Патент на изобретение №2225070
|
||||||||||||||||||||||||||
(54) СПОСОБ И УСТРОЙСТВО ДЛЯ СНИЖЕНИЯ ЧАСТОТНО-МОДУЛИРОВАННЫХ ПОМЕХ В СИСТЕМЕ ЦИФРОВОГО ЗВУКОВОГО РАДИОВЕЩАНИЯ ВНУТРИПОЛОСНОГО КАНАЛЬНОГО ТИПА
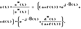
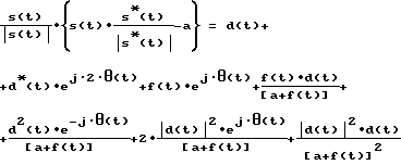
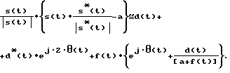
(57) Реферат: Изобретение предлагает способ снижения ЧМ помех в системе цифрового звукового радиовещания (ЦЗР) внутриполосного канального типа. Способ заключается в том, что принимают составной сигнал, содержащий искомый сигнал и сигнал помехи и нормализуют составной сигнал для получения нормализованного составного сигнала. Затем составной сигнал умножают на комплексно-сопряженную величину нормализованного составного сигнала для получения действительного сигнала, действительный сигнал фильтруют и результирующий отфильтрованный сигнал умножают на нормализованный составной сигнал для получения выходного сигнала. Технический результат – уменьшение воздействия сигнала помехи на выходной сигнал, что облегчает детектирование искомого сигнала. 2 с. и 16 з.п. ф-лы, 5 ил. Область техники, к которой относится изобретение Изобретение относится к обработке сигнала и, более конкретно, к методам обработки сигнала для использования в системах цифрового звукового радиовещания (ЦЗР). Уровень техники Цифровое звуковое радиовещание является средством обеспечения воспроизведения звука цифрового качества, превосходящего существующие аналоговые форматы радиовещания. Как амплитудно-модулированные, так и частотно-модулированные сигналы цифрового звукового радиовещания (ЦЗР) могут передаваться в гибридном формате, в котором цифровой модулируемый сигнал сосуществует с аналоговым AM или ЧМ сигналом текущей радиопередачи, или в полностью цифровом формате без аналогового сигнала. Системы радиовещания внутриполосного канального типа не требуют новых спектральных распределений, поскольку каждый сигнал ЦЗР одновременно передается в пределах одной и той же спектральной маски существующего распределения AM или ЧМ каналов. Системы радиовещания внутриполосного канального типа содействует экономии спектра, при этом позволяя радиовещателям обеспечивать цифровое качество воспроизведения звука для их основных слушателей в данный момент. Было предложено несколько подходов цифрового звукового радиовещания внутриполосного канального типа. ЧМ системы цифрового звукового радиовещания уже были предметом нескольких патентов США, включая патенты 5465396, 5315583, 5278844 и 5278826. Прежде, для передачи ЧМ сигнала цифрового звукового радиовещания внутриполосного канального типа поднесущие, мультиплексированные с ортогональным частотным разделением (МОЧР), помещались в пределах приблизительно от 129 до 199 кГц с обеих сторон от ЧМ центральной частоты, обе выше или ниже спектра, занятого аналоговой модулированной главной ЧМ несущей. Некоторые опции радиовещания внутриполосного канального типа (например, полностью цифровые опции) допускают начало поднесущих на расстоянии 100 кГц от центральной частоты. Цифровая часть сигнала ЦЗР подвергается помехам, например, со стороны первых смежных ЧМ сигналов или главных сигналов в гибридных системах цифрового звукового радиовещания (ЦЗР) внутриполосного канального типа. Для выделения искомых сигналов при наличии мешающих передатчиков требуются методы обработки сигналов. Для выделения узкополосного сигнала из широкополосного ЧМ сигнала может быть использован метод ЧМ выделения, называемый непрерывный просмотр (COLT). Этот метод описан в патентах США 5263191, 5428834 и 5355533. Способ, описанный в этих патентах, в действительности описывает узкополосный режекторный фильтр, который отслеживает и подавляет частотно-модулированную мгновенную частоту сигнала помехи. Патент США 5465396 раскрывает систему цифрового звукового радиовещания внутриполосного канального типа, которая обеспечивает одновременную передачу сигнала цифрового