Патент на изобретение №2223953
|
||||||||||||||||||||||||||
(54) Аналоги витамина D, фармацевтическая композиция, соединения
(57) Реферат: Настоящее изобретение относится к соединениям общей формулы (I), где R1 и R2, которые могут быть одинаковыми или различными, представляют собой (C1-C4) алкил, а R3 представляет собой водород, галоген, (C1-C4) алкил или О-(С1-С4)алкил, и к их in vivo-гидролизуемым сложным эфирам фармацевтически приемлемых кислот. Соединения настоящего изобретения индуцируют дифференцировку и ингибируют нежелательную пролиферацию некоторых клеток и могут быть использованы в медицине и в ветеринарной практике. 4 с. и 12 з.п. ф-лы, 3 табл.
Настоящее изобретение относится к неизвестным до настоящего времени соединениям витамина D, обладающим сильной активностью, направленной на индуцирование дифференцировки и ингибирование нежелательной пролиферации некоторых клеток, включая клетки кожи и раковые клетки, а также противовоспалительным и иммуномодулирующим действием; к фармацевтическим препаратам, содержащим указанные соединения; к дозированным лекарственным формам таких препаратов и к их использованию для лечения и профилактики заболеваний, характеризующихся аномальной дифференцировкой и/или пролиферацией клеток, таких как рак, лейкоз, миелофиброз и псориаз, и ряда патологических состояний, включая гиперпаратиреоз, в частности, вторичный гиперпаратиреоз, ассоциированный с почечной недостаточностью, сахарный диабет, гипертензия, акне, алопеция, старение кожи, СПИД, нейродегенеративные расстройства, такие как болезнь Альцгеймера, реакции “хозяин против трансплантата”, отторжение трансплантата, воспалительные заболевания, такие как ревматоидный артрит и астма, для предупреждения и/или лечения индуцированной стероидом атрофии кожи и для стимуляции остеогенеза и лечения остеопороза.
Было показано, что 1 ,25-дигидрокси-витамин D3 (1,25(ОН)2Dз) влияет на действие и/или продуцирование интерлейкинов (Muller, К. et al., Immunol. Lett., 17, 361-366 (1988), что указывает на возможное использование этого соединения для лечения заболеваний, характеризующихся дисфункцией иммунной системы, например, аутоиммунных заболеваний, СПИД,а, реакции “хозяин против трансплантата” и отторжения трансплантата, или других состояний, характеризующихся аномальным продуцированием интерлейкина-1, например, воспалительных заболеваний, таких как ревматоидный артрит и астма.
Было также показано, что 1,25(ОН)2D3 способен стимулировать дифференцировку клеток и ингибировать избыточную пролиферацию клеток (Abe, E. et al., Proc.Natl. Acad. Sci., USA, 78, 4990-4994 (1981)), и было высказано предположение, что данное соединение может быть использовано для лечения заболеваний, характеризующихся аномальной пролиферацией и/или дифференцировкой клеток, таких как лейкоз, миелофиброз и псориаз.
Кроме того, было высказано предположение о возможности использования 1,25(ОН)2D3 или его пролекарства 1 -OН-Dз, для лечения гипертензии (Lind, L. et al., Acta Med. Scand., 222, 423-427 (1987)) и сахарного диабета (Inomata, S et al., Bone Mineral., 1, 187-192 (1986)). На основании недавно сделанного наблюдения о связи между наследственной резистентностью к витамину D и алопецией было высказано предположение о другой возможной индикации l,25(OH)2D3; то есть, лечение с использованием 1,25(ОН)2D3 могло бы стимулировать рост волос (Editorial, Lancet, March 4, р.478 (1989)). Кроме того, тот факт, что местное применение 1,25(ОН)2D3 снижает размер околоушных сальных желез у самцов сирийских хомячков дает основание предположить, что это соединение может быть использовано для лечения акне (Malloy V.L. et al., The Tricontinental Meeting for Investigative Dermatology, Washington (1989)).
Однако терапевтические возможности таких индикаций жестко ограничены хорошо известным сильным действием 1,25(ОН)2D3 на метаболизм кальция; при этом, его повышенные концентрации в крови быстро приводят к гиперкальциемии. Таким образом, это соединение и некоторые его сильные синтетические аналоги не могут быть использованы в качестве лекарственных средств для лечения, например, псориаза, лейкоза и иммунных заболеваний, которые могут требовать непрерывного введения данного лекарственного средства в относительно высоких дозах.
Недавно был описан ряд аналогов витамина D, которые обладают некоторой степенью селективности в пользу in vitro-активности, направленной на индуцирование дифференцировки клеток/ингибирование пролиферации клеток, по сравнению с воздействием на метаболизм кальция in vivo (как было определено по повышенной концентрации кальция в сыворотке и/или по повышенной экскреции кальция в мочу), что, к сожалению, ограничивает дозы, которые могут быть введены с достаточной степенью безопасности. Одними из первых таких аналогов, разработанных на основе указанной селективности, были кальципотриол (INN) или кальципотриен (USAN), и в настоящее время они широко известны во всем мире как эффективные и безопасные лекарственные средства для местного применения в лечении псориаза.
Исследование другого аналога витамина D, сеокальцитола [1 (S), 3 (R) -дигидрокси-20 (R) – (5′ -этил-5′ -гидрокси-гепта-1′ (Е), 3′ (Е) -диен-1′-ил)-9,10-секопрегна-5(Z),7(Е),10(19)-триен], выбранного на той же основе, подтверждает идею, что системное введение аналогов витамина D может ингибировать пролиферацию раковых клеток молочной железы in vivo при субтоксических дозах (Colston, K.W. et al., Biochem. Pharmacol. 44, 2273-2280 (1992) и Mathiasen, I.S. et al., J. Steroid Biochem. Molec. Biol., 46, 365-371 (1993)).
Потребность в получении новых аналогов витамина D с приемлемой комбинацией требуемой терапевтической активности и минимального токсического действия остается актуальной. Соединения, имеющие структуру, аналогичную структуре соединений настоящего изобретения, описаны в ЕР 522013. Однако указанные соединения обладают значительным раздражающим действием на кожу, а поэтому они являются менее подходящими для наружного нанесения или местной терапии кожных болезней.
Соединения настоящего изобретения представляют собой ранее неописанные аналоги витамина D, обладающие иммуносупрессорной активностью и активностью, направленной на ингибирование пролиферации клеток, и не оказывающие нежелательных побочных эффектов, проявляющихся в повышенных уровнях кальция в сыворотке и раздражении кожи.
Настоящее изобретение относится к соединениям общей формулы I.
где R1 и R2, которые могут быть одинаковыми или различными, представляют собой (C1-C4)алкил, а R3 представляет собой водород, галоген, (С1-С4)алкил или O-(С1-С4)алкил, и к их in vivo-гидролизуемым сложным эфирам фармацевтически приемлемых кислот.
Предполагаемый хиральный атом углерода (показанный звездочкой в формуле I и Iа (ниже)) может находиться в R- или S-конфигурации. В предпочтительных соединениях настоящего изобретения, помеченный звездочкой атом углерода замещен идентичными алкильными группами (R1=R2) и, таким образом, не является хиральным.
Более конкретно, настоящее изобретение относится к соединениям общей формулы Iа:
где R1, R2и R3 определены выше.
Предпочтительными являются соединения формулы Iа, где R1 и R2 независимо представляют собой метил или этил и где R3 представляет собой водород, F, Cl, метил, этил или метокси. Кроме того, предпочтительными соединениями формулы Iа являются соединения, где группа R3 находится в 4-положении или в 5-положении. Более предпочтительными соединениями формулы Iа являются соединения, где R1 и R2 оба представляют собой метил, а R3 представляет собой водород, F или метил. Наиболее предпочтительными соединениями формулы Iа являются соединения, где R3 представляет собой водород, 5-метил или 4-фтор, а R1 и R2 оба представляют собой метил.
Настоящее изобретение также относится к диастереомерам соединений формулы I в чистом виде или в виде смеси таких диастереомеров.
Особенно предпочтительные соединения настоящего изобретения выбраны из группы, состоящей из:
1(S),3(R)-Дигидрокси-20(R)-[((3-(2-гидрокси-2-пропил)-фенил)-метокси)-метил]-9,10-секопрегна-5(Z),7(Е),10(19)-триена;
1(S),3(R)-Дигидрокси-20(R)-[((3-(2-гидрокси-2-пропил)-5-метил-фенил)-метокси)-метил]-9,10-секопрегна-5(Z),7(Е),10(19)-триена;
1(S),3(R)-Дигидрокси-20(R)-[((3-(2-гидрокси-2-пропил)-5-метокси-фенил)-метокси)-метил]-9,10-секопрегна-5(Z),7(Е),10(19)-триена;
1(S),3(R)-Дигидрокси-20(R)-[((3-(2-гидрокси-2-пропил)-4-фтор-фенил)-метокси)-метил]-9,10-секопрегна-5(Z),7(Е),10(19)-триена;
и их in vivo-гидролизуемых сложных эфиров фармацевтически приемлемых кислот.
Используемый здесь термин “алкил” означает любую многовалентную группу, полученную из алкана путем удаления атома водорода от любого атома углерода, и включает подклассы нормального алкила (н-алкила) и первичных, вторичных и третичных алкильных групп, соответственно, имеющих определенное число атомов углерода, включая, например, (C1-C4)алкил, например, метил, этил, н-пропил и изобутил. Алкан означает ациклический разветвленный или неразветвленный углеводород, имеющий общую формулу CnH2n+2, а поэтому целиком состоящий из атомов водорода и насыщенных атомов углерода.
