Патент на изобретение №2225202
|
||||||||||||||||||||||||||
(54) ГЕЛЬ ГИГИЕНИЧЕСКИЙ
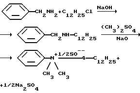
(57) Реферат: Изобретение относится к области косметических средств, в частности к средствам для ухода за кожей. Изобретение заключается в том, что гель гигиенический включает глицерин, парфюмерную композицию, дезинфицирующее средство, воду, в качестве дезинфицирующего средства используют соединение полигуанидина или его синергетическую смесь с четвертичным аммониевым соединением, лимонную кислоту, кремофор и трилон Б – натриевую соль этилендиаминтетрауксусной кислоты при определенном соотношении компонентов. В качестве соединения полигуанидина используют фосфат поли-(4,9-диоксадодекан-1,12-гуанидин), или цитрат/формиат полигексаметиленгуанидина, или глюконат/бензоат полигексаметиленгуанидина, или хлорид полигексаметиленгуанидина, в качестве четвертичного аммониевого соединения используют диметилбензилдодециламмоний-сульфат, в качестве полиэтиленгликоля используют соединения класса [-CH2CH2O-] nH, где n=6-20, в качестве витаминной составляющей используют витамин А, или витамин Е, или провитамин В5, или их смесь в равных частях. Изобретение обеспечивает снижение токсичности геля с улучшенным дерматологическим действием и пролонгированным эффектом. 4 з.п.ф-лы, 3 табл. Изобретение относится к области технологий косметических средств, в частности к средствам для ухода за кожей, и может быть использовано для ухода за кожей лица, рук, ног и других частей тела. Известен гель для ухода за кожей, содержащий хитозан, витаминный препарат, антисептик – димексид или хлоргексидин и воду (патент РФ 2085187, БИ 21, кл. А 61 К 7/00, 1997). Однако гели на основе хитозана малоустойчивы и используемый хитозан малоэффективен. Хлоргексидин труднодоступен и характеризуется отсутствием вирулицидной активности. Наиболее близким решением к предлагаемому является гель гигиенический следующего состава, мас. %: карбопол 0,1-10,0; триэтаноламин 0,1-10,0; липосомальный препарат “Колдунья-2” (противоугревой) 1-30; глицерин дистиллированный ПК-94 1-15; спирт этиловый ректифицированный высшей очистки 1-15; гербамен II 0,1-2,0; водно-спиртоглицериновый экстракт календулы 0,1-5,0; водно-спиртоглицериновый экстракт лопуха 0,1-5,0; водно-спиртоглицериновый экстракт хвоща полевого 0,1-5,0; триклозан 0,1-1,0; камфара синтетическая 0,01-1,0; краситель С1 42090 1,0-1,0; парфюмерная композиция 0,1-1,5; вода питьевая – остальное (патент РФ 2150264, кл. А 61 К 7/00, 1999). К недостаткам известного геля относится то, что применяемый триклозан представляет собой дихлорированное производное бис-фенола, близкое по структуре к крайне опасному веществу диоксину. Известно, что триклозан может содержать примесь диоксина. Кроме того, известно, что хлорированные фенолы при простом нагревании легко превращаются в диоксины. В то же время антибактериальная активность триклозана крайне низка. Технической задачей, решаемой данным изобретением, является снижение токсичности геля за счет применения малотоксичного дезсредства с улучшенным дерматологическим действием и пролонгированным эффектом. За счет введения комплекса витаминов повышается регенерирующая способность кожи. Для решения технической задачи в геле гигиеническом, включающем глицерин, парфюмерную композицию, дезинфицирующее средство и воду, в качестве дезинфицирующего средства используют соединение полигуанидина или его синергетическую смесь с четвертичным аммониевым соединением и дополнительно вводят лимонную кислоту, кремофор и трилон Б – натриевую соль этилендиаминтетрауксусной кислоты при следующих соотношениях компонентов, мас.