Патент на изобретение №2224972
|
||||||||||||||||||||||||||
(54) СИСТЕМА НАВЕДЕНИЯ УПРАВЛЯЕМОГО СНАРЯДА
(57) Реферат: Изобретение относится к области вооружения, в частности к артиллерийским управляемым снарядам с лазерной головкой самонаведения. Технический результат – повышение точности наведения. Согласно изобретению в систему наведения управляемого снаряда, содержащую рулевой привод, гироскоп инерциальный, переключатель режимов и головку самонаведения, включающую функциональные элементы, в том числе элемент ИЛИ, формирующий на своем выходе сигналы с фотоприемного устройства, выход “Захват” головки самонаведения соединен с первым входом первого элемента И и через инвертор с первым входом второго элемента И, вторые входы которых соединены со вторым и третьим выходами гироскопа инерциального, выход первого элемента И соединен со входом “Компенсация” головки самонаведения и с третьим входом первого элемента ИЛИ, второй вход которого соединен с первым выходом гироскопа инерциального, а его выход – со входом первого усилителя мощности, выход второго элемента И соединен со вторым входом второго элемента ИЛИ, выход которого соединен со входом второго усилителя мощности, выходы “+Z” и “-Z” головки самонаведения соединены с первыми входами третьего и четвертого элементов И соответственно, выходы третьего и четвертого элементов И соединены со входами третьего и четвертого усилителей мощности соответственно, выходы первого, второго, третьего и четвертого усилителей мощности соединены с первыми входами первой, второй, третьей и четвертой обмоток управления рулевого привода, а вторые входы обмоток управления, вход гироскопа инерциального и вход переключателя режимов соединены с источником питания бортовой аппаратуры, введены первый и второй ждущие мультивибраторы, пятый и шестой элементы И, третий элемент ИЛИ. Причем выход элемента ИЛИ головки самонаведения соединен со входом первого ждущего мультивибратора, выход которого соединен со входом второго ждущего мультивибратора, выход которого соединен с первым входом третьего элемента ИЛИ, второй вход которого соединен с выходом переключателя режимов. Выход третьего элемента ИЛИ соединен со вторыми входами третьего, четвертого, пятого и шестого элементов И, первые входы пятого и шестого элементов И соединены с выходами “-Y”, “+Y” головки самонаведения соответственно. Выходы пятого и шестого элементов И соединены с первыми входами первого и второго элементов ИЛИ соответственно. 2 ил. Изобретение относится к области вооружения, в частности к артиллерийским управляемым снарядам с лазерной головкой самонаведения. Известна система наведения управляемого снаряда [1], содержащая рулевой привод (РП), гироскоп инерциальный (ГИ), переключатель режимов и головку самонаведения (ГСН), включающую функциональные элементы, в том числе элемент ИЛИ с соответствующими связями, выход “Захват” головки самонаведения соединен с первым входом первого элемента И и через инвертор – с первым входом второго элемента И, вторые входы которых соединены соответственно со вторым и третьим выходами гироскопа инерциального, выход первого элемента И соединен со входом “Компенсация” ГСН и с третьим входом первого элемента ИЛИ, второй вход которого соединен с первым выходом гироскопа инерциального, а его выход – со входом первого усилителя мощности, выход второго элемента И соединен со вторым входом второго элемента ИЛИ, выход которого соединен со входом второго усилителя мощности, выходы головки самонаведения “-Y”, “+Y” соединены с первыми входами первого и второго элементов ИЛИ соответственно, выходы головки самонаведения “+Z”, “-Z” соединены с первыми входами третьего и четвертого элементов И, выходы третьего и четвертого элементов И соединены со входами третьего и четвертого усилителей мощности соответственно, выходы первого, второго, третьего и четвертого усилителей мощности соединены с первыми входами первой, второй, третьей и четвертой обмоток управления рулевого привода, а вторые входы обмоток управления, вход гироскопа инерциального и вход переключателя режимов соединены с источником питания бортовой аппаратуры. Существенным недостатком данной системы является недостаточная точность наведения при стрельбе на ближней зоне. Это связано с тем, что во избежание колебаний снаряда при стрельбе на ближней зоне при отработке начального рассогласования с помощью переключателя К1 отключается канал курса Z, a управление ведется только каналом Y. Однако управление одним каналом позволяет снизить колебания снаряда только при небольших угловых скоростях его вращения. Это объясняется следующим.
