому методу точность измерения параметров последовательных RLC-двухполюсников. Кроме того, необходимость в проведении N операций уравновешивания по двум параметрам (N равно числу двоичных разрядов третьего параметра плеча сравнения) хотя и при направленно задаваемых значениях третьего параметра цепи сравнения затягивает процесс уравновешивания по трем параметрам, что является вторым недостатком второго прототипа. Единая сущность заявленной группы изобретений заключается в обеспечении высокой точности и малой продолжительности измерения параметров трехэлементных двухполюсников по последовательной RLC-схеме. Этот единый технический результат при осуществлении группы изобретений достигается в частотно-независимом многоплечем трансформаторном мосте переменного тока для измерения параметров трехэлементных двухполюсников по последовательной RLC-схеме, состоящем из основного трансформатора напряжения, подключенного первичной обмоткой к генератору перестраиваемой частоты, первая из четырех заземленных вторичных обмоток которого через постоянную меру сопротивления подсоединена к незаземленной вершине измерительной диагонали моста, в которую включен избирательный амплитудный нуль-индикатор, а также состоящем из прецизионных сумматора напряжений, дифференциатора и интегратора, операционные усилители которых имеют заземленные источники питания, вспомогательного трансформатора напряжения с заземленными двумя обмотками, к выходной обмотке которого своим входом подключен отмеченный интегратор. Особенность заявленного устройства заключается в том, что вторая вторичная обмотка основного трансформатора напряжения подсоединена к первичной обмотке вспомогательного трансформатора напряжения, третья вторичная обмотка подсоединена к входу дифференциатора, четвертая же его вторичная обмотка подсоединена к одному из входов сумматора напряжений, к остальным двум входам которого подключены порознь своими выходными зажимами упомянутые дифференциатор и интегратор, а между незаземленной вершиной измерительной диагонали и выходным зажимом сумматора напряжений включен измеряемый двухполюсник, причем третья и четвертая вторичные обмотки основного трансформатора напряжения и первичная обмотка вспомогательного трансформатора напряжения выполнены регулируемыми. Указанный единый технический результат при осуществлении группы изобретений по объекту-способу достигается в способе уравновешивания по трем параметрам, содержащем операции уравновешивания на частотах измерения путем регулировки двух параметров и путем регулировки одного параметра. Особенностью заявленного способа в этой группе, в соответствии с которой сначала на частоте, большей заданной частоты отсчета измеряемых параметров, проводят операции уравновешивания моста по двум параметрам при угле сходимости по ним, равном 90o, а затем на частотах, меньших и больших указанной частоты отсчета, поочередно проводят операции уравновешивания моста соответственно по параметру для отсчета измеряемой емкости и по параметру для отсчета измеряемой индуктивности. Заявленная группа изобретений соответствует требованию единства изобретения, поскольку группа разнообъектных изобретений образует единый изобретательский замысел, причем один из заявленных объектов группы – способ предназначен для осуществления другого объекта группы – устройства. При этом оба объекта группы изобретений направлены на решение одной и той же задачи с получением единого технического результата. Проведенный заявителем анализ уровня техники, включающий поиск по патентным и научно-техническим источникам информации, содержащих сведения об аналогах заявленной группы изобретений как для объекта-устройства, так и для объекта-способа, позволил установить, что заявитель не обнаружил аналоги как для способа, так и для устройства заявленной группы, характеризующиеся признаками, тождественными всем существенным признакам так устройства, так и способа заявленной группы изобретений. Определение из перечня выявленных аналогов-прототипов как для устройства, так и для способа заявленной группы изобретений, как наиболее близких по совокупности признаков аналогов, позволил выявить совокупность существенных по отношению к усматриваемому заявителем техническому результату отличительных признаков