Патент на изобретение №2223958
|
||||||||||||||||||||||||||
(54) НОВЫЙ СПОСОБ ПОЛУЧЕНИЯ ИНГИБИТОРА ПРОТЕАЗЫ
(57) Реферат: Изобретение относится к новым промежуточным продуктам-соединениям: (R-)-3-гидрокси-3-(2-фенилэтил)гексановой кислоте, (6R)-5,6-дигидро-4-гидрокси-6-[1-(2-фенил)этил]-6-пропил-2Н-пиран-2-ону, [3 (R), 6(R)]-5,6-дигидро-4-гидрокси-3-[1-(3-нитрофенил)пропил] -6-[1-(2-фенил)этил] -6-пропил-2Н-пиран-2-ону, [3 (R), 6(R)] -5,6-дигидро-4-гидрокси-3-[(Z)-1-(3-нитрофенил)пропенил] -6-[1-(2-фенил)этил]-6-пропил-2Н-пиран-2-ону, а также к усовершенствованным способам получения промежуточного продукта формулы (CVI), где R1 представляет C1-С6алкил, -СН2-СН2-фенилR1-1, где R1-1 представляет Н, где R2 представляет C1-С6алкил, -СН2-СН2-фенилR1-1, где R1-1 представляет Н. Полученные промежуточные продукты используются для получения [R-(R*, R*)]-N-[3-[1-[5,6-дигидро-4-гидрокси-2-оксо-6-(2-фенилэтил)-6-пропил-2Н-пиран-3-ил] пропил] фенил] -5-(трифторметил)-2-пиридинсульфонамида, который представляет собой ингибитор протеазы, используемый при лечении людей, инфицированных вирусом ВИЧ. 6 с. и 24 з.п. ф-лы.
Текст описания в факсимильном виде (см. графическую часть)
Формула изобретения 1. (R)-3-Гидрокси-3-(2-фенилэтил)гексановая кислота (IV) и ее фармацевтически приемлемые соли. 2. Соединение по п.1, где фармацевтически приемлемые соли выбраны из (1R, 2S)-норэфедриновой соли кислоты соединения формулы (IV) или (1R, 2S)-норэфедриновой соли кислоты соединения формулы (IV). 3. Соединение по п.1, представляющее собой (1R,2S)-норэфедриновую соль (R)-3-гидрокси-3-(2-фенилэтил)гексановой кислоты. 4. (6R)-5,6-Дигидро-4-гидрокси-6-[1-(2-фенил)этил]-6-пропил-2Н-пиран-2-он. 5. [3 (R), 6(R)]5,6-Дигидро-4-гидрокси-3-[1-(3-нитрофенил)пропил]-6-[1-(2-фенил)этил]-6-пропил-2Н-пиран-2-он(ХVII).
6. [3 (R), 6(R)]5,6-Дигидро-4-гидрокси-3-[(Z)-1-(3-нитрофенил)пропенил]-6-[1-(2-фенил)этил]-6-пропил-2Н-пиран-2-он.
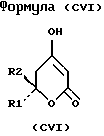
7. Способ получения гидроксилактона формулы (СVI)
где R1 представляет C1-С6алкил, -СН2-СН2-фенил R1-1, где R1-1 представляет Н, где R2 представляет С1-6алкил, -СН2-СН2-фенилR1-1, где R1-1 представляет Н,
включающий:
(1) контактирование (1R, 2S) норэфедриновой или (1S, 2R)норэфедриновой соли кислоты формулы (CIV):
с кислотой с получением свободной кислоты,
(2) экстракцию свободной кислоты из реакционной смеси,
(3) контактирование свободной кислоты с активирующим агентом, таким, как карбонил-диимидазол,
(4) контактирование реакционной смеси – свободная кислота/активирующий агент – со сложным моноэфиром малоновой кислоты и двухвалентным металлом,
(5) контактирование реакционной смеси стадии (4) с кислотой,
(6) контактирование реакционной смеси со стадии (5) с основанием в присутствии C1-C4спирта.
