Патент на изобретение №2150574
|
||||||||||||||||||||||||||
(54) СПОСОБ КРЕПЛЕНИЯ ОБСАДНОЙ КОЛОННОЙ ГОРИЗОНТАЛЬНОГО УЧАСТКА СТВОЛА СКВАЖИНЫ
(57) Реферат: Использование: при бурении скважин, в частности в способах крепления обсадной колонной горизонтального участка ствола скважины. Обеспечивает повышение качества цементирования обсадной колонны горизонтального участка ствола скважины. Сущность изобретения: в горизонтальный участок ствола спускают обсадную колонну. Закачивают цементный раствор расчетной плотности и объема. Обсадную колонну собирают из легкоплавных обсадных труб. После закачки цементного раствора закачивают продавочную жидкость. Ее закачивают в объеме, обеспечивающем заполнение внутреннего объема обсадной колонны, спущенной в горизонтальный участок ствола скважины. Плотность продавочной жидкости определяют из аналитического выражения. Настоящее изобретение относится к области бурения скважин, в частности к способам крепления обсадной колонной горизонтального участка ствола скважины. Известен способ цементирования обсадных колонн, в котором перед закачкой цементного раствора закачивают и задавливают в пласт, содержащий агрессивные флюиды, нефть, ГКЖ-11 или фенольное масло [1]. Однако этот способ не применим для цементирования обсадной колонной горизонтального участка ствола скважины. Наиболее близким по технической сущности и достигаемому результату является способ установки цементного моста в скважине, включающий спуск в скважину заливочной колонны, в которую закачивают первую порцию буферной жидкости с выходом ее в затрубное пространство через нижний торец заливочной колонны, а объем ее определяют достаточным для заполнения затрубного пространства до верхней отметки цементного моста. Затем в скважину продавливают нижнюю разделительную пробку, далее – цементный раствор расчетного объема и плотности, верхнюю разделительную пробку и после нее вторую порцию буферной жидкости и расчетный объем продавочной жидкости. Причем первая порция буферной жидкости имеет плотность на 200-500 кг/м3 меньше плотности цементного раствора, который поступает в скважину непосредственно за буферной жидкостью [2]. Известный способ не позволяет отцентрировать обсадную колонну вдоль оси горизонтального участка ствола скважины, так как буферную жидкость закачивают за обсадную колонну, а не наоборот, и саму колонну собирают из стальных труб. Все это снижает качество цементирования. Целью настоящего изобретения является повышение качества цементирования обсадной колонной горизонтального участка ствола скважины. Поставленная цель достигается тем, что в известном способе крепления обсадной колонной горизонтального участка ствола скважины, включающем спуск обсадной колонны в горизонтальный участок ствола, закачивание цементного раствора расчетного объема и плотности и продавочной жидкости расчетного объема, согласно изобретению спускаемую в горизонтальный участок ствола обсадную колонну собирают из легкосплавных обсадных труб, цементный раствор закачивают в обсадную колонну, затем в нее закачивают продавочную жидкость, в объеме, обеспечивающем заполнение внутреннего объема обсадной колонны, спущенной в горизонтальный участок ствола скважины, а плотность продавочной жидкости определяют из выражения: кг/м3где ц – плотность цементного раствора, кг/м3; м – плотность металла обсадных труб, кг/м3;Dн – наружный диаметр обсадной колонны, м; Dв – внутренний диаметр обсадной колонны, м. Сущность изобретения заключается в том, что в горизонтальный участок ствола спускают обсадную колонну, которую собирают из легкосплавных обсадных труб. В спущенную обсадную колонну закачивают расчетный объем цементного раствора плотностью ц, необходимого для заполнения при его продавливании за обсадную колонну в горизонтальный участок ствола скважины и подъеме цементного раствора за обсадной колонной на заданную высоту в наклонной и вертикальной частях ствола скважины. Плотность закачиваемого цементного раствора определяют из геологических условий.
За цементным раствором закачивают продавочную жидкость в объеме, равном внутреннему объему обсадной колонны, спущенной в горизонтальный участок ствола скважины.
Плотность продавочной жидкости должна обеспечивать всплытие обсадной колонны в цементном растворе и расположение ее по оси горизонтального участка ствола.
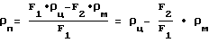
Величину плотности продавочной жидкости определяют из выражения: кг/м3где м – плотность металла обсадных труб, кг/м3; ц – плотность цементного раствора, кг/м3;Dн – наружный диаметр обсадной колонны, м; Dв – внутренний диаметр обсадной колонны, м. Рассмотрим горизонтальный участок ствола скважины длиной L1 со спущенной в него обсадной колонной, состоящей из легкосплавных обсадных труб. За обсадной колонной находится цементный раствор, плотностью ц, в колонне – продавочная жидкость плотностью п.
Запишем условие плавучести участка колонны в цементном растворе:F1L1( ц– п) = F2 L1![]() м (1)Решая уравнение (1) относительно величины п, получим: (2)В уравнениях (1) и (2) величины F1 и F2 равны соответственно: ; ,где Dн и Dв – соответственно наружный и внутренний диаметры обсадной колонны. Подставив зависимости (3) и (4) в (2), получим величину плотности продавочной жидкости: ![]() Пример На одной из скважин Кущевского ПХГ в горизонтальный участок ствола скважины была спущена обсадная колонна, собранная из легкосплавных дуралюминиевых труб, имеющих плотность м = 2200 кг/м3. Наружный диаметр обсадной колонны 160 мм, внутренний – 146 мм. В обсадную колонну был закачен цементный раствор плотностью ц = 1600 кг/м3, которую определяли геологическими условиями скважины, и который затем был продавлен за обсадную колонну продавочной жидкостью. Для обеспечения всплытия обсадной колонны в цементном растворе внутренний ее объем был заполнен продавочной жидкостью, плотность которой была определена из выражения:![]() Близкую к полученной плотности имеет фосфатидный концентрат ФК, применяемый в бурении в качестве смазывающей добавки. Использование предлагаемого способа позволит повысить качество цементирования обсадной колонной горизонтального участка ствола скважины за счет отцентрирования обсадной колонны строго по ее оси. Источники информации 1. Авторское свидетельство СССР N 1543048, кл. E 21 B 33/138, 1990, БИ N 6. 2. Патент США N 5402849б кл. E 21 B 33/14, 1995. Формула изобретения
кг/м3где ц – плотность цементного раствора, кг/м3; м – плотность металла обсадных труб, кг/м3;Дн – наружный диаметр обсадной колонны, м; Дв – внутренний диаметр обсадной колонны, м. MM4A Досрочное прекращение действия патента из-за неуплаты в установленный срок пошлины за
Дата прекращения действия патента: 02.09.2008
Дата публикации: 20.02.2011
|
||||||||||||||||||||||||||

кг/м3
ц – плотность цементного раствора, кг/м3;
кг/м3
L1
(2)
;
,

кг/м3