Патент на изобретение №2223985
|
||||||||||||||||||||||||||
(54) ИНГИБИРОВАНИЕ ПОЖЕЛТЕНИЯ ЦЕЛЛЮЛОЗЫ И БУМАГИ С ИСПОЛЬЗОВАНИЕМ НИТРОКСИДОВ И ДРУГИХ СОВМЕСТНО ВВОДИМЫХ ДОБАВОК
(57) Реферат: Изобретение относится к способу предотвращения потери белизны (яркости) и повышения резистентности к пожелтению в целлюлозе и бумаге. Целлюлоза или бумага, все еще содержащая лигнин, включает от 0,001 до 5 мас.% затрудненного амина, выбранного из соединений формулы A*, D*, X*, Y*, Z*, АА*, ВВ*, СС*, DD* или IIId, IIIe, IV, V, VI, VII, VIII, где R – водород, в формуле A* n = 1, R1 – водород или алкил с 1-4 атомами углерода, в формуле D* у=1, R10 – водород или метил, R12 – алкил с 1-4 атомами углерода, Х – фосфат, фосфонат, карбонат, бикарбонат, нитрат, хлорид, бромид, бисульфит, сульфит, бисульфат, сульфат, борат, формиат, ацетат, бензоат, цитрат, оксалат, тартрат, акрилат, полиакрилат, фумарат, малеат, итаконат, гликолят, глюконат, малат, манделат, тиглат, аскорбат, полиметакрилат, карбоксилат нитрилотриуксусной кислоты, гидроксиэтилэтилендиаминтриуксусной кислоты, этилендиаминтетрауксусной кислоты или диэтилентриаминпентауксусной кислоты, диэтилентриаминпентаметиленфосфонат, алкилсульфонат или арилсульфонат, и общий заряд катионов h равен общему заряду анионов j, причем в формулах X*-DD*, IV-VIII, n= 2-3, G1 – водород, метил, этил, бутил или бензил, m=1-4, х=1-4, когда х=1, R1 и R2 каждый независимо обозначает алкил с 1-18 атомами углерода, алкил, прерванный 1-5 атомами кислорода, алкил, замещенный 1-5 гидроксильными группами, или алкил, одновременно прерванный указанными атомами кислорода и замещенный указанными гидроксильными группами; циклоалкил с 5-12 атомами углерода, аралкил с 7-15 атомами углерода, арил с 6-10 атомами углерода, или арил, замещенный 1-3 группами алкила с 1-8 атомами углерода, или R1 – водород, или R1 и R2 вместе – тетраметилен, пентаметилен, гексаметилен или 3-оксапентаметилен, когда х равняется 2, R1 – водород, алкил с 1-8 атомами углерода, алкил, прерванный 1 или 2 атомами кислорода, указанный алкил, замещенный гидроксильной группой, или алкил, одновременно прерванный указанными атомами кислорода и замещенный гидроксильной группой, R2 – алкилен с 2-18 атомами углерода, алкилен, прерванный 1-5 атомами кислорода, алкилен, замещенный 1-5 гидроксильными группами, или алкилен, одновременно прерванный указанными атомами кислорода и замещенный указанными гидроксильными группами; о-, м- или п-фенилен или указанный фенилен, замещенный 1 или 2 группами алкила с 1-4 атомами углерода, или R2-(СН2)kО[(СН2)kО]h(СН2)k-, где k= 2-4 и h= 1-40, или R1 и R2 вместе с двумя атомами азота, к которым они присоединены, обозначают пиперазин-1,4-диил, когда х равняется 3, R1 – водород, R2 – алкилен с 4-8 атомами углерода, прерванный одним атомом азота, когда х равняется 4, R1 – водород, R2 – алкилен с 6-12 атомами углерода, прерванный двумя атомами азота, R3 – водород, алкил с 1-8 атомами углерода, алкил, прерванный 1 или 2 атомами кислорода, алкил, замещенный гидроксильной группой, или алкил, одновременно прерванный указанными атомами кислорода и замещенный гидроксильной группой, р равняется 2 или 3 и Q – соль щелочного металла, аммоний или +(G1)4, в формуле DD* m равняется 2 или 3, когда m = 2, G – (CH2CHR-O)rCH2CHR-, где r равняется 0-3 и R – водород или метил, и когда m = 3, G – глицерин, при условии, что в формуле А*, где R1 – водород, Х не обозначает хлорид или бисульфат, и когда в формуле D*, где R10 – водород и R12 – метил, Х не обозначает хлорид или бисульфат; где в формулах IIId и IIIе В11 обозначает OE9 или NE11E12, E9 – алкил с 2-6 атомами углерода, прерванный 1 или 2 атомами кислорода, замещенный 2-3 гидроксильными группами или одновременно прерванный указанными атомами кислорода и замещенный указанными гидроксильными группами, или Е9 – алкил с 1-4 атомами углерода, замещенный карбоксильной группой или щелочным металлом, его аммониевой или низшей алкиламмониевой солью, или Е9 – алкил, замещенный группой -СООЕ10, где Е10 – метил или этил, и E8 – алкил с 3-5 атомами углерода, прерванный группой -СОО- или -СО-, или Е8 СН2(ОСН2СН2)аОСН3, где а = 1-4, или E8 – NHE7, где Е7 – алкил с 1-4 атомами углерода, Е11 – водород или алкил с 1-4 атомами углерода и E12 – CO-E13, где Е13 – алкил с 1-4 атомами углерода, причем алкил прерван 1 или 2 атомами кислорода, или Е13 – NHE14, где Е14 – алкил с 1-4 атомами углерода, при условии, что Е9 не является 2,3-дигидроксипропилом. В формулах IV, V, VI, VII и VIII Х – неорганический или органический анион. В формулах IIId и IIIе В11 – ОЕ9 или