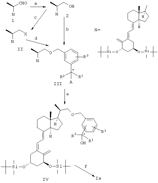
Соединения формулы Iа могут быть получены стандартным способом из производного 1 витамина D, описанного в Tetrahedron 43, 4609 (1987) в соответствии со схемой 1. Аналогичным способом могут быть получены соответствующие орто- и пара-замещенные аналоги формулы I.
Соединение 1 восстанавливают, например, с использованием NaBH4, до спирта 2, который может быть преобразован в соединения формулы III двумя путями. Соединение 2 либо алкилируют элементом структуры боковой цепи A-C(R1) (R2)-С6Н3(R3)-CH2-Z (А представляет собой подходящую защитную гидрокси-группу, например, тетрагидропиранилокси или триалкилсилилокси; Z представляет собой уходящую группу, такую как Cl, Br, I или тозил; и С6H3(Rз) представляет собой о-фенилен, м-фенилен или п-фенилен), либо гидрокси-группу в соединении 2 превращают в уходящую группу, например, путем тозилирования с образованием соединения II, а затем превращают в соединение III путем обработки в основных условиях элементом структуры боковой цепи формулы A-C(R1) (R2)-С6Н3 (R3)-СН2OН.
Превращение соединения III в Iа предусматривает проведение стадии фотоизомеризации и стадии снятия защиты, аналогичные стадиям, проводимым в последних ступенях синтеза аналогов витамина D, см. патент ЕР № 0227826.
Элементы структуры боковой цепи формулы A-C(R1)(R2)-С6H3(R3)-СН2-Z являются либо известными соединениями, либо они могут быть получены, как описано в PCT/DK90/00323. Элементы структуры боковой цепи формулы A-C(R1) (R2)-С6Н3(R3)-СН2OН являются либо известными соединениями, либо они могут быть получены из A-C(R1) (R2) -С6H3(R3) -CH2-Z путем простого водного гидролиза.
Схема 1
Примечания к реакционной схеме:
a) восстановление, например, с использованием NaBH4;
b) алкилирование фрагментом боковой цепи A-C(R1)(R2)-C6H3(R3)-СН2-Z в присутствии основания, например, КОН, KOBut или КН, в отсутствие или в присутствии катализатора, например, 18-краун-6, в сухом растворителе, например, ТГФ;
c) превращение ОН в уходящую группу X, например, путем тозилирования по X=O-Ts;
d) реакция со структурным элементом боковой цепи А-C(R1) (R2)-С6Н3(R3)-СН2OН в присутствии основания, например, NaH, в растворителе, таком как ДМФ;
e) изомеризация с энергией hv в присутствии триплетного сенсибилизатора, например, антрацена;
f) снятие защиты с использованием TBAF или HF.
Стандартные сокращения, используемые в данном описании, приведены ниже:
Виt = трет-бутил, ДМФ = N,N-диметилформамид, Et = этил, эфир = диэтиловый эфир, Me = метил, PPTS = п-толуолсульфонат пиридиния, Ру = пиридин, TBAF = фторид тетра-н-бутиламмония, TBS = трет-бутилдиметилсилил, ТГФ = тетрагидрофуран, ТНР = тетрагидро-4Н-пиран-2-ил, Ts = тозил, ТЕS = триэтилсилил.
Фармакологические методы
Для иллюстрации эффективности соединений формулы I, сравнительные данные представлены ниже в таблице А. Заголовки столбцов: “НаСаТ, отн.”, “Кальц., отн.”, “Связывание с рецептором, отн.” и “Оценка раздражения кожи” объяснены ниже.
Оценочный анализ тестируемых соединений на антипролиферативную активность в клетках кожи, например, на антипсориатический эффект, представляет собой in vitro-анализ с использованием НаСаТ, спонтанно иммортализованной неонкогенной клеточной линии кератиноцитов кожи человека (M rk Hansen, С. et al., J.Invest. Dermatol. 1, 44-48 (1996)) с измерением поглощения 3H-тимидина. В таблице А, в столбце “НаСаТ, отн.” приводится антипролиферативная активность в клетках кожи соединения 100 примера 1 настоящего описания (по отношению к 1,25(ОН)2D3” кальцитриол); при этом, упоминается, что соединение 100 обладает антипролиферативной активностью в клетках кожи такой же эффективности, как и известное ранее соединение кальцитриол.
В основном, классическое действие 1,25(ОН)2D3 на баланс кальция в организме, включая кальцемическую и кальциуремическую активности, является нежелательным свойством для аналогов витамина D настоящего изобретения, для которых желательными являются селективность, например, в отношении ингибирования пролиферации некоторых клеток, отсутствие кальцемических эффектов и раздражения кожи. Таким образом, кальцемическую активность этих соединений определяли in vivo на крысах, как описано ранее (Binderup, L., Bramm., Е., Biochem. Pharmacol. 37, 889-895 (1988)). В таблице А, в столбце “Кальц., отн.” приводится кальцемическая активность соединения 100 примера 1 настоящего описания (по отношению к 1,25 (OH)2D3); при этом, упоминается, что соединение 100 настоящего изобретения обладает очень низкой кальцемической активностью по сравнению с соединением кальцитриолом и известным соединением № 111 по патенту ЕР 522013.
Кроме того, связывание соединений настоящего изобретения с рецептором витамина D по отношению к их связыванию с кальцитриолом определяли in vitro по сравнению со связыванием уже известных соединений, как описано ранее (Binderup, L. Bramm, E., Biochem. Pharmacol. 37, 889-895 (1988)).
Раздражение кожи оценивали у бесшерстных морских свинок. Был проведен 48-часовой рандомизированный тест на окклюзивные бляшки. Каждый аналог тестировали при трех уровнях доз (500 мкг/мл, 50 мкг/мл и 5 мкг/мл), а также с использованием раствора плацебо. Раздражение кожи оценивали слепым методом и на основе клинических параметров и объективного измерения кожного кровотока (визуализация перфузии с помощью лазера доплеровской линии LDPI) и эритемы (Minolta ChromaMeter). Кроме того, была измерена толщина эпидермиса как показатель эпидермальной гиперплазии.
Оценка раздражения определена ниже:
0 вещества, не вызывающие раздражения;
+ вещества, почти не вызывающие раздражения, или вызывающие очень небольшое раздражение по сравнению с кальцитриолом;
++ вещества, вызывающие небольшое раздражение по сравнению с кальцитриолом;
+++ вещества, вызывающие такое же раздражение, что и кальцитриол;
++++ вещества, вызывающие более сильное раздражение, чем кальцитриол;
+++++ вещества, вызывающие очень сильное раздражение по сравнению с кальцитриолом.
Из таблицы А видно, что соединение 100 обладает значительно меньшим раздражающим действием на кожу, чем известные соединения, тогда как его эффективность в НаСаТ-анализе (модель псориаза) аналогична эффективности l,25(OH)2D3, а кальцемическая активность пренебрежимо мала и сравнима с активностью соединения № 111 по патенту ЕР 522013.
По своей структуре, соединения формулы I являются родственными соединениям формулы I, описанным в ЕР 522013. Однако соединения настоящего изобретения неожиданно обнаружили меньшее раздражающее действие на кожу, чем соединения ЕР 522013. Для демонстрации этого неожиданного эффекта, соединение № 100 примера 1 настоящего изобретения сравнивали с соединением № 111 ЕР 522013. Структурное различие этих соединений заключается лишь в длине цепи, связывающей кислород с углеродом № 22 и с фенильным кольцом, где, в соединении 111 EP 522013, указанный кислород непосредственно связан с фенильным кольцом, а в соединении 100 настоящего изобретения, указанный атом кислорода связан с фенильным кольцом посредством метиленовой группы.
Настоящее изобретение относится к использованию фармацевтических композиций, предназначенных для местного или системного лечения заболеваний человека и животных, описанных выше.
Соединения настоящего изобретения могут быть использованы в комбинации с другими фармацевтическими препаратами или способами лечения. При лечении псориаза, соединения настоящего изобретения могут быть использованы, например, в комбинации со стероидами или в сочетании с другими средствами лечения, например, с фототерапией или УФ-терапией, либо с комбинированной PUVA-терапией. При лечении рака, соединения настоящего изобретения могут быть использованы в комбинации с другими противораковыми средствами или в сочетании с другой противораковой терапией, такой как лучевая терапия. Для предупреждения отторжения трансплантата и реакции “трансплантат против хозяина” или для лечения аутоиммунных болезней, соединения настоящего изобретения могут быть преимущественно использованы в комбинации с другими иммуносуппрессорными или иммунорегуляторными лекарственными средствами или методами терапии, например, с использованием циклоспорина А.
Количество соединения формулы I (называемого далее активным ингредиентом), необходимое для достижения терапевтического эффекта, может, разумеется, варьироваться в зависимости от конкретного соединения, способа введения и вида млекопитающего, подвергаемого лечению. Соединения настоящего изобретения могут быть введены парентерально, внутрисуставно, энтерально или путем местного применения. Они хорошо абсорбируются при энтеральном введении, а поэтому при лечении системных нарушений, этот способ введения является предпочтительным. При лечении дерматологических расстройств, таких как псориаз или глазные болезни, предпочтительными являются формы для местного применения или энтерального введения.
Хотя активный ингредиент может быть введен отдельно в виде необработанного химического соединения, однако, предпочтительно, чтобы оно было введено в виде фармацевтической композиции. Обычно, активный ингредиент содержит от 0,1 м.д. до 0,1% от массы композиции.