для каждого из заявленных объектов группы, изложенных в формуле изобретения. Следовательно, каждый из объектов группы изобретений соответствует условию “новизна”. Для проверки соответствия каждого объекта заявленной группы изобретений условию “изобретательский уровень” заявитель провел дополнительный поиск известных решений с целью выявления признаков, совпадающих с отличительными от выбранных прототипов признаками для каждого объекта заявленной группы изобретений. Результаты поиска показали, что каждый объект заявленной группы изобретений не вытекает для специалиста явным образом из известного уровня техники, поскольку из уровня техники, определенного заявителем, не выявлено влияние предусматриваемых существенными признаками каждого из объектов заявленной группы изобретений преобразований на достижение технического результата, в частности, в каждом из объектов заявленной группы изобретений не предусматриваются следующие преобразования: дополнение известного средства какой-либо известной частью, присоединяемой к нему по известным правилам, для достижения технического результата, в отношении которого установлено влияние именно такого дополнения; создание средства, состоящего из известных частей, выбор которых и связь между которыми осуществляется на основе известных правил, рекомендаций и достигаемый при этом технический результат обусловлен только известными свойствами частей этого средства и связей между ними. Описываемая группа изобретений не основана на изменении количественного признака (признаков), представлении таких признаков во взаимосвязи либо изменении ее вида, имеется в виду случай, когда известен факт влияния каждого из указанных признаков на технический результат, и новые значения этих признаков или их взаимосвязь могли быть получены исходя из известных зависимостей, закономерностей. Следовательно, каждый из объектов заявленной группы изобретений соответствует условию “изобретательский уровень”. На чертеже показана схема устройства в заявленной группе изобретений. Устройство представляет собой частотно-независимый многоплечий трансформаторный мост переменного тока, содержащий: основной трансформатор напряжения 1 с тесной индуктивной связью с четырьмя заземленными вторичными обмотками w1 – w4, подсоединенный зажимами 2, 3 своей первичной обмотки W0 к генератору 4 синусоидального напряжения перестраиваемой частоты; подключенный к вторичной обмотке w3 основного трансформатора 1 прецизионный дифференциатор 5 на операционном усилителе ОУЗ и образцовых элементах C3, R3; 6, 7, 8 – входные зажимы прецизионного сумматора напряжений 9, выполненного на операционном усилителе ОУ1 и четырех образцовых резисторах r; измеряемый двухполюсник 10, подключенный к выходному зажиму 11 сумматора напряжений 9 и к незаземленной вершине 12 измерительной диагонали 12-13 моста, в которую включен избирательный амплитудный нуль-индикатор 14; прецизионный интегратор 15 на операционном усилителе ОУ2 и образцовых элементах R2, C2; вспомогательный трансформатор напряжения 16 с тесной индуктивной связью, первичная заземленная обмотка m1 которого подсоединена накоротко к вторичной обмотке w2 основного трансформатора 1, а вторичная заземленная обмотка m2 которого подсоединена к входу интегратора 15; выходной зажим 17 вторичной обмотки w1 основного трансформатора 1, между которым и вершиной 12 измерительной диагонали находится плечо сравнения с включенной в него постоянной мерой сопротивления R1; 18 – ключ. Входные зажимы 6, 7, 8 сумматора 9 подсоединены соответственно к выходам интегратора 15, дифференциатора 5, к вторичной обмотке w4 основного трансформатора 1.
Обмотки трансформаторов напряжения 1, 16 имеют пренебрежимо малые комплексные сопротивления, обусловленные их индуктивностями рассеяния и активными сопротивлениями. (Для выполнения этого условия напряжения с обмоток w1, m2, w3, w4 могут сниматься через точные повторители напряжения с достаточно малым выходным сопротивлением).
Генератор синусоидального напряжения 4 имеет пренебрежимо малое выходное сопротивление.
Постоянная мера сопротивления R1 в плече сопротивления 12-17 рассматривается как идеальная, то есть “чистая”, так как ее остаточные реактивные параметры в многоплечем трансформаторном мосте легко компенсируются.
