Патент на изобретение №2224154
|
||||||||||||||||||||||||||
(54) КОСОЗУБАЯ ЦИЛИНДРИЧЕСКАЯ ЗУБЧАТАЯ ПЕРЕДАЧА ВНЕШНЕГО ЗАЦЕПЛЕНИЯ
(57) Реферат: изобретение относится к машиностроению и может быть использовано в главных редукторах, шестеренных клетях прокатных станов, в тяжело нагруженных приводах различных машин и механического оборудования. Косозубая цилиндрическая зубчатая передача внешнего зацепления содержит шестерню и колесо с эвольвентными профилями в середине высоты зубьев и выполнена с главными экстремальными напряжениями в верхнем активном слое зубьев при максимальной нагрузке, соответствующими начальной стадии пластического состояния верхнего активного слоя зубьев, в условиях естественной эксплуатации передачи. Высоты головки и ножки зубьев увеличены относительно стандартных на 0,25 модуля передачи, а их профили образованы дугой окружности, выпуклой на головках и вогнутой на ножках зубьев, при этом центр окружности совмещен с полюсом зацепления. Приведены зависимости для расчета критерия пластичности и дуги окружности профиля. Технический результат – повышение контактной прочности, плавность работы и прирабатываемость. 4 ил. Предлагаемое изобретение относится к машиностроению и может быть использовано в главных редукторах, шестеренных валках прокатных станов, в тяжело нагруженных приводах различных машин и механического оборудования. Известна косозубая цилиндрическая передача внешнего зацепления М.Л. Новикова /ГОСТ 15023-76 “Передачи Новикова цилиндрические с двумя линиями зацепления”/, которая обладает недостаточной нагрузочной способностью. Поэтому ГОСТ 15023-76 предусматривает передачи М.Л.Новикова с модулем до 16 мм, а промышленность в соответствии с действующим ОСТ 1597 производит зубчатые передачи с модулем до 50 мм. В тяжелом машиностроении широко распространенными модулями являются модули 20-40 мм. Широко известна эвольвентная зубчатая передача и ее различные модификации. В частности модификация фирмы Пикард /В.Д. Клепиков “Шевинг-процесс”, Машгиз, 1996 г./, виды модификаций эвольвентной передачи, представленные в книге М.Д. Генкинa, М.А. и Н.М. Рыжовых “Повышение надежности тяжело нагруженных зубчатых передач” /Машиностроение, 1981 г., стр.11-12, 22-23, рис.1.8 и рис. 1.17/, в книге Ю.Н. Сухорукова “Модификация эвольвентных цилиндрических зубчатых передач”, Киев, Техника, 1992 г., стр.68 и наконец модификация эвольвентной передачи по рекомендациям ГОСТ I3755-81 “Передачи зубчатые цилиндрические эвольвентные”. Все эти модифицированные передачи обладают одинаковыми недостатками, из которых главными являются: неравномерное изнашивание активных поверхностей зубьев, приобретение кинематической погрешности, возрастающей в условиях естественной эксплуатации передачи, недостаточная контактная прочность зубьев. Поэтому в качестве прототипа принята эвольвентная передача по ГОСТ 13755-81, а также потому, что она единственная производится и эксплуатируется во всех отраслях промышленности и является наиболее близкой к предлагаемой передаче по технической сущности и достигаемому эффекту. Прототип, эвольвентная цилиндрическая зубчатая передача, модифицированная по рекомендациям ГОСТ 13755-81, обладает следующими недостатками. В условиях естественной эксплуатации эвольвентная передача приобретает циклическую кинематическую погрешность, нарушается плавность работы, возникают и возрастают динамические силы, активные поверхности зубьев питтенгуют, снижается долговечность и КПД передачи. Эти недостатки вызваны неравномерным изнашиванием профилей зубьев в условиях естественной эксплуатации эвольвентной передачи. В полюсе зацепления величина износа практически равна нулю, так как здесь чистое качение /коэффициент трения качения fкач=0,008 см для термически улучшенной стали по стали в крупномодульных передачах; И.В.Крагельский, Н.Э. Виноградова “Трение и износ”, 1968 г., стр.266-278/. Величина износа от полюса зацепления по направлению к вершине и корню зуба возрастает до максимальной величины /коэффициент трения скольжения fск= 0,07-0,1; А.И.Петрусевич “Зубчатые и червячные передачи” в книге Детали машин, ГНТИ, 1951 г., стр.187/. Результатом неравномерного изнашивания является снижение плавности работы эвольвентной передачи, так как на выходном участке линии зацепления колесо отстает от номинального положения, потому что профиль зуба изношен /на валу колеса действует тормозной крутящий момент/. Затем на входном участке линии зацепления колесо должно вращаться ускоренно, чтобы вернуться в номинальное положение в полюсе зацепления, так как в полюсе зацепления износ профилей зубьев практически отсутствует. Соотношение сил трения на входе профилей зубьев в зацепление /на выходе из зацепления/ и в полюсе зацепления зубчатой передачи с геометрическими параметрами, представленными ниже в примере конкретного выполнения предложенной передачи, составляет: ![]() где Твх(вых)= F fск – сила трения на входе /выходе/ профилей в зацепление,F – сила, действующая вдоль линии зацепления, нормальная по отношению к профилям, сила трения качения в полюсе зацепления, p =16,3 см – приведенный радиус кривизны в полюсе зацепления,fск=0,07-0,1 – коэффициент трения проскальзывания профилей, fкач=0,008 см – коэффициент трения качения. Следовательно, сила трения проскальзывания на входе зубьев в зацепление и на выходе из зацепления примерно в 140 раз больше, чем в полюсе зацепления, поэтому неравномерность изнашивания профилей зубьев в эвольвентном зацеплении очень велика и в тяжело нагруженных передачах проявляется с самого начала эксплуатации передачи. Практически неизношенная околополюсная зона верхнего активного слоя зубьев работает при многократно повторяющейся нагрузке в пределах упругих деформаций. Межкристаллические молекулярные связи металла устают и ослабевают, поэтому на поверхности околополюсной неизношенной зоны возникают усталостные микротрещины. В эти микротрещины попадает масло, которое практически несжимаемо и действует как клин, углубляясь и продвигаясь по граням зерен металла с ослабленными вследствие усталости молекулярными связями. В результате выкрашиваются кусочки металла, образуются ямки, питтинги, которые в виде цепочки располагаются вдоль линии зубьев, из-за которых передача преждевременно выходит из строя. Как бы точно ни был изготовлен и смонтирован прототип в условиях естественной эксплуатации, его кинематическая точность неизбежно нарушается вследствие объективно существующего неравномерного изнашивания, при этом возникающая кинематическая погрешность растет, образуется питтинг, то есть снижается плавность работы и контактная прочность передачи. Из-за указанных недостатков прототип обладает недостаточными контактной прочностью и плавностью работы. Целью предлагаемого изобретения является повышение контактной прочности и плавности работы косозубой цилиндрической зубчатой передачи внешнего зацепления. Техническим результатом, за счет которого достигается поставленная цель и решаются задачи, являются: 1. Обеспечение начальной стадии пластического состояния верхнего активного слоя зубьев, когда в этом слое главные контактные напряжения при максимальной нагрузке из цикла нагружения передачи превышают предел упругой деформации зубчатого колеса. 2. Обеспечение жесткой стабильности передаточного числа передачи во время перераспределения металла верхнего активного слоя зубьев в условиях естественной эксплуатации передачи. Этот технический результат достигается тем, что косозубая цилиндрическая зубчатая передача внешнего зацепления выполнена с главными экстремальными напряжениями в верхнем активном слое зубьев при максимальной нагрузке, соответствующими начальной стадии пластического состояния верхнего активного слоя зубьев в условиях естественной эксплуатации передачи. Критерий начальной стадии пластичности верхнего активного слоя зубьев характеризуется зависимостью: 1– 3 = 2 т– ( 1+ 3),где наибольшее главное нормальное напряжение, 3 = -2![]() 1 – наименьшее главное нормальное напряжение, удельная сила нормального давления,Рn – сила нормального давления, ширина венца эквивалентного прямозубого цилиндрического зубчатого колеса,b – ширина венца косозубого колеса, – делительный угол линии зуба,Е – приведенный модуль упругости материалов шестерни и колеса, D1/D2/ – диаметр кривизны в полюсе зацепления шестерни /колеса/, – коэффициент Пуассона, т – предел текучести сдвига материала шестерни /колеса/, коэффициент, характеризующий влияние нормальных напряжений на образование пластических деформаций, т – физический предел текучести при простом /одноосном/ растяжении.
Высоты головки и ножки зубьев увеличены относительно стандартных на 0,25 модуля передачи, а их профили образованы дугой окружности:![]() где xк1 – кратчайшее расстояние от точки пересечения линии зацепления с окружностью вершин эвольвентных участков профилей зубьев колеса до линии центров шестерни и колеса, t – угол профиля в торцовой плоскости передачи, выпуклой на головках и вогнутой на ножках зубьев, при этом центр окружности совмещен с полюсом зацепления.
Признаки, отличающие предложенную передачу от прототипа, являются не только новыми, но и существенными, так как придают ей новые качества.
1. Во время эксплуатации предложенной передачи при максимальной нагрузке из цикла нагружений передачи верхний активный слой зубьев находится в начальной стадии пластического состояния, поэтому легко выравниваются контактные напряжения на всей активной поверхности зубьев путем перераспределения металла от участков с максимальными контактными напряжениями к участкам менее напряженным.
В околополюсной зоне предложенной передачи пластическое течение металла происходит быстрее, чем образование микротрещин от усталости металла, так как устает металл только тогда, когда работает при упругих деформациях, а если нет микротрещин, то нет и питтинга.