Так, например, композиции настоящего изобретения, используемые как в ветеринарии, так и в медицине, содержат активный ингредиент в сочетании с фармацевтически приемлемым носителем и, необязательно, с другим(и) терапевтическим(и) ингредиентом(ами). Указанный носитель(и) должен быть “приемлемым” в том смысле, что он должен быть совместимым с другими ингредиентами данной композиции и не должен оказывать негативного воздействия на ее (композиции) реципиента.
Указанные композиции имеют, например, форму, подходящую для перорального, офтальмического, ректального, парентерального (включая подкожное, внутримышечное и внутривенное), чрезкожного, внутрисуставного, местного, интраназального или трансбукального введения.
Термин “стандартная доза” означает унитарную, то есть, разовую дозу, которая может быть введена пациенту, удобна в обращении и может быть легко упакована, и, при этом, сохраняется как физически и химически стабильная разовая доза, содержащая либо активный материал как таковой, либо его смесь с твердыми или жидкими разбавителями или носителями.
Указанные композиции обычно представляют собой стандартную лекарственную форму и могут быть получены любыми методами, хорошо известными специалистам-фармацевтам. Все эти методы включают стадию получения смеси активного ингредиента с носителем, который включает один или несколько вспомогательных ингредиентов. В общих чертах, указанные композиции получают путем равномерного и тщательного перемешивания активного ингредиента с жидким носителем или тонко измельченным твердым носителем, или с тем и другим, а затем, если это необходимо, полученный продукт подвергают формованию с получением нужной композиции.
Композиции настоящего изобретения, подходящие для перорального введения, могут быть изготовлены в виде дискретных единиц в форме капсул, саше, таблеток или пастилок, каждая из которых содержит заранее определенное количество активного ингредиента; в форме порошка или гранул; в форме раствора или суспензии в водной или безводной жидкости; либо в форме эмульсии типа “масло в воде” или “вода в масле”. Указанный активный ингредиент может быть также введен в форме болюса, лекарственной кашки или пасты.
Композиции для ректального введения могут быть изготовлены в форме суппозиториев, включающих активный ингредиент и носитель, или в форме клизм.
Композиции, подходящие для парентерального введения, обычно содержат стерильный масляный или водный препарат активного ингредиента, который является, предпочтительно, изотоническим по отношению к крови реципиента. Чрезкожные композиции могут быть изготовлены в форме пластыря или повязки.
Композиции, подходящие для внутрисуставного или офтальмического введения, могут быть изготовлены в форме стерильного водного препарата активного ингредиента, который может представлять собой микрокристаллическую форму, например, форму водной микрокристаллической суспензии. Для внутрисуставного и офтальмического введения активного ингредиента настоящего изобретения могут быть также использованы липосомные композиции или биологически разлагаемые полимерные системы.
Композиции, подходящие для местного или офтальмического введения, представляют собой жидкие или полутвердые препараты, такие как липименты (жидкие мази), лосьоны, гели, аппликаторы, эмульсии типа “масло в воде” или “вода в масле”, такие как кремы, мази или пасты; либо растворы или суспензии, такие как капли.
Композиции, подходящие для введения через нос или в щечный карман, представляют собой порошок, самораспыляющиеся композиции и спреи, такие как аэрозоли и ингаляторы.
Помимо вышеуказанных ингредиентов, композиции настоящего изобретения могут включать один или несколько других ингредиентов, таких как разбавители, связующие вещества, консерванты и т.п.
Указанные композиции могут, кроме того, содержать другие терапевтически активные соединения, обычно применяемые для лечения вышеупомянутых патологических состояний, такие как другие иммунодепрессанты, для лечения иммунных болезней, или стероиды, для лечения кожных болезней.
Настоящее изобретение, кроме того, относится к способу лечения пациентов, страдающих одним из вышеуказанных патологических состояний, где указанный способ предусматривает введение пациенту, нуждающемуся в таком лечении, эффективного количества одного или нескольких соединений формулы I отдельно или в комбинации с одним или несколькими наполнителями или другими терапевтически активными соединениями, обычно применяемыми для лечения указанных патологических состояний. Лечение соединениями настоящего изобретения и/или другими терапевтически активными соединениями может быть проведено одновременно или с интервалами.
При системном лечении, суточные дозы вводят в количестве 0,001-2 мкг на килограмм массы тела, а предпочтительно, 0,002-0,3 мкг/кг массы тела млекопитающего, например, 0,003-0,3 мкг/кг соединения формулы I, что обычно соответствует суточной дозе взрослого человека 0,2-25 мкг. При местном лечении кожных болезней применяют мази, кремы или лосьоны, содержащие 0,1-1000 мкг/г, предпочтительно, 1-500 мкг/г, а более предпочтительно, 10-250 мкг/г соединения формулы I. При местном применении вводят офтальмические мази, капли или гели, содержащие 0,1-1000 мкг/г, предпочтительно, 1-500 мкг/г, а более предпочтительно, 10-250 мкг/г соединения формулы I. Композиции для перорального введения изготавливают предпочтительно в виде таблеток, капсул или капель, содержащих 0,05-100 мкг, предпочтительно 0,1-50 мкг соединения формулы I на стандартную дозу.
Настоящее изобретение, кроме того, описано в нижеследующем разделе: Общие процедуры, препаративные примеры и примеры.
Общие процедуры, препаративные примеры и примеры
Общее описание
Примеры соединений формулы I представлены в таблице 2, а промежуточные соединения препаративных примеров 1-8 проиллюстрированы в таблице 1.
Для спектров ядерного магнитного резонанса (300 МГц), химические сдвиги ( ) приведены для растворов дейтериохлороформа по отношению к внутреннему стандарту тетраметилсилану ( =0) или хлороформу ( =7,25). Величины для мультиплетов либо определены (дублет (d), триплет (t), квартет (q)), либо нет (m), и даны приблизительно в средней точке, если не указан диапазон (s=синглет, b=широкий). Константы взаимодействия (J) даны в герцах и иногда аппроксимированы до ближайшего значения.
Простым эфиром является диэтиловый эфир, и этот эфир сушили над натрием. ТГФ сушили над натрий-бензофеноном. Петролейный эфир означает пентановую фракцию. Реакции проводили рутинным способом в атмосфере аргона при комнатной температуре, если это не оговорено особо. Процедуры обработки предусматривают разбавление указанным растворителем (в противном случае, органическим реакционным растворителем), экстракцию водой, а затем солевым раствором, сушку безводным MgSO4 и концентрирование в вакууме, с получением остатка. Хроматографию осуществляли на силикагеле.
Общие процедуры
Общая процедура 1: Получение соединения формулы III путем алкилирования соединения 2
К раствору соединения 2 (862 мг, 1,5 ммоль) в сухом тетрагидрофуране (10 мл) добавляли гидрид калия (1,0 мл 20% суспензии в масле) и элемент структуры боковой цепи формулы A-C(R1) (R2)С6Н3(R3)-CH2-Z (6,75 ммоль), и реакционную смесь интенсивно перемешивали. 18-Краун-6 (650 мг, 5,8 ммоль) растворяли в сухом тетрагидрофуране (5 мл) и добавляли по каплям в течение 20 мин. После перемешивания в течение еще 90 мин, к реакционной смеси осторожно добавляли воду (40 мл) . После угасания реакции, реакционную смесь разбавляли эфиром (100 мл) и органическую фазу последовательно экстрагировали водой (3 х 50 мл) и насыщенным водным хлоридом натрия (50 мл). После сушки и удаления растворителя в вакууме, продукт очищали хроматографией (силикагель, 10% эфир в петролейном эфире в качестве растворителя) и получали нужное соединение в виде бесцветного масла.
Общая процедура 2: Изомеризация соединения формулы III до соответствующего 5(Z)-изомера IV
Раствор соединения формулы III (1 ммоль), антрацена (800 мг, 4,5 ммоль) и триэтиламина (1 капля) в дихлорметане (60 мл) в атмосфере аргона в колбе Пирекса облучали светом от ультрафиолетовой лампы высокого давления типа TQ 718-Z2 (Hanau) при комнатной температуре в течение 35 мин. Раствор фильтровали и концентрировали в вакууме. Остаток очищали хроматографией (силикагель, 10% эфир в петролейном эфире в качестве растворителя) и получали нужное соединение в виде бесцветного масла.
Общая процедура 3: Снятие защиты у соединения формулы IV с получением соответствующего соединения формулы I
Соединение формулы IV (1 ммоль) растворяли в этилацетате (1,0 мл). Затем добавляли ацетонитрил (25 мл) при интенсивном перемешивании. После этого добавляли раствор 5% фтористоводородной кислоты в смеси ацетонитрила:воды (8:1) (12 мл) и реакционную смесь перемешивали в атмосфере аргона при комнатной температуре в течение 45 мин. Затем добавляли этилацетат (150 мл) и реакционную смесь последовательно экстрагировали насыщенным водным бикарбонатом натрия (60 мл), водой (3 х 60 мл) и насыщенным водным хлоридом натрия (50 мл), после чего сушили сульфатом магния и концентрировали в вакууме. Остаток очищали хроматографией (силикагель, 20% пентан в этилацетате в качестве растворителя) и получали указанное в заголовке соединение.