Входное сопротивление амплитудного нуль-индикатора 14 достаточно велико, благодаря чему и в режиме неравновесия моста выполняется равенство между током , проходящим через измеряемый двухполюсник 10, и током , протекающим по ветви с мерой сопротивления R1, являющейся плечом сравнения.
Дифференциатор 5, сумматор 9, интегратор 15 рассматриваются как идеальные (этому способствует применение избирательного нуль-индикатора 14), то есть имеющие идеальную передаточную функцию и нулевые выходные сопротивления. Операционные усилители ОУ1, ОУ2, ОУЗ имеют заземленные источники питания.
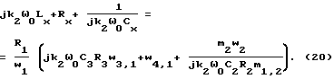
В состоянии равновесия моста потенциалы вершин 12, 13 измерительной диагонали равны друг другу и поэтому выполняется строгое равенство:![]() где ![]() ![]() а в свою очередь, напряжение , снимаемое с обмотки w1, напряжение на выходе сумматора 9 (при замкнутом ключе 18) выражаются как:![]() ![]() Подставляя выражения (2) – (5) в равенство (1), имеем следующее уравнение равновесия моста (при замкнутом ключе 18): ![]() Если уравнение равновесия (6) выполняется при любом значении частоты, мост находится в измерительном состоянии и производится отсчет измеряемых параметров по формулам: Rx=(R1/w1)w4,0, (7) Lx(R1C3R3/w1)w3,0, (8) Cx=(w1C2R2/m2w2R1)m1,0, (9) где w4,0, w3,0, m1,0 – отсчеты чисел витков регулируемых обмоток w4, w3, m1. Как следует из выражений (7) – (9) и схемы на чертеже, заявленный мост характеризуется раздельным отсчетом измеряемых параметров Rx, Lx, Cx по числам витков регулируемых заземленных обмоток w4, w3, m1 при использовании в плече сравнения постоянной меры сопротивления R1, которая является “чистой”. Поэтому заявленный мост в отличие от первого прототипа свободен от шунтирующего влияния емкостей элементов коммутации, емкостей утечки, а также от влияния паразитных параметров образцовой меры сопротивления в плече сравнения и в нем по сравнению с первым прототипом обеспечивается существенное повышение точности измерения параметров трехэлементных двухполюсников по последовательной RLC-схеме. В неравновесном состоянии моста напряжение разбаланса в режиме холостого хода в измерительной диагонали 12-13 представляется в виде (при замкнутом ключе 18): ![]() где Zx = Rx+j Lx+1/j Cx.Относительные чувствительности моста по регулируемым параметрам w3, m1 на основе (10) выражаются как: ![]() ![]() Поэтому их отношение равно: ![]() Согласно соотношению (13) относительная чувствительность моста по параметру w3 по сравнению с относительной чувствительностью по параметру m1 растет в функции квадрата частоты при изменении последней. Заявленный способ уравновешивания моста осуществляется по параметрам w3, m1 для отсчета реактивных параметров Lx, Cx (см. формулы (8), (9)) и состоит из следующих операций, проводимых в полосе частот относительно заданной частоты 0 отсчета измеряемых параметров.