NE11E12, Е9– алкил с 2-6 атомами углерода, прерванный 1 или 2 атомами кислорода, замещенный 2-3 гидроксильными группами, или прерванный указанными атомами кислорода и замещенный указанными гидроксильными группами, или Е9 – алкил с 1-4 атома углерода, замещенный карбоксильной группой или щелочным металлом, его аммониевой или низшей алкиламмониевой солью, или Е9 – алкил, замещенный группой -СООЕ10, где Е10 – метил или этил, и Е9 – алкил с 3-5 атомами углерода, прерванный группой -СОО- или -СО-, или E8 – группа -СН2(ОСН2СН2)аОСН3, где а= 1-4, или E8 – NHE7, где Е7 – алкил с 1-4 атомами углерода; Е11 – водород или алкил с 1-4 атомами углерода и E12 – группа -CO-E13, где Е13 – алкил с 1-4 атомами углерода, причем алкил прерван 1 или 2 атомами кислорода, или E13 – NHE14, где Е14 – алкил с 1-4 атомами углерода; при условии, что Е9 не является 2,3-дигидроксипропилом; и где в формулах IV, V, VI, VII, VIII и Х обозначает неорганический или органический анион. Целлюлоза или бумага может содержать эффективное количество добавки, выбранной из группы абсорберов ультрафиолетового излучения, полимерных ингибиторов, флуоресцентных отбеливателей и металлических хелатообразующих агентов и их смесей. Способ предотвращения потери белизны и повышения степени резистентности к пожелтению целлюлозы или бумаги включает обработку целлюлозы или бумаги указанными соединениями. Изобретение позволяет предотвратить потерю степени белизны и повысить резистентность к пожелтению целлюлозы или бумаги, которая все еще содержит лигнин. 5 с. и 2 з.п. ф-лы, 55 табл. ![]() ![]() ![]() ![]() ![]() ![]() ![]() ![]() ![]() ![]() ![]() ![]() ![]() ![]() ![]()
Текст описания в факсимильном виде (см. графическую часть)
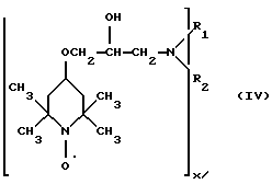
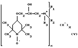
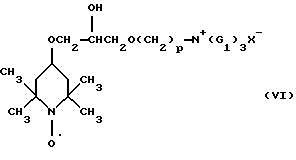
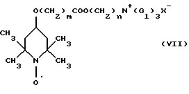
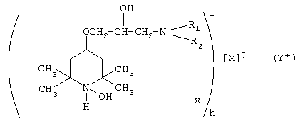
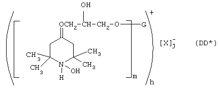
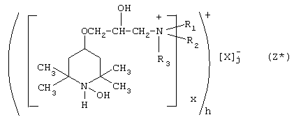
Формула изобретения 1. Целлюлоза или бумага, все еще содержащая лигнин, обладающая пониженной потерей белизны и повышенной степенью резистентности к пожелтению и включающая от 0,001 до 5 мас.%, в расчете на массу целлюлозы или бумаги затрудненного амина, выбранного из соединений формулы A*, D*, X*, Y*, Z*, АА*, ВВ*, СС*, DD*
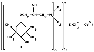
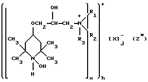
![]()
где R – водород,
в формуле А* n=1; R1 – водород или алкил с 1-4 атомами углерода, предпочтительно водород;
в формуле D* у=1; R10 – водород или метил, предпочтительно водород; R12 – алкил с 1-4 атомами углерода, предпочтительно метил; Х обозначает фосфат, фосфонат, карбонат, бикарбонат, нитрат, хлорид, бромид, бисульфит, сульфит, бисульфат, сульфат, борат, формиат, ацетат, бензоат, цитрат, оксалат, тартрат, акрилат, полиакрилат, фумарат, малеат, итаконат, гликолят, глюконат, малат, манделат, тиглат, аскорбат, полиметакрилат, карбоксилат нитрилотриуксусной кислоты, гидроксиэтилэтилендиаминтриуксусной кислоты, этилендиаминтетрауксусной кислоты или диэтилентриаминпентауксусной кислоты, диэтилентриаминпентаметиленфосфонат, алкилсульфонат или арилсульфонат, и
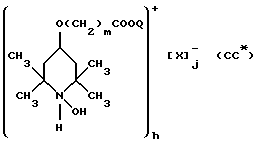
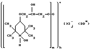
общий заряд катионов h равен общему заряду анионов j, причем в формулах X*-DD* n=2-3; G1 – водород, метил, этил, бутил или бензил; m=1-4; х=1-4; когда х=1,
R1 и R2 каждый независимо обозначает алкил с 1-18 атомами углерода, указанный алкил, прерванный 1-5 атомами кислорода, указанный алкил, замещенный 1-5 гидроксильными группами, или указанный алкил, одновременно прерванный указанными атомами кислорода и замещенный указанными гидроксильными группами; цнклоалкил с 5-12 атомами углерода, аралкил с 7-15 атомами углерода, арил с 6-10 атомами углерода, или указанный арил, замещенный 1-3 группами алкила с 1-8 атомами углерода, или R1 также обозначает водород, или R1 и R2 вместе обозначают тетраметилен, пентаметилен, гексаметилен или 3-оксапентаметилен; когда х=2,
R1 обозначает водород, алкил с 1-8 атомами углерода, указанный алкил, прерванный 1 или 2 атомами кислорода, указанный алкил, замещенный гидроксильной группой, или указанный алкил, одновременно прерванный указанными атомами кислорода и замещенный гидроксильной группой;
R2 обозначает алкилен с 2-18 атомами углерода, указанный алкилен, прерванный 1-5 атомами кислорода, указанный алкилен, замещенный 1-5 гидроксильными группами, или указанный алкилен, одновременно прерванный указанными атомами кислорода и замещенный указанными гидроксильными группами; о-, м- или п-фенилен или указанный фенилен, замещенный 1 или 2 группами алкила с 1-4 атомами углерода, или