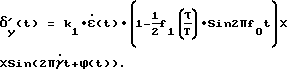
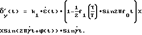
При одноканальном управлении, например, по методу пропорциональной навигации, используемому в прототипе, управляющий сигнал Uy‘(t) в одном из каналов управления вращающимся снарядом имеет следующий вид:![]() а угол отклонения рулей соответственно:![]() где Т – период следования импульсов подсвета (для частоты подсвета, например, ![]() длительность импульсов подсвета; амплитуда угловой скорости линии визирования цели; фаза угловой скорости линии визирования цели; величина линейной зоны головки самонаведения по угловой скорости линии визирования цели, при которой управляющий сигнал, формируемый головкой самонаведения, достигает максимального значения; угловая скорость вращения снаряда;k1 – коэффициент пропорциональности рулевого привода, определяемый при моделировании. При этом первая гармоника сигнала представляющего собой последовательность импульсов единичной амплитуды, следующих на частоте f0=20 Гц, может быть выражена в следующем виде:![]() функция, характеризующая коэффициент использования команды.
Тогда угол отклонения рулей может быть выражен в следующем виде:![]() В проекции на неподвижную (не связанную с вращением снаряда) ось Y угол отклонения рулей будет иметь следующее выражение: ![]() Данное выражение имеет в своем составе составляющую на частоте а именно ![]() При f0= 20 Гц и (8-9) Гц частота этой составляющей будет равняться (2-4) Гц, что соответствует или близко частотам собственных колебаний снаряда. Указанный факт приводит к недопустимо повышенным колебаниям снаряда, приводящим к снижению точности наведения системы при больших угловых скоростях вращения снаряда.
Задачей предлагаемого изобретения является повышение точности системы наведения при стрельбе по ближней зоне снарядами с различными угловыми скоростями вращения за счет использования двух каналов управления с одновременным ограничением по длительности максимальных команд, поступающих с головки самонаведения на рули по этим каналам. Это позволяет практически исключить появление колебаний снаряда, имеющего большой разброс угловых скоростей вращения при стрельбе на ближней зоне и тем самым повысить точность наведения предложенной системы.
Для достижения поставленной задачи в систему наведения управляемого снаряда, содержащую рулевой привод, гироскоп инерциальный, переключатель режимов и головку самонаведения, включающую функциональные элементы, в том числе элемент ИЛИ, формирующий на своем выходе сигналы с фотоприемного устройства, выход “Захват” головки самонаведения соединен с первым входом первого элемента И и через инвертор – с первым входом второго элемента И, вторые входы которых соединены соответственно со вторым и третьим выходами гироскопа инерциального, выход первого элемента И соединен со входом “Компенсация” головки самонаведения и с третьим входом первого элемента ИЛИ, второй вход которого соединен с первым выходом гироскопа инерциального, а его выход – со входом первого усилителя мощности, выход второго элемента И соединен со вторым входом второго элемента ИЛИ, выход которого соединен со входом второго усилителя мощности, выходы “+Z”, “-Z” головки самонаведения соединены с первыми входами третьего и четвертого элементов И соответственно, выходы третьего и четвертого элементов И соединены со входами третьего и четвертого усилителей мощности соответственно, выходы первого, второго, третьего и четвертого усилителей мощности соединены с первыми входами первой, второй, третьей и четвертой обмоток управления рулевого привода, а вторые входы обмоток управления, вход гироскопа инерциального и вход переключателя режимов соединены с источником питания бортовой аппаратуры, введены первый и второй ждущие мультивибраторы, пятый и шестой элементы И и третий элемент ИЛИ, причем выход элемента ИЛИ головки самонаведения соединен со входом первого ждущего мультивибратора, выход которого соединен со входом второго ждущего мультивибратора, выход которого соединен с первым входом третьего элемента ИЛИ, второй вход которого соединен с выходом переключателя режимов, а выход третьего элемента ИЛИ соединен со вторыми входами третьего, четвертого, пятого и шестого элементов И, первые входы пятого и шестого элементов И соединены с выходами “-Y”, “+Y” головки самонаведения соответственно, а выходы пятого и шестого элементов И соединены с первыми входами первого и второго элементов ИЛИ соответственно.