Препаративные примеры
Препаративный пример 1: 1(S),3(R)-бис-трет-бутилдиметилсилилокси-20(R)-гидроксиметил-9,10-секопрегна-5(Z),7(Е), 10(19)-триен (Соединение 2)
Перемешанный и охлажденный льдом раствор альдегида 1 (5 г) в ТГФ (20 мл) и этаноле (70 мл) обрабатывали борогидридом натрия (0,35 г). Через 10 мин реакционную смесь распределяли между этилацетатом и водой и органический слой промывали насыщенным раствором соли и сушили. После концентрирования в вакууме получали указанное в заголовке соединение. 1H ЯМР: =0,05 (шир.с., 12Н), 0,56 (с, 3Н), 0,86 (с, 9H) , 0,89 (с, 9Н), 0,96 (д, 3Н, J=7) , 1,1-2,1 (м, 15Н), 2,31 (шир.д., 1Н), 2,55 (дд, 1Н, J=14 и 5), 2,86 (шир.д., 1Н), 3,48 (дд, 1Н, J=10 и 7), 3,71 (дд, 1Н, J=11 и 4), 4,21 (м, 1Н), 4,52 (м, 1Н), 4,93 (шир.с., 1Н), 4,98 (шир.с., 1Н), 5,82 (д, 1Н, J=11,5) и 6,44 (д, 1Н, J=11,5).
Препаративный пример 3: 1(S),3(R)-бис-трет-бутилдиметилсилилокси-20(R)-п-толуолсульфонилоксиметил-9,10-секопрегна-5(Z),7(Е),10(19)-триен (Соединение 3)
Соединение 2 (5 г) растворяли в дихлорметане (25 мл) и пиридине (3 мл) и раствор перемешивали и охлаждали льдом во время добавления п-толуолсульфонилхлорида (2,5 г). Реакционную смесь оставляли на ночь при 5°С, а затем распределяли между этилацетатом и водой. Органический слой последовательно промывали насыщенным раствором сульфата меди (дважды), водой, 5% раствором бикарбоната натрия и насыщенным раствором соли, а затем сушили и концентрировали в вакууме. Остаток очищали хроматографией (200 г силикагеля; 5% эфир в петролейном эфире в качестве растворителя) и получали указанное в заголовке соединение (т.пл. 98-100°С исходя из МеОН). 1H ЯМР: =0,035 (с, 3Н), 0,044 (с, 3Н), 0,051 (с, 3Н), 0,056 (с, 3Н), 0,45 (с, 3Н), 0,85 (с, 9Н), 0,88 (с, 9Н), 0,89 (д, 3Н, J=6), 1,15-2,05 (м, 14Н), 2,28 (шир.д., 1Н), 2,44 (с, 3Н), 2,52 (дд, 1H, J=14 и 5), 2,84 (шир.д., 1H), 3,81 (м, 1H), 4,11 (м, 1H), 4,20 (м, 1H), 4,51 (м, 1H), 4,93 (шир.с., 1H), 4,97 (шир.с., 1H), 5,79 (д, 1H, J=11), 6,42 (д, 1H, J=11), 7,33 (шир.д., 2Н), 7,78 (шир.д., 2Н).
Препаративный пример 3: Соединение 4
Метод: общая процедура 1
Исходный продукт: 2-(2-(3-бромметилфенил)-2-пропилокси)-тетрагидро-4Н-пиран
1H ЯМР: =7,42 (с, 1H), 7,3 (м, 3Н), 6,44 (д, 1H), 5,61 (д, 1H), 4,98 (с, 1H), 4,93 (с, 1H), 4,51 (дд, 1H), 4,46 (с, 2Н), 4,42 (м, 1H), 4,21 (м, 1H), 3,93 (м, 1H), 3,54 (дд, 1H), 3,39 (м, 1H), 3,27 (т, 1H), 2,85 (д, 1H), 2,54 (дд, 1H), 2,30 (д, 1H), 2,01 (т, 1H), 1,95-1,30 (м, 19Н), 1,66 (с, 3Н), 1,50 (с, 3Н), 0,98 (д, 3Н), 0,91 (с, 9Н), 0,89 (с, 9Н), 0,53 (с, 3Н), 0,06 (с, 12Н).
Препаративный пример 4; Соединение 5 Метод: общая процедура
Исходный продукт: соединение 4
13С ЯМР: =148,1, 147,0, 140,6, 138,4, 134,9, 127,8, 125,9, 125,9, 124,8, 124,8, 124,7, 122,9, 117,8, 111,0, 95,2, 77,7, 74,5, 72,8, 71,8, 67,3, 63,2, 56,0, 53,2, 45,8, 45,4, 44,6, 39,7, 36,0, 32,0, 31,9, 28,6, 26,7, 26,3, 25,7, 25,6, 25,2, 23,2, 21,8, 20,5, 18,0, 17,9, 17,1, 12,2, -4,9, -5,0, -5,3.
Препаративный пример 5: Соединение 6
Метод: общая процедура 1
Исходный продукт: 2-(2-(3-бромметил-5-метилфенил)-2-пропилокси)-тетрагидро-4Н-пиран
1H ЯМР: =7,21 (с, 1H), 7,51 (с, 1H), 7,05 (с, 1H), 6,44 (д, 1H), 5,81 (д, 1Н), 4,98 (с, 1Н), 4,94 (с, 1Н), 4,54 (дд, 1Н), 4,43 (с, 2Н), 4,40 (м, 1Н), 4,21 (м, 1Н) , 3,95 (м, 1Н), 3,54 (дд, 1Н), 3,35 (м, 1Н), 3,25 (т, 1Н), 2,86 (д, 1Н), 2,34 (с, 3Н), 2,30 (д, Н), 2,0 (т, 1Н), 1,95-1,20 (м, 19Н), 1,65 (с, 3Н), 1,48 (с, 3Н), 0,98 (д, 3Н), 0,90 (с, 9Н), 0,85 (с, 9Н), 0,53 (с, 3Н), 0,05 (с, 12Н).
Препаративный пример 6: Соединение 7
Метод: общая процедура 2
Исходный продукт: Соединение 6
1H ЯМР: =7,21 (с, 1Н), 7,15 (с, 1Н), 6,90 (с, 1Н), 6,22 (д, 1Н), 6,00 (д, 1Н), 5,17 (с, 1Н), 4,85 (с, 1Н), 4,4-4,3 (м, 4Н), 4,18 (м, 1Н), 3,95 (м, 1Н), 3,53 (дд, 1Н), 3,35 (м, 1Н), 3,24 (т, 1Н), 2,78 (д, 1Н), 2,41 (д, 1Н), 2,34 (с, 3Н), 2,21 (дд, 1Н), 1,95 (т, 1Н), 1,9-1,25 (м, 19Н), 1,65 (с, 3Н), 1,48 (с, 3Н), 0,99 (д, 3Н), 0,90 (с, 18Н), 0,25 (с, 3Н), 0,07 (с, 12Н).
Препаративный пример 7; Соединение 8
Метод: общая процедура 1
Исходный продукт: 2-(2-(3-бромметил-5-метоксифенил)-2-пропилокси)-тетрагидро-4Н-пиран
1H ЯМР: =6,98 (с, 1Н), 6,92 (д, 1Н), 6,79 (с, 1Н), 6,44 (д, 1Н), 5,83 (д, 1Н), 4,98 (с, 1Н), 4,93 (с, 1Н), 4,5 (дд, 1Н), 4,45 (м, 3Н), 4,21 (м, 1Н), 3,95 (м, 1Н), 3,80 (с, 3Н), 3,55 (дд, 1Н), 3,40 (м, 1Н), 3,26 (т, 1Н), 2,87 (д, 1Н), 2,56 (дд, 1Н), 2,32 (д, 1Н), 2,01 (т, 1Н), 1,95-1,40 (м, 19Н), 1,64 (с, 3Н), 1,48 (с, 3Н), 1,00 (д, 3Н), 0,93 (с, 9Н), 0,85 (с, 9Н), 0,53 (с, 3Н), 0,05 (с, 12Н).
Препаративный пример 8; Соединение 9
Метод: общая процедура 2
Исходный продукт: Соединение 8
1H ЯМР: =6,98 (с, 1Н), 6,91 (с, 1Н), 6,82 (с, 1Н), 6,21 (д, 1Н), 6,00 (д, 1Н), 5,17 (с, 1Н), 4,85 (с, 1Н), 4,46 (с, 2Н), 4,40 (м, 1Н), 4,35 (м, 1Н), 4,17 (м, 1Н), 3,95 (м, 1Н), 3,80 (с, 3Н), 3,55 (дд, 1Н), 3,38 (м, 1Н), 3,25 (т, 1Н), 2,80 (д, 1H), 2,42 (дд, 1Н), 2,2 (дд, 1Н), 1,96 (т, 1Н), 1,95-1,2 (м, 19Н), 1,64 (с, 3Н), 1,48 (с, 3Н), 0,98 (д, 3Н), 0,88 (с, 18Н), 0,52 (с, 3Н), 0,05 (с, 12Н).
Препаративный пример 9: 2-(3-Бромметилфенил)-2-триэтилсилилоксипропан
Имидазол (10,1 г, 148 ммоль) растворяли в сухом ДМФ (100 мл), добавляли триэтилхлорсилан (15,6 мл, 148 ммоль) и реакционную смесь перемешивали в атмосфере аргона при комнатной температуре в течение 30 мин. Затем в течение 15 мин по каплям добавляли раствор 2-(3-бромметилфенил)-2-пропанола (17,0 г, 74 ммоль), растворенный в сухом ДМФ (100 мл). После перемешивания в течение еще 15 мин добавляли этилацетат (1100 мл) и смесь последовательно экстрагировали 1н. соляной кислотой (2 х 50 мл), водой (3 х 200 мл) и насыщенным водным хлоридом натрия (200 мл), а затем сушили над сульфатом магния и концентрировали в вакууме. Остаток очищали хроматографией (силикагель, 1% эфир в пентане в качестве растворителя) и получали указанное в заголовке соединение в виде бесцветного масла.