R2 обозначает -(СH2)kO[(СH2)kО]h(СН2)k-, где k = 2-4 и
h=1-40, или R1 и R2 вместе с двумя атомами азота, к которым они присоединены, обозначают пиперазин-1,4-диил; когда х=3, R1 обозначает водород, R2 обозначает алкилен с 4-8 атомами углерода, прерванный одним атомом азота; когда х=4, R1 обозначает водород, R2 обозначает алкилен с 6-12 атомами углерода, прерванный двумя атомами азота, R3 обозначает водород, алкил с 1-8 атомами углерода, указанный алкил, прерванный 1 или 2 атомами кислорода, указанный алкил, замещенный гидроксильной группой, или указанный алкил, одновременно прерванный указанными атомами кислорода и замещенный гидроксильной группой; р=2 или 3 и
Q обозначает соль щелочного металла, аммоний или N+(G1)4,
в формуле DD* m=2 или 3; когда m=2, G обозначает -(CH2CHR-O)rCH2CHR-, где r=0-3 и R обозначает водород или метил, и
когда m=3, G обозначает глицерин, при условии, что в формуле А*, где R1 обозначает водород, Х не обозначает хлорид или бисульфат, и когда в формуле D*, где R10 обозначает водород и R12 обозначает метил, Х не обозначает хлорид или бисульфат;
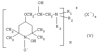
или выбранного из соединений формулы IIId, IIIe, IV, V, VI, VII или VIII
где в формулах IIId и IIIе
В11 обозначает ОЕ9 или NE11E12;
Е9 обозначает алкил с 2-6 атомами углерода, прерванный 1 или 2 атомами кислорода, замещенный 2-3 гидроксильными группами, или одновременно прерванный указанными атомами кислорода и замещенный указанными гидроксильными группами, или Е9 обозначает алкил с 1-4 атомами углерода, замещенный карбоксильной группой или щелочным металлом, его аммониевой или низшей алкиламмониевой солью, или Е9 обозначает алкил, замещенный группой –СООЕ10, где Е10 обозначает метил или этил, и
Е8 обозначает алкил с 3-5 атомами углерода, прерванный группой –СОО- или -СО-, или E8 обозначает группу –СH2(ОСН2CH2)аОСН3, где а=1-4, или
E8 обозначает группу -NHE7, где E7 обозначает алкил с 1-4 атомами углерода;
E11 обозначает водород или алкил с 1-4 атомами углерода;
E12 обозначает группу -CO-E13, где Е13 обозначает алкил с 1-4 атомами углерода, причем алкил прерван 1 или 2 атомами кислорода, или E13 обозначает группу –NHE14, где Е14 обозначает алкил с 1-4 атомами углерода, при условии, что Е9 не является 2,3-дигидроксипропилом,
и где в формулах IV, V, VI, VII и VIII
n=2-3;
G1 обозначает водород, метил, этил, бутил или бензил;
Х обозначает неорганический или органический анион;
m=1-4;
х=1-4;
когда х=1, R1 и R2 каждый независимо обозначает алкил с 1-18 атомами углерода, указанный алкил, прерванный 1-5 атомами кислорода, указанный алкил, замещенный 1-5 гидроксильными группами, или указанный алкил, одновременно прерванный указанными атомами кислорода и замещенный указанными гидроксильными группами; циклоалкил с 5-12 атомами углерода, аралкил с 7-15 атомами углерода, арил с 6-10 атомами углерода, или указанный арил, замещенный 1-3 группами алкила с 1-8 атомами углерода, или R1 также обозначает водород, или R1 и R2 вместе обозначают тетраметилен, пентаметилен, гексаметилен или 3-оксапентаметилен;
когда х=2, R1 обозначает водород, алкил с 1-8 атомами углерода, указанный алкил, прерванный 1 или 2 атомами кислорода, указанный алкил, замещенный гидроксильной группой, или указанный алкил, одновременно прерванный 1 или 2 атомами кислорода и замещенный гидроксильной группой, R2 обозначает алкилен с 2-18 атомами углерода, указанный алкилен, прерванный 1-5 атомами кислорода, указанный алкилен, замещенный 1-5 гидроксильными группами, или указанный алкилен, одновременно прерванный указанными атомами кислорода и замещенный указанными гидроксильными группами; о-, м- или п-фенилен или указанный фенилен, замещенный 1 или 2 группами алкила с 1-4 атомами углерода, или R2 обозначает -(CH2)kO[(CH2)kO]h(CH2)k-, где k=2-4 и
h=1-40, или R1 и R2 вместе с двумя атомами азота, к которым они присоединены, обозначают пиперазин-1,4-диил;
когда х=3, R1 обозначает водород; R2 обозначает алкилен с 4-8 атомов углерода, прерванный одним атомом азота,
когда х=4, R1 обозначает водород, R2 обозначает алкилен с 6-12 атомами углерода, прерванный двумя атомами азота; R3 обозначает водород, алкил с 1-8 атомами углерода, указанный алкил, прерванный 1 или 2 атомами кислорода, указанный алкил, замещенный гидроксильной группой, или указанный алкил, одновременно прерванный 1 или 2 атомами кислорода и замещенный гидроксильной группой,
р = 2 или 3;
Q обозначает соль щелочного металла, аммоний или N+(G1)4.