%: Метилцеллюлоза или гидроксиэтилцеллюлоза – 0,3-3,0 Глицерин – 0,5-10,0 Лимонная кислота – 0,5-3,0 Кремофор – 0,1-5,0 Трилон Б – натриевая соль этилендиаминтетрауксусной кислоты – 0,1-2,0 Парфюмерная композиция – 0,05-0,5 Соединение полигуанидина или его синергетическая смесь с четвертичным аммониевым соединением в соотношении 1:1 – 0,5-3,0 Полиэтиленгликоль – 0,1-1,0 Витаминная составляющая – 0,1-2,0 Вода – Оостальное В геле дезинфицирующем в качестве соединения полигуанидина используют фосфат поли-(4,9-диоксадодекан-1,12-гуанидин), или цитрат/формиат полигексаметиленгуанидина, или глюконат/бензоат полигексаметиленгуанидина, или хлорид полигексаметиленгуанидина. В геле дезинфицирующем в качестве четвертичного аммониевого соединения используют диметилбензилдодециламмоний-сульфат. В геле дезинфицирующем в качестве полиэтиленгликоля используют соединения класса [-CH2CH2O-]nH, где n=6-20. В геле дезинфицирующем в качестве витаминной составляющей используют витамин А, или витамин Е, или провитамин В5, или их смесь в равных частях. Используемое в составе геля высокоактивное соединение полигуанидина (ПГМГ) обладает широким спектром биоцидной активности: антибактериальной, фунгицидной, вирулицидной. Оно малотоксично, не проникает через неповрежденную кожу (IV класс опасности), сохраняется на ней долгое время, защищая от атак микроорганизмов. Диметилбензилдодециламмоний-сульфат синтезируется в две стадии исходя из бензиламина, додецилхлорида и диметилсульфата. ![]() Сначала нагревают при температуре 60-80oС в спиртовом растворе 97 г (1 моль) бензиламина с 205 г (1 моль) додецилхлорида и 40 г (1 моль) едкого натра до прекращения выпадения осадка NaCl. Раствор бензилдодециламина отфильтровывают от осадка NaCl и кватернизируют добавлением 126 г (1 моль) диметилсульфата и 20 г (0,5 моль) едкого натра. Полученный диметилбензилдодециламмоний сульфат подсушивают при температуре не выше 60oС до постоянного веса. По своей антимикробной активности препарат превосходит катамин АБ и бензалконий-хлорид. В качестве кремофора используют Cremofor A – группу продуктов концерна BASF, являющийся неионогенным эмульгатором класса RO(CH2CH2O)nH, где R= C16-C18, n=6-25. Представляет собой воскообразное вещество (кремофор А6, n= 6), либо гранулят белого цвета (кремофор А25, n=25), растворим в воде и спирте, а также в минеральных маслах и жирах. Применяется в качестве эмульгаторов для производства кремов, эмульсий, гелей, мазей и т.п. Комбинация двух типов кремофоров позволяет получать гомогенные эмульсии, допускающие ввод в рецептуру до 90% воды, а также способствует улучшению смачивания поверхности и распределения по ней антисептического средства, повышая таким образом эффективность антисептической обработки. Применяемая в предложенном составе в качестве гелеобразующего компонента метилцеллюлоза или гидроксиэтилцеллюлоза представляет собой порошкообразный материал белого цвета с содержанием основного компонента не менее 97 мас.%, степень полимеризации не менее 500 (ТУ 6-05-1857-87). Лимонная кислота (ГОСТ 3652) представляет собой бесцветные кристаллы с моноклинной решеткой. Растворимость в воде, % (при температуре,oС): 59,2 (20), 84 (100); молекулярная масса: 192,2. Применяется в составе геля как комплексообразователь и регулятор рН. Проявляет свойства многоосновных карбоновых кислот, образует три ряда солей и эфиров (цитратов) по карбоксильным группам. Лимонная кислота и ее соли используются в пищевой промышленности как вкусовые вещества, в качестве компонентов буферных растворов, для предохранения жиров от порчи, в фармацевтической промышленности как компоненты многих лекарственных средств, лимонно-кислый натрий – антикоагулянт. Трилон Б (ГОСТ 10652) представляет собой натриевую соль этилендиаминтетрауксусной кислоты, комплексен III; представляет собой органическое хелатообразующее соединение, кристаллическое, растворимое в воде, этаноле и большинстве органических растворителей. Применяется в качестве комплексообразователя при анализе металлов, для разделения и выделения ионов металлов, для растворения и предотвращения образования различных отложений, обусловленных, например, жесткостью воды, для выделения из организма токсичных металлов, стабилизации пищевых продуктов, в качестве смягчителей воды, как компоненты моющих средств. Полиэтиленгликоль (ТУ 6-14-714-79) представляет собой вязкое или воскообразное вещество, растворяется в органических растворителях, неограниченно – в воде, но выпадает в осадок из водных растворов при температуре 100oС, а также при введении неорганических солей. Полиэтиленгликоль применяют как текстильно-вспомогательное