звукового радиовещания и ЧМ сигнала по существующим ЧМ каналам. ЧМ сигналы цифрового звукового радиовещания внутриполосного канального типа подвергаются влиянию различных условий замирания и широкополосных свойств, которые ограничивают эффективность известных методов непрерывного просмотра (COLT). Необходим метод выделения сигнала, который является эффективным для сигналов цифрового звукового радиовещания внутриполосного канального типа в условиях замирания. Сущность изобретения Настоящее изобретение предлагает способ снижения ЧМ помех в системе цифрового звукового радиовещания (ЦЗР) внутриполосного канального типа. Способ заключается в том, что принимают составной сигнал, содержащий искомый сигнал и сигнал помехи, и отличается тем, что нормализуют составной сигнал для получения нормализованного составного сигнала; умножают составной сигнал на комплексно-сопряженную величину нормализованного составного сигнала для получения действительного сигнала; фильтруют действительный сигнал и умножают результирующий отфильтрованный сигнал на нормализованный составной сигнал для получения выходного сигнала. Неблагоприятные воздействия сигнала помехи на выходной сигнал снижают относительно искомого сигнала в исходном составном сигнале, таким образом облегчая детектирование искомого сигнала. В этом контексте неблагоприятные воздействия относятся к таким воздействиям, как искажение детектированных символов, приводящее к увеличенной частоте ошибок по битам (ЧОБ). Кроме того, изобретение включает в себя радиоприемники, которые используют вышеупомянутый способ выделения искомого сигнала из составного сигнала и для плавного сопряжения отфильтрованного и составного сигналов. Хотя описанный здесь метод хорошо подходит для уменьшения воздействий первого смежного ЧМ сигнала помехи, он также может быть использован для уменьшения воздействий главного ЧМ сигнала, когда сигнал ЦЗР располагается ближе к его главному ЧМ сигналу. Однако в последнем случае ограничивающий фактор стремится быть помехой сигнала ЦЗР на его главный ЧМ сигнал. Краткое описание чертежей В дальнейшем изобретение поясняется описанием конкретных вариантов его осуществления со ссылками на сопровождающие чертежи, на которых: фиг. 1 изображает диаграмму спектральной плотности мощности ЧМ сигнала цифрового звукового радиовещания внутриполосного канального типа, фиг. 2 изображает диаграмму спектральной плотности мощности двух ЧМ сигналов цифрового звукового радиовещания внутриполосного канального типа в смежных каналах, фиг. 3 изображает блок-схему, которая иллюстрирует способ обработки сигналов настоящего изобретения, фиг. 4 изображает блок-схему, которая иллюстрирует работу устройства подавления первых смежных сигналов (ППС) согласно настоящему изобретению, и фиг. 5 изображает блок-схему приемника, сконструированного согласно настоящему изобретению. Подробное описание предпочтительных вариантов осуществления Фиг. 1 изображает схематическое представление распределения частот (размещение по спектру) и относительную спектральную плотность мощности составляющих сигнала для гибридного частотно-модулированного сигнала 10 цифрового звукового радиовещания внутриполосного канального типа. Гибридный формат содержит известный ЧМ стереоаналоговый сигнал 12, имеющий спектральную плотность мощности, представленную в форме треугольника 14, расположенного в центральной или в центральной частотной полосе 16 части канала. Спектральная плотность мощности (СПМ) обычного аналогового ЧМ радиовещательного сигнала близка к треугольной форме с крутизной приблизительно 0,35 дБ/кГц от центральной частоты. Множество цифромодулированных равноотстоящих поднесущих расположено на любой стороне аналогового ЧМ сигнала – в верхней боковой полосе 18 и в нижней боковой полосе 20 и передается совместно с аналоговым ЧМ сигналом. Все несущие передаются на уровне мощности, который находится в пределах канальной маски 22 по