1H ЯМР: =7,50 (т, 1Н), 7,41 (дт, 1Н), 7,29 (т, 1Н), 7,23 (дт, 1Н), 4,50 (с, 2Н), 1,57 (с, 6Н), 0,95 (т, 6Н), 0,59 (кв., 9Н).
Препаративный пример 10: Соединение 10
Метод: общая процедура 1
Исходный продукт: 2-(3-бромметилфенил)-2-триэтилсилилоксипропан
1H ЯМР: =7,43 (м, 1Н), 7,37 (м, 1Н), 7,27 (т, 1Н), 7,17 (м, 1Н), 6,45 (д, 1Н), 5,82 (м, 1Н), 4,98 (м, 1Н), 4,94 (м, 1Н), 4,53 (дд, 1Н), 4,48 (с, 2Н), 4,22 (м, 1Н), 3,54 (дд, 1Н), 3,26 (дд, 1Н), 2,86 (м, 1Н), 2,55 (дд, 1Н), 2,32 (м, 1Н), 2,08-1,20 (м, 14Н), 1,56 (с, 6Н), 0,99 (д, 3Н), 0,94 (т, 9Н), 0,90 (с, 9Н), 0,86 (с, 9Н), 0,58 (кв., 6Н), 0,53 (с, 3Н), 0,06 (м, 12Н).
Препаративный пример 11: Соединение 11
Метод: общая процедура 2
Исходный продукт: Соединение 10
1H ЯМР: =7,45-7,10 (м, 4Н), 6,22 (д, 1Н), 6,01 (д, 1Н), 5,18 (д, 1Н), 4,86 (д, 1Н), 4,47 (с, 2Н), 4,39 (м, 1Н), 4,18 (м, 1Н), 3,54 (дд, 1Н), 3,25 (дд, 1Н), 2,81 (д, 1Н), 2,44 (дд, 1Н), 2,21 (дд, 1Н), 2,04-1,15 (м, 14Н), 1,56 (с, 6Н) , 0,98 (д, 3Н), 0,93 (т, 9Н), 0,87 (с, 18Н), 0,58 (кв., 6Н), 0,52 (с, 3Н), 0,06 (с, 12Н).
Пример 1: 1(S),3(R)-Дигидрокси-20(R)-[((3-(2-гидрокси-2-пропил)-фенил)-метокси)-метил]-9,10-секопрегна-5(Z),7(Е),10(19)-триен (Соединение 100)
Метод: общая процедура 3
Исходный продукт: Соединение 5
13С ЯМР: =149,2, 147,6, 142,9, 138,8, 133,0, 128,2, 126,0, 124,9, 123,6, 123,5, 117,1, 111,8, 74,7, 73,0, 72,5, 70,8, 66,8, 56,2, 53,5, 45,7, 45,3, 42,8, 39,8, 36,1, 31,8, 29,0, 26,8, 23,5, 22,1, 17,3, 12,4.
Пример 2: 1(S),3(R)-Дигидрокси-20(R)-[((3-(2-гидрокси-2-пропил)-5-метил-фенил)-метокси)-метил]-9,10-секопрегна-5(Z),7(E),10(19)-триен (Соединение 101)
Метод: общая процедура 3
Исходный продукт: Соединение 7
1H ЯМР: =7,24 (с, 1Н), 7,21 (с, 1Н), 7,04 (с, 1Н), 6,36 (д, 1Н), 6,02 (д, 2Н), 5,32 (с, 1Н), 4,99 (с, 1Н), 4,44 (с, 2Н), 4,39 (м, 2Н), 4,21 (м, 1Н), 3,55 (дд, 1Н), 3,24 (дд, 1Н), 2,62 (д, 1Н), 2,58 (д, 1Н), 2,35 (с, 3Н), 2,30-1,20 (м, 14Н), 1,56 (с, 6Н), 0,98 (д, 3Н), 0,54 (с, 3Н).
Пример 3: 1(S),3(R)-Дигидрокси-20(R)-[((3-(2-гидрокси-2-пропил)-5-метокси-фенил)-метокси)-метил]-9,10-секопрегна-5(Z),7(Е),10(19)-триен (Соединение 102)
Метод: общая процедура 3
Исходный продукт: Соединение 9
1H ЯМР: =7,01 (с, 1Н), 6,97 (с, 1Н), 6,80 (с, 1Н), 6,36 (д, 1Н), 6,02 (д, 1Н), 5,32 (с, 1Н), 4,99 (с, 1Н) , 4,46 (с, 2Н), 4,41 (м, 1Н), 4,20 (м, 1Н), 3,81 (с, 3Н), 3,58 (дд, 1Н), 3,25 (т, 1Н), 2,81 (дд, 1Н), 2,57 (дд, 1Н), 2,3 (дд, 1Н), 2,0-1,3 (м, 14Н), 1,56 (с, 6Н), 0,99 (д, 3Н), 0,54 (с, 3Н).
Пример 4: 1(S),3(R)-Дигидрокси-20(R)-[((3-(2-гидрокси-2-пропил)-фенил)-метокси)-метил]-9,10-секопрегна-5(Z),7(Е),10(19)-триен (Соединение 100)
Метод: общая процедура 3
Исходный продукт: Соединение 11
13С ЯМР: =149,2, 147,6, 142,9, 138,8, 133,0, 128,2, 126,0, 124,9, 123,6, 123,5, 117,1, 111,8, 74,7, 73,0, 72,5, 70,8, 66,8, 56,2, 53,5, 45,7, 45,3, 42,8, 39,8, 36,1, 31,8, 29,0, 26,8, 23,5, 22,1, 17,3, 12,4.
Пример 5: Капсулы, содержащие Соединение 100
Соединение 100 растворяли в арахисовом масле до конечной концентрации 1 мкг соединения 100/мл масла. 10 мас.ч. желатина, 5 мас.ч. глицерина, 0,08 мас.ч. сорбата калия и 14 мас.ч. дистиллированной воды смешивали при нагревании и формовали в мягкие желатиновые капсулы. Затем каждую капсулу наполняли 100 мкл Соединения 100 в масляном растворе так, чтобы каждая капсула содержала 0,1 мкг Соединения 100.
Пример 6: Крем для нанесения на кожу, содержащий Соединение 100
В 1 г миндального масла растворяли 0,05 мг Соединения 100. К этому раствору добавляли 40 г минерального масла и 20 г самоэмульгирующегося пчелиного воска. Полученную смесь нагревали для разжижения. После добавления 40 мл горячей воды, смесь тщательно перемешивали. Полученный крем содержал приблизительно 0,5 мкг Соединения 100 на 1 г крема.
Пример 7: Раствор для инъекций, содержащий Соединение 100
Раствор, используемый для инъекций, содержал:
10 мкг Соединения № 100 настоящего изобретения, 15,4 мг дигидрата динатрийфосфата, 2 мг дигидрата бифосфата натрия, 0,8 мг хлорида натрия, 5 мг аскорбата натрия, 5 мг Solutol HS 15 и до 1 мл воды для инъекций.
Формула изобретения 1. Соединение формулы I
где R1 и R2, которые могут быть одинаковыми или различными, представляют собой (C1-C4) алкил;
R3 представляет собой водород, галоген, (C1-C4)алкил или O-(C1-C4)алкил,
и его in vivo-гидролизуемые сложные эфиры фармацевтически приемлемых кислот.
2. Соединение по п.1, имеющее формулу Iа:
где R1 и R2, которые могут быть одинаковыми или различными, представляют собой (C1-C4) алкил;
R3 представляет собой водород, галоген, (С1-С4)алкил или О-(С1-С4)алкил,
и его in vivo-гидролизуемые сложные эфиры фармацевтически приемлемых кислот.
3. Соединение по любому из предыдущих пунктов, где R1 представляет собой метил или этил.
4. Соединение по любому из предыдущих пунктов, где R2 представляет собой метил или этил.
5. Соединение по любому из предыдущих пунктов, где R3 представляет собой водород, F, C1, метил, этил или метокси.
6. Соединение по любому из предыдущих пунктов, где группа R3 находится в 5-положении.
7. Соединение по любому из предыдущих пунктов, где R1 и R2 оба представляют собой метил, а R3 представляет собой водород, F или метил.
8. Соединение по любому из предыдущих пунктов, где R3 представляет собой 5-метил или 4-фтор.
9. Соединение по любому из предыдущих пунктов, представляющее собой диастереоизомер соединения по п.1 или 2 в чистом виде или смесь диастереоизомеров соединения по п.1 или 2.
10. Соединение по любому из предыдущих пунктов, выбранное из группы, состоящей из:
1(S),3(R)-Дигидрокси-20(R)-[((3-(2-гидрокси-2-пропил)-фенил)-метокси)-метил]-9,10-секопрегна-5(Z),7(E),10(19)-триена;
1(S),3(R)-Дигидрокси-20(R)-[((3-(2-гидрокси-2-пропил)-5-метил-фенил)-метокси)-метил]-9,10-секопрегна-5(Z),7(E),10(19)-триена;
1(S),3(R)-Дигидрокси-20(R)-[((3-(2-гидрокси-2-пропил)-5-метокси-фенил)-метокси)-метил]-9,10-секопрегна-5(Z),7(Е), 10(19)-триена;
1(S),3(R)-Дигидрокси-20(R)-[((3-(2-гидрокси-2-пропил)-4-фтор-фенил)-метокси)-метил]-9,10-секопрегна-5(Z),7(Е),10(19)-триена;
и их in vivo-гидролизуемых сложных эфиров фармацевтически приемлемых кислот.