вещество, загуститель, в фармакопее и косметике – как связующее для таблеток, кремов, свечей, стабилизатор в аэрозолях. По литературным данным при применении гуанидиновых антисептиков ПЭГ смягчает их действие на кожу и потенциирует биоцидный эффект. ПЭГ способен проникать в подкожную клетчатку и транспортировать туда лекарственные препараты. Находится он там 2-3 суток (вместо перчаток хирургам). Глицерин (ТУ-6259-25) представляет собой прозрачную жидкость с содержанием основного вещества не менее 99%. Дегидратирующий, обволакивающий, вяжущий компонент. Оказывает на кожу смягчающее и вяжущее действие, способствует проникновению в кожу активных веществ, что повышает эффективность применения антисептического средства. Использование глицерина совместно с эфирами целлюлозы эффективно и длительно увлажняет поверхность кожи, повышая время активного действия антисептического средства. Парфюмерная композиция представляет собой органическую жидкость с характерным запахом. Используют парфюмерную композицию со следующими запахами: яблоко, персик, абрикос, банан, ваниль, вишня, грейпфрут, жасмин, жимолость, какао, корица, киви, лаванда, ландыш, лимон, липа, манго, ромашка, календула, фруктово-цветочная и плодово-травяная (мята, лопух, зверобой, розмарин, полынь, эвкалипт, шалфей, чебрец, хмель, фиалка, череда). Фирмы-производители могут быть: CFF (Италия), “Bell flowers and fragrances” (Германия) или АОЗТ “Фитотехнология” (Санкт-Петербург). Витамин А влияет на обменные процессы кожи, оказывает ранозаживляющий эффект. Провитамин В5 (пантенол) стимулирует восстановление кожи. Витамин Е оказывает регенерирующее действие, защищает иммунную систему. Процесс приготовления геля дезинфицирующего имеет три стадии. Первая – подготовка сырья и оборудования – включает проверку чистоты реактора смешения, взвешивание компонентов, диспергирование гидроксиэтилцеллюлозы в глицерине в присутствии кремофора в течение 1,5-2 часов при температуре 30-40oС с периодическим перемешивании массы. Режим перемешивания и конструктивные особенности реактора должны препятствовать пенообразованию. Вторая стадия – приготовление водного раствора дезсредства в смесителе при температуре 35-40oС в течение 1,5-2 часов. Третья стадия – смешение компонентов в реакторе-смесителе, представляющем собой цилиндрическую емкость с термостатируемой рубашкой из нержавеющей стали с соотношением диаметра и высоты 1:1,5-1-2, снабженную съемной крышкой, впускными штуцерами и мешалкой якорного или турбинного типа. В реактор заливают приготовленный раствор полимера в глицерине, питьевую воду, водный раствор дезсредства, парфюмерную композицию, полиэтиленгликоль, витаминную составляющую и добавляют 10% раствор лимонной кислоты для доведения рН приготовленной смеси до необходимого уровня. Полученную массу доводят водой в соответствии с рецептурой, непрерывно перемешивая при температуре 25-30oС в течение 1 часа. Примеры конкретного выполнения геля. Пример 1. Гель дезинфицирующий для рук содержит следующие компоненты, мас.%: Метилцеллюлоза – 1,2 Глицерин – 5,0 Лимонная кислота – 0,8 Кремофор – 1,5 Трилон Б – 0,5 Парфюмерная композиция – 0,4 Фосфат поли-(4,9-диоксадодекан-1,12-гуанидин) – 1,0 Полиэтиленгликоль [-CH2CH2O-]nH, где n=15 – 0,3 Провитамин В5 (пантенол) – 0,5 Вода – Остальное Применяется для уничтожения болезнетворных микробов, не нарушает рН-баланс, после нанесения геля на коже образуется тончайшая пленка, защищающая кожу от проникновения бактерий. Пример 2. Гель дезинфицирующий для лица содержит следующие компоненты, мас.%: Гидроксиэтилцеллюлоза – 0,3 Глицерин – 1,0 Лимонная кислота – 0,5 Кремофор – 5,0 Трилон Б – 0,1 Парфюмерная композиция – 0,1 Цитрат/формиат ПГМГ – 0,5 Полиэтиленгликоль [-CH2CH2O-]nH, где n=6 – 0,1 Витамин Е и витамин А в соотношении 1:1 – 2,0 Вода – Остальное Применяется для ухода за кожей, осложненной угревой сыпью. Не оказывает раздражающего и аллергического действия. Пример 3. Гель дезинфицирующий для ног содержит следующие компоненты, мас.