Патент на изобретение №2223956
|
||||||||||||||||||||||||||
(54) СПОСОБ ПОЛУЧЕНИЯ ПРОИЗВОДНЫХ ПИРИДИНА
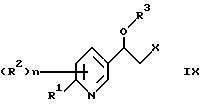
(57) Реферат: Настоящее изобретение относится к способу получения производных пиридина формулы IX ![]() в которой n=0, R1 – галоген, R2 – водород, R3 – силильная защитная группа, Х – галоген, метансульфонилокси, бензолсульфонилокси, п-толуолсульфонилокси, м-нитробензолсульфонилокси или п-нитробензолсульфонилокси. Соединения используются в качестве промежуточных соединений в синтезе агонистов -адренергических рецепторов. 5 с. и 18 з.п. ф-лы.
Текст описания в факсимильном виде (см. графическую часть)е
Формула изобретения 1. Способ получения производных пиридина формулы IX
где n представляет 0;
R1 представляет галоген;
R2 представляет водород;
R3 представляет силильную защитную группу;
Х представляет галоген, метансульфонилокси, бензолсульфонилокси, п-толуолсульфонилокси, м-нитробензолсульфонилокси или п-нитробензолсульфонилокси,
включающий взаимодействие соединения формулы X
где n, R1, R2 и Х – такие, как определено выше,
с силилирующим агентом в присутствии основания.
2. Способ по п.1, в котором силилирующим агентом является трет-бутилдиметилсилилхлорид, триэтилхлорсилан, триизопропилхлорсилан или дифенилметилхлорсилан.
3. Способ по п.1, в котором основание представляет собой триэтиламин, N,N-диизопропилэтиламин, имидазол, пиридин, 2,6-лутидин или N-метилморфолин.
4. Способ по п.1, в котором соединение формулы X
получают путем взаимодействия соединения формулы XI
где n, R1 и R2 – такие, как определено выше,
с сульфонилхлоридом в присутствии основания и, в случае, когда Х представляет галоген, путем дополнительной обработки галогенидом металла.
5. Способ по п.4, в котором сульфонилхлорид представляет собой п-толуолсульфонилхлорид, метансульфонилхлорид, м-нитробензолсульфонилхлорид, п-нитробензолсульфонилхлорид или бензолсульфонилхлорид.
6. Способ по п.4, в котором основание представляет собой триэтиламин, диизопропилэтиламин, пиридин, 2,4,6-коллидин или 2,6-лутидин.
7. Способ по п.4, в котором галогенид металла представляет собой хлорид лития.
8. Способ по п.4, в котором соединение формулы XI
получают путем взаимодействия соединения формулы XII
где n, R1 и R2 – такие, как определено выше,
с дигидроксилирующим агентом в присутствии или в отсутствии соокислителя и/или координирующего лиганда.
9. Способ по п.8, в котором дигидроксилирующим агентом является тетроксид осмия или перманганат калия.
10. Способ по п.8, в котором соокислителем является феррицианид калия, пероксид водорода, трет-бутилгидропероксид или Н-метилморфолин-N-оксид.
11. Способ по п.8, в котором координирующим лигандом является простой 1,4-фталазиндииловый диэфир гидрохинидина или простой 1,4-фталазиндииловый диэфир гидрохинина.
12. Способ по п.8, в котором соединение формулы XII
получают путем взаимодействия соединения формулы XIII
где n, R1 и R2 – такие, как определено выше,
с метилирующим реагентом.
13. Способ по п.12, в котором метилирующий реагент получают из метилтрифенилфосфонийбромида и трет-бутоксида калия.
14. Способ по п.12, в котором соединение формулы XIII
получают путем восстановления соединения формулы XIV
где n, R1 и R2 – такие, как определено выше,
восстановителем с последующим гидролизом кислотой или основанием.
15. Способ по п.14, в котором восстановителем является диизобутилалюминийгидрид.
16. Способ по п.14, в котором кислота представляет собой серную кислоту.