2. Предложенная передача вместо приобретения кинематической погрешности /возрастающей в процессе эксплуатации у прототипа/ повышает плавность работы, так как в процессе неизбежного изнашивания и пластического течения металла самовосстанавливает плавность работы, снижаются и выравниваются контактные напряжения, передача самосовершенствуется.
Благодаря дополнительным выпукло-вогнутым участкам профилей зубьев обеспечена необходимая плавность работы передачи во время полезного пластического течения металла.
Следует ожидать, что проскальзование эвольвентных профилей зубьев постепенно в условиях естественной эксплуатации трансформируется в чистое качение, так как потенциальная энергия всегда стремится к возможному минимуму, так как сила трения качения примерно в 140 раз меньше силы трения скольжения. Необходимые условия в предложенной передаче созданы.
Предложенная передача поясняется чертежами.
На фиг.1 изображена схема зацепления зубьев шестерни и колеса в торцовом сечении передачи. На фиг.2 изображена схема зацепления зубьев шестерни и колеса эквивалентной прямозубой передачи в полюсе зацепления; зубья контактируют по всей длине полюсной линии. На фиг.3 изображены в торцовом сечении два соприкасающихся цилиндра с параллельными осями, которые имитируют зубья прямозубой эквивалентной передачи, а также контактные напряжения, которые согласно теории Герца распределяются по эллиптическому закону. На фиг.4 изображена эвольвентная часть активной поверхности зуба передачи, направление движения контактной линии, приблизительный характер изнашивания эвольвентной части активной поверхности, сокращение длины контактных линий.
На фиг.1, 2, 3, 4 приняты следующие обозначения:1 – шестерня, 2 – колесо, 3 – зубья шестерни и колеса, 4 – верхний активный слой зубьев шестерни и колеса, К1Б и К2Г – эвольвентные профили в середине зубьев, h= 0,25 m – высота, на которую увеличены головка и ножка зубьев в сравнении со стандартными высотами головки и ножки зубьев,К1А и К2В, а также Б Д и Г Е – выпуклые на головках и вогнутые на ножках дополнительные участки профилей зубьев, очерченные дугой окружности радиуса , – радиус профильной окружности участков К1А и К2В, а также Б Д и Г Е профилей зубьев,xк1 – кратчайшее расстояние от точки К1 до линии центров O1O2, К1 – точка пересечения линии l-l зацепления с окружностью вершин эвольвентных участков профилей зубьев колеса 2, начало зацепления зубьев, К2 – точка пересечения линии l-l зацепления с окружностью вершин эвольвентных участков профилей зубьев шестерни I, конец зацепления зубьев, t – угол профиля в торцовой плоскости передачи,Р – полюс зацепления, радиус окружности выпукло-вогнутых участков профиля зубьев, 1( 2) – направление вращения шестерни /колеса/,О1(О2) – ось вращения шестерни /колеса/, xО2Y – система прямоугольных координат, rа1(rа2) – радиус окружности вершин зубьев шестерни /колеса/, rа1э(rа2э) – радиус окружности вершин эвольвентных участков профилей зубьев шестерни /колеса/. r1(r2) – радиус делительной окружности шестерни /колеса/, rf1(rf2) – радиус окружности впадин зубьев шестерни /колеса/, rк1(rк2) – радиус точки К1/К2/, l-l – линия зацепления эвольвентных профилей зубьев, Рn – сила нормального давления, b0 – ширина венцов /длина полюсной линии/ эквивалентной передачи, 1( 2) – радиус кривизны зубьев шестерни /колеса/ в полюсе зацепления, °1( °2) – радиусы соприкасающихся цилиндров,h’ – толщина верхнего активного слоя зубьев шестерни и колеса, О’, О” – оси цилиндров, rа1 о(rа2 о) – радиус окружности вершин зубьев шестерни /колеса/ эквивалентной прямозубой передачи, r1 о(r2 о) – радиус делительной окружности шестерни /колеса/ эквивалентной прямозубой передачи, rf1 о(rf2 о) – радиус окружности впадин шестерни /колеса/ эквивалентной прямозубой передачи, qо – наибольшее сжимающее напряжение вдоль контактной линии между цилиндрами, а также между зубьями прямозубой эквивалентной передачи вдоль полюсной линии и в предлагаемой передаче, а – полуширина прямоугольной площадки контакта, С=2а – ширина прямоугольной площадки контакта, Е – направление движения контактных линий, Ж-Ж – сечение зуба колеса, совмещенное с контактной линией, З – вид на зуб со стороны его торца, НОПС – неизношенная активная поверхность зуба, на которой расположена полюсная линия Т-Т, М – ширина неизношенной околополюсной зоны, b – угол наклона линии зуба на основном цилиндре, угол между полюсной линией Т-Т и контактной линией,И-И – укороченная длина контактной линии, соответствующая фазе зацепления зубьев в полюсе зацепления при наличии износа у вершины и корня зубьев, – условная величина износа у вершины и корня зуба,Ф-Ф – длина контактной линии в начале эксплуатации эвольвентной передачи. Предложенная передача содержит шестерню 1, фиг.1, и колесо 2 с эвольвентными профилями К1Б и К2Г в середине высоты зубьев 3. Главные экстремальные напряжения 1 и 3 в верхнем активном слое 4, фиг.2, зубьев 3 в условиях естественной эксплуатации передачи при максимальной величине нагрузки диаграммы нагружения выполнены соответствующими начальной стадии пластического состояния верхнего активного слоя 4.