%: Метилцеллюлоза – 3,0 Глицерин – 7,0 Лимонная кислота – 1,0 Кремофор – 0,1 Трилон Б – 2,0 Парфюмерная композиция – 0,5 Глюконат/бензоат ПГМГ – 3,0 Полиэтиленгликоль [-CH2CH2O-]nH, где n=20 – 0,05 Провитамин B5 (пантенол), витамин Е и Витамин А в соотношении 1:1:1 – 0,1 Вода – Остальное Устраняет запах пота, предохраняет от заражения грибком и других кожных заболеваний, убивает болезнетворные микроорганизмы. Пример 4. Гель дезинфицирующий для ног содержит следующие компоненты, мас.%: Метилцеллюлоза – 3,0 Глицерин – 7,0 Лимонная кислота – 1,0 Кремофор – 2,0 Трилон Б – 1,0 Парфюмерная композиция – 0,5 Синергетическая смесь хлорида ПГМГ и диметилбензилдодециламмоний-сульфата – 3,0 Полиэтиленгликоль [-CH2CH2O-]nH, где n=20 – 0,5 Провитамин B5 (пантенол) – 1,0 Вода – Остальное Устраняет запах пота, предохраняет от заражения грибком и других кожных заболеваний, убивает болезнетворные микроорганизмы. Количественное содержание компонентов геля является оптимальным и выбрано на основании многочисленных экспериментов. В таблице 1 представлены данные, подтверждающие оптимальность заявленных пределов. При проведении испытаний антимикробной активности разработанного дезинфицирующего геля использовали 2 способа. По первому способу определяли зоны подавления микроорганизмов при диффузии исследуемого вещества в плотную питательную среду (Федоров Ю. А. , Корень В.Н. Микробиологические методы исследования зубных гигиенических средств. В кн. “Основы гигиены полости рта”. Л.: Медицина, 1973 г., с. 3-215). Для этого в чашку Петри наливали 20 мл плотной питательной среды. Готовили 24-часовую микробную взвесь тест-микроорганизмов с концентрацией 5 105 КОЕ/мл и наносили по 1 мл взвеси на поверхность питательной среды. Подсушивали в течение 30 мин, а затем в питательной среде делали лунки диаметром 6 мм, в которые наносили пробы разработанного дезинфицирующего геля. Количество лунок не должно превышать 6 на чашку Петри. В течение 30 мин чашки Петри выдерживали при комнатной температуре (20oС), затем их помещали в термостат на 24-48 часов при температуре 37oС и по истечении указанного срока учитывали зоны угнетения микробного роста, включая диаметр лунок. По размерам зон угнетения роста тест-микроорганизмов судили об антимикробном действии испытываемого вещества, хотя следует учитывать, что скорость диффузии полимерных дезинфицирующих средств ниже скорости диффузии низкополимерных дезинфицирующих средств.
Для получения достоверных результатов испытания каждого исследуемого вещества необходимо проводить в 2-3 сериях повторностей.
Второй способ состоит в определении минимального времени, необходимого для полного подавления роста и развития тест-микроорганизмов.
В испытываемое вещество добавляли суспензию тест-микроорганизмов в количестве 106 КОЕ/мл, для этого в пробирки наливали по 1 мл испытываемого вещества. Пробирки встряхивали и через промежутки времени 2, 5, 10 и 30 минут делали высевы на плотные питательные среды. Чашки Петри помещали на 24-48 часов в термостат при 37oС. После истечения указанного срока подсчитывали число выросших колоний и по этому показателю судили о бактерицидной активности испытываемого вещества.
Результаты проведенных исследований представлены в таблице 2.
Из представленных в табл. 2 данных следует, что более чувствительными к испытываемым средствам были грамположительные микроорганизмы (S. aureus). Все испытываемые средства образовывали зоны задержки роста от 12 до 29 мм, что соответствует достаточно выраженной или высокой активности. Обращает на себя внимание высокая активность препарата по примеру 3 к грамотрицательным микроорганизмам видов Е. coli и Ps. aeruginosa.
При определении скорости проявления антимикробной активности к испытываемым средствам были получены следующие результаты (таблица 3).
Из представленных в табл. 3 данных следует, что антибактериальный эффект разработанных составов развивается очень быстро. После 2 мин контакта ни в одном случае не обнаружено живой микрофлоры после контаминации кишечной палочкой.
Испытания геля дезинфицирующего проводились на 30 добровольцах без отягощенного аллергологического анамнеза в течение 30 дней. По данным лоскутных проб и проб нанесения показано, что гель безвреден, не оказывает раздражающего и аллергезирующего действия.