17. Способ получения производных пиридина формулы IX
где n представляет 0;
R представляет галоген;
R2 представляет водород;
R3 представляет силильную защитную группу;
Х представляет галоген, метансульфонилокси, бензолсульфонилокси, п-толуолсульфонилокси, м-нитробензолсульфонилокси или п-нитробензолсульфонилокси,
включающий: (а) взаимодействие соединения формулы XIV
где n, R1 и R2 – такие, как определено выше,
с восстановителем с последующим гидролизом кислотой или основанием;
(b) взаимодействие полученного таким образом промежуточного соединения формулы XIII
где n, R1 и R2 – такие, как определено выше,
с метилирующим агентом с образованием производного винилпиридина формулы XII
(с) взаимодействие производного винилпиридина, полученного на стадии (b), с дигидроксилирующим агентом в присутствии или в отсутствии соокислителя и/или координирующего лиганда с образованием соединения формулы XI
где n, R1 и R2 – такие, как определено выше,
(d) взаимодействие полученного таким образом соединения формулы XI с сульфонилхлоридом в присутствии основания с образованием соединения формулы Х
где n, R1, R2 и Х – такие, как определено выше,
и (е) взаимодействие полученного таким образом соединения формулы Х с силилирующим агентом в присутствии основания.
18. Соединение формулы XI
где n представляет 0;
R1 представляет галоген;
R2 представляет водород.
19. Соединение по п.18, которое представляет собой соединение формулы XI в форме R энантиомера
где R1 представляет хлор;
R2 представляет водород.
20. Соединение формулы XV
где n представляет 0;
R1 представляет галоген;
R2 представляет водород.
21. Соединение по п.20, которое представляет собой соединение формулы XV в форме R энантиомера
где R1 представляет хлор;
R2 представляет водород.
22. Соединение формулы IX
где n представляет 0;
R1 представляет галоген;
R2 представляет водород;
R3 представляет силильную защитную группу;
Х представляет галоген, метансульфонилокси, бензолсульфонилокси, п-толуолсульфонилокси, м-нитробензолсульфонилокси или п-нитробензолсульфонилокси.
23. Соединение по п.22, которое представляет собой соединение формулы IX в форме R энантиомера
где R1 представляет хлор;
R2 представляет водород;
R3 представляет трет-бутилдиметилсилил;
Х представляет п-толуолсульфонилокси.
РИСУНКИ
MM4A – Досрочное прекращение действия патента СССР или патента Российской Федерации на изобретение из-за неуплаты в установленный срок пошлины за поддержание патента в силе
Дата прекращения действия патента: 31.03.2006
Извещение опубликовано: 20.12.2007 БИ: 35/2007
|
||||||||||||||||||||||||||


-адренергических рецепторов. 5 с. и 18 з.п. ф-лы.
Текст описания в факсимильном виде (см. графическую часть)е
где n представляет 0;
R1 представляет галоген;
R2 представляет водород;
R3 представляет силильную защитную группу;
Х представляет галоген, метансульфонилокси, бензолсульфонилокси, п-толуолсульфонилокси, м-нитробензолсульфонилокси или п-нитробензолсульфонилокси,
включающий взаимодействие соединения формулы X
где n, R1, R2 и Х – такие, как определено выше,
с силилирующим агентом в присутствии основания.
2. Способ по п.1, в котором силилирующим агентом является трет-бутилдиметилсилилхлорид, триэтилхлорсилан, триизопропилхлорсилан или дифенилметилхлорсилан.
3. Способ по п.1, в котором основание представляет собой триэтиламин, N,N-диизопропилэтиламин, имидазол, пиридин, 2,6-лутидин или N-метилморфолин.
4. Способ по п.1, в котором соединение формулы X
получают путем взаимодействия соединения формулы XI
где n, R1 и R2 – такие, как определено выше,
с сульфонилхлоридом в присутствии основания и, в случае, когда Х представляет галоген, путем дополнительной обработки галогенидом металла.
5. Способ по п.4, в котором сульфонилхлорид представляет собой п-толуолсульфонилхлорид, метансульфонилхлорид, м-нитробензолсульфонилхлорид, п-нитробензолсульфонилхлорид или бензолсульфонилхлорид.