стандарту федеральной комиссии по связи США. В одном примере гибридного формата модуляции ЧМ сигналов радиовещания внутриполосного канального типа 95 цифромодулированных равноотстоящих поднесущих, мультиплексированных с ортогональным частотным разделением (МОЧР), располагаются на каждой стороне главного аналогового ЧМ сигнала, занимающего спектр приблизительно от 129 до 199 кГц с обеих сторон от главной ЧМ центральной частоты, что иллюстрируется верхней боковой полосой 18 и нижней боковой полосой 20 на фиг.1. В гибридной системе полная ЦЗР мощность цифромодулированных поднесущих, мультиплексированных с ортогональным частотным разделением (МОЧР), в каждой боковой полосе устанавливается на уровне приблизительно 25 дБ относительно мощности их главного аналогового ЧМ сигнала. Сигналы от смежного ЧМ канала (т.е. первые смежные ЧМ сигналы), если они вообще есть, могли бы быть расположены на расстоянии 200 кГц от центра канала, представляющего интерес. Фиг. 2 изображает спектральный график гибридного сигнала 10 ЦЗР с верхним первым смежным мешающим передатчиком 24, имеющим аналоговый модулированный сигнал 26 и множество цифромодулированных поднесущих в боковых полосах 28 и 30, которые находятся на уровне приблизительно 6 дБ относительно искомого сигнала (цифромодулированные поднесущие сигнала 10). Фигура показывает, что верхняя боковая полоса 18 ЦЗР искажается аналоговым модулированным сигналом в первом смежном мешающем передатчике. Настоящее изобретение обеспечивает устройство подавления первых смежных сигналов (ППС), которое способно подавлять действие помех в этой ситуации. Было продемонстрировано, что устройство подавления первых смежных сигналов (ППС) способно справляться с первыми смежными сигналами помех на обоих нижних и верхних боковых полосах ЦЗР и успешно восстанавливать сигнал ЦЗР, скрытый под ними. Сигнал ЦЗР выделяется из-под ЧМ несущей помехи, хотя процесс выделения искажает сигнал ЦЗР. Предполагается, что сигнал ЦЗР мал относительно первого смежного аналогового ЧМ сигнала помехи, так что ЧМ отслеживание и подавление могут быть эффективными. В отсутствие замирания составной аналоговый ЧМ сигнал и сигнал ЦЗР могут быть смоделированы так: s(t) = a ej![]() (t)+d(t)где а – амплитуда; (t) – мгновенная фаза ЧМ сигнала; d(t) – сигнал ЦЗР. Без потери общности можно предположить, что средняя мощность d(t) равна единице. Кроме того, можно предположить, что а >>1, так что осуществляется эффект захвата ЧМ сигнала. Заметим, что амплитуда сигнала предполагается постоянной, поскольку предполагается, что в этой части анализа нет замирания. Также заметим, что это идеальный случай без шума. Если сигнал обрабатывается с использованием методов, известных в патентах США 5263191, 5428834 и 5355533, тогда выходной сигнал будет аппроксимироваться следующим выражением:COLT_OUT(t) d(t)+d*(t) ej 2![]() (t)Первый член выходного сигнала непрерывного просмотра (COLT) является желательным членом, тогда как второй член является помехой. Хотя член помехи имеет такую же мощность, как первый член, его спектр сворачивается с квадратом ЧМ сигнала, который имеет вдвое большую ширину полосы ЧМ модуляции. Если ширина полосы сигнала ЦЗР равна ширине полосы ЧМ сигнала помехи и если сигнал ЦЗР располагается по центру на ЧМ сигнале, то отношение результирующего сигнала к помехе может быть снижено самое большее до нескольких дБ с использованием известного метода непрерывного просмотра (COLT). Другим большим источником искажения является замирание при многолучевом распространении сигнала. Замирание приводит к амплитудной модуляции мгновенной ЧМ несущей. Селективное замирание может привести к ширине полосы амплитудной модуляции порядка ширины ЧМ основной полосы (то есть 53 кГц), хотя ширина полосы, обусловленная динамическим гладким замиранием, ограничивается приблизительно до 13 кГц при максимальных скоростях движения автомобиля с автомобильным приемником. Поскольку