Введение в известную систему двух ждущих мультивибраторов и дополнительно двух элементов И и элемента ИЛИ с соответствующими связями обеспечило уменьшение максимальной длительности команды управления на ближней зоне с сохранением двух каналов управления, что позволило повысить точность наведения.
На фиг.1 приведена блок-схема предлагаемой системы, где: 1 – головка самонаведения, выполненная, например, как в прототипе, и содержащая фотоприемное устройство 25, усилители релейной и линейной следящих систем 26 и 28, пороговые устройства релейной и линейной следящих систем 27 и 34, схему ИЛИ 29, схемы суммарно-разностной обработки 30 и 33, пиковые детекторы 31, сумматор 32, селектор 35, формирователь выходных сигналов 36, схему нормирования 37, логическую схему 38, усилитель мощности 39, схему ШИМ 41, усилительно-преобразовательные элементы 40, обмотки катушек коррекции 42 и 43, обмотку компенсации силы тяжести 44 с соответствующими связями, 2 – гироскоп инерциальный с ламельным датчиком, выполненный, например, как в прототипе, 3 – рулевой привод, 4 – переключатель режимов, выполненный, например, как в прототипе, 5, 6 – первый и второй ждущие мультивибраторы, выполненные, например, на микросхемах 1533АГ3, 7, 8 – первый и второй элементы И, 9 – инвертор, 10 – третий элемент ИЛИ, 11, 12, 13, 14 – пятый, шестой, третий и четвертый элементы И, 15, 16 – первый и второй элементы ИЛИ, 17, 18, 19, 20 – первый, второй, третий и четвертый усилители мощности, 21, 22, 23, 24 – первая, вторая, третья и четвертая обмотки управления рулевого привода.
На фиг.2 приведены диаграммы работы системы.
Работает система наведения следующим образом.
Производится выстрел и снаряд летит по баллистической траектории. В расчетной точке траектории разарретируется и раскручивается ротор гироскопа инерциального 2, выходят на режим батареи питания бортовой аппаратуры и ГСН 1, отделяется блок носовой, открывается входной зрачок ГСН.
При подлете снаряда к цели и при приеме отраженных от цели импульсов лазерного излучения ГСН формирует сигнал “Захват” (фиг.2а), который, поступая на первый вход первого элемента И 7, разрешает прохождение сигналов с первого и второго выходов гироскопа инерциального 2 на вход “Компенсация ” ГСН 1 и в рулевой привод 3.
При вращении снаряда на первом и втором выходах ГИ 2 вырабатываются импульсы, суммарная длительность которых приблизительно равна половине периода вращения снаряда.
Под действием этого сигнала ось ГСН 1 будет стремиться разворачиваться в вертикальной плоскости вниз, а в ГСН при этом будет вырабатываться сигнал, компенсирующий влияние прецессии, обусловленной сигналом с инерциального гироскопа 2, при этом сигнал на выходе ГСН в процессе ее слежения за целью будет иметь следующий вид:![]() где f – функция, определяемая пеленгационной характеристикой ГСН; угловая скорость линии “снаряд-цель”; угловая скорость прецессии головки под действием сигнала “Компенсация” с гироскопа инерциального.
Указанный сигнал является исходным для формирования импульсов управления рулевым приводом автопилота (сигналов, вырабатываемых ГСН по выходам “+Y”; “-Y”, “+Z”, “-Z”) (фиг.2г).
При этом в начальный момент наведения, когда начальный промах максимален, по выходам “+Y”, “-Y”, “+Z”, “-Z” ГСН вырабатываются максимальные по величине команды, середина которых жестко привязана к импульсам подсветки цели, т.е. к сигналу Uc.вх., вырабатываемому релейными или линейными площадками ФПУ и поступающими с выхода элемента ИЛИ 29 ГСН (фиг.2б).
В зависимости от положения переключателя режимов система наведения работает в двух режимах.