При этом критерий пластичности характеризуется зависимостью: 1– 3 = 2 т– ( 1+ 3),где наибольшее главное нормальное напряжение, 3 = -2![]() 1/– наименьшее главное нормальное напряжение, удельная сила нормального давления,Рn – сила нормального давления, фиг.2, ширина венца эквивалентного прямозубого цилиндрического зубчатого колеса, фиг.2,b – ширина венца шестерни 1 и колеса 2, – угол наклона делительной линии зуба 3, приведенный модуль упругости материалов шестерни 1 и колеса 2,D1(D2) – диаметр кривизны в полюсе зацепления шестерни 1 /колеса 2/, коэффициент, характеризующий влияние нормальных напряжений на образование пластических деформаций, т – физический предел текучести при простом /одноосном/ растяжении.
Высоты головки и ножки зубьев увеличены / h, фиг.1/ каждая в сравнении со стандартными на 0,25 модуля передачи, а их профили образованы дугой окружности, фиг.1, с радиусом:![]() где xк1 – кратчайшее расстояние, фиг. 1, от точки К1 до линии О1О2 центров шестерни 1 и колеса 2, t – угол профиля, фиг.1, в торцовой плоскости передачи.
Участки профилей БД и ГЕ, фиг. 1, выполнены выпуклыми на головках и вогнутыми А К1 и В К2 на ножках зубьев 3, при этом центр окружности с радиусом совмещен с полюсом зацепления Р.
Пример конкретного выполнения предложенной передачи для шестеренных валков клетей черновой группы стана 2000 ОАО “Северсталь” взамен базовой эвольвентной передачи.
Исходные данные:Т1max= 720 тн.м – максимальный крутящий момент при захвате прокатываемой полосы, Т1=430 тн.м – крутящий момент во время проката полосы, n=16,82 об/мин – число оборотов шестеренных валков, m=40 мм – модуль нормальный передачи, Z1=Z2=31 – число зубьев на ведущем и ведомом валках, = 27, 661111o – угол наклона делительной линии зуба /передача шевронная/, =20o – угол профиля зуба инструментальной рейки,b=2000 мм – ширина венца. Материал ведомого и ведущего валков сталь 40ХН2МА, ГОСТ 8479-70, механические свойства: т = 65 кг/мм2 – предел текучести при растяжении, b 80 кг/мм2 – предел прочности при растяжении, bсж = 110 кг/мм2 – предел прочности при сжатии, т = 28 кг/мм2 – предел текучести при сдвиге,Е=2,04 106 кг/см2 – модуль упругости, ==0,3 – коэффициент Пуассона.
Все современные методы расчета зубьев на выносливость по контактной прочности основаны на применении теории статически сжатых тел, разработанной Герцем и развитой Н.М.Беляевым.
При расчете прямозубых передач в качестве сжатых тел используют цилиндры с радиусами, равными радиусам кривизны эвольвентного профиля зуба в полюсе зацепления, так как в полюсе зацепления максимальные контактные напряжения. Длина цилиндров равна ширине венца прямозубого колеса.
При расчете косозубых и шевронных передач пользуются теми же соотношениями, что и при расчете прямозубых передач, с той разницей, что прямозубая передача, эквивалентная косозубой /шевронной/ передаче, имеет большие размеры, чем косозубая /шевронная/ передача.
Определение эквивалентной передачи как условной, вспомогательной, узаконено в ГОСТ 16532-70 и применяется в этом качестве при расчете геометрии эвольвентных цилиндрических передач внешнего зацепления в ГОСТ 16532-70 /например, в табл.3, пункт 9, а также в приложении 1 к ГОСТ 16532-70 табл.3, пункт 4/.
Связь между параметрами эквивалентной прямозубой и косозубой /шевронной/ передачами представлена в книге М.С. Эйдинова “Расчет зубчатых и червячных передач”, ГНТИ, М. -С. , 1961, стр.91, 92. Без использования эквивалентной прямозубой передачи невозможно выполнить расчет геометрии, конструкцию и определить нагрузочную способность косозубой /шевронной/ эвольвентной передачи внешнего зацепления.
Определяем делительные диаметры, радиусы кривизны, силу нормального давления, ширину венцов эквивалентной прямозубой цилиндрической зубчатой передачи и параметры цилиндров, имитирующих контакт между зубьями косозубой передачи в соответствии с теорией Герца-Беляева.
Делительный диаметр эквивалентной шестерни /колеса/:![]() где делительный диаметр шестеренного валка.