8. Способ получения гидроксилактона формулы (СVI)
где R1 представляет C1-C6алкил, -СН2-СН2-фенилR1-1, где R1-1 представляет Н,
R2 представляет C1-C6алкил, -СН2-СН2-фенилR1-1, где R1-1 представляет Н,
включающий:
(1) контактирование свободной кислоты соединения формулы (CIV)
с активирующим агентом, таким как карбонил-диимидазол,
(2) контактирование реакционной смеси – свободная кислота/активирующий агент – со сложным моноэфиром малоновой кислоты и двухвалентным металлом,
(3) контактирование реакционной смеси стадии (2) с кислотой,
(4) контактирование реакционной смеси со стадии (3) с основанием в присутствии C1-C4 спирта.
9. Способ получения гидроксилактона формулы (CVI) по п.7, отличающийся тем, что кислота на стадии (1) представляет собой неорганическую кислоту.
10. Способ получения гидроксилактона формулы (CVI) по п.9, отличающийся тем, что кислоту выбирают из группы, состоящей из хлороводородной кислоты, серной кислоты, фосфорной кислоты, бромоводородной кислоты, иодоводородной кислоты.
11. Способ получения гидроксилактона формулы (CVI) по п.7, отличающийся тем, что экстракцию свободной кислоты осуществляют неполярным органическим растворителем.
12. Способ получения гидроксилактона формулы (CVI) по п.11, отличающийся тем, что неполярный органический растворитель выбирают из группы, состоящей из хлористого метилена, толуола, бензола, метилацетата, этилацетата, метил-трет-бутилового простого эфира, диэтилового эфира и гексана.
13. Способ получения гидроксилактона формулы (CVI) по п.7, отличающийся тем, что способ стадии (4) осуществляют в присутствии основания.
14. Способ получения гидрокосилактона формулы (CVI) по п.8, отличающийся тем, что способ стадии (2) осуществляют в присутствии основания.
15. Способ получения гидроксилактона формулы (CVI) по п.14, отличающийся тем, что основание выбирают из группы, состоящей из пиридина, 4-N,N-диметиламинопиридина, диметиланилина, диэтиланилина, 2,6-лутидина, триэтиламина, трибутиламина и коллидина.
16. Способ получения гидроксилактона формулы (CVI) по п.7, отличающийся тем, что сложный моноэфир малоновой кислоты выбирают из группы, состоящей из KO-CO-CH2-CO-O-Re, где Re представляет C1-C4алкил или фенил.
17. Способ получения гидроксилактона формулы (CVI) по п.8, отличающийся тем, что сложный моноэфир малоновой кислоты выбирают из группы, состоящей из KO-CO-CH2-CO-O-Re, где Re представляет C1-C4алкил или фенил.
18. Способ получения гидроксилактона формулы (CVI) по пп.16 и 17, отличающийся тем, что сложный моноэфир малоновой кислоты представляет собой C1 или С2 сложный эфир.
19. Способ получения гидроксилактона формулы (CVI) по п.7, отличающийся тем, что двухвалентный металл выбирают из группы, состоящей из Mg+2, Са+2 и Zn+2.
20. Способ получения гидроксилактона формулы (CVI) по п.8, отличающийся тем, что двухвалентный металл выбирают из группы, состоящей из Mg+2, Са+2 и Zn+2.
21. Способ получения гидроксилактона формулы (CVI) по пп.19 и 20, отличающийся тем, что двухвалентный металл выбирают из группы, состоящей из Mg2.
22. Способ получения гидроксилактона формулы (CVI) по п.7, отличающийся тем, что кислоту на стадии (5) выбирают из неорганической кислоты.
23. Способ получения гидроксилактона формулы (CVI) по п.8, отличающийся тем, что кислоту на стадии (3) выбирают из неорганической кислоты.
24. Способ получения гидроксилактона формулы (CVI) по п.22 и 23, отличающийся тем, что кислоту выбирают из группы, состоящей из хлороводородной кислоты, серной кислоты, фосфорной кислоты, бромоводородной кислоты, иодоводородной кислоты.
25. Способ получения гидроксилактона формулы (CVI) по п.7, отличающийся тем, что основание на стадии (6) выбирают из группы, состоящей из органических оснований и неорганических оснований.
26. Способ получения гидроксилактона формулы (CVI) по п.8, отличающийся тем, что основание на стадии (4) выбирают из группы, состоящей из органических оснований и неорганических оснований.