процесс выделения в патентах США 5263191, 5428834 и 5355533 использует входной сигнал непосредственно для управления центральной частотой режекции, то амплитудная модуляция входного сигнала, обусловленная замиранием, будет ухудшать работу. При замирании составной аналоговый ЧМ сигнал плюс сигналы цифромодулированных поднесущих могут быть смоделированы как: s(t) = [a+f(t)] ej![]() (t)+d(t),где f(t) – член динамического замирания, который обусловлен амплитудной модуляцией ЧМ несущей, когда она перемещается по ширине полосы девиации с селективным замиранием. Амплитудная модуляция имеет ширину полосы порядка ширины ЧМ основной полосы (то есть 53 кГц). Составляющая медленного замирания, обусловленная рэлеевским замиранием, ограничивается приблизительно до 13 Гц при максимальных скоростях движения на несущей частоте в диапазоне 100 МГц. Эта составляющая медленного замирания опускается из этой модели, поскольку по данному окну анализа она предполагается почти постоянной. При селективном замирании становятся значительными дополнительные составляющие помех. Известный из уровня техники метод узкополосной режекторной фильтрации предполагает, что сам по себе входной сигнал является хорошей аппроксимацией ЧМ сигнала, поскольку отношение мощности аналогового ЧМ сигнала к мощности сигнала ЦЗР является высоким. Однако в случае, если входной сигнал подвергается замиранию и не является хорошей аппроксимацией ЧМ сигнала, тогда операции обработки могут создавать изображение, которое не может быть удалено на последующих стадиях. Настоящее изобретение решает эту проблему, используя процесс выделения нормализованных сигналов. Мы наблюдаем, что первое умножение сигнала сдвигает мгновенную ЧМ частоту к нулю, тогда как второе умножение должно выполнить инверсию первого умножения. В идеальном случае мы замечаем, что, если первое и второе являются комплексно сопряженными величинами и если произведение их амплитуд остается фиксированным постоянным значением, то сигнал должен быть совершенно восстановлен по фазе и амплитуде (за минусом отфильтрованной ЧМ несущей). К сожалению, динамическое замирание и селективное замирание приводят к изменениям амплитуды со скоростью замирания и шириной полосы сигнала основной полосы. Дополнительная операция нормализации амплитуды опорного сигнала устраняет генерацию некоторых нежелательных помех, связанных с исходным методом непрерывного просмотра (COLT). Этот процесс выделения нормализованных сигналов показан на фиг.3. Составной сигнал: s(t) = a ej![]() (t)+d(t),принимается на линии 32. Блок 34 иллюстрирует, что входной сигнал нормализуется посредством деления его абсолютного значения для получения нормализованного сигнала на линии 36. При замирании составной аналоговый ЧМ сигнал плюс сигналы ЦЗР после нормализации могут быть приблизительно смоделированы как: ![]() где предполагается, что аналоговый ЧМ сигнал намного больше, чем цифровой сигнал ЦЗР. Комплексно-сопряженная величина нормализованного сигнала получается, как иллюстрируется, посредством блока 38, а составной сигнал умножается на комплексно-сопряженную величину, что иллюстрируется блоком умножителя 40, для получения промежуточного сигнала: ![]() на линии 42. Операция режекции постоянного тока, иллюстрируемая блоком 44, удаляет постоянный член, а для получения: ![]() на линии 46. Фильтр 48 нижних частот с импульсной характеристикой конечной длительности (ФНЧ КИХ-фильтр) производит оценку постоянного члена на линии 50. Сигнал на линии 42 задерживается, как иллюстрируется блоком 52, для согласования задержки фильтра и выходной сигнал фильтра вычитается из задержанного сигнала, как показано сумматором 54, для создания промежуточного сигнала на линии 46. Следует отметить, что сигнал ЦЗР в окрестности режекции также подавляется и режекторная фильтрация наносит некоторый вред целостности сигнала ЦЗР. Наконец, этот промежуточный сигнал умножается умножителем 56 на