Радиус кривизны эвольвентного профиля зуба эквивалентной шестерни /колеса/ в полюсе зацепления: °1 = °2 = r°1 sin = 305,2 мм.Диаметры цилиндров, имитирующих контакт шестеренных шевронных валков: D1 = D2 = 2 ![]() °1 = 610,4 мм.Ширина венцов эквивалентной передачи /длина цилиндров/: ![]() Коэффициент торцового перекрытия шестеренных валков: ![]() где tg a1 = tg a2, так как передаточное число u=1, угол профиля зуба у его вершины,db = d1 cos t = 1294,927 – диаметр основной окружности шевронного валка,sin b = sin![]() cos ; b = 25,864467 – угол наклона линии зуба на основном цилиндре, угол профиля в торцовом сечении шестеренных валков.
Сила нормального давления в эквивалентной передаче /в цилиндрах, имитирующих контакт шестеренных валков/, фиг.3:![]() где ![]() Удельная сила нормального давления: .
Определяем наибольшее сжимающее напряжение, фиг.2, 3, и ширину с, фиг.3, прямоугольной площадки контакта двух цилиндров с параллельными осями, имитирующих контакт зубьев шестестеренных валков /”Машиностроение. Энциклопедический справочник”, ГНТИ, М., 1948 г., т.1, кн.2, стр.357, табл.43, пункт 2/.
Наибольшее давление по линии контакта, равное наибольшему сжимающему напряжению при Е1=Е2=Е и 1 = 2 = 0,3, составляет, фиг.3:![]() где D1 = D2 = 2 1 = 2 °1 = 61,04 см.Ширина прямоугольной площадки контакта составляет, фиг.3: ![]() Полуширина площадки контакта составляет, фиг.3: а=0,5 с=0,2594 см=2,594 мм.
Прежде чем определить главные экстремальные напряжения на линии контакта двух параллельных цилиндров, имитирующих контакт в шестеренных валках, необходимо определить компоненты этих напряжений.
Определяем компоненты главных экстремальных нормальных напряжений /МЭС, т.1, кн.2, стр.354/:![]() так как в нашем случае глубина “y” равна нулю потому, что мы определяем и рассматриваем нормальные контактные напряжения на поверхности площадки контакта, на линии контакта двух параллельных цилиндров. ![]() Главные экстремальные нормальные напряжения обозначаются 1 и 3, причем большее с учетом знака из определенных выше компонент обозначается 1, а меньшее с учетом знака обозначается 3 /MЭС, т.1, кн.2, стр.176/.
В связи с этим имеем:![]() Из уравнения критерия пластичности материала шестеренных валков 1– 3 = 2 т– ( 1+ 3) определяем т:![]() Проверяем правильность выполненных расчетов: ![]() Следовательно, при т = 2848,6 кг/см2, как минимальном, поверхностный активный слой зубьев шестеренных валков при нагрузке 720 тн.м будет работать в начальной стадии пластического состояния. Если при определении т /предел текучести при сдвиге/, соответствующем критерию пластичности в начальном состоянии выбранной стали, получается существенное отклонение в меньшую или большую сторону в сравнении с т выбранной или имеющейся стали для шестерни и колеса, то следует уменьшить или увеличить ширину венца шестерни и колеса, достигая при этом, чтобы т, удовлетворяющий критерию пластичности, был бы равен или немного больше т имеющейся стали.
Определяем геометрические параметры шестеренных валков, необходимые и достаточные для их выполнения.
С учетом выбранных исходных данных примера конкретного выполнения шестеренных валков прокатного стана 2000 основные геометрические параметры следующие:m=40 мм; Z1=Z2=31; ==27,661111o; b=2000 мм; ==20o; h*а=1,25 – коэффициент высоты головки зуба /стандартный h*а=1/; с*=0,133 – коэффициент радиального зазора.
Радиальный зазор: с=с* m=5,32 мм.
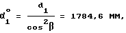
Высота зубьев h=hа+hf=2h*а m+с=105,32 мм,Угол профиля зуба в торцовом сечении шестеренного валка: ![]() Длительные диаметры: ![]() Диаметры вершин зубьев: dа1=dа2=d1+2m(h*а+x1– у)=1500 мм.
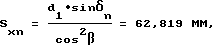
Диаметры впадин:df1=df2=d1-2m(h*а+С*-x1)=1289,36 мм. Межосевое расстояние: ![]() Шаг зацепления /основной нормальный шаг зубьев Рbn/: P = Pbn = ![]() m cos = 118,085 мм.Основной окружной шаг зубьев: ![]() Осевой шаг зубьев: ![]() Диаметр основной окружности: db1 = db2 = d1 cos t = 1294,923 мм.Угол наклона линии зуба на основном цилиндре: ![]() Модуль торцовый: ![]() Нормальная хордальная толщина зуба по делительному цилиндру: ![]() ![]() Высота до нормальной хордальной толщины зуба: ![]() Гарантированный боковой зазор: jn=0,46 мм. После допуска на толщину зубьев: 0,55 мм. Толщина зубьев с учетом гарантированного бокового зазора и поля допуска составляет: Sхn=61,36+0-0,55. Высота выпукло-вогнутых участков профиля у вершины зубьев составляет: hа b-b=0,25 m=10 мм.