2. Целлюлоза или бумага по п.1, отличающаяся тем, что дополнительно содержит эффективное стабилизирующее количество по крайней мере одной совместно вводимой добавки, выбранной из группы, состоящей из абсорберов ультрафиолетового излучения, полимерных ингибиторов, флуоресцентных отбеливателей и металлических хелатообразующих агентов, а также их смесей.
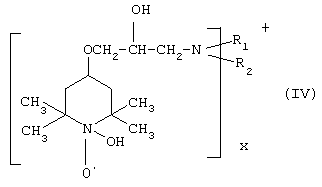
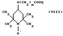
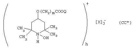
3. Соединение формулы IIId, IIIe, IV, V, VI, VII или VIII
![]()
где в формулах IIId и IIIe
В11 обозначает ОЕ9 или NE11E12;
Е9 обозначает алкил с 2-6 атомами углерода, прерванный 1 или 2 атомами кислорода, замещенный 2-3 гидроксильными группами, или прерванный указанными атомами кислорода и замещенный указанными гидроксильными группами, или Е9 обозначает алкил с 1-4 атома углерода, замещенный карбоксильной группой или щелочным металлом, его аммониевой или низшей алкиламмониевой солью, или Е9 обозначает алкил, замещенный группой –СООЕ10, где Е10 обозначает метил или этил;
E8 обозначает алкил с 3-5 атомами углерода, прерванный группой –СОО- или -СО-, или Е8 обозначает группу –CH2(OCH2CH2)aOCH3, где а=1-4, или E8 обозначает группу -NHE7, где E7 обозначает алкил с 1-4 атомами углерода;
Е11 обозначает водород или алкил с 1-4 атомами углерода;
E12 обозначает группу -СО-Е13, где E13 обозначает алкил с 1-4 атомами углерода, причем алкил прерван 1 или 2 атомами кислорода, или E13 обозначает группу –NHE14, где E14 обозначает алкил с 1-4 атомами углерода; при условии, что Е9 не является 2,3-дигидроксипропилом;
и где в формулах IV, V, VI, VII и VIII
n=2-3;
G1 обозначает водород, метил, этил, бутил или бензил;
Х обозначает неорганический или органический анион;
m=1-4;
х=1-4;
когда х=1, R1 и R2 каждый независимо обозначают алкил с 1-18 атомами углерода, указанный алкил, прерванный 1-5 атомами кислорода, указанный алкил, замещенный 1-5 гидроксильными группами, или указанный алкил, прерванный указанными атомами кислорода и замещенный указанными гидроксильными группами; циклоалкил с 5-12 атомами углерода, аралкил с 7-15 атомами углерода, арил с 6-10 атомами углерода, или указанный арил, замещенный 1-3 группами алкила с 1-8 атомами углерода, или R1 также обозначает водород, или R1 и R2 вместе обозначают тетраметилен, пентаметилен, гексаметилен или 3-оксапентаметилен;
когда х=2, R1 обозначает водород, алкил с 1-8 атомами углерода, указанный алкил, прерванный 1 или 2 атомами кислорода, указанный алкил, замещенный гидроксильной группой, или указанный алкил, одновременно прерванный 1-2 атомами кислорода и замещенный гидроксильной группой; R2 обозначает алкилен с 2-18 атомами углерода, указанный алкилен, прерванный 1-5 атомами кислорода, указанный алкилен, замещенный 1-5 гидроксильными группами, или указанный алкилен, одновременно прерванный указанными атомами кислорода и замещенный указанными гидроксильными группами; о-, м- или п-фенилен или указанный фенилен, замещенный 1 или 2 группами алкила с 1-4 атомами углерода, или R2 обозначает -(CH2)kO[(CH2)kO]h(CH2)k-, где к=2-4 и
h=1-40, или
R1 и R2 вместе с двумя атомами азота, к которым они присоединены, обозначают пиперазин-1,4-диил;
когда х=3, R1 обозначает водород, R2 обозначает алкилен с 4-8 атомами углерода, прерванный одним атомом азота,
когда х=4, R1 обозначает водород, R2 обозначает алкилен с 6-12 атомами углерода, прерванный двумя атомами азота, R3 обозначает водород, алкил с 1-8 атомами углерода, указанный алкил, прерванный 1 или 2 атомами кислорода, указанный алкил, замещенный гидроксильной группой, или указанный алкил, одновременно прерванный 1 или 2 атомами кислорода и замещенный гидроксильной группой, р=2 или 3 и Q обозначает соль щелочного металла, аммоний или N+(G1)4.
4. Соединение по п.3, отличающееся тем, что в соединениях формул IV-VIII
n=2; G1 обозначает водород или метил, Х обозначает хлор или бром, х=1 или 2; R1 и R2 каждый независимо один от другого обозначает С1-С8алкил, который может быть прерван 1 или 2 атомами кислорода, или замещен гидроксильной группой, или одновременно прерван 1 или 2 атомами кислорода и замещен гидроксильной группой, или R1 обозначает водород; R1 и R2 вместе обозначают 3-оксапентаметилен; R3 обозначает водород или С1-С2алкил, или указанный алкил, может быть замещен гидроксильной группой; p=2; m=1 и Q обозначает Na+, NH+4 или N(CH3)+4.