Если переключатель замкнут – режим дальняя зона.
При работе в этом режиме на второй вход третьего элемента ИЛИ 10 через переключатель режимов поступает напряжение источника питания бортовой аппаратуры и на выходе третьего элемента ИЛИ 10 будет присутствовать сигнал логическая единица (фиг. 2в), который поступает на вторые входы третьего 13, четвертого 14, пятого 11 и шестого 12 элементов И и разрешает проход через них сигналов с выходов ГСН “+Y”,”-Y”, “+Z”, “-Z” без каких-либо изменений (фиг.2д).
Команды управления “+Y”, “-Y” поступают на первые входы первой 15 и второй 16 схем ИЛИ, где они суммируются с сигналами компенсации веса, поступающими на их вторые и третьи входы с гироскопа инерциального 2. С выходов первой 15 и второй 16 схем ИЛИ сигналы управления поступают через первый 17 и второй 18 усилители мощности на первую 21 и вторую 22 обмотки управления рулевым приводом 3.
Команды управления “+Z”, “-Z”, пройдя через третий 19 и четвертый 20 усилители мощности, поступают соответственно на третью 23 и четвертую 24 обмотки управления рулевым приводом 3.
Под действием этих сигналов происходит отклонение рулей, вследствие чего происходит уменьшение рассогласования между осью снаряда и оптической осью ГСН. Таким образом происходит наведение снаряда на цель.
Если переключатель режимов работы разомкнут – режим ближняя зона.
При работе в этом режиме на втором входе третьего логического элемента ИЛИ 10 присутствует логический ноль, т.к. переключатель режимов разомкнут.
Сигнал Uс.вх. с выхода элемента ИЛИ 29 поступает на вход первого ждущего мультивибратора 5 и на его выходе вырабатывается импульс (фиг.2е), фронт которого совпадает с фронтом входного сигнала, а длительность определяется исходя из выражения: =(Т-Кмах)/2,где Т – период следования импульсов подсветки, Кмах – необходимая максимальная команда управления, поступающая на рулевой привод. При этом сигналы с выходов ГСН “+Y”, “-Y”, “+Z”, “-Z” (фиг.2г), поступающие на первые входы третьего 13, четвертого 14, пятого 11 и шестого 12 элементов И не проходят на их выходы, т.к. на вторых входах этих элементов И присутствует сигнал логического нуля с выхода третьего элемента ИЛИ 10 (фиг. 2з). По заднему фронту сигнала с выхода первого ждущего мультивибратора 5 запускается второй мультивибратор 6 и на его выходе формируется импульс (фиг. 2ж), длительность которого равна Кмах, – необходимая максимальная команда управления, поступающая на рулевой привод. При этом сигналы с выходов ГСН “+Y”, “-Y”, “+Z”, “-Z”, поступающие на первые входы третьего 13, четвертого 14, пятого 11 и шестого 12 элементов И пройдут на их выходы без изменения (фиг.2з), т.к. на вторых входах этих элементов И присутствует сигнал логической единицы с выхода третьего элемента ИЛИ 10, на первом входе которого присутствует сигнал с выхода второго ждущего мультивибратора 6 (фиг.2ж). По завершению формирования импульса вторым ждущим мультивибратором 6 сигнал логического нуля с его выхода, поступая на первый вход третьего элемента ИЛИ 10 и далее на вторые входы элементов И 11-14, запрещает прохождение сигналов с выхода ГСН (фиг.2з). Таким образом на выходах элементов И 11-14 формируются сигналы из сигналов, поступающих с выходов ГСН по длительности не более Кмах. Т.е. сигналы, длительность которых меньше Кмах, проходят без изменения, а сигналы, длительность которых больше Кмах., обрезаются до этой величины, причем середина входного сигнала и выходного сигнала остается жестко привязанной к сигналу Uс.