нормализованный исходный составной сигнал, который был задержан, как показано блоком 58, для получения выходного сигнала на линии 60: ![]() Предположим, что ЧМ сигнал намного больше сигнала ЦЗР, как обычно бывает, тогда выходной сигнал можно аппроксимировать выражением: ![]() Приведенное выше уравнение показывает, что, если член амплитудной модуляции, наведенной селективным замиранием, f(t)=0, то достигается результат исходного метода непрерывного просмотра (COLT). Однако при селективном замирании дополнительные члены помех можно сравнивать с таковыми метода непрерывного просмотра (COLT) в условиях селективного замирания. Определенно, если: ![]() то самонаведенный шум при использовании способа настоящего изобретения будет ниже. Приведенное выше неравенство может быть аппроксимировано посредством дополнительного исключения менее значительных членов, которые намного меньше единицы, для получения: ej ![]() (t)<2 ej![]() (t)Оно показывает потенциальное улучшение, заключающееся в уменьшении на 6 дБ шума, обусловленного селективным замиранием, с использованием метода нормализации. Теперь должно быть очевидно, что настоящее изобретение снижает вредное влияние сигнала помехи на выходной сигнал, например, путем увеличения величины или спектральной плотности мощности искомого сигнала относительно сигнала помехи. Процесс ЧМ подавления, описанный выше, непосредственно применим к системе ЧМ цифрового звукового радиовещания (ЦЗР) внутриполосного канального типа всегда, когда имеется первый смежный ЧМ сигнал помехи. Первые смежные ЧМ сигналы помех могут обрабатываться и эффективно подавляться/режектироваться из цифровой части сигнала ЦЗР с достаточно малой величиной искажения, приводя к сигналу ЦЗР. Искажение будет довольно малым, если перед началом процесса ЧМ подавления будут выполнены три условия: 1) Единственными присутствующими сигналами, которые имеют значительную мощность, являются первые смежные ЧМ сигналы и цифровая часть сигнала ЦЗР, на которые действует помеха (т.е. верхняя или нижняя цифровая боковая полоса сигнала ЦЗР). Это может быть выполнено просто путем смещения ЧМ сигнала помехи до 0 Гц и фильтрации нижних частот результирующего сигнала или путем полосовой фильтрации результирующего сигнала. 2) Цифровой сигнал полностью содержится либо на верхней, либо на нижней половине первого смежного ЧМ сигнала. Это в принципе делается в рамках компоновки системы цифрового звукового радиовещания внутриполосного канального типа, в которой край цифрового сигнала располагается почти в пределах +/- 200 кГц, что является центром первого смежного ЧМ сигнала. Следовательно, цифровой сигнал содержится на одной половине ЧМ сигнала помехи. Это важно, поскольку нежелательное искажение или изображение, производимое посредством этого процесса выделения, появляется на стороне спектра, противоположной местоположению сигнала ЦЗР относительно ЧМ сигнала. 3) Первый смежный ЧМ сигнал приблизительно на 6 дБ сильнее по мощности, чем цифровой сигнал. Когда мощность первого смежного ЧМ сигнала становится слишком низкой, то лучше не выполнять подавление первых смежных сигналов (ППС). Это гарантирует, что ЧМ сигнал значительно больше по сравнению с сигналом ЦЗР, так что осуществляется эффект захвата. При многолучевом распространении с замираниями ЧМ сигнал будет иногда падать ниже порога мощности более чем на 6 дБ, таким образом, рекомендуется выключение алгоритма. В пределах одной предложенной системы цифрового звукового радиовещания (ЦЗР) внутриполосного канального типа три условия могут присутствовать часть времени, особенно в областях на краю зоны обслуживания ЧМ станций. Подавление первых смежных ЧМ сигналов будет обеспечивать ослабление помех и таким образом расширять зону обслуживания станций. Один способ включения/отключения подавления первых смежных сигналов (ППС) заключается в том, чтобы производить плавное сопряжение между сигналом, обработанным путем