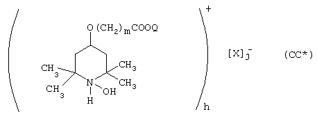
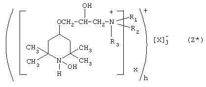
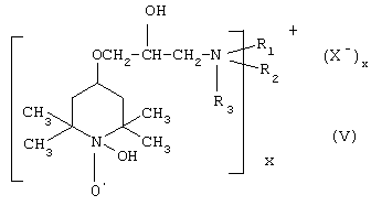
5. Соль гидроксиламина формулы A*, D*, X*, Y*, Z*, АА*, ВВ*,СС* или DD*
![]()
где R обозначает водород,
при этом в формуле А* n=1; R1 обозначает водород или алкил с 1-4 атомами углерода, предпочтительно водород;
в формуле D*
y=1; R10 обозначает водород или метил, предпочтительно водород; R12 обозначает алкил с 1-4 атомами углерода, предпочтительно метил; Х обозначает фосфат, фосфонат, карбонат, бикарбонат, нитрат, хлорид, бромид, бисульфит, сульфит, бисульфат, сульфат, борат, формиат, ацетат, бензоат, цитрат, оксалат, тартрат, акрилат, полиакрилат, фумарат, малеат, итаконат, гликолят, малат, манделат, тиглат, глюконат, аскорбат, полиметакрилат, карбоксилат нитрилотриуксусной кислоты, гидроксиэтилэтилендиамин-триуксусной кислоты, этилендиаминтетрауксусной кислоты или диэтилентриаминпентауксусной кислоты, диэтилентриаминпента-метиленфосфонат, алкилсульфонат или арилсульфонат, и общий заряд катионов h равен общему заряду анионов j,
причем в формулах X*-DD* n=2-3; G1 обозначает водород, метил, этил, бутил или бензил; m=1-4; х=1-4;
когда х=1, R1 и R2 каждый независимо обозначает алкил с 1-18 атомами углерода, указанный алкил, прерванный 1-5 атомами кислорода, указанный алкил, замещенный 1-5 гидроксильными группами, или указанный алкил, одновременно прерванный указанными атомами кислорода и замещенный указанными гидроксильными группами; циклоалкил с 5-12 атомами углерода, аралкил, с 7-15 атомами углерода, арил с 6-10 атомами углерода, или указанный арил, замещенный 1-3 группами алкила с 1-8 атомами углерода, или R1 также обозначает водород, или R1 и R2 вместе обозначают тетраметилен, пентаметилен, гексаметилен или 3-оксапентаметилен,
когда х=2, R1 обозначает водород, алкил с 1-8 атомами углерода, указанный алкил, прерванный 1 или 2 атомами кислорода, указанный алкил, замещенный гидроксильной группой, или указанный алкил, одновременно прерванный 1 или 2 атомами кислорода и замещенный гидроксильной группой; R2 обозначает алкилен с 2-18 атомами углерода, указанный алкилен, прерванный 1-5 атомами кислорода, указанный алкилен, замещенный 1-5 гидроксильными группами, или указанный алкилен, одновременно прерванный указанными атомами кислорода и замещенный указанными гидроксильными группами, о-, м- или п-фенилен или указанный фенилен, замещенный 1 или 2 группами алкила с 1-4 атомами углерода, или R2 обозначает -(CH2)kO[(CH2)kO]h(CH2)k-, где k=2-4 и
h=1-40, или R1 и R2 вместе с двумя атомами азота, к которым они присоединены, обозначают пиперазин-1,4-диил;
когда х=3, R1 обозначает водород, R2 обозначает алкилен с 4-8 атомами углерода, прерванный одним атомом азота;
когда х=4, R1 обозначает водород, R2 обозначает алкилен с 6-12 атомами углерода, прерванный двумя атомами азота, R3 обозначает водород, алкил с 1-8 атомами углерода, указанный алкил, прерванный 1 или 2 атомами кислорода, указанный алкил, замещенный гидроксильной группой, или указанный алкил, одновременно прерванный 1 или 2 атомами кислорода и замещенный гидроксильной группой, р=2 или 3 и Q обозначает соль щелочного металла, аммоний или N+(G1)4,
в формуле DD* m=2 или 3, когда m=2, G обозначает -(CH2CHR-O)rCH2CHR-, где r=0-3 и R обозначает водород или метил, и когда m=3, G обозначает глицерин, при условии, что в формуле А*, где R1 обозначает водород, Х не является хлоридом или бисульфатом, и
в формуле D*, где R10 обозначает водород и R12 обозначает метил, Х не является хлоридом или бисульфатом.
6. Способ предотвращения потери белизны и повышения степени резистентности к пожелтению химико-механической или термомеханической целлюлозы или бумаги, которая все еще содержит лигнин, в котором указанную целлюлозу или бумагу обрабатывают от 0,001 до 5 мас.%, в расчете на массу целлюлозы или бумаги, затрудненного амина, выбранного из соединений формул А*, D*, X*, Y*, Z*, АА*, ВВ*, СС*, DD* и IIId-VIII, имеющими значения, указанные в п.1.
7. Соединение затрудненного амина, выбранного из группы соединений формул А*, D*, X*, Y*, Z*, АА*, ВВ*, СС*, DD* и IIId-VIII, имеющими значения, указанные в п.1, для обработки химико-механической или термомеханической целлюлозы или бумаги, которая все еще содержит лигнин, для предотвращения потери белизны и повышения степени резистентности к пожелтению.