27. Способ получения гидроксилактона формулы (CVI) по пп.25 и 26, отличающийся тем, что основание выбирают из группы, состоящей из гидроксида, C1-C4алкоксида и карбоната.
28. Способ получения гидроксилактона формулы (CVI) по п.7, отличающийся тем, что избыток сложного моноэфира малоновой кислоты удаляют экстракцией перед стадией контактирования реакционной смеси с основанием стадии (6).
29. Способ получения гидроксилактона формулы (CVI) по п.8, отличающийся тем, что избыток сложного моноэфира малоновой кислоты удаляют экстракцией перед стадией контактирования реакционной смеси с основанием стадии (4).
30. Способ получения гидроксилактона формулы (CVI) по пп.28 и 29, отличающийся тем, что сложный моноэфир малоновой кислоты удаляют экстракцией с использованием основания, выбранного из группы, состоящей из гидроксида, карбоната и бикарбоната.
РИСУНКИ
TK4A – Поправки к публикациям сведений об изобретениях в бюллетенях “Изобретения (заявки и патенты)” и “Изобретения. Полезные модели”
Страница: 792
Напечатано: (57) 2. …или (1R, 2S)- норэфедриновой соли кислоты соединения формулы (IV).
Следует читать: (57) 2. …или (1S, 2R)-норэфедриновой соли кислоты соединения формулы (IV).
Номер и год публикации бюллетеня: 16-2004 Номер и год публикации бюллетеня: 45-2004
Извещение опубликовано: 10.06.2004
TK4A – Поправки к публикациям сведений об изобретениях в бюллетенях “Изобретения (заявки и патенты)” и “Изобретения. Полезные модели”
Страница: 792
Напечатано: 7. …где R1
Следует читать: 7. …где R1
Номер и год публикации бюллетеня: 16-2004 Номер и год публикации бюллетеня: 45-2004
Извещение опубликовано: 10.06.2004
|
||||||||||||||||||||||||||

(R), 6(R)]-5,6-дигидро-4-гидрокси-3-[1-(3-нитрофенил)пропил] -6-[1-(2-фенил)этил] -6-пропил-2Н-пиран-2-ону, [3
Текст описания в факсимильном виде (см. графическую часть)
где R1 представляет C1-С6алкил, -СН2-СН2-фенил R1-1, где R1-1 представляет Н, где R2 представляет С1-6алкил, -СН2-СН2-фенилR1-1, где R1-1 представляет Н,
включающий:
(1) контактирование (1R, 2S) норэфедриновой или (1S, 2R)норэфедриновой соли кислоты формулы (CIV):
с кислотой с получением свободной кислоты,
(2) экстракцию свободной кислоты из реакционной смеси,
(3) контактирование свободной кислоты с активирующим агентом, таким, как карбонил-диимидазол,
(4) контактирование реакционной смеси – свободная кислота/активирующий агент – со сложным моноэфиром малоновой кислоты и двухвалентным металлом,
(5) контактирование реакционной смеси стадии (4) с кислотой,
(6) контактирование реакционной смеси со стадии (5) с основанием в присутствии C1-C4спирта.
8. Способ получения гидроксилактона формулы (СVI)
где R1 представляет C1-C6алкил, -СН2-СН2-фенилR1-1, где R1-1 представляет Н,
R2 представляет C1-C6алкил, -СН2-СН2-фенилR1-1, где R1-1 представляет Н,
включающий:
(1) контактирование свободной кислоты соединения формулы (CIV)
с активирующим агентом, таким как карбонил-диимидазол,
(2) контактирование реакционной смеси – свободная кислота/активирующий агент – со сложным моноэфиром малоновой кислоты и двухвалентным металлом,
(3) контактирование реакционной смеси стадии (2) с кислотой,
(4) контактирование реакционной смеси со стадии (3) с основанием в присутствии C1-C4 спирта.
9. Способ получения гидроксилактона формулы (CVI) по п.7, отличающийся тем, что кислота на стадии (1) представляет собой неорганическую кислоту.
10. Способ получения гидроксилактона формулы (CVI) по п.9, отличающийся тем, что кислоту выбирают из группы, состоящей из хлороводородной кислоты, серной кислоты, фосфорной кислоты, бромоводородной кислоты, иодоводородной кислоты.