Высота выпукло-вогнутых участков профиля у корня зубьев вместе с переходной кривой составляет:hf=hf b-b+c* m=15, 32 мм.
Радиус выпукло-вогнутых участков у вершины и корня зубьев составляет:![]() где xк1 определяем из системы двух уравнений, как одну из координат точки пересечения окружности вершин эвольвентных участков профилей зубьев /rа2э= 740 мм/ ведомого шестеренного валка и прямой – линии зацепления l-l, фиг.1: ![]() Отсюда имеем: x2-492,035 x-49284,91=0,xк1=-85,358 мм; ук1=735,061 мм. Изготовление предложенной передачи выполняют следующим образом. По широкоизвестным правилам настраивают кинематические цепи зубофрезерного станка: делительную цепь настраивают по заданному числу зубьев колеса, дифференциальную цепь настраивают по углу наклона линии зубьев, а цепь вертикальной подачи настраивают в зависимости от твердости обрабатываемого колеса. На столе станка устанавливают заготовку колеса с заданными допускаемыми торцовым и радиальным биениями. На суппорте станка устанавливают червячную фрезу /или резцовую головку с пальцевой фрезой/ с исходным контуром, соответствующим торцовому сечению предложенной передачи, и методом обкатки нарезают зубья шестерни и колеса. Во время работы предложенной передачи в условиях естественной эксплуатации в первый очень короткий период времени, когда величина износа на эвольвентном участке у вершины и корня зубьев меньше или равна величине упругой деформации от передаваемой нагрузки, контактные линии простираются по всей эвольвентной части активной поверхности зуба /ф-ф, фиг.4/, так как эвольвентная поверхность линейчатая, то есть целиком состоит из совокупности прямых линий. После того как величина износа у вершины и корня зубьев станет больше величины упругой деформации у вершины и корня зубьев, длина прямой контактной линии ф-ф начнет укорачиваться с обоих концов и превратится в И-И.
Изношенные и неизношенные эвольвентные участки активных поверхностей зубьев находятся в различных фазах зацепления зубьев, то есть контактные линии, соответствующие этим двум фазам зацепления зубьев, реализуются в разное время, не одновременно.
В связи с тем, что на неизношенном участке /НОПС, фиг.4/, расположенном по обе стороны полюсной линии Т-Т, контактные напряжения возросли, так как длина контактных линий сократилась, а также в связи с тем, что верхний активный слой 4, фиг.2, зубьев 3 при максимальной нагрузке циклограммы нагружения зубчатой передачи находится в начальной стадии пластического состояния, неизношенный участок /НОПС, фиг.4/ околополюсной зоны легко пластически деформируется.
Заполняются, восстанавливаются, не только немного изнасившиеся участки активной поверхности зубьев, но и благодаря пластическому течению металла выравниваются контактные напряжения, которые, как известно, в эвольвентной передаче распределяются неравномерно по активной поверхности зубьев.
Металл постепенно перемещается от наиболее напряженных участков к менее напряженным.
Таким образом в отличие от прототипа предложенная передача не приобретает кинематическую погрешность, увеличивающуюся в процессе эксплуатации прототипа.
Активные поверхности зубьев предложенной передачи не только освобождаются от неравномерного износа эвольвентных поверхностей зубьев вследствие наличия в эвольвентной передаче проскальзывания между взаимодействующими профилями зубьев, но и самосовершенствуется путем снижения максимальных контактных напряжений до их повсеместного выравнивания, приобретая устойчивую геометрию активных поверхностей зубьев.
Из рассмотрения фиг.4 следует, что укороченная контактная линия при своем движении по стрелке Е, на сохранившемся прямолинейном участке И-И выполняет прокатку металла неизношенной околополюсной зоны НОПС, фиг.4, еще до образования в этой зоне усталостных микротрещин.
В связи с тем, что b /фиг.4/ в косозубых передачах всегда меньше 90o, прокатка неизношенных участков активных поверхностей зубьев относится к виду поперечной прокатки, которая в данном случае осуществляется автоматически в процессе эксплуатации предложенной передачи, путем взаимодействия неизношенных активных участков зубьев шестерни и колеса через посредство укороченных контактных линий.
Известно, что именно усталостные микротрещины являются необходимым условием образования питтинга. Если нет усталостных микротрещин, если не нарушены молекулярные связи между кристаллическими зернами металла, то нет и питтинга. Например, открытые зубчатые передачи имеют повышенный износ от истирания в околополюсной зоне, поэтому микротрещины не успевают образовываться от усталости металла, так как активные поверхности зубьев все время обновляются. Поэтому открытые зубчатые передачи не питтенгуют.