11. Фармацевтическая композиция для лечения и профилактики заболеваний, характеризующихся аномальной дифференцировкой и/или пролиферацией клеток, или расстройства иммунной системы, содержащая эффективное количество соединения по любому из пп.1-10 вместе с фармацевтически приемлемыми носителями и/или со вспомогательными агентами.
12. Фармацевтическая композиция по п.11 в виде дозированной лекарственной формы.
13. Фармацевтическая композиция по п.12, где указанная дозированная лекарственная форма содержит 0,05-100 мг, а предпочтительно 0,1-50 мг соединения по любому из пп.1-10.
14. Соединения по любому из пп.1-10 для получения лекарственного препарата.
15. Соединения по любому из пп.1-10 для получения препарата для лечения или профилактики заболеваний, характеризующихся аномальной дифференцировкой и/или пролиферацией клеток, или расстройства иммунной системы.
16. Соединение по п.15, где указанное заболевание выбрано из группы, состоящей из рака, псориаза, старения кожи и гиперпаратиреоза.
MM4A – Досрочное прекращение действия патента СССР или патента Российской Федерации на изобретение из-за неуплаты в установленный срок пошлины за поддержание патента в силе
Дата прекращения действия патента: 13.04.2007
Извещение опубликовано: 20.07.2010 БИ: 20/2010
|
||||||||||||||||||||||||||

Настоящее изобретение относится к неизвестным до настоящего времени соединениям витамина D, обладающим сильной активностью, направленной на индуцирование дифференцировки и ингибирование нежелательной пролиферации некоторых клеток, включая клетки кожи и раковые клетки, а также противовоспалительным и иммуномодулирующим действием; к фармацевтическим препаратам, содержащим указанные соединения; к дозированным лекарственным формам таких препаратов и к их использованию для лечения и профилактики заболеваний, характеризующихся аномальной дифференцировкой и/или пролиферацией клеток, таких как рак, лейкоз, миелофиброз и псориаз, и ряда патологических состояний, включая гиперпаратиреоз, в частности, вторичный гиперпаратиреоз, ассоциированный с почечной недостаточностью, сахарный диабет, гипертензия, акне, алопеция, старение кожи, СПИД, нейродегенеративные расстройства, такие как болезнь Альцгеймера, реакции “хозяин против трансплантата”, отторжение трансплантата, воспалительные заболевания, такие как ревматоидный артрит и астма, для предупреждения и/или лечения индуцированной стероидом атрофии кожи и для стимуляции остеогенеза и лечения остеопороза.
Было показано, что 1
,25-дигидрокси-витамин D3 (1,25(ОН)2Dз) влияет на действие и/или продуцирование интерлейкинов (Muller, К. et al., Immunol. Lett., 17, 361-366 (1988), что указывает на возможное использование этого соединения для лечения заболеваний, характеризующихся дисфункцией иммунной системы, например, аутоиммунных заболеваний, СПИД,а, реакции “хозяин против трансплантата” и отторжения трансплантата, или других состояний, характеризующихся аномальным продуцированием интерлейкина-1, например, воспалительных заболеваний, таких как ревматоидный артрит и астма.
Было также показано, что 1,25(ОН)2D3 способен стимулировать дифференцировку клеток и ингибировать избыточную пролиферацию клеток (Abe, E. et al., Proc.Natl. Acad. Sci., USA, 78, 4990-4994 (1981)), и было высказано предположение, что данное соединение может быть использовано для лечения заболеваний, характеризующихся аномальной пролиферацией и/или дифференцировкой клеток, таких как лейкоз, миелофиброз и псориаз.
Кроме того, было высказано предположение о возможности использования 1,25(ОН)2D3 или его пролекарства 1
где R1 и R2, которые могут быть одинаковыми или различными, представляют собой (C1-C4)алкил, а R3 представляет собой водород, галоген, (С1-С4)алкил или O-(С1-С4)алкил, и к их in vivo-гидролизуемым сложным эфирам фармацевтически приемлемых кислот.
Предполагаемый хиральный атом углерода (показанный звездочкой в формуле I и Iа (ниже)) может находиться в R- или S-конфигурации. В предпочтительных соединениях настоящего изобретения, помеченный звездочкой атом углерода замещен идентичными алкильными группами (R1=R2) и, таким образом, не является хиральным.
Более конкретно, настоящее изобретение относится к соединениям общей формулы Iа:
где R1, R2и R3 определены выше.
Предпочтительными являются соединения формулы Iа, где R1 и R2 независимо представляют собой метил или этил и где R3 представляет собой водород, F, Cl, метил, этил или метокси. Кроме того, предпочтительными соединениями формулы Iа являются соединения, где группа R3 находится в 4-положении или в 5-положении. Более предпочтительными соединениями формулы Iа являются соединения, где R1 и R2 оба представляют собой метил, а R3 представляет собой водород, F или метил. Наиболее предпочтительными соединениями формулы Iа являются соединения, где R3 представляет собой водород, 5-метил или 4-фтор, а R1 и R2 оба представляют собой метил.
Настоящее изобретение также относится к диастереомерам соединений формулы I в чистом виде или в виде смеси таких диастереомеров.
Особенно предпочтительные соединения настоящего изобретения выбраны из группы, состоящей из:
1(S),3(R)-Дигидрокси-20(R)-[((3-(2-гидрокси-2-пропил)-фенил)-метокси)-метил]-9,10-секопрегна-5(Z),7(Е),10(19)-триена;
1(S),3(R)-Дигидрокси-20(R)-[((3-(2-гидрокси-2-пропил)-5-метил-фенил)-метокси)-метил]-9,10-секопрегна-5(Z),7(Е),10(19)-триена;
1(S),3(R)-Дигидрокси-20(R)-[((3-(2-гидрокси-2-пропил)-5-метокси-фенил)-метокси)-метил]-9,10-секопрегна-5(Z),7(Е),10(19)-триена;
1(S),3(R)-Дигидрокси-20(R)-[((3-(2-гидрокси-2-пропил)-4-фтор-фенил)-метокси)-метил]-9,10-секопрегна-5(Z),7(Е),10(19)-триена;
и их in vivo-гидролизуемых сложных эфиров фармацевтически приемлемых кислот.
Используемый здесь термин “алкил” означает любую многовалентную группу, полученную из алкана путем удаления атома водорода от любого атома углерода, и включает подклассы нормального алкила (н-алкила) и первичных, вторичных и третичных алкильных групп, соответственно, имеющих определенное число атомов углерода, включая, например, (C1-C4)алкил, например, метил, этил, н-пропил и изобутил. Алкан означает ациклический разветвленный или неразветвленный углеводород, имеющий общую формулу CnH2n+2, а поэтому целиком состоящий из атомов водорода и насыщенных атомов углерода.
Соединения формулы Iа могут быть получены стандартным способом из производного 1 витамина D, описанного в Tetrahedron 43, 4609 (1987) в соответствии со схемой 1. Аналогичным способом могут быть получены соответствующие орто- и пара-замещенные аналоги формулы I.
Соединение 1 восстанавливают, например, с использованием NaBH4, до спирта 2, который может быть преобразован в соединения формулы III двумя путями. Соединение 2 либо алкилируют элементом структуры боковой цепи A-C(R1) (R2)-С6Н3(R3)-CH2-Z (А представляет собой подходящую защитную гидрокси-группу, например, тетрагидропиранилокси или триалкилсилилокси; Z представляет собой уходящую группу, такую как Cl, Br, I или тозил; и С6H3(Rз) представляет собой о-фенилен, м-фенилен или п-фенилен), либо гидрокси-группу в соединении 2 превращают в уходящую группу, например, путем тозилирования с образованием соединения II, а затем превращают в соединение III путем обработки в основных условиях элементом структуры боковой цепи формулы A-C(R1) (R2)-С6Н3 (R3)-СН2OН.
Превращение соединения III в Iа предусматривает проведение стадии фотоизомеризации и стадии снятия защиты, аналогичные стадиям, проводимым в последних ступенях синтеза аналогов витамина D, см. патент ЕР № 0227826.
Элементы структуры боковой цепи формулы A-C(R1)(R2)-С6H3(R3)-СН2-Z являются либо известными соединениями, либо они могут быть получены, как описано в PCT/DK90/00323. Элементы структуры боковой цепи формулы A-C(R1) (R2)-С6Н3(R3)-СН2OН являются либо известными соединениями, либо они могут быть получены из A-C(R1) (R2) -С6H3(R3) -CH2-Z путем простого водного гидролиза.
Схема 1
Примечания к реакционной схеме:
a) восстановление, например, с использованием NaBH4;
b) алкилирование фрагментом боковой цепи A-C(R1)(R2)-C6H3(R3)-СН2-Z в присутствии основания, например, КОН, KOBut или КН, в отсутствие или в присутствии катализатора, например, 18-краун-6, в сухом растворителе, например, ТГФ;
c) превращение ОН в уходящую группу X, например, путем тозилирования по X=O-Ts;
d) реакция со структурным элементом боковой цепи А-C(R1) (R2)-С6Н3(R3)-СН2OН в присутствии основания, например, NaH, в растворителе, таком как ДМФ;
e) изомеризация с энергией hv в присутствии триплетного сенсибилизатора, например, антрацена;
f) снятие защиты с использованием TBAF или HF.