11. Способ получения гидроксилактона формулы (CVI) по п.7, отличающийся тем, что экстракцию свободной кислоты осуществляют неполярным органическим растворителем.
12. Способ получения гидроксилактона формулы (CVI) по п.11, отличающийся тем, что неполярный органический растворитель выбирают из группы, состоящей из хлористого метилена, толуола, бензола, метилацетата, этилацетата, метил-трет-бутилового простого эфира, диэтилового эфира и гексана.
13. Способ получения гидроксилактона формулы (CVI) по п.7, отличающийся тем, что способ стадии (4) осуществляют в присутствии основания.
14. Способ получения гидрокосилактона формулы (CVI) по п.8, отличающийся тем, что способ стадии (2) осуществляют в присутствии основания.
15. Способ получения гидроксилактона формулы (CVI) по п.14, отличающийся тем, что основание выбирают из группы, состоящей из пиридина, 4-N,N-диметиламинопиридина, диметиланилина, диэтиланилина, 2,6-лутидина, триэтиламина, трибутиламина и коллидина.
16. Способ получения гидроксилактона формулы (CVI) по п.7, отличающийся тем, что сложный моноэфир малоновой кислоты выбирают из группы, состоящей из KO-CO-CH2-CO-O-Re, где Re представляет C1-C4алкил или фенил.
17. Способ получения гидроксилактона формулы (CVI) по п.8, отличающийся тем, что сложный моноэфир малоновой кислоты выбирают из группы, состоящей из KO-CO-CH2-CO-O-Re, где Re представляет C1-C4алкил или фенил.
18. Способ получения гидроксилактона формулы (CVI) по пп.16 и 17, отличающийся тем, что сложный моноэфир малоновой кислоты представляет собой C1 или С2 сложный эфир.
19. Способ получения гидроксилактона формулы (CVI) по п.7, отличающийся тем, что двухвалентный металл выбирают из группы, состоящей из Mg+2, Са+2 и Zn+2.
20. Способ получения гидроксилактона формулы (CVI) по п.8, отличающийся тем, что двухвалентный металл выбирают из группы, состоящей из Mg+2, Са+2 и Zn+2.
21. Способ получения гидроксилактона формулы (CVI) по пп.19 и 20, отличающийся тем, что двухвалентный металл выбирают из группы, состоящей из Mg2.
22. Способ получения гидроксилактона формулы (CVI) по п.7, отличающийся тем, что кислоту на стадии (5) выбирают из неорганической кислоты.
23. Способ получения гидроксилактона формулы (CVI) по п.8, отличающийся тем, что кислоту на стадии (3) выбирают из неорганической кислоты.
24. Способ получения гидроксилактона формулы (CVI) по п.22 и 23, отличающийся тем, что кислоту выбирают из группы, состоящей из хлороводородной кислоты, серной кислоты, фосфорной кислоты, бромоводородной кислоты, иодоводородной кислоты.
25. Способ получения гидроксилактона формулы (CVI) по п.7, отличающийся тем, что основание на стадии (6) выбирают из группы, состоящей из органических оснований и неорганических оснований.
26. Способ получения гидроксилактона формулы (CVI) по п.8, отличающийся тем, что основание на стадии (4) выбирают из группы, состоящей из органических оснований и неорганических оснований.
27. Способ получения гидроксилактона формулы (CVI) по пп.25 и 26, отличающийся тем, что основание выбирают из группы, состоящей из гидроксида, C1-C4алкоксида и карбоната.
28. Способ получения гидроксилактона формулы (CVI) по п.7, отличающийся тем, что избыток сложного моноэфира малоновой кислоты удаляют экстракцией перед стадией контактирования реакционной смеси с основанием стадии (6).
29. Способ получения гидроксилактона формулы (CVI) по п.8, отличающийся тем, что избыток сложного моноэфира малоновой кислоты удаляют экстракцией перед стадией контактирования реакционной смеси с основанием стадии (4).
30. Способ получения гидроксилактона формулы (CVI) по пп.28 и 29, отличающийся тем, что сложный моноэфир малоновой кислоты удаляют экстракцией с использованием основания, выбранного из группы, состоящей из гидроксида, карбоната и бикарбоната.