Первую операцию заявленного способа, то есть первое уравновешивание моста, проводят на частоте , где k1 > 1, регулировками двух параметров w3, w4. Угол сходимости по ним равен 90o при прямых линиях уравновешивания, как это следует из выражения (10). Ключ 18 при первой операции разомкнут. По окончании уравновешивания моста уравнение (6) записывается в виде:![]() В соответствии с (14) в конце первого уравновешивания значения параметров w3, w4 получают равными: w4,1=(w1/R1)Rx, (15) w3,1 = Lx (1-1/ k21), (16)где = w1/R1C3R3, (17) = 20CxLx. (18)Из формул (15), (7) следует, что в конце первого уравновешивания получают равенство: w4,1 = w4,0. (19) то есть в конце первой операции получают значение параметра w4, по которому производят отсчет измеряемого активного сопротивления Rx по формуле (7). Вторую операцию заявленного способа (то есть второе уравновешивание моста) проводят на частоте 2 = k2 0 , где k2 < 1, регулировкой параметра m1 при найденных в конце первой операции значениях параметра w4 = w4,1 и параметра w3 = w3,1 (ключ 18 при второй и следующих операциях замкнут). В конце второй операции уравнение равновесия (6) записывается как:![]() При учете (15) – (18) на основе уравнения равновесия (20) значение регулируемого параметра m1 в конце второй операции получают равным: m1,2 = Cx/(1-k22/k21), (21)где = m2w2R1/w1R2C2. (22)Третью операцию (то есть третье уравновешивание моста) проводят на частоте 3 = k3 0 , где k3 > 1, регулировкой параметра w3 при w4 = w4,1 и при m1 = m1,2, определяемом по (21), (22). По достижении нулевого показания нуль-индикатора 14 в конце третьей операции на основе (6) значение параметра w3 получают равным:w3,3 = Lx(1-k22/ k21k23), (23)Четвертую операцию (то есть четвертое уравновешивание моста) проводят на частоте 4 = k4 0, где k4 < 1, регулировкой параметра m1 при w4 = w4,1 и при w3 = w3,3 определяемом по (23), (17). В конце четвертой операции получают значение:m1,4 = Cx/(1-k22k24/k21k23). (24)Аналогично проводят пятое и следующие уравновешивания моста. По проведении l уравновешиваний (l нечетное) получают значение параметра w3, равное: ![]() а при четном l получают значение параметра m1, равное: ![]() В формулах (25), (26) все kj < 1 (что соответствует частотам измерения j < 0) и все ki > 1 (что соответствует частотам измерения i > 0). Значения kj и ki при первых 2 – 4 операциях заявленного способа берут существенно отличающимися от 1, а затем берут в соответствии с границами полосы частот, в которой определяются параметры Rx, Lx, Cx (эта полоса содержит частоту 0).
Выражение в квадратных скобках в формулах (25), (26) с ростом l стремится к 1. Поэтому по проведении l уравновешиваний моста (или операций способа) на основе формул (25), (26) и (8), (9) с учетом выражений (17), (22) получают равенства:w3,l = w3,0 (27) m1,l = m1,0, (28) то есть получают отсчитываемые значения параметров w3, m1 в частотно-независимом состоянии равновесия моста. Итак, по проведении l уравновешиваний по заявленному способу на частотах j < 0 и i > 0 мост находится в частотно-независимом состоянии равновесия, являющемся измерительным, и производят отсчет измеряемых параметров по формулам (7), (8), (9).
Необходимое число l уравновешиваний по заявленному способу находится из выражения:![]() где – допустимая относительная погрешность отсчета параметра w3, или находится из выражения:![]() где – допустимая относительная погрешность отсчета параметра m1.
Если, например, все ki = 2, а все kj =0,5, то при = 1 и при допустимой погрешности имеем необходимое число операций l=5.
Как следует из описания l операций заявленного способа, каждая из них заканчивается установкой равновесия моста по амплитуде. Благодаря этому по заявленному способу достаточно использовать в процессе уравновешивания по трем параметрам информацию только о модуле сигнала разбаланса, то есть достаточно применять в отличие от второго прототипа для установки частотно-независимого состояния равновесия моста только избирательный амплитудный нуль-индикатор, что обеспечивает достижение максимальной точности измерения параметров последовательных RLC-двухполюсников с помощью заявленного моста.
Из описания l операций заявленного способа следует, что по нему только одно (первое) уравновешивание моста проводится по двум параметрам по w3 и w4, причем при оптимальной сходимости по ним. Остальные (l-1) уравновешиваний моста на частотах измерения j, i проводятся по одному параметру (либо m1, либо w3).