РИСУНКИ
MM4A – Досрочное прекращение действия патента СССР или патента Российской Федерации на изобретение из-за неуплаты в установленный срок пошлины за поддержание патента в силе
Дата прекращения действия патента: 15.07.2009
Извещение опубликовано: 20.09.2010 БИ: 26/2010
|
||||||||||||||||||||||||||
















Текст описания в факсимильном виде (см. графическую часть)

где R – водород,
в формуле А* n=1; R1 – водород или алкил с 1-4 атомами углерода, предпочтительно водород;
в формуле D* у=1; R10 – водород или метил, предпочтительно водород; R12 – алкил с 1-4 атомами углерода, предпочтительно метил; Х обозначает фосфат, фосфонат, карбонат, бикарбонат, нитрат, хлорид, бромид, бисульфит, сульфит, бисульфат, сульфат, борат, формиат, ацетат, бензоат, цитрат, оксалат, тартрат, акрилат, полиакрилат, фумарат, малеат, итаконат, гликолят, глюконат, малат, манделат, тиглат, аскорбат, полиметакрилат, карбоксилат нитрилотриуксусной кислоты, гидроксиэтилэтилендиаминтриуксусной кислоты, этилендиаминтетрауксусной кислоты или диэтилентриаминпентауксусной кислоты, диэтилентриаминпентаметиленфосфонат, алкилсульфонат или арилсульфонат, и
общий заряд катионов h равен общему заряду анионов j, причем в формулах X*-DD* n=2-3; G1 – водород, метил, этил, бутил или бензил; m=1-4; х=1-4; когда х=1,
R1 и R2 каждый независимо обозначает алкил с 1-18 атомами углерода, указанный алкил, прерванный 1-5 атомами кислорода, указанный алкил, замещенный 1-5 гидроксильными группами, или указанный алкил, одновременно прерванный указанными атомами кислорода и замещенный указанными гидроксильными группами; цнклоалкил с 5-12 атомами углерода, аралкил с 7-15 атомами углерода, арил с 6-10 атомами углерода, или указанный арил, замещенный 1-3 группами алкила с 1-8 атомами углерода, или R1 также обозначает водород, или R1 и R2 вместе обозначают тетраметилен, пентаметилен, гексаметилен или 3-оксапентаметилен; когда х=2,
R1 обозначает водород, алкил с 1-8 атомами углерода, указанный алкил, прерванный 1 или 2 атомами кислорода, указанный алкил, замещенный гидроксильной группой, или указанный алкил, одновременно прерванный указанными атомами кислорода и замещенный гидроксильной группой;
R2 обозначает алкилен с 2-18 атомами углерода, указанный алкилен, прерванный 1-5 атомами кислорода, указанный алкилен, замещенный 1-5 гидроксильными группами, или указанный алкилен, одновременно прерванный указанными атомами кислорода и замещенный указанными гидроксильными группами; о-, м- или п-фенилен или указанный фенилен, замещенный 1 или 2 группами алкила с 1-4 атомами углерода, или
R2 обозначает -(СH2)kO[(СH2)kО]h(СН2)k-, где k = 2-4 и
h=1-40, или R1 и R2 вместе с двумя атомами азота, к которым они присоединены, обозначают пиперазин-1,4-диил; когда х=3, R1 обозначает водород, R2 обозначает алкилен с 4-8 атомами углерода, прерванный одним атомом азота; когда х=4, R1 обозначает водород, R2 обозначает алкилен с 6-12 атомами углерода, прерванный двумя атомами азота, R3 обозначает водород, алкил с 1-8 атомами углерода, указанный алкил, прерванный 1 или 2 атомами кислорода, указанный алкил, замещенный гидроксильной группой, или указанный алкил, одновременно прерванный указанными атомами кислорода и замещенный гидроксильной группой; р=2 или 3 и
Q обозначает соль щелочного металла, аммоний или N+(G1)4,
в формуле DD* m=2 или 3; когда m=2, G обозначает -(CH2CHR-O)rCH2CHR-, где r=0-3 и R обозначает водород или метил, и
когда m=3, G обозначает глицерин, при условии, что в формуле А*, где R1 обозначает водород, Х не обозначает хлорид или бисульфат, и когда в формуле D*, где R10 обозначает водород и R12 обозначает метил, Х не обозначает хлорид или бисульфат;
или выбранного из соединений формулы IIId, IIIe, IV, V, VI, VII или VIII
где в формулах IIId и IIIе
В11 обозначает ОЕ9 или NE11E12;
Е9 обозначает алкил с 2-6 атомами углерода, прерванный 1 или 2 атомами кислорода, замещенный 2-3 гидроксильными группами, или одновременно прерванный указанными атомами кислорода и замещенный указанными гидроксильными группами, или Е9 обозначает алкил с 1-4 атомами углерода, замещенный карбоксильной группой или щелочным металлом, его аммониевой или низшей алкиламмониевой солью, или Е9 обозначает алкил, замещенный группой –СООЕ10, где Е10 обозначает метил или этил, и
Е8 обозначает алкил с 3-5 атомами углерода, прерванный группой –СОО- или -СО-, или E8 обозначает группу –СH2(ОСН2CH2)аОСН3, где а=1-4, или
E8 обозначает группу -NHE7, где E7 обозначает алкил с 1-4 атомами углерода;
E11 обозначает водород или алкил с 1-4 атомами углерода;
E12 обозначает группу -CO-E13, где Е13 обозначает алкил с 1-4 атомами углерода, причем алкил прерван 1 или 2 атомами кислорода, или E13 обозначает группу –NHE14, где Е14 обозначает алкил с 1-4 атомами углерода, при условии, что Е9 не является 2,3-дигидроксипропилом,
и где в формулах IV, V, VI, VII и VIII
n=2-3;
G1 обозначает водород, метил, этил, бутил или бензил;
Х обозначает неорганический или органический анион;
m=1-4;
х=1-4;
когда х=1, R1 и R2 каждый независимо обозначает алкил с 1-18 атомами углерода, указанный алкил, прерванный 1-5 атомами кислорода, указанный алкил, замещенный 1-5 гидроксильными группами, или указанный алкил, одновременно прерванный указанными атомами кислорода и замещенный указанными гидроксильными группами; циклоалкил с 5-12 атомами углерода, аралкил с 7-15 атомами углерода, арил с 6-10 атомами углерода, или указанный арил, замещенный 1-3 группами алкила с 1-8 атомами углерода, или R1 также обозначает водород, или R1 и R2 вместе обозначают тетраметилен, пентаметилен, гексаметилен или 3-оксапентаметилен;
когда х=2, R1 обозначает водород, алкил с 1-8 атомами углерода, указанный алкил, прерванный 1 или 2 атомами кислорода, указанный алкил, замещенный гидроксильной группой, или указанный алкил, одновременно прерванный 1 или 2 атомами кислорода и замещенный гидроксильной группой, R2 обозначает алкилен с 2-18 атомами углерода, указанный алкилен, прерванный 1-5 атомами кислорода, указанный алкилен, замещенный 1-5 гидроксильными группами, или указанный алкилен, одновременно прерванный указанными атомами кислорода и замещенный указанными гидроксильными группами; о-, м- или п-фенилен или указанный фенилен, замещенный 1 или 2 группами алкила с 1-4 атомами углерода, или R2 обозначает -(CH2)kO[(CH2)kO]h(CH2)k-, где k=2-4 и
h=1-40, или R1 и R2 вместе с двумя атомами азота, к которым они присоединены, обозначают пиперазин-1,4-диил;
когда х=3, R1 обозначает водород; R2 обозначает алкилен с 4-8 атомов углерода, прерванный одним атомом азота,
когда х=4, R1 обозначает водород, R2 обозначает алкилен с 6-12 атомами углерода, прерванный двумя атомами азота; R3 обозначает водород, алкил с 1-8 атомами углерода, указанный алкил, прерванный 1 или 2 атомами кислорода, указанный алкил, замещенный гидроксильной группой, или указанный алкил, одновременно прерванный 1 или 2 атомами кислорода и замещенный гидроксильной группой,
р = 2 или 3;
Q обозначает соль щелочного металла, аммоний или N+(G1)4.
