Патент на изобретение №2150653
|
||||||||||||||||||||||||||
(54) СПОСОБ ФОРМИРОВАНИЯ ЭЛЕКТРОПРОВОДЯЩЕГО КАНАЛА ДЛЯ ДИСТАНЦИОННОГО ПОРАЖЕНИЯ ЭЛЕКТРОШОКОМ
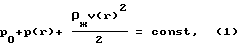
(57) Реферат: Изобретение относится к оружию с электрическими средствами поражения. Техническим результатом изобретения является повышение надежности, увеличение радиуса поражения и исключение нанесения увечий при поражении объекта. Сущность: электропроводящий канал для дистанционного поражения электрошоком формируется за счет выноса проводника из насадка струей жидкости и удержания его в этой струе. 1 з.п.ф-лы, 3 ил. Изобретение относится к оружию с электрическими средствами поражения (электрошоковые устройства) и может быть использовано при действии в чрезвычайных ситуациях). В настоящее время при использовании электрошоковых устройств возник ряд проблем, которые поставили под вопрос целесообразность применения таких устройств. Эти проблемы связаны непосредственно с тактикой применения, а именно – как передается электрошоковый импульс от устройства на объект воздействия (правонарушитель, агрессивное животное). Известен способ воздействия электрошоком путем непосредственного контакта электрошокового устройства с объектом: импульс передается через два коротких электрода после касания этими электродами тела объекта. Этот способ реализован в электрошоковых устройствах ЭШУ-12; ЭШУ-52; ЯНА-1; ЯНА-2 [1]. Недостатками этого способа является то, что приходится входить практически в контакт с объектом (длина устройства составляет несколько десятков сантиметров, а длина электродов несколько сантиметров), также лицу, использующему устройство, необходимо расчетливо его применять, не нанося тяжелые увечия объекту (правонарушитель, агрессивное животное), этот недостаток вытекает из конструкции электродов (при применении можно практически вонзить электроды в тело). Известен способ передачи электрошокового импульса электротайзером Modern Warrion Inc (Нью-Йорк-Сити) [2]. Передача импульса происходит по двум тонким проводником, которые выстреливаются из электрошокового устройства, на конце проводников находятся острые наконечники в виде иголок, имеющих длину несколько сантиметров и предназначенных для прокалывания верхней одежды объекта, на которого направлено воздействие. Недостатками этого способа являются: – диапазон действия при реализации этого способа заключен между 5-ю и 6-ю метрами, если необходимо воздействие электрошоком на более близком расстоянии, то появляется возможность нанести увечия объекту, так как иголки могут не только проколоть верхний слой одежды, но и вонзиться глубоко в тело, если применять устройство на расстояние больше 6-и метров, то иглы могут и не проколоть одежду и тем самым свести эффективность применения в нулю; – проводники во время полета могут скрещиваться и обрываться (тем самым шоковый импульс не проходит) [2] . Общим недостатком способов, описанных выше, является отсутствие возможности передачи электрошокового импульса на группу объектов. Известен способ передачи электрошокового импульса по струе токопроводящей жидкости (Портативное устройство для индивидуальной защиты, заявка РФ на изобретение N 93052106/08 от 17.11.93, МПК 6 F 41 B 15/04). Использование токопроводящей жидкости позволит поражать группу объектов, но недостатком при использовании такого способа является то, что дальность поражения сравнительно мала из-за высокого омического сопротивления струи токопроводящей жидкости. Эксперименты, проведенные авторами описываемого ниже изобретения, показали, что при трансформации токопроводящей жидкости в свободную струю низкое сопротивление этой струи (единицы кОм) наблюдается только на ламинарном участке (в экспериментах составил 8 -10 см при давлении 0,4 – 0,5 МПа и диаметре струи 2 – 3 мм). На расстоянии десятков сантиметров сопротивление становится десятки МОм, а на расстоянии более 3 метров достигает десятков ГОм. В экспериментах использовались: вода с удельным электрическим сопротивлением 10 – 12 Ом м; раствор поваренной соли и воды с удельным электрическим сопротивлением 0,2 – 0,23 Ом м. Изобретение направлено на увеличение радиуса действия электрошоковых устройств и поражения электрошоком групп объектов. Это достигается тем, что в предлагаемом способе реализация изобретения предлагает наличие устройства фиг. 1 (в данном описании представлено схематически для пояснения сущности изобретения, при реализации может иметь другую компановку и на условие “изобретательский уровень” не претендует). Суть