Формула изобретения 1. Гель гигиенический, включающий глицерин, парфюмерную композицию, дезинфицирующее средство и воду, отличающийся тем, что в качестве дезинфицирующего средства используют соединение полигуанидина или его синергетическую смесь с четвертичным аммониевым соединением, и дополнительно содержит лимонную кислоту, кремофор и трилон Б – натриевую соль этилендиаминтетрауксусной кислоты, метилцеллюлозу или гидроксиэтилцеллюлозу, полиэтиленгликоль и витаминную составляющую при следующих соотношениях компонентов, мас.%: Метилцеллюлоза или гидроксиэтилцеллюлоза 0,3-3,0 Глицерин 0,5-10,0 Лимонная кислота 0,5-3,0 Кремофор 0,1-5,0 Трилон Б – натриевая соль этилендиаминтетрауксусной кислоты 0,1-2,0 Парфюмерная композиция 0,05-0,5 Соединение полигуанидина или его синергетическая смесь с четвертичным аммониевым соединением в соотношении 1:1 0,5-3,0 Полиэтиленгликоль 0,1-1,0 Витаминная составляющая 0,1-2,0 Вода Остальное 2. Гель дезинфицирующий по п.1, отличающийся тем, что в качестве соединения полигуанидина используют фосфат поли-(4,9-диоксадодекан-1,12-гуанидин), или цитрат/формиат полигексаметиленгуанидина, или глюконат/бензоат полигексаметиленгуанидина, или хлорид полигексаметиленгуанидина. 3. Гель дезинфицирующий по п.1, отличающийся тем, что в качестве четвертичного аммониевого соединения используют диметилбензилдодециламмоний-сульфат. 4. Гель дезинфицирующий по п.1, отличающийся тем, что в качестве полиэтиленгликоля используют соединения класса полиэтиленоксидов [-CH2CH2O-]nH, где n=6 20.
5. Гель дезинфицирующий по п.1, отличающийся тем, что в качестве витаминной составляющей используют витамин А, или витамин Е, или провитамин В5, или их смесь в равных частях.
РИСУНКИ
|
||||||||||||||||||||||||||


105 КОЕ/мл и наносили по 1 мл взвеси на поверхность питательной среды. Подсушивали в течение 30 мин, а затем в питательной среде делали лунки диаметром 6 мм, в которые наносили пробы разработанного дезинфицирующего геля. Количество лунок не должно превышать 6 на чашку Петри. В течение 30 мин чашки Петри выдерживали при комнатной температуре (20oС), затем их помещали в термостат на 24-48 часов при температуре 37oС и по истечении указанного срока учитывали зоны угнетения микробного роста, включая диаметр лунок. По размерам зон угнетения роста тест-микроорганизмов судили об антимикробном действии испытываемого вещества, хотя следует учитывать, что скорость диффузии полимерных дезинфицирующих средств ниже скорости диффузии низкополимерных дезинфицирующих средств.
Для получения достоверных результатов испытания каждого исследуемого вещества необходимо проводить в 2-3 сериях повторностей.
Второй способ состоит в определении минимального времени, необходимого для полного подавления роста и развития тест-микроорганизмов.
В испытываемое вещество добавляли суспензию тест-микроорганизмов в количестве 106 КОЕ/мл, для этого в пробирки наливали по 1 мл испытываемого вещества. Пробирки встряхивали и через промежутки времени 2, 5, 10 и 30 минут делали высевы на плотные питательные среды. Чашки Петри помещали на 24-48 часов в термостат при 37oС. После истечения указанного срока подсчитывали число выросших колоний и по этому показателю судили о бактерицидной активности испытываемого вещества.
Результаты проведенных исследований представлены в таблице 2.
Из представленных в табл. 2 данных следует, что более чувствительными к испытываемым средствам были грамположительные микроорганизмы (S. aureus). Все испытываемые средства образовывали зоны задержки роста от 12 до 29 мм, что соответствует достаточно выраженной или высокой активности. Обращает на себя внимание высокая активность препарата по примеру 3 к грамотрицательным микроорганизмам видов Е. coli и Ps. aeruginosa.
При определении скорости проявления антимикробной активности к испытываемым средствам были получены следующие результаты (таблица 3).
Из представленных в табл. 3 данных следует, что антибактериальный эффект разработанных составов развивается очень быстро. После 2 мин контакта ни в одном случае не обнаружено живой микрофлоры после контаминации кишечной палочкой.
Испытания геля дезинфицирующего проводились на 30 добровольцах без отягощенного аллергологического анамнеза в течение 30 дней. По данным лоскутных проб и проб нанесения показано, что гель безвреден, не оказывает раздражающего и аллергезирующего действия.
20.
5. Гель дезинфицирующий по п.1, отличающийся тем, что в качестве витаминной составляющей используют витамин А, или витамин Е, или провитамин В5, или их смесь в равных частях.