2. Целлюлоза или бумага по п.1, отличающаяся тем, что дополнительно содержит эффективное стабилизирующее количество по крайней мере одной совместно вводимой добавки, выбранной из группы, состоящей из абсорберов ультрафиолетового излучения, полимерных ингибиторов, флуоресцентных отбеливателей и металлических хелатообразующих агентов, а также их смесей.
3. Соединение формулы IIId, IIIe, IV, V, VI, VII или VIII

где в формулах IIId и IIIe
В11 обозначает ОЕ9 или NE11E12;
Е9 обозначает алкил с 2-6 атомами углерода, прерванный 1 или 2 атомами кислорода, замещенный 2-3 гидроксильными группами, или прерванный указанными атомами кислорода и замещенный указанными гидроксильными группами, или Е9 обозначает алкил с 1-4 атома углерода, замещенный карбоксильной группой или щелочным металлом, его аммониевой или низшей алкиламмониевой солью, или Е9 обозначает алкил, замещенный группой –СООЕ10, где Е10 обозначает метил или этил;
E8 обозначает алкил с 3-5 атомами углерода, прерванный группой –СОО- или -СО-, или Е8 обозначает группу –CH2(OCH2CH2)aOCH3, где а=1-4, или E8 обозначает группу -NHE7, где E7 обозначает алкил с 1-4 атомами углерода;
Е11 обозначает водород или алкил с 1-4 атомами углерода;
E12 обозначает группу -СО-Е13, где E13 обозначает алкил с 1-4 атомами углерода, причем алкил прерван 1 или 2 атомами кислорода, или E13 обозначает группу –NHE14, где E14 обозначает алкил с 1-4 атомами углерода; при условии, что Е9 не является 2,3-дигидроксипропилом;
и где в формулах IV, V, VI, VII и VIII
n=2-3;
G1 обозначает водород, метил, этил, бутил или бензил;
Х обозначает неорганический или органический анион;
m=1-4;
х=1-4;
когда х=1, R1 и R2 каждый независимо обозначают алкил с 1-18 атомами углерода, указанный алкил, прерванный 1-5 атомами кислорода, указанный алкил, замещенный 1-5 гидроксильными группами, или указанный алкил, прерванный указанными атомами кислорода и замещенный указанными гидроксильными группами; циклоалкил с 5-12 атомами углерода, аралкил с 7-15 атомами углерода, арил с 6-10 атомами углерода, или указанный арил, замещенный 1-3 группами алкила с 1-8 атомами углерода, или R1 также обозначает водород, или R1 и R2 вместе обозначают тетраметилен, пентаметилен, гексаметилен или 3-оксапентаметилен;
когда х=2, R1 обозначает водород, алкил с 1-8 атомами углерода, указанный алкил, прерванный 1 или 2 атомами кислорода, указанный алкил, замещенный гидроксильной группой, или указанный алкил, одновременно прерванный 1-2 атомами кислорода и замещенный гидроксильной группой; R2 обозначает алкилен с 2-18 атомами углерода, указанный алкилен, прерванный 1-5 атомами кислорода, указанный алкилен, замещенный 1-5 гидроксильными группами, или указанный алкилен, одновременно прерванный указанными атомами кислорода и замещенный указанными гидроксильными группами; о-, м- или п-фенилен или указанный фенилен, замещенный 1 или 2 группами алкила с 1-4 атомами углерода, или R2 обозначает -(CH2)kO[(CH2)kO]h(CH2)k-, где к=2-4 и
h=1-40, или
R1 и R2 вместе с двумя атомами азота, к которым они присоединены, обозначают пиперазин-1,4-диил;
когда х=3, R1 обозначает водород, R2 обозначает алкилен с 4-8 атомами углерода, прерванный одним атомом азота,
когда х=4, R1 обозначает водород, R2 обозначает алкилен с 6-12 атомами углерода, прерванный двумя атомами азота, R3 обозначает водород, алкил с 1-8 атомами углерода, указанный алкил, прерванный 1 или 2 атомами кислорода, указанный алкил, замещенный гидроксильной группой, или указанный алкил, одновременно прерванный 1 или 2 атомами кислорода и замещенный гидроксильной группой, р=2 или 3 и Q обозначает соль щелочного металла, аммоний или N+(G1)4.