Поскольку число l уравновешиваний моста в соответствии с формулами (29), (30) легко сделать меньшим, чем число N двоичных разрядов регулируемых параметров, необходимое для получения заданной точности отсчета измеряемых параметров, а (l-1) уравновешиваний проводятся по одному параметру, то есть существенно быстрее, чем по двум параметрам, то заявленный способ уравновешивания характеризуется при использовании информации только о модуле сигнала разбаланса лучшей сходимостью процесса уравновешивания по трем параметрам, чем второй прототип, по которому процесс уравновешивания по трем параметрам состоит из N операций уравновешивания моста по двум параметрам.
Отметим, что в конце первой операции заявленного способа состояние равновесия моста далеко от частотно-независимого и на показания даже избирательного амплитудного нуль-индикатора 14 могут оказать заметное влияние высшие гармоники напряжения питания моста, по которым мост неуравновешен. Поэтому первая операция, проводимая по двум параметрам (w3 и w4), может закончиться не при максимальной чувствительности амплитудного нуль-индикатора 14 и найденное в конце первой операции значение параметра w4,1 может несколько отличаться от истинного отсчитываемого значения параметра w4 = w4,0. В этом случае возникает необходимость в коррекции значения w4,1. Поскольку вторая и последующие операции заканчиваются как и первая операция получением равновесия моста по амплитуде, то заявленный способ допускает доуравновешивание моста по параметру w4 (см. уравнение равновесия (20) с целью получения нулевого показания нуль-индикатора 14 на частотах i и j при его максимальной чувствительности, то есть допускает проведение коррекции значения параметра w4, полученного при проведении предыдущей операции способа. Угол сходимости моста по параметрам m1, w4 и параметрам w3, w4 на частотах соответственно j и i при проведении коррекций равен 90o при прямых линиях уравновешивания, как это следует из выражения (10) для напряжения разбаланса . Кроме того, за счет использования избирательного амплитудного нуль-индикатора 14 уже в конце первой операции способа значение w4,1 мало отличается от истинного значения w4,0 и коррекция при второй операции (и тем более следующих операциях) способа проводится в младших разрядах параметра w4. Размер коррекции с ростом номера операции l уменьшается. Поэтому указанные коррекции мало влияют на длительность каждой из (l-1) операций предложенного способа, проводимых, как это описывалось, по одному параметру. По мере приближения к частотно-независимому состоянию равновесия моста благодаря применению избирательного амплитудного нуль-индикатора необходимость в коррекции w4 = var отпадает и операции заявленного способа проводятся по одному параметру (либо m1, либо w3), как они выше и описывались. Необходимое число l операций заявленного способа остается таким же и в случае проведения коррекций параметра w4, то есть определяется по формулам (29), (30).
Заметим также, что первая операция заявленного способа может проводиться при замкнутом ключе 18 и произвольном значении параметра m1 (а не при бесконечно большом, как было допущено при описании первой операции способа), поскольку параметр w4 определяет только вещественную часть выражений в фигурных скобках в уравнениях (6), (10). Число операций l при этом тоже определяется по формулам (29), (30).
Таким образом, в заявленном мосте и заявленном способе обеспечена по сравнению с первым и вторым прототипом существенно более высокая точность и меньшая продолжительность измерения параметров трехэлементных двухполюсников по последовательной RLC-схеме, то есть достигнута единая сущность заявленной группы изобретений.
Реализация заявленной группы изобретений не вызывает принципиальных затруднений, так как в мосте используются высококачественные трансформаторные узлы с тесной индуктивной связью, прецизионные интегратор, сумматор напряжений, мера сопротивления, избирательный амплитудный (экстремальный) нуль-индикатор, являющиеся типовыми узлами известных многоплечих трансформаторных экстремальных мостов переменного тока для измерения параметров по двухэлементной схеме (например, цифровых мостов Р5016, Р5083). Реализация прецизионного дифференциатора на операционном усилителе также не вызывает затруднений в силу использования в заявленном мосте избирательного амплитудного нуль-индикатора, настраиваемого на каждую частоту измерения.