Микротрещины образуются только от усталости металла, которая в зубчатых передачах бывает только тогда, когда контактные напряжения не превосходят предел упругой деформации.
В предложенной передаче верхний активный слой 4, фиг.2, зубьев 3 при максимальной нагрузке циклической диаграммы нагружения передачи работает за пределом упругой деформации, в начальной стадии пластического состояния металла.
Поэтому контактная прочность и плавность работы предложенной передачи существенно выше, чем прототипа.
В предложенной передаче независимо друг от друга функционируют две передачи. Одна эвольвентная, у которой поверхность зацепления является плоскостью, наклоненной под углом t по отношению к межосевому перпендикуляру передачи, и вторая передача, у которой две поверхности зацепления.
Эти поверхности зацепления представляют собой две части одного цилиндра с радиусом ось которого содержит полюс зацепления и параллельна осям шестерни и колеса. Одна часть цилиндрической поверхности зацепления образована движением от одного торца передачи к другому торцу контактной линии /дуги окружности с центром в полюсе зацепления/ между вогнутым участком профиля ножки зуба шестерни и выпуклым участком профиля головки зуба колеса.
Вторая часть цилиндрической поверхности зацепления образуется при таком же движении контактной линии /дуги той же окружности/ между выпуклым участком профиля зуба шестерни и вогнутым участком профиля на ножке зуба колеса.
Цилиндрические поверхности зацепления осуществляются двумя разными парами зацепляющихся зубьев одновременно, причем эти две пары зацепляющихся зубьев не являются смежными /соседними/, а отстоят друг от друга на расстоянии двух угловых шагов.
Благодаря этому в предложенной передаче обеспечивается постоянство передаточного числа /плавность работы/ передачи во время перераспределения металла верхнего активного слоя зубьев в условиях естественной эксплуатации передачи во время действия максимальной нагрузки.
Обеспечение начальной стадии пластического состояния верхнего активного слоя зубьев, благодаря которому осуществляли самовосстановление плавности работы и самосовершенствование передачи, достигается за счет выполнения критерия пластичности Геста-Мора /МЭС, т.1, кн.2, стр.189/.
Таким образом, поставленная цель – повышение контактной прочности и плавности работы косозубой цилиндрической зубчатой передачи внешнего зацепления, достигнута благодаря тому, что предложенная передача в условиях естественной эксплуатации самовосстанавливает и самосовершенствует активные поверхности зубьев за счет того, что главные нормальные напряжения в верхнем активном слое зубьев выполнены соответствующими начальной стадии пластического состояния активного слоя зубьев, а также благодаря обеспечению постоянства передаточного числа /плавности работы/ в процессе пластического деформирования металла при максимальной составляющей нагрузки передачи.
Ожидаемый экономический эффект от использования предложенной передачи складывается из эффекта от повышения нагрузочной способности /контактной выносливости, долговечности/ передачи и плавности работы тех органов машин и механизмов, в приводах которых она будет использоваться. Например от повышения долговечности прокатных и опорных валков прокатных станов.
Формула изобретения Косозубая цилиндрическая зубчатая передача внешнего зацепления, содержащая шестерню и колесо с эвольвентными профилями в середине высоты зубьев, отличающаяся тем, что выполнена с главными экстремальными напряжениями в верхнем активном слое зубьев при максимальной нагрузке, соответствующими начальной стадии пластического состояния верхнего активного слоя зубьев при критерии пластичности, характеризуемым зависимостью 1– 3=2 т– ( 1+ 3),
где – наибольшее главное нормальное напряжение;
3=-2![]() ![]() 1 – наименьшее главное нормальное напряжение;
– удельная сила нормального давления;
Рn – сила нормального давления;
– ширина венца эквивалентного прямозубого цилиндрического зубчатого колеса;
b – ширина венца косозубого колеса;
– угол наклона делительной линии зуба;
Е – приведенный модуль упругости материалов шестерни и колеса;
D1(D2) – диаметр кривизны в полюсе зацепления шестерни (колеса);
– коэффициент Пуассона;
т – предел текучести сдвига материала шестерни (колеса);
– коэффициент, характеризующий влияние нормальных напряжений на образование пластических деформаций;
т – физический предел текучести при простом (одноосном) растяжении,
при этом головки и ножки зубьев увеличены каждая в сравнении со стандартными на 0,25 модуля передачи, а их профили образованы дугой окружности
где хк1 – кратчайшее расстояние от точки пересечения линии зацепления с окружностью вершин эвольвентных участков профилей зубьев колеса до линии центров шестерни и колеса;
t – угол профиля в торцовой плоскости передачи, выпуклой на головках и вогнутой на ножках зубьев,
при этом центр окружности совмещен с полюсом зацепления.