4. Соединение по п.3, отличающееся тем, что в соединениях формул IV-VIII
n=2; G1 обозначает водород или метил, Х обозначает хлор или бром, х=1 или 2; R1 и R2 каждый независимо один от другого обозначает С1-С8алкил, который может быть прерван 1 или 2 атомами кислорода, или замещен гидроксильной группой, или одновременно прерван 1 или 2 атомами кислорода и замещен гидроксильной группой, или R1 обозначает водород; R1 и R2 вместе обозначают 3-оксапентаметилен; R3 обозначает водород или С1-С2алкил, или указанный алкил, может быть замещен гидроксильной группой; p=2; m=1 и Q обозначает Na+, NH+4 или N(CH3)+4.
5. Соль гидроксиламина формулы A*, D*, X*, Y*, Z*, АА*, ВВ*,СС* или DD*

где R обозначает водород,
при этом в формуле А* n=1; R1 обозначает водород или алкил с 1-4 атомами углерода, предпочтительно водород;
в формуле D*
y=1; R10 обозначает водород или метил, предпочтительно водород; R12 обозначает алкил с 1-4 атомами углерода, предпочтительно метил; Х обозначает фосфат, фосфонат, карбонат, бикарбонат, нитрат, хлорид, бромид, бисульфит, сульфит, бисульфат, сульфат, борат, формиат, ацетат, бензоат, цитрат, оксалат, тартрат, акрилат, полиакрилат, фумарат, малеат, итаконат, гликолят, малат, манделат, тиглат, глюконат, аскорбат, полиметакрилат, карбоксилат нитрилотриуксусной кислоты, гидроксиэтилэтилендиамин-триуксусной кислоты, этилендиаминтетрауксусной кислоты или диэтилентриаминпентауксусной кислоты, диэтилентриаминпента-метиленфосфонат, алкилсульфонат или арилсульфонат, и общий заряд катионов h равен общему заряду анионов j,
причем в формулах X*-DD* n=2-3; G1 обозначает водород, метил, этил, бутил или бензил; m=1-4; х=1-4;
когда х=1, R1 и R2 каждый независимо обозначает алкил с 1-18 атомами углерода, указанный алкил, прерванный 1-5 атомами кислорода, указанный алкил, замещенный 1-5 гидроксильными группами, или указанный алкил, одновременно прерванный указанными атомами кислорода и замещенный указанными гидроксильными группами; циклоалкил с 5-12 атомами углерода, аралкил, с 7-15 атомами углерода, арил с 6-10 атомами углерода, или указанный арил, замещенный 1-3 группами алкила с 1-8 атомами углерода, или R1 также обозначает водород, или R1 и R2 вместе обозначают тетраметилен, пентаметилен, гексаметилен или 3-оксапентаметилен,
когда х=2, R1 обозначает водород, алкил с 1-8 атомами углерода, указанный алкил, прерванный 1 или 2 атомами кислорода, указанный алкил, замещенный гидроксильной группой, или указанный алкил, одновременно прерванный 1 или 2 атомами кислорода и замещенный гидроксильной группой; R2 обозначает алкилен с 2-18 атомами углерода, указанный алкилен, прерванный 1-5 атомами кислорода, указанный алкилен, замещенный 1-5 гидроксильными группами, или указанный алкилен, одновременно прерванный указанными атомами кислорода и замещенный указанными гидроксильными группами, о-, м- или п-фенилен или указанный фенилен, замещенный 1 или 2 группами алкила с 1-4 атомами углерода, или R2 обозначает -(CH2)kO[(CH2)kO]h(CH2)k-, где k=2-4 и
h=1-40, или R1 и R2 вместе с двумя атомами азота, к которым они присоединены, обозначают пиперазин-1,4-диил;
когда х=3, R1 обозначает водород, R2 обозначает алкилен с 4-8 атомами углерода, прерванный одним атомом азота;
когда х=4, R1 обозначает водород, R2 обозначает алкилен с 6-12 атомами углерода, прерванный двумя атомами азота, R3 обозначает водород, алкил с 1-8 атомами углерода, указанный алкил, прерванный 1 или 2 атомами кислорода, указанный алкил, замещенный гидроксильной группой, или указанный алкил, одновременно прерванный 1 или 2 атомами кислорода и замещенный гидроксильной группой, р=2 или 3 и Q обозначает соль щелочного металла, аммоний или N+(G1)4,
в формуле DD* m=2 или 3, когда m=2, G обозначает -(CH2CHR-O)rCH2CHR-, где r=0-3 и R обозначает водород или метил, и когда m=3, G обозначает глицерин, при условии, что в формуле А*, где R1 обозначает водород, Х не является хлоридом или бисульфатом, и
в формуле D*, где R10 обозначает водород и R12 обозначает метил, Х не является хлоридом или бисульфатом.
6. Способ предотвращения потери белизны и повышения степени резистентности к пожелтению химико-механической или термомеханической целлюлозы или бумаги, которая все еще содержит лигнин, в котором указанную целлюлозу или бумагу обрабатывают от 0,001 до 5 мас.%, в расчете на массу целлюлозы или бумаги, затрудненного амина, выбранного из соединений формул А*, D*, X*, Y*, Z*, АА*, ВВ*, СС*, DD* и IIId-VIII, имеющими значения, указанные в п.1.
7. Соединение затрудненного амина, выбранного из группы соединений формул А*, D*, X*, Y*, Z*, АА*, ВВ*, СС*, DD* и IIId-VIII, имеющими значения, указанные в п.1, для обработки химико-механической или термомеханической целлюлозы или бумаги, которая все еще содержит лигнин, для предотвращения потери белизны и повышения степени резистентности к пожелтению.