вх. Команды управления “+Y”, “-Y” поступают на первые входы второй 16 и первой 15 схем ИЛИ, где они суммируются с сигналами компенсации веса, поступающими на ее второй и третий входы с гироскопа инерциального 2. С выходов первой 15 и второй 16 схем ИЛИ сигналы управления поступают через первый 17 и второй 18 усилители мощности на первую 21 и вторую 22 обмотки управления рулевым приводом 3. Команды управления “+Z”, “-Z”, пройдя через третий 19 и четвертый 20 усилители мощности, поступают соответственно на третью 23 и четвертую 24 обмотки управления рулевым приводом 3. Под действием этих сигналов происходит отклонение рулей, вследствие чего происходит уменьшение рассогласования между осью снаряда и оптической осью ГСН. Таким образом происходит наведение снаряда на цель. Таким образом за счет ограничения величины максимальных команд управления и сохранения двух каналов управления при стрельбе на ближней зоне снарядами с большим диапазоном угловых скоростей вращения удалось повысить точность наведения системы. Источник информации 1. “152-мм выстрел 3ВОФ64(3ВОФ93) с осколочно-фугасным управлением снарядом 3ОФ39 и зарядом 1 (уменьшенным переменным зарядом). Техническое описание и инструкция по эксплуатации 3ВОФ 64.00.00.000ТО (3ВОФ93.00.00.000ТО)”.- М.: Военное издательство, 1990, с. 59-64. Формула изобретения Система наведения управляемого снаряда, содержащая рулевой привод, гироскоп инерциальный, переключатель режимов и головку самонаведения, включающую функциональные элементы, в том числе элемент ИЛИ, формирующий на своем выходе сигналы с фотоприемного устройства, выход “Захват” головки самонаведения соединен с первым входом первого элемента И и через инвертор с первым входом второго элемента И, вторые входы которых соединены соответственно со вторым и третьим выходами гироскопа инерциального, выход первого элемента И соединен со входом “Компенсация” головки самонаведения и третьим входом первого элемента ИЛИ, второй вход которого соединен с первым выходом гироскопа инерциального, а его выход – со входом первого усилителя мощности, выход второго элемента И соединен со вторым входом второго элемента ИЛИ, выход которого соединен со входом второго усилителя мощности, выходы “+Z”, “-Z” головки самонаведения соединены с первыми входами третьего и четвертого элементов И соответственно, выходы третьего и четвертого элементов И соединены со входами третьего и четвертого усилителей мощности соответственно, выходы первого, второго, третьего и четвертого усилителей мощности соединены с первыми входами первой, второй, третьей и четвертой обмоток управления рулевого привода, а вторые входы обмоток управления, вход гироскопа инерциального и вход переключателя режимов соединены с источником питания бортовой аппаратуры, отличающаяся тем, что в нее введены первый и второй ждущие мультивибраторы, пятый и шестой элементы И и третий элемент ИЛИ, причем выход элемента ИЛИ головки самонаведения соединен со входом первого ждущего мультивибратора, выход которого соединен со входом второго ждущего мультивибратора, выход которого соединен с первым входом третьего элемента ИЛИ, второй вход которого соединен с выходом переключателя режимов, а выход третьего элемента ИЛИ соединен со вторыми входами третьего, четвертого, пятого и шестого элементов И, первые входы пятого и шестого элементов И соединены с выходами “-Y”, “+Y” головки самонаведения соответственно, а выходы пятого и шестого элементов И соединены с первыми входами первого и второго элементов ИЛИ соответственно. РИСУНКИ
|
||||||||||||||||||||||||||

Z, a управление ведется только каналом 
соответственно:

длительность импульсов подсвета;
амплитуда угловой скорости линии визирования цели;
фаза угловой скорости линии визирования цели;
величина линейной зоны головки самонаведения по угловой скорости линии визирования цели, при которой управляющий сигнал, формируемый головкой самонаведения, достигает максимального значения;
угловая скорость вращения снаряда;
представляющего собой последовательность импульсов единичной амплитуды, следующих на частоте f0=20 Гц, может быть выражена в следующем виде:
функция, характеризующая коэффициент использования команды.
Тогда угол отклонения рулей
может быть выражен в следующем виде:

а именно 
(8-9) Гц частота этой составляющей будет равняться (2-4) Гц, что соответствует или близко частотам собственных колебаний снаряда. Указанный факт приводит к недопустимо повышенным колебаниям снаряда, приводящим к снижению точности наведения системы при больших угловых скоростях вращения снаряда.