РИСУНКИ
|
||||||||||||||||||||||||||


fск – сила трения на входе /выходе/ профилей в зацепление,
сила трения качения в полюсе зацепления,
p =16,3 см – приведенный радиус кривизны в полюсе зацепления,
1–
т–
(
наибольшее главное нормальное напряжение,
удельная сила нормального давления,
ширина венца эквивалентного прямозубого цилиндрического зубчатого колеса,
– делительный угол линии зуба,
коэффициент, характеризующий влияние нормальных напряжений на образование пластических деформаций,
t – угол профиля в торцовой плоскости передачи, выпуклой на головках и вогнутой на ножках зубьев, при этом центр окружности совмещен с полюсом зацепления.
Признаки, отличающие предложенную передачу от прототипа, являются не только новыми, но и существенными, так как придают ей новые качества.
1. Во время эксплуатации предложенной передачи при максимальной нагрузке из цикла нагружений передачи верхний активный слой зубьев находится в начальной стадии пластического состояния, поэтому легко выравниваются контактные напряжения на всей активной поверхности зубьев путем перераспределения металла от участков с максимальными контактными напряжениями к участкам менее напряженным.
В околополюсной зоне предложенной передачи пластическое течение металла происходит быстрее, чем образование микротрещин от усталости металла, так как устает металл только тогда, когда работает при упругих деформациях, а если нет микротрещин, то нет и питтинга.
2. Предложенная передача вместо приобретения кинематической погрешности /возрастающей в процессе эксплуатации у прототипа/ повышает плавность работы, так как в процессе неизбежного изнашивания и пластического течения металла самовосстанавливает плавность работы, снижаются и выравниваются контактные напряжения, передача самосовершенствуется.
Благодаря дополнительным выпукло-вогнутым участкам профилей зубьев обеспечена необходимая плавность работы передачи во время полезного пластического течения металла.
Следует ожидать, что проскальзование эвольвентных профилей зубьев постепенно в условиях естественной эксплуатации трансформируется в чистое качение, так как потенциальная энергия всегда стремится к возможному минимуму, так как сила трения качения примерно в 140 раз меньше силы трения скольжения. Необходимые условия в предложенной передаче созданы.
Предложенная передача поясняется чертежами.
На фиг.1 изображена схема зацепления зубьев шестерни и колеса в торцовом сечении передачи. На фиг.2 изображена схема зацепления зубьев шестерни и колеса эквивалентной прямозубой передачи в полюсе зацепления; зубья контактируют по всей длине полюсной линии. На фиг.3 изображены в торцовом сечении два соприкасающихся цилиндра с параллельными осями, которые имитируют зубья прямозубой эквивалентной передачи, а также контактные напряжения, которые согласно теории Герца распределяются по эллиптическому закону. На фиг.4 изображена эвольвентная часть активной поверхности зуба передачи, направление движения контактной линии, приблизительный характер изнашивания эвольвентной части активной поверхности, сокращение длины контактных линий.
На фиг.1, 2, 3, 4 приняты следующие обозначения:
h= 0,25
радиус окружности выпукло-вогнутых участков профиля зубьев,
1(
– условная величина износа у вершины и корня зуба,
наибольшее главное нормальное напряжение,
удельная сила нормального давления,
ширина венца эквивалентного прямозубого цилиндрического зубчатого колеса, фиг.2,
приведенный модуль упругости материалов шестерни 1 и колеса 2,
коэффициент, характеризующий влияние нормальных напряжений на образование пластических деформаций,
80 кг/мм2 – предел прочности при растяжении,
делительный диаметр шестеренного валка.
Радиус кривизны эвольвентного профиля зуба эквивалентной шестерни /колеса/ в полюсе зацепления:

угол профиля зуба у его вершины,
– угол наклона линии зуба на основном цилиндре,
угол профиля в торцовом сечении шестеренных валков.
Сила нормального давления в эквивалентной передаче /в цилиндрах, имитирующих контакт шестеренных валков/, фиг.3:

.
Определяем наибольшее сжимающее напряжение, фиг.2, 3, и ширину с, фиг.3, прямоугольной площадки контакта двух цилиндров с параллельными осями, имитирующих контакт зубьев шестестеренных валков /”Машиностроение. Энциклопедический справочник”, ГНТИ, М., 1948 г., т.1, кн.2, стр.357, табл.43, пункт 2/.
Наибольшее давление по линии контакта, равное наибольшему сжимающему напряжению при Е1=Е2=Е и 



















ось которого содержит полюс зацепления и параллельна осям шестерни и колеса. Одна часть цилиндрической поверхности зацепления образована движением от одного торца передачи к другому торцу контактной линии /дуги окружности
– наибольшее главное нормальное напряжение;

– удельная сила нормального давления;
Рn – сила нормального давления;
– ширина венца эквивалентного прямозубого цилиндрического зубчатого колеса;
b – ширина венца косозубого колеса;
– коэффициент, характеризующий влияние нормальных напряжений на образование пластических деформаций;
где хк1 – кратчайшее расстояние от точки пересечения линии зацепления с окружностью вершин эвольвентных участков профилей зубьев колеса до линии центров шестерни и колеса;