подавления первых смежных сигналов, и сигналом, не обработанным путем подавления первых смежных сигналов. Измерение величины мощности, которая режектируется, может быть выполнено посредством получения разности между мощностью, которая входит в режекцию, и мощностью, которая выходит из режекции. Два сигнала сглаживаются перед вычислением разности с использованием простого интегратора с потерями. Фиг.4 изображает блок-схему, которая иллюстрирует функции подавления первых смежных сигналов (ППС) и плавного сопряжения, которые могут быть выполнены на обоих – верхнем и нижнем первых смежных ЧМ сигналах помех. Составной сигнал вводится на линии 62 и смешивается в смесителе 64 с сигналом гетеродина для создания модулирующего сигнала на линии 66, в которой первый смежный сигнал помех преобразуется в постоянный ток. Сигнал фильтруется фильтром 68 нижних частот с импульсной характеристикой конечной длительности для удаления сигналов, находящихся вне ширины полосы ЧМ сигнала помехи. Затем результирующий сигнал на линии 70 подвергается ЧМ отслеживанию и подавлению, как иллюстрируется в блоке 72. Подавление выполняется так, как иллюстрируется на фиг.3, на которой сигнал перед и после режекторного фильтра передается по линиям 42 и 46. В блоке 74 управления плавным сопряжением режектированная мощность в дБ сравнивается с верхним и нижним порогами, которые представляют собой диапазон, в котором происходит плавное сопряжение. Диапазон нормализуется таким образом, что там, где величина режектированной мощности заключается в пределах ненормализованного диапазона, она может быть представлена прямым процентом диапазона. Управляющий сигнал на линии 76 представляет процентное число, которое используется для умножения сигнала, обработанного посредством подавления первых смежных сигналов (ППС) в умножителе 78. Управляющий сигнал на линии 80 представляет единицу минус процентное число и используется для умножения сигнала, не обработанного посредством подавления первых смежных сигналов (ППС), который был задержан, как показано в блоке 82. Выходные сигналы умножителей 78 и 84 объединяются в сумматоре 86 для создания сигнала на линии 88, который фильтруется фильтром 90 с импульсной характеристикой конечной длительности. Результирующий отфильтрованный сигнал на линии 92 снова смешивается в смесителе 94 с сигналом гетеродина для создания выходного сигнала на линии 96. Затем этот выходной сигнал подвергается дополнительной обработке согласно известным методам для получения выходного звукового сигнала от приемника. Это плавное сопряжение производит плавный переход между сигналом, обработанным посредством подавления первых смежных сигналов (ППС), и сигналом, не обработанным посредством подавления первых смежных сигналов (ППС), и применимо для приемников, осуществляющих различные методы подавления помех, включая иллюстрируемые на фиг.3, а также описанные в вышеупомянутых патентах. Фиг. 5 изображает блок-схему радиоприемника 98, сконструированного согласно настоящему изобретению. Антенна 100 служит средством для приема сигнала цифрового звукового радиовещания (ЦЗР) внутриполосного канального типа, содержащего искомый сигнал в виде множества цифромодулированных поднесущих, мультиплексированных с ортогональным частотным разделением (МОЧР), и аналогового ЧМ сигнала помехи несущей. Приемник включает в себя схемы входных каскадов, которые конструируются согласно хорошо известным методам. После обработки входными каскадами составной сигнал на линии 102 подвергается подавлению первых смежных сигналов и плавному сопряжению согласно вышеизложенному способу, что иллюстрирует блок 104. Сопряженный сигнал на линии 106 подвергается дополнительной обработке согласно известным методам для создания выходного сигнала на линии 108 и звукового выходного сигнала из громкоговорителя 110. Процесс нормализации, используемый в настоящем изобретении, улучшает работу в условиях селективного