Задачей предлагаемого изобретения является повышение точности системы наведения при стрельбе по ближней зоне снарядами с различными угловыми скоростями вращения за счет использования двух каналов управления с одновременным ограничением по длительности максимальных команд, поступающих с головки самонаведения на рули по этим каналам. Это позволяет практически исключить появление колебаний снаряда, имеющего большой разброс угловых скоростей вращения при стрельбе на ближней зоне и тем самым повысить точность наведения предложенной системы.
Для достижения поставленной задачи в систему наведения управляемого снаряда, содержащую рулевой привод, гироскоп инерциальный, переключатель режимов и головку самонаведения, включающую функциональные элементы, в том числе элемент ИЛИ, формирующий на своем выходе сигналы с фотоприемного устройства, выход “Захват” головки самонаведения соединен с первым входом первого элемента И и через инвертор – с первым входом второго элемента И, вторые входы которых соединены соответственно со вторым и третьим выходами гироскопа инерциального, выход первого элемента И соединен со входом “Компенсация” головки самонаведения и с третьим входом первого элемента ИЛИ, второй вход которого соединен с первым выходом гироскопа инерциального, а его выход – со входом первого усилителя мощности, выход второго элемента И соединен со вторым входом второго элемента ИЛИ, выход которого соединен со входом второго усилителя мощности, выходы “+Z”, “-Z” головки самонаведения соединены с первыми входами третьего и четвертого элементов И соответственно, выходы третьего и четвертого элементов И соединены со входами третьего и четвертого усилителей мощности соответственно, выходы первого, второго, третьего и четвертого усилителей мощности соединены с первыми входами первой, второй, третьей и четвертой обмоток управления рулевого привода, а вторые входы обмоток управления, вход гироскопа инерциального и вход переключателя режимов соединены с источником питания бортовой аппаратуры, введены первый и второй ждущие мультивибраторы, пятый и шестой элементы И и третий элемент ИЛИ, причем выход элемента ИЛИ головки самонаведения соединен со входом первого ждущего мультивибратора, выход которого соединен со входом второго ждущего мультивибратора, выход которого соединен с первым входом третьего элемента ИЛИ, второй вход которого соединен с выходом переключателя режимов, а выход третьего элемента ИЛИ соединен со вторыми входами третьего, четвертого, пятого и шестого элементов И, первые входы пятого и шестого элементов И соединены с выходами “-Y”, “+Y” головки самонаведения соответственно, а выходы пятого и шестого элементов И соединены с первыми входами первого и второго элементов ИЛИ соответственно.
Введение в известную систему двух ждущих мультивибраторов и дополнительно двух элементов И и элемента ИЛИ с соответствующими связями обеспечило уменьшение максимальной длительности команды управления на ближней зоне с сохранением двух каналов управления, что позволило повысить точность наведения.
На фиг.1 приведена блок-схема предлагаемой системы, где: 1 – головка самонаведения, выполненная, например, как в прототипе, и содержащая фотоприемное устройство 25, усилители релейной и линейной следящих систем 26 и 28, пороговые устройства релейной и линейной следящих систем 27 и 34, схему ИЛИ 29, схемы суммарно-разностной обработки 30 и 33, пиковые детекторы 31, сумматор 32, селектор 35, формирователь выходных сигналов 36, схему нормирования 37, логическую схему 38, усилитель мощности 39, схему ШИМ 41, усилительно-преобразовательные элементы 40, обмотки катушек коррекции 42 и 43, обмотку компенсации силы тяжести 44 с соответствующими связями, 2 – гироскоп инерциальный с ламельным датчиком, выполненный, например, как в прототипе, 3 – рулевой привод, 4 – переключатель режимов, выполненный, например, как в прототипе, 5, 6 – первый и второй ждущие мультивибраторы, выполненные, например, на микросхемах 1533АГ3, 7, 8 – первый и второй элементы И, 9 – инвертор, 10 – третий элемент ИЛИ, 11, 12, 13, 14 – пятый, шестой, третий и четвертый элементы И, 15, 16 – первый и второй элементы ИЛИ, 17, 18, 19, 20 – первый, второй, третий и четвертый усилители мощности, 21, 22, 23, 24 – первая, вторая, третья и четвертая обмотки управления рулевого привода.
На фиг.2 приведены диаграммы работы системы.
Работает система наведения следующим образом.
Производится выстрел и снаряд летит по баллистической траектории. В расчетной точке траектории разарретируется и раскручивается ротор гироскопа инерциального 2, выходят на режим батареи питания бортовой аппаратуры и ГСН 1, отделяется блок носовой, открывается входной зрачок ГСН.
При подлете снаряда к цели и при приеме отраженных от цели импульсов лазерного излучения ГСН формирует сигнал “Захват” (фиг.2а), который, поступая на первый вход первого элемента И 7, разрешает прохождение сигналов с первого и второго выходов гироскопа инерциального 2 на вход “Компенсация ” ГСН 1 и в рулевой привод 3.
При вращении снаряда на первом и втором выходах ГИ 2 вырабатываются импульсы, суммарная длительность которых приблизительно равна половине периода вращения снаряда.
Под действием этого сигнала ось ГСН 1 будет стремиться разворачиваться в вертикальной плоскости вниз, а в ГСН при этом будет вырабатываться сигнал, компенсирующий влияние прецессии, обусловленной сигналом с инерциального гироскопа 2, при этом сигнал на выходе ГСН в процессе ее слежения за целью будет иметь следующий вид:
угловая скорость линии “снаряд-цель”;
угловая скорость прецессии головки под действием сигнала “Компенсация” с гироскопа инерциального.
Указанный сигнал является исходным для формирования импульсов управления рулевым приводом автопилота (сигналов, вырабатываемых ГСН по выходам “+Y”; “-Y”, “+Z”, “-Z”) (фиг.2г).
При этом в начальный момент наведения, когда начальный промах максимален, по выходам “+Y”, “-Y”, “+Z”, “-Z” ГСН вырабатываются максимальные по величине команды, середина которых жестко привязана к импульсам подсветки цели, т.е. к сигналу Uc.вх., вырабатываемому релейными или линейными площадками ФПУ и поступающими с выхода элемента ИЛИ 29 ГСН (фиг.2б).
В зависимости от положения переключателя режимов система наведения работает в двух режимах.
Если переключатель замкнут – режим дальняя зона.
При работе в этом режиме на второй вход третьего элемента ИЛИ 10 через переключатель режимов поступает напряжение источника питания бортовой аппаратуры и на выходе третьего элемента ИЛИ 10 будет присутствовать сигнал логическая единица (фиг. 2в), который поступает на вторые входы третьего 13, четвертого 14, пятого 11 и шестого 12 элементов И и разрешает проход через них сигналов с выходов ГСН “+Y”,”-Y”, “+Z”, “-Z” без каких-либо изменений (фиг.2д).
Команды управления “+Y”, “-Y” поступают на первые входы первой 15 и второй 16 схем ИЛИ, где они суммируются с сигналами компенсации веса, поступающими на их вторые и третьи входы с гироскопа инерциального 2. С выходов первой 15 и второй 16 схем ИЛИ сигналы управления поступают через первый 17 и второй 18 усилители мощности на первую 21 и вторую 22 обмотки управления рулевым приводом 3.
Команды управления “+Z”, “-Z”, пройдя через третий 19 и четвертый 20 усилители мощности, поступают соответственно на третью 23 и четвертую 24 обмотки управления рулевым приводом 3.
Под действием этих сигналов происходит отклонение рулей, вследствие чего происходит уменьшение рассогласования между осью снаряда и оптической осью ГСН. Таким образом происходит наведение снаряда на цель.
Если переключатель режимов работы разомкнут – режим ближняя зона.
При работе в этом режиме на втором входе третьего логического элемента ИЛИ 10 присутствует логический ноль, т.к. переключатель режимов разомкнут.
Сигнал Uс.вх. с выхода элемента ИЛИ 29 поступает на вход первого ждущего мультивибратора 5 и на его выходе вырабатывается импульс (фиг.2е), фронт которого совпадает с фронтом входного сигнала, а длительность определяется исходя из выражения:
=(Т-Кмах)/2,