Стандартные сокращения, используемые в данном описании, приведены ниже:
Виt = трет-бутил, ДМФ = N,N-диметилформамид, Et = этил, эфир = диэтиловый эфир, Me = метил, PPTS = п-толуолсульфонат пиридиния, Ру = пиридин, TBAF = фторид тетра-н-бутиламмония, TBS = трет-бутилдиметилсилил, ТГФ = тетрагидрофуран, ТНР = тетрагидро-4Н-пиран-2-ил, Ts = тозил, ТЕS = триэтилсилил.
Фармакологические методы
Для иллюстрации эффективности соединений формулы I, сравнительные данные представлены ниже в таблице А. Заголовки столбцов: “НаСаТ, отн.”, “Кальц., отн.”, “Связывание с рецептором, отн.” и “Оценка раздражения кожи” объяснены ниже.
Оценочный анализ тестируемых соединений на антипролиферативную активность в клетках кожи, например, на антипсориатический эффект, представляет собой in vitro-анализ с использованием НаСаТ, спонтанно иммортализованной неонкогенной клеточной линии кератиноцитов кожи человека (M
rk Hansen, С. et al., J.Invest. Dermatol. 1, 44-48 (1996)) с измерением поглощения 3H-тимидина. В таблице А, в столбце “НаСаТ, отн.” приводится антипролиферативная активность в клетках кожи соединения 100 примера 1 настоящего описания (по отношению к 1,25(ОН)2D3” кальцитриол); при этом, упоминается, что соединение 100 обладает антипролиферативной активностью в клетках кожи такой же эффективности, как и известное ранее соединение кальцитриол.
В основном, классическое действие 1,25(ОН)2D3 на баланс кальция в организме, включая кальцемическую и кальциуремическую активности, является нежелательным свойством для аналогов витамина D настоящего изобретения, для которых желательными являются селективность, например, в отношении ингибирования пролиферации некоторых клеток, отсутствие кальцемических эффектов и раздражения кожи. Таким образом, кальцемическую активность этих соединений определяли in vivo на крысах, как описано ранее (Binderup, L., Bramm., Е., Biochem. Pharmacol. 37, 889-895 (1988)). В таблице А, в столбце “Кальц., отн.” приводится кальцемическая активность соединения 100 примера 1 настоящего описания (по отношению к 1,25 (OH)2D3); при этом, упоминается, что соединение 100 настоящего изобретения обладает очень низкой кальцемической активностью по сравнению с соединением кальцитриолом и известным соединением № 111 по патенту ЕР 522013.
Кроме того, связывание соединений настоящего изобретения с рецептором витамина D по отношению к их связыванию с кальцитриолом определяли in vitro по сравнению со связыванием уже известных соединений, как описано ранее (Binderup, L. Bramm, E., Biochem. Pharmacol. 37, 889-895 (1988)).
Раздражение кожи оценивали у бесшерстных морских свинок. Был проведен 48-часовой рандомизированный тест на окклюзивные бляшки. Каждый аналог тестировали при трех уровнях доз (500 мкг/мл, 50 мкг/мл и 5 мкг/мл), а также с использованием раствора плацебо. Раздражение кожи оценивали слепым методом и на основе клинических параметров и объективного измерения кожного кровотока (визуализация перфузии с помощью лазера доплеровской линии LDPI) и эритемы (Minolta ChromaMeter). Кроме того, была измерена толщина эпидермиса как показатель эпидермальной гиперплазии.
Оценка раздражения определена ниже:
0 вещества, не вызывающие раздражения;
+ вещества, почти не вызывающие раздражения, или вызывающие очень небольшое раздражение по сравнению с кальцитриолом;
++ вещества, вызывающие небольшое раздражение по сравнению с кальцитриолом;
+++ вещества, вызывающие такое же раздражение, что и кальцитриол;
++++ вещества, вызывающие более сильное раздражение, чем кальцитриол;
+++++ вещества, вызывающие очень сильное раздражение по сравнению с кальцитриолом.
Из таблицы А видно, что соединение 100 обладает значительно меньшим раздражающим действием на кожу, чем известные соединения, тогда как его эффективность в НаСаТ-анализе (модель псориаза) аналогична эффективности l,25(OH)2D3, а кальцемическая активность пренебрежимо мала и сравнима с активностью соединения № 111 по патенту ЕР 522013.
По своей структуре, соединения формулы I являются родственными соединениям формулы I, описанным в ЕР 522013. Однако соединения настоящего изобретения неожиданно обнаружили меньшее раздражающее действие на кожу, чем соединения ЕР 522013. Для демонстрации этого неожиданного эффекта, соединение № 100 примера 1 настоящего изобретения сравнивали с соединением № 111 ЕР 522013. Структурное различие этих соединений заключается лишь в длине цепи, связывающей кислород с углеродом № 22 и с фенильным кольцом, где, в соединении 111 EP 522013, указанный кислород непосредственно связан с фенильным кольцом, а в соединении 100 настоящего изобретения, указанный атом кислорода связан с фенильным кольцом посредством метиленовой группы.
Настоящее изобретение относится к использованию фармацевтических композиций, предназначенных для местного или системного лечения заболеваний человека и животных, описанных выше.
Соединения настоящего изобретения могут быть использованы в комбинации с другими фармацевтическими препаратами или способами лечения. При лечении псориаза, соединения настоящего изобретения могут быть использованы, например, в комбинации со стероидами или в сочетании с другими средствами лечения, например, с фототерапией или УФ-терапией, либо с комбинированной PUVA-терапией. При лечении рака, соединения настоящего изобретения могут быть использованы в комбинации с другими противораковыми средствами или в сочетании с другой противораковой терапией, такой как лучевая терапия. Для предупреждения отторжения трансплантата и реакции “трансплантат против хозяина” или для лечения аутоиммунных болезней, соединения настоящего изобретения могут быть преимущественно использованы в комбинации с другими иммуносуппрессорными или иммунорегуляторными лекарственными средствами или методами терапии, например, с использованием циклоспорина А.
Количество соединения формулы I (называемого далее активным ингредиентом), необходимое для достижения терапевтического эффекта, может, разумеется, варьироваться в зависимости от конкретного соединения, способа введения и вида млекопитающего, подвергаемого лечению. Соединения настоящего изобретения могут быть введены парентерально, внутрисуставно, энтерально или путем местного применения. Они хорошо абсорбируются при энтеральном введении, а поэтому при лечении системных нарушений, этот способ введения является предпочтительным. При лечении дерматологических расстройств, таких как псориаз или глазные болезни, предпочтительными являются формы для местного применения или энтерального введения.
Хотя активный ингредиент может быть введен отдельно в виде необработанного химического соединения, однако, предпочтительно, чтобы оно было введено в виде фармацевтической композиции. Обычно, активный ингредиент содержит от 0,1 м.д. до 0,1% от массы композиции.
Так, например, композиции настоящего изобретения, используемые как в ветеринарии, так и в медицине, содержат активный ингредиент в сочетании с фармацевтически приемлемым носителем и, необязательно, с другим(и) терапевтическим(и) ингредиентом(ами). Указанный носитель(и) должен быть “приемлемым” в том смысле, что он должен быть совместимым с другими ингредиентами данной композиции и не должен оказывать негативного воздействия на ее (композиции) реципиента.
Указанные композиции имеют, например, форму, подходящую для перорального, офтальмического, ректального, парентерального (включая подкожное, внутримышечное и внутривенное), чрезкожного, внутрисуставного, местного, интраназального или трансбукального введения.
Термин “стандартная доза” означает унитарную, то есть, разовую дозу, которая может быть введена пациенту, удобна в обращении и может быть легко упакована, и, при этом, сохраняется как физически и химически стабильная разовая доза, содержащая либо активный материал как таковой, либо его смесь с твердыми или жидкими разбавителями или носителями.
Указанные композиции обычно представляют собой стандартную лекарственную форму и могут быть получены любыми методами, хорошо известными специалистам-фармацевтам. Все эти методы включают стадию получения смеси активного ингредиента с носителем, который включает один или несколько вспомогательных ингредиентов. В общих чертах, указанные композиции получают путем равномерного и тщательного перемешивания активного ингредиента с жидким носителем или тонко измельченным твердым носителем, или с тем и другим, а затем, если это необходимо, полученный продукт подвергают формованию с получением нужной композиции.
Композиции настоящего изобретения, подходящие для перорального введения, могут быть изготовлены в виде дискретных единиц в форме капсул, саше, таблеток или пастилок, каждая из которых содержит заранее определенное количество активного ингредиента; в форме порошка или гранул; в форме раствора или суспензии в водной или безводной жидкости; либо в форме эмульсии типа “масло в воде” или “вода в масле”. Указанный активный ингредиент может быть также введен в форме болюса, лекарственной кашки или пасты.
Композиции для ректального введения могут быть изготовлены в форме суппозиториев, включающих активный ингредиент и носитель, или в форме клизм.
Композиции, подходящие для парентерального введения, обычно содержат стерильный масляный или водный препарат активного ингредиента, который является, предпочтительно, изотоническим по отношению к крови реципиента. Чрезкожные композиции могут быть изготовлены в форме пластыря или повязки.
Композиции, подходящие для внутрисуставного или офтальмического введения, могут быть изготовлены в форме стерильного водного препарата активного ингредиента, который может представлять собой микрокристаллическую форму, например, форму водной микрокристаллической суспензии. Для внутрисуставного и офтальмического введения активного ингредиента настоящего изобретения могут быть также использованы липосомные композиции или биологически разлагаемые полимерные системы.
Композиции, подходящие для местного или офтальмического введения, представляют собой жидкие или полутвердые препараты, такие как липименты (жидкие мази), лосьоны, гели, аппликаторы, эмульсии типа “масло в воде” или “вода в масле”, такие как кремы, мази или пасты; либо растворы или суспензии, такие как капли.