Реализация заявленного способа уравновешивания по трем параметрам заявленного моста также не вызывает затруднений, так как этот способ содержит одну легко автоматизируемую операцию уравновешивания по двум параметрам с углом сходимости по ним, равным 90o, и (l-1) операций уравновешивания по одному параметру, причем число (l-1) всегда невелико. Указанная же коррекция параметра w4 при проведении второй и следующих операций заявленного способа легко осуществима и мало влияет на продолжительность измерения.
Формула изобретения
РИСУНКИ
MM4A Досрочное прекращение действия патента Российской Федерации на изобретение из-за неуплаты в установленный срок пошлины за поддержание патента в силе
Дата прекращения действия патента: 17.03.2001
Номер и год публикации бюллетеня: 28-2002
Извещение опубликовано: 10.10.2002
|
||||||||||||||||||||||||||

перестраиваемой частоты; подключенный к вторичной обмотке w3 основного трансформатора 1 прецизионный дифференциатор 5 на операционном усилителе ОУЗ и образцовых элементах C3, R3; 6, 7, 8 – входные зажимы прецизионного сумматора напряжений 9, выполненного на операционном усилителе ОУ1 и четырех образцовых резисторах r; измеряемый двухполюсник 10, подключенный к выходному зажиму 11 сумматора напряжений 9 и к незаземленной вершине 12 измерительной диагонали 12-13 моста, в которую включен избирательный амплитудный нуль-индикатор 14; прецизионный интегратор 15 на операционном усилителе ОУ2 и образцовых элементах R2, C2; вспомогательный трансформатор напряжения 16 с тесной индуктивной связью, первичная заземленная обмотка m1 которого подсоединена накоротко к вторичной обмотке w2 основного трансформатора 1, а вторичная заземленная обмотка m2 которого подсоединена к входу интегратора 15; выходной зажим 17 вторичной обмотки w1 основного трансформатора 1, между которым и вершиной 12 измерительной диагонали находится плечо сравнения с включенной в него постоянной мерой сопротивления R1; 18 – ключ. Входные зажимы 6, 7, 8 сумматора 9 подсоединены соответственно к выходам интегратора 15, дифференциатора 5, к вторичной обмотке w4 основного трансформатора 1.
Обмотки трансформаторов напряжения 1, 16 имеют пренебрежимо малые комплексные сопротивления, обусловленные их индуктивностями рассеяния и активными сопротивлениями. (Для выполнения этого условия напряжения
с обмоток w1, m2, w3, w4 могут сниматься через точные повторители напряжения с достаточно малым выходным сопротивлением).
Генератор синусоидального напряжения 4 имеет пренебрежимо малое выходное сопротивление.
Постоянная мера сопротивления R1 в плече сопротивления 12-17 рассматривается как идеальная, то есть “чистая”, так как ее остаточные реактивные параметры в многоплечем трансформаторном мосте легко компенсируются.
Входное сопротивление амплитудного нуль-индикатора 14 достаточно велико, благодаря чему и в режиме неравновесия моста выполняется равенство между током
, проходящим через измеряемый двухполюсник 10, и током
, протекающим по ветви с мерой сопротивления R1, являющейся плечом сравнения.
Дифференциатор 5, сумматор 9, интегратор 15 рассматриваются как идеальные (этому способствует применение избирательного нуль-индикатора 14), то есть имеющие идеальную передаточную функцию и нулевые выходные сопротивления. Операционные усилители ОУ1, ОУ2, ОУЗ имеют заземленные источники питания.