замирания. Помимо удобства для масштабирования амплитуды, нормализация имеет вторичный эффект уменьшения изменений амплитуды сигнала ЦЗР, который отслеживается посредством устройств оценки информации о состоянии канала (ИСК) в последующих каскадах приемника ЦЗР. Коэффициент улучшения зависит от типа процесса оценки информации о состоянии канала (ИСК) и от ширины полосы этих фильтров оценки. Более того, нормализованный сигнал использует меньший динамический диапазон, поскольку усиление, полученное в процессе подавления первых смежных сигналов (ППС), равно единице вместо а2. Для хорошей работы также важно согласование задержки составного сигнала с задержкой режекторного фильтра. Настоящее изобретение обеспечивает подавление и/или режекторную фильтрацию мгновенной частоты ЧМ сигналов помех для подавления действия помех со стороны ЧМ радиовещательных сигналов. Изобретение особенно применимо к системам ЧМ цифрового звукового радиовещания (ЦЗР) внутриполосного канального типа, в которых первые смежные ЧМ сигналы действуют на цифровую часть сигнала ЦЗР, как сигналы помех. Устройство, которое выполняет эту функцию, называется устройством подавления первых смежных сигналов (ППС). Этот метод также может быть использован в гибридных ЧМ системах ЦЗР внутриполосного канального типа для подавления действия помех со стороны главного ЧМ сигнала на цифровую часть сигнала ЦЗР. Хотя настоящее изобретение было описано с точки зрения предпочтительного варианта осуществления, специалистам в данной области техники должно быть понятно, что к раскрытым вариантам осуществления изобретения можно сделать различные модификации, не отступая от объема настоящего изобретения, который определяется приложенной формулой изобретения. Например, использование в процессе режекторной фильтрации фильтра с импульсной характеристикой конечной длительности (КИХ- фильтра) вместо простого фильтра с импульсной характеристикой бесконечной длительности (БИХ-фильтра) может незначительно улучшить работу. БИХ-фильтр может дать адекватную работу со значительным снижением сложности вычислений. Формула изобретения 1. Способ снижения ЧМ помех в системе цифрового звукового радиовещания внутриполосного канального типа, заключающийся в том, что принимают составной сигнал, содержащий искомый сигнал (10) и сигнал (24) помехи, отличающийся тем, что нормализуют составной сигнал для получения нормализованного составного сигнала, умножают составной сигнал на комплексно-сопряженную величину нормализованного составного сигнала для получения действительного сигнала, фильтруют действительный сигнал для получения отфильтрованного сигнала и умножают отфильтрованный сигнал на нормализованный составной сигнал для получения выходного сигнала, при этом снижают неблагоприятные воздействия сигнала помехи на выходной сигнал. 2. Способ снижения ЧМ помех в системе цифрового звукового радиовещания внутриполосного канального типа по п.1, отличающийся тем, что при фильтрации получают сигнал оценки амплитуды несущей, задерживают действительный сигнал для получения задержанного действительного сигнала и вычитают сигнал оценки амплитуды несущей из задержанного действительного сигнала для получения отфильтрованного сигнала. 3. Способ снижения ЧМ помех в системе цифрового звукового радиовещания внутриполосного канального типа по п.2, отличающийся тем, что при получении оценки амплитуды несущей пропускают действительный сигнал через фильтр нижних частот. 4. Способ снижения ЧМ помех в системе цифрового звукового радиовещания внутриполосного канального типа по п.1, отличающийся тем, что фильтрация приводит к задержке сигнала, при этом дополнительно задерживают нормализованный составной сигнал перед умножением отфильтрованного сигнала на нормализованный составной сигнал. 5. Способ снижения ЧМ помех в системе цифрового звукового радиовещания внутриполосного канального типа по п.1, отличающийся тем, что при нормализации составного сигнала осуществляют деление составного сигнала на абсолютное значение составного сигнала. 