изобретения заключается в следующем: тонкий проводник (тонкая проволока) 4, уложенный одним (большим) концом кольцами 11 (укладка может быть произведена и другим способом, но так, чтобы не происходило “спутывания” проводника и он мог свободно перемещаться) на дне диэлектрического резервуара 1, заполненного жидкостью 2, а другим (меньшим) концом в токопроводящем насадке 3, после начала истечения жидкости 2 под давлением P, создаваемым источником сжатого воздуха 7 (давление может создаваться и другими способами), увлекается образующейся струей 10 и доносится ей (струей) на объект 5, затем подается напряжение с источника 8 на насадок 3 и в цепи (источник 8 – проводник 4 – объект 5) протекает ток (амперметр 12). Амперметр 12 на фиг. 1 предназначен для наглядного представления цепи: источник 8 – проводник 4 – объект 5. При осуществлении изобретения может быть получен следующий результат, позволяющий осуществлять доставку проводника от электрошокового устройства с минимальным риском его обрыва, существенно увеличить дальность поражения, поражать объекты (группы объектов) в пределах радиуса действия без риска нанесения увечий, а также осуществлять хороший контакт между проволокой и одеждой объекта (например, если в качестве жидкости использовать воду). Указанный технический результат при осуществлении изобретения достигается тем, что в “Способе формирования электропроводящего канала для дистанционного поражения электрошоком” канал передачи электрической энергии формируется за счет кинетической энергии струи жидкости (определяющей длину канала), силы трения, возникающей между проводником и струей (вытягивающее действие) и подъемной силой, которая удерживает проводник внутри струи. Кроме того, в точке, куда ударяет струя при использовании в качестве рабочей жидкости воду, образуется надежный контакт (проводник – водная среда – интересующая проводящая точка). Проведенный заявителем анализ уровня техники, включающий поиск по патентным и научно-техническим источникам информации и выявление источников, содержащих сведения об аналогах заявленного изобретения, позволили установить, что заявитель не обнаружил источник, характеризующийся признаками, тождественными всем существенным признакам заявленного изобретения. Для проверки соответствия заявленного изобретения условию “изобретательский уровень” заявитель провел дополнительный поиск известных решений, чтобы выявить признаки, совпадающие с отличительными от прототипа признаками заявленного способа. Результаты поиска показали, что заявленное изобретение не вытекает для специалиста явным образом из известного уровня техники, поскольку из уровня техники, определенного заявителем, не выявленно влияние предусматриваемых существенными признаками заявленного изобретения преобразований для достижения технического результата. В частности, заявленным изобретением не предусматриваются следующие преобразования: – дополнение известного средства какой-либо известной частью, присоединяемой к нему по известным правилам, для достижения технического результата, в отношении которого установлено влияние именно такого дополнения; – замена какой-либо части известного средства другой известной частью для достижения технического результата, в отношении которого установлено влияние именно такой замены; – увеличение количества однотипных элементов действий, для усиления технического результата, обусловленного наличием в средстве именно таких элементов, действий; – выполнение известного средства или его части из известного материала для достижения технического результата, обусловленного известными свойствами этого материала; – создание средства, состоящего из известных частей, выбор которых и связь между которыми осуществлены на основании известных правил, рекомендаций, и достигаемый при этом технический результат обусловлен только известными свойствами частей этого средства и связей между ними. Описываемое изобретение не основано на изменении количественного признака, представлении таких признаков во взаимосвязи либо изменении ее вида. Следовательно, заявленное изобретение соответствует условию “изобретательский уровень”. Перечень фигур чертежей 1) Предлагаемое устройство для осуществления изобретения и схема проведения эксперимента. 2) Сила, удерживающая проводник внутри струи. 