Композиции, подходящие для введения через нос или в щечный карман, представляют собой порошок, самораспыляющиеся композиции и спреи, такие как аэрозоли и ингаляторы.
Помимо вышеуказанных ингредиентов, композиции настоящего изобретения могут включать один или несколько других ингредиентов, таких как разбавители, связующие вещества, консерванты и т.п.
Указанные композиции могут, кроме того, содержать другие терапевтически активные соединения, обычно применяемые для лечения вышеупомянутых патологических состояний, такие как другие иммунодепрессанты, для лечения иммунных болезней, или стероиды, для лечения кожных болезней.
Настоящее изобретение, кроме того, относится к способу лечения пациентов, страдающих одним из вышеуказанных патологических состояний, где указанный способ предусматривает введение пациенту, нуждающемуся в таком лечении, эффективного количества одного или нескольких соединений формулы I отдельно или в комбинации с одним или несколькими наполнителями или другими терапевтически активными соединениями, обычно применяемыми для лечения указанных патологических состояний. Лечение соединениями настоящего изобретения и/или другими терапевтически активными соединениями может быть проведено одновременно или с интервалами.
При системном лечении, суточные дозы вводят в количестве 0,001-2 мкг на килограмм массы тела, а предпочтительно, 0,002-0,3 мкг/кг массы тела млекопитающего, например, 0,003-0,3 мкг/кг соединения формулы I, что обычно соответствует суточной дозе взрослого человека 0,2-25 мкг. При местном лечении кожных болезней применяют мази, кремы или лосьоны, содержащие 0,1-1000 мкг/г, предпочтительно, 1-500 мкг/г, а более предпочтительно, 10-250 мкг/г соединения формулы I. При местном применении вводят офтальмические мази, капли или гели, содержащие 0,1-1000 мкг/г, предпочтительно, 1-500 мкг/г, а более предпочтительно, 10-250 мкг/г соединения формулы I. Композиции для перорального введения изготавливают предпочтительно в виде таблеток, капсул или капель, содержащих 0,05-100 мкг, предпочтительно 0,1-50 мкг соединения формулы I на стандартную дозу.
Настоящее изобретение, кроме того, описано в нижеследующем разделе: Общие процедуры, препаративные примеры и примеры.
Общие процедуры, препаративные примеры и примеры
Общее описание
Примеры соединений формулы I представлены в таблице 2, а промежуточные соединения препаративных примеров 1-8 проиллюстрированы в таблице 1.
Для спектров ядерного магнитного резонанса (300 МГц), химические сдвиги (
) приведены для растворов дейтериохлороформа по отношению к внутреннему стандарту тетраметилсилану (
Общие процедуры
Общая процедура 1: Получение соединения формулы III путем алкилирования соединения 2
К раствору соединения 2 (862 мг, 1,5 ммоль) в сухом тетрагидрофуране (10 мл) добавляли гидрид калия (1,0 мл 20% суспензии в масле) и элемент структуры боковой цепи формулы A-C(R1) (R2)С6Н3(R3)-CH2-Z (6,75 ммоль), и реакционную смесь интенсивно перемешивали. 18-Краун-6 (650 мг, 5,8 ммоль) растворяли в сухом тетрагидрофуране (5 мл) и добавляли по каплям в течение 20 мин. После перемешивания в течение еще 90 мин, к реакционной смеси осторожно добавляли воду (40 мл) . После угасания реакции, реакционную смесь разбавляли эфиром (100 мл) и органическую фазу последовательно экстрагировали водой (3 х 50 мл) и насыщенным водным хлоридом натрия (50 мл). После сушки и удаления растворителя в вакууме, продукт очищали хроматографией (силикагель, 10% эфир в петролейном эфире в качестве растворителя) и получали нужное соединение в виде бесцветного масла.
Общая процедура 2: Изомеризация соединения формулы III до соответствующего 5(Z)-изомера IV
Раствор соединения формулы III (1 ммоль), антрацена (800 мг, 4,5 ммоль) и триэтиламина (1 капля) в дихлорметане (60 мл) в атмосфере аргона в колбе Пирекса облучали светом от ультрафиолетовой лампы высокого давления типа TQ 718-Z2 (Hanau) при комнатной температуре в течение 35 мин. Раствор фильтровали и концентрировали в вакууме. Остаток очищали хроматографией (силикагель, 10% эфир в петролейном эфире в качестве растворителя) и получали нужное соединение в виде бесцветного масла.
Общая процедура 3: Снятие защиты у соединения формулы IV с получением соответствующего соединения формулы I
Соединение формулы IV (1 ммоль) растворяли в этилацетате (1,0 мл). Затем добавляли ацетонитрил (25 мл) при интенсивном перемешивании. После этого добавляли раствор 5% фтористоводородной кислоты в смеси ацетонитрила:воды (8:1) (12 мл) и реакционную смесь перемешивали в атмосфере аргона при комнатной температуре в течение 45 мин. Затем добавляли этилацетат (150 мл) и реакционную смесь последовательно экстрагировали насыщенным водным бикарбонатом натрия (60 мл), водой (3 х 60 мл) и насыщенным водным хлоридом натрия (50 мл), после чего сушили сульфатом магния и концентрировали в вакууме. Остаток очищали хроматографией (силикагель, 20% пентан в этилацетате в качестве растворителя) и получали указанное в заголовке соединение.
Препаративные примеры
Препаративный пример 1: 1(S),3(R)-бис-трет-бутилдиметилсилилокси-20(R)-гидроксиметил-9,10-секопрегна-5(Z),7(Е), 10(19)-триен (Соединение 2)
Перемешанный и охлажденный льдом раствор альдегида 1 (5 г) в ТГФ (20 мл) и этаноле (70 мл) обрабатывали борогидридом натрия (0,35 г). Через 10 мин реакционную смесь распределяли между этилацетатом и водой и органический слой промывали насыщенным раствором соли и сушили. После концентрирования в вакууме получали указанное в заголовке соединение. 1H ЯМР:
HS 15 и до 1 мл воды для инъекций.
где R1 и R2, которые могут быть одинаковыми или различными, представляют собой (C1-C4) алкил;
R3 представляет собой водород, галоген, (C1-C4)алкил или O-(C1-C4)алкил,
и его in vivo-гидролизуемые сложные эфиры фармацевтически приемлемых кислот.
2. Соединение по п.1, имеющее формулу Iа:
где R1 и R2, которые могут быть одинаковыми или различными, представляют собой (C1-C4) алкил;
R3 представляет собой водород, галоген, (С1-С4)алкил или О-(С1-С4)алкил,
и его in vivo-гидролизуемые сложные эфиры фармацевтически приемлемых кислот.
3. Соединение по любому из предыдущих пунктов, где R1 представляет собой метил или этил.
4. Соединение по любому из предыдущих пунктов, где R2 представляет собой метил или этил.
5. Соединение по любому из предыдущих пунктов, где R3 представляет собой водород, F, C1, метил, этил или метокси.
6. Соединение по любому из предыдущих пунктов, где группа R3 находится в 5-положении.
7. Соединение по любому из предыдущих пунктов, где R1 и R2 оба представляют собой метил, а R3 представляет собой водород, F или метил.
8. Соединение по любому из предыдущих пунктов, где R3 представляет собой 5-метил или 4-фтор.
9. Соединение по любому из предыдущих пунктов, представляющее собой диастереоизомер соединения по п.1 или 2 в чистом виде или смесь диастереоизомеров соединения по п.1 или 2.
10. Соединение по любому из предыдущих пунктов, выбранное из группы, состоящей из:
1(S),3(R)-Дигидрокси-20(R)-[((3-(2-гидрокси-2-пропил)-фенил)-метокси)-метил]-9,10-секопрегна-5(Z),7(E),10(19)-триена;
1(S),3(R)-Дигидрокси-20(R)-[((3-(2-гидрокси-2-пропил)-5-метил-фенил)-метокси)-метил]-9,10-секопрегна-5(Z),7(E),10(19)-триена;
1(S),3(R)-Дигидрокси-20(R)-[((3-(2-гидрокси-2-пропил)-5-метокси-фенил)-метокси)-метил]-9,10-секопрегна-5(Z),7(Е), 10(19)-триена;
1(S),3(R)-Дигидрокси-20(R)-[((3-(2-гидрокси-2-пропил)-4-фтор-фенил)-метокси)-метил]-9,10-секопрегна-5(Z),7(Е),10(19)-триена;
и их in vivo-гидролизуемых сложных эфиров фармацевтически приемлемых кислот.
11. Фармацевтическая композиция для лечения и профилактики заболеваний, характеризующихся аномальной дифференцировкой и/или пролиферацией клеток, или расстройства иммунной системы, содержащая эффективное количество соединения по любому из пп.1-10 вместе с фармацевтически приемлемыми носителями и/или со вспомогательными агентами.
12. Фармацевтическая композиция по п.11 в виде дозированной лекарственной формы.
13. Фармацевтическая композиция по п.12, где указанная дозированная лекарственная форма содержит 0,05-100 мг, а предпочтительно 0,1-50 мг соединения по любому из пп.1-10.
14. Соединения по любому из пп.1-10 для получения лекарственного препарата.
15. Соединения по любому из пп.1-10 для получения препарата для лечения или профилактики заболеваний, характеризующихся аномальной дифференцировкой и/или пролиферацией клеток, или расстройства иммунной системы.
16. Соединение по п.15, где указанное заболевание выбрано из группы, состоящей из рака, псориаза, старения кожи и гиперпаратиреоза.