6. Способ по п.4, в котором основание представляет собой триэтиламин, диизопропилэтиламин, пиридин, 2,4,6-коллидин или 2,6-лутидин.
7. Способ по п.4, в котором галогенид металла представляет собой хлорид лития.
8. Способ по п.4, в котором соединение формулы XI
получают путем взаимодействия соединения формулы XII
где n, R1 и R2 – такие, как определено выше,
с дигидроксилирующим агентом в присутствии или в отсутствии соокислителя и/или координирующего лиганда.
9. Способ по п.8, в котором дигидроксилирующим агентом является тетроксид осмия или перманганат калия.
10. Способ по п.8, в котором соокислителем является феррицианид калия, пероксид водорода, трет-бутилгидропероксид или Н-метилморфолин-N-оксид.
11. Способ по п.8, в котором координирующим лигандом является простой 1,4-фталазиндииловый диэфир гидрохинидина или простой 1,4-фталазиндииловый диэфир гидрохинина.
12. Способ по п.8, в котором соединение формулы XII
получают путем взаимодействия соединения формулы XIII
где n, R1 и R2 – такие, как определено выше,
с метилирующим реагентом.
13. Способ по п.12, в котором метилирующий реагент получают из метилтрифенилфосфонийбромида и трет-бутоксида калия.
14. Способ по п.12, в котором соединение формулы XIII
получают путем восстановления соединения формулы XIV
где n, R1 и R2 – такие, как определено выше,
восстановителем с последующим гидролизом кислотой или основанием.
15. Способ по п.14, в котором восстановителем является диизобутилалюминийгидрид.
16. Способ по п.14, в котором кислота представляет собой серную кислоту.
17. Способ получения производных пиридина формулы IX
где n представляет 0;
R представляет галоген;
R2 представляет водород;
R3 представляет силильную защитную группу;
Х представляет галоген, метансульфонилокси, бензолсульфонилокси, п-толуолсульфонилокси, м-нитробензолсульфонилокси или п-нитробензолсульфонилокси,
включающий: (а) взаимодействие соединения формулы XIV
где n, R1 и R2 – такие, как определено выше,
с восстановителем с последующим гидролизом кислотой или основанием;
(b) взаимодействие полученного таким образом промежуточного соединения формулы XIII
где n, R1 и R2 – такие, как определено выше,
с метилирующим агентом с образованием производного винилпиридина формулы XII
(с) взаимодействие производного винилпиридина, полученного на стадии (b), с дигидроксилирующим агентом в присутствии или в отсутствии соокислителя и/или координирующего лиганда с образованием соединения формулы XI
где n, R1 и R2 – такие, как определено выше,
(d) взаимодействие полученного таким образом соединения формулы XI с сульфонилхлоридом в присутствии основания с образованием соединения формулы Х
где n, R1, R2 и Х – такие, как определено выше,
и (е) взаимодействие полученного таким образом соединения формулы Х с силилирующим агентом в присутствии основания.
18. Соединение формулы XI
где n представляет 0;
R1 представляет галоген;
R2 представляет водород.
19. Соединение по п.18, которое представляет собой соединение формулы XI в форме R энантиомера
где R1 представляет хлор;
R2 представляет водород.
20. Соединение формулы XV
где n представляет 0;
R1 представляет галоген;
R2 представляет водород.
21. Соединение по п.20, которое представляет собой соединение формулы XV в форме R энантиомера
где R1 представляет хлор;
R2 представляет водород.
22. Соединение формулы IX
где n представляет 0;
R1 представляет галоген;
R2 представляет водород;
R3 представляет силильную защитную группу;
Х представляет галоген, метансульфонилокси, бензолсульфонилокси, п-толуолсульфонилокси, м-нитробензолсульфонилокси или п-нитробензолсульфонилокси.
23. Соединение по п.22, которое представляет собой соединение формулы IX в форме R энантиомера
где R1 представляет хлор;
R2 представляет водород;
R3 представляет трет-бутилдиметилсилил;
Х представляет п-толуолсульфонилокси.