3) Сила, вытягивающая проводник из насадка. Изобретение основанно на использовании специфических свойств жидкостей средней вязкости, как-то: смачивание, хорошая текучесть, относительно большая плотность, и свойств тонких проводников, таких как эластичность и упругость. Способ формирования электропроводящего канала для дистанционного поражения электрошоком был экспериментально проверен опытным путем. Схема эксперимента представлена фиг. 1. На дне резервуара 1, изготовленного из стеклотекстолита и имеющего герметизированные отверстия для заправки жидкости и подачи сжатого воздуха (фиг. 1 не представлены в виду не влияния на процесс проведения эксперимента), укладывалась кольцами 11 тонкая проволока 4, свободный конец проволоки 4 продевался через трубопровод 9 в токопроводящий насадок 3, затем резервуар 1 заполнялся жидкостью (водой) 2, далее в резервуар 1 подавался сжатый воздух из источника сжатого воздуха 7 путем открытия вентиля 6, образующаяся струя 10 увлекала за собой проволоку 4 и доносила ее на объект 5, после попадания струи на объект 5 на насадок 3 подавалось напряжение (электрошоковый импульс) с источника 8, в цепи протекал ток, который фиксировался амперметром 12. Ниже приведены расчетные условия, при которых происходит вытягивание проволоки из насадка и удержание ее в струе. Рассмотрим два момента, связанных с способностью струи удерживать внутри себя тонкий проводник и вытягивать этот проводник из насадка (из которого вытекает эта струя). Уравнение Бернулли [3] , [4] дает связь между скоростью и давлением жидкости в слое жидкости радиусом r: ![]() где p0 – атмосферное давление; p – давление, обеспечиваемое насосом; динамический напор жидкости (в единицах давления); ж – плотность жидкости;pr – давление в слое жидкости; в [3] , [4] показало, что давление p в приповерхностных слоях струи больше, чем на ее оси за счет меньшего динамического напора, обусловленного скоростным слагаемым жv2/2.Будем считать, что проволока движется с той же скоростью, что и линия тока (жидкости) в том слое струи, где находится проволока. В этом случае на проволоку, находящуюся внутри струи жидкости, будет действовать сила, стремящаяся втянуть проволоку на ось струи фиг. 2. Очевидно условием удержания проволоки будет то состояние, когда проволока будет плавать вблизи оси струи. Функциональная зависимость скорости жидкости u у выхода из насадка от радиуса слоя жидкости в струе r описана в [3]. Из нее следует, что вид профиля скорости – квадратичная функция радиуса r. Внутри струи под действием силы тяжести проволока слегка затопляется по сравнению с ее осевым положением. При этом на границе жидкость-проволока возникает подъемная сила, противодействующая затоплению. Эта сила зависит от глубины погружения r и скорости жидкости в данном слое струи. Используя выражение для распределения скорости жидкости по радиусу из [3], для рассматриваемого случая в качестве оценки можно принять следующее выражение u(r): ![]() где u – скорость жидкости на оси струи; a – диаметр струи. Теперь для любого расстояния s от центра струи (s r) скорость равна![]() а скоростной параметр уравнения Бернулли можно будет записать как разность давлений: ![]() Подъемная сила, которая стремится втянуть проволоку к оси струи, выражается как: Fпод = Sпров ![]() p, (5)где Sпров – продольное сечение проволоки некоторого участка l фиг. 2 и равное Dl (D диаметр проволоки). Такое приближение обусловлено сравнительно малым диаметром проволоки по сравнению с диаметром струи. Теперь для Fпод можно записать: ![]() Погружение проволоки происходит до установления равенства Fпод. и веса проволоки на некотором участке l: Fпод.=mg, (7) где m – масса отрезка проволоки длиной l, g – ускорение свободного падения; отсюда для v(r) имеем: ![]() где пр – плотность проволоки.
Использовав формулу (4), можно определить “глубину погружения” проволоки в струе:![]() Для сохранения целостности струи необходимо выполнение условия r << a/2, (проволока должна находиться как можно ближе к середине), что приводит к неравенству: ![]() Условие (10) обеспечивает присутствие проволоки в наиболее быстром движущемся осевом слое жидкости, который, как будет показано ниже, увлекает за собой первоначально покоющуюся проволоку из насадка за счет вязкостных свойств жидкости. Силу, действующую на проволоку в продольной плоскости фиг. 3, можно определить следующим образом. Сила, действующая на элементарную площадку площадью S, помещенную в слой жидкости есть:![]() где dv/dr – поперечный градиент скорости; – коэффициент динамической вязкости жидкости.
Поскольку в данной оценке существенен градиент скорости жидкости по радиусу, получим уточненное распределение u(r), учитывающее скорость проволоки в струе, но считая ее расположенной по оси струи.