6. Способ снижения ЧМ помех в системе цифрового звукового радиовещания внутриполосного канального типа по п.1, отличающийся тем, что составной сигнал содержит множество цифромодулированных поднесущих и аналого-модулированную несущую. 7. Способ снижения ЧМ помех в системе цифрового звукового радиовещания внутриполосного канального типа по п.6, отличающийся тем, что приблизительно половина частот, содержащихся в аналого-модулированной несущей, служит помехой множеству цифромодулированных поднесущих. 8. Способ снижения ЧМ помех в системе цифрового звукового радиовещания внутриполосного канального типа по п.1, отличающийся тем, что дополнительно плавно сопрягают выходной сигнал с составным сигналом для получения сопряженного выходного сигнала. 9. Способ снижения ЧМ помех в системе цифрового звукового радиовещания внутриполосного канального типа по п.8, отличающийся тем, что при плавном сопряжении выходного сигнала с составным сигналом для получения сопряженного выходного сигнала определяют разность уровня мощности между действительным сигналом и отфильтрованным сигналом и управляют величиной выходного сигнала и величиной составного сигнала в ответ на упомянутую разность. 10. Радиочастотный приемник, содержащий средство (100) для приема составного сигнала, включающего в себя искомый сигнал (10) и сигнал (24) помехи, отличающийся тем, что содержит средство для уменьшения ЧМ помех, включающее в себя средство (34) для нормализации составного сигнала для получения нормализованного составного сигнала, средство (40) для умножения составного сигнала на комплексно-сопряженную величину нормализованного составного сигнала для получения действительного сигнала, средство (44) для фильтрации действительного сигнала для получения отфильтрованного сигнала и средство (58) для умножения отфильтрованного сигнала на нормализованный составной сигнал для получения выходного сигнала. 11. Радиочастотный приемник по п.10, отличающийся тем, что средство (44) для фильтрации содержит средство (48) для получения сигнала оценки амплитуды несущей, средство (52) для задержки действительного сигнала для получения задержанного действительного сигнала и средство (54) для вычитания сигнала оценки амплитуды несущей из задержанного сигнала для получения отфильтрованного сигнала. 12. Радиочастотный приемник по п.11, отличающийся тем, что средство (48) для получения оценки амплитуды несущей содержит фильтр нижних частот. 13. Радиочастотный приемник по п.10, отличающийся тем, что дополнительно содержит средство (56) для задержки нормализованного составного сигнала. 14. Радиочастотный приемник по п.10, отличающийся тем, что средство (34) для нормализации составного сигнала содержит средство для деления составного сигнала на абсолютное значение составного сигнала. 15. Радиочастотный приемник по п.10, отличающийся тем, что составной сигнал содержит множество цифромодулированных поднесущих и аналого-модулированную несущую. 16. Радиочастотный приемник по п.10, отличающийся тем, что дополнительно содержит средство (74) для плавного сопряжения выходного сигнала с составным сигналом для получения сопряженного выходного сигнала. 17. Радиочастотный приемник по п.16, отличающийся тем, что средство для плавного сопряжения выходного сигнала с составным сигналом для получения сопряженного выходного сигнала содержит средство для определения разности уровня мощности между действительным сигналом и отфильтрованным сигналом и средство для управления величиной выходного сигнала и величиной составного сигнала в ответ на упомянутую разность. 18. Радиочастотный приемник по п.15, отличающийся тем, что приблизительно половина частот, содержащихся в аналого-модулированной несущей, служит помехой множеству цифромодулированных поднесущих. РИСУНКИ
|
||||||||||||||||||||||||||

ej
(t)+d(t)
d(t)+d*(t)