В состоянии равновесия моста потенциалы вершин 12, 13 измерительной диагонали равны друг другу и поэтому выполняется строгое равенство:


, снимаемое с обмотки w1, напряжение
на выходе сумматора 9 (при замкнутом ключе 18) выражаются как:



Lx+1/j


, где k1 > 1, регулировками двух параметров w3, w4. Угол сходимости по ним равен 90o при прямых линиях уравновешивания, как это следует из выражения (10). Ключ 18 при первой операции разомкнут. По окончании уравновешивания моста уравнение (6) записывается в виде:
(1-1/
k21), (16)
Cx/(1-k22/k21), (21)


– допустимая относительная погрешность отсчета параметра w3, или находится из выражения:
– допустимая относительная погрешность отсчета параметра m1.
Если, например, все ki = 2, а все kj =0,5, то при
имеем необходимое число операций l=5.
Как следует из описания l операций заявленного способа, каждая из них заканчивается установкой равновесия моста по амплитуде. Благодаря этому по заявленному способу достаточно использовать в процессе уравновешивания по трем параметрам информацию только о модуле сигнала разбаланса, то есть достаточно применять в отличие от второго прототипа для установки частотно-независимого состояния равновесия моста только избирательный амплитудный нуль-индикатор, что обеспечивает достижение максимальной точности измерения параметров последовательных RLC-двухполюсников с помощью заявленного моста.
Из описания l операций заявленного способа следует, что по нему только одно (первое) уравновешивание моста проводится по двум параметрам по w3 и w4, причем при оптимальной сходимости по ним. Остальные (l-1) уравновешиваний моста на частотах измерения
. Кроме того, за счет использования избирательного амплитудного нуль-индикатора 14 уже в конце первой операции способа значение w4,1 мало отличается от истинного значения w4,0 и коррекция при второй операции (и тем более следующих операциях) способа проводится в младших разрядах параметра w4. Размер коррекции с ростом номера операции l уменьшается. Поэтому указанные коррекции мало влияют на длительность каждой из (l-1) операций предложенного способа, проводимых, как это описывалось, по одному параметру. По мере приближения к частотно-независимому состоянию равновесия моста благодаря применению избирательного амплитудного нуль-индикатора необходимость в коррекции w4 = var отпадает и операции заявленного способа проводятся по одному параметру (либо m1, либо w3), как они выше и описывались. Необходимое число l операций заявленного способа остается таким же и в случае проведения коррекций параметра w4, то есть определяется по формулам (29), (30).
Заметим также, что первая операция заявленного способа может проводиться при замкнутом ключе 18 и произвольном значении параметра m1 (а не при бесконечно большом, как было допущено при описании первой операции способа), поскольку параметр w4 определяет только вещественную часть выражений в фигурных скобках в уравнениях (6), (10). Число операций l при этом тоже определяется по формулам (29), (30).
Таким образом, в заявленном мосте и заявленном способе обеспечена по сравнению с первым и вторым прототипом существенно более высокая точность и меньшая продолжительность измерения параметров трехэлементных двухполюсников по последовательной RLC-схеме, то есть достигнута единая сущность заявленной группы изобретений.
Реализация заявленной группы изобретений не вызывает принципиальных затруднений, так как в мосте используются высококачественные трансформаторные узлы с тесной индуктивной связью, прецизионные интегратор, сумматор напряжений, мера сопротивления, избирательный амплитудный (экстремальный) нуль-индикатор, являющиеся типовыми узлами известных многоплечих трансформаторных экстремальных мостов переменного тока для измерения параметров по двухэлементной схеме (например, цифровых мостов Р5016, Р5083). Реализация прецизионного дифференциатора на операционном усилителе также не вызывает затруднений в силу использования в заявленном мосте избирательного амплитудного нуль-индикатора, настраиваемого на каждую частоту измерения.
Реализация заявленного способа уравновешивания по трем параметрам заявленного моста также не вызывает затруднений, так как этот способ содержит одну легко автоматизируемую операцию уравновешивания по двум параметрам с углом сходимости по ним, равным 90o, и (l-1) операций уравновешивания по одному параметру, причем число (l-1) всегда невелико. Указанная же коррекция параметра w4 при проведении второй и следующих операций заявленного способа легко осуществима и мало влияет на продолжительность измерения.