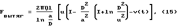
Уравнение Haвьe-Стока для жидкости в насадке в виде трубы имеет вид [3]:![]() где dp/dx – продольный градиент давления вдоль струи жидкости. Примем для простоты, что продольный градиент давления в нашем случае не отличается от такового при отсутствии проволоки, а также то, что скорость вдоль трубы постоянна и на оси трубы скорость течения равна скорости вытекания вязкой жидкости из трубы: ![]() где p – давление в резервуаре с жидкостью. Решение (12) при граничных условиях ![]() где v – скорость проволоки, дает: ![]() В соответствии с (11), учитывая, что S = Dl, получаем вытягивающую силу, действующую на отрезок проволоки длиной l:![]() где v(t) – зависимость изменения скорости участка проволоки длиной l во время ее вылета. Fвытяг – преодолевает некоторую силу трения, связанную с разматыванием проволоки. В формуле (15) пренебрегаем силой трения, поскольку считаем проволоку идеально эластичной и что на ее выпрямление из свернутого состояния при размотке энергия не затрачивается. Как ясно из кинематики пролета жидкости и проволоки, удержание проволоки в струе, в том числе в ее капельно-жидкой фазе, возможно при близких начальных скоростях проволоки и жидкости (происходит совместное движение двух сред). Отсюда следует, что условием существования проводящего канала является постоянное поддержание процесса вытягивания проволоки струей и выброс ее со скоростью, близкой к скорости струи. Технически данные условия осуществляются путем раскрутки большого куска проволоки, уложенной кольцами на дне резервуара. Экспериментально было установлено, что вытягивание проволоки из насадка и удержание его в струе возможно при выполнении следующих условий: – давление P в резервуаре, при котором происходит формирование струи, должно быть не менее 0,2 МПа (P>0,2 МПа); – отношение диаметра проволоки D к диаметру струи а должно быть не более 0,02 (D/a 0,02);– длина укладываемой проволоки L должна составлять не менее двух радиусов R поражения (L 2R), где:D – диаметр проволоки (проводника) в (м); a – диаметр струи в (м); L – длина укладываемой в резервуаре проволоки в (м); R – радиус поражения (расстояние, на которое доставляется проводник от устройства до объекта поражения). Эксперименты проводились с водяными струями (водопроводная вода) с a равным 1 мм (0,001 м) – 5 мм (0,005 м), в качестве проводника использовалась медная проволока марки ПЭЛ диаметром 0,05 мм – 0,08 мм. При использовании давления в резервуаре менее 0,2 МПа, а диаметров проводника и струи отношение которых составляло более 0,02, вытягивание проводника из насадка и удержания его в струе не происходило. При использовании длины проволоки менее двух радиусов поражения, электрошоковый импульс не фиксировался (или фиксировалось только его начало). Источники информации 1. Рекламные проспекты НИИ СТАЛИ. Москва, 1996 г. 2. “Security Manaqement”, March 1995, Vol. 39, N 3, pp 26 – 31. 3. Избыш С.В. Основы гидравлики М., Государственное издательство литературы по строительству и архитектуре. 1952 г., с. 27 – 42; 47 – 53; 115 – 138; 170 – 190; 202 – 212. 4. Ландау Л.Д., Лифшиц Е.М. Теоретическая физика, том 6, Гидродинамика. М. , “Наука”, Главная редакция физико-математической литературы 1986 г., с. 71 – 76. 5. Заявка РФ N 93052106/08, 6 F 41 B 15/04, от 17.11.93. “Портативное устройство для индивидуальной защиты”. Приданов М. М. , опубл. БИ N 29, 20.10.96, стр. 62. Формула изобретения
P 0,2 МПа;D/a 0,02;L 2R,где P – избыточное давление на жидкость внутри устройства, Па; D – диаметр проводника, м; a – диаметр струи, м; L – длина укладываемого проводника, м; R – радиус поражения, м. 2. Способ формирования электропроводящего канала для дистанционного поражения электрошоком по п.1, отличающийся тем, что материал проводника и жидкость выбирают из условия ![]() где u – скорость жидкости на оси струи, м/с; D – диаметр проводника, м; пр – плотность материала проводника, кг/м3; ж – плотность жидкости;g – ускорение свободного падения, м/c2. РИСУНКИ
MM4A Досрочное прекращение действия патента Российской Федерации на изобретение из-за неуплаты в установленный срок пошлины за поддержание патента в силе
Дата прекращения действия патента: 29.01.2002
Номер и год публикации бюллетеня: 13-2003
Извещение опубликовано: 10.05.2003
|
||||||||||||||||||||||||||


динамический напор жидкости (в единицах давления);
ж – плотность жидкости;
r) скорость равна


p, (5)




– коэффициент динамической вязкости жидкости.
Поскольку в данной оценке существенен градиент скорости жидкости по радиусу, получим уточненное распределение u(r), учитывающее скорость проволоки в струе, но считая ее расположенной по оси струи.
Уравнение Haвьe-Стока для жидкости в насадке в виде трубы имеет вид [3]:



Dl, получаем вытягивающую силу, действующую на отрезок проволоки длиной l:
2R), где: