Патент на изобретение №2223475
|
||||||||||||||||||||||||||
(54) СПОСОБ ОПРЕДЕЛЕНИЯ ИНТЕГРАЛЬНЫХ ХАРАКТЕРИСТИК ДЛЯ КОНСТРУКЦИЙ В ВИДЕ УПРУГИХ ПЛАСТИНОК И ПРИЗМАТИЧЕСКИХ СТЕРЖНЕЙ, СООТВЕТСТВЕННО ФОРМА И ПОПЕРЕЧНОЕ СЕЧЕНИЕ КОТОРЫХ ИМЕЮТ ВИД ПРОИЗВОЛЬНОГО ТРЕУГОЛЬНИКА И ПАРАЛЛЕЛОГРАММА
(57) Реферат: Изобретение относится к методам определения интегральных характеристик элементарных конструкций. Предложенный способ заключается в изготовлении образцов, испытании их в соответствии с условиями эксплуатации, экспериментальном определении для них исследуемой интегральной характеристики и теоретическом вычислении значения искомой характеристики для любого элемента из заданного множества с использованием полученных экспериментальных результатов. Для элементов треугольной формы изготавливают и испытывают по три образца в виде равнобедренных остроугольных треугольников и по три образца в виде равнобедренных тупоугольных треугольников и по результатам испытания с учетом известного решения для области в виде правильного треугольника аналитически строят кривые “интегральная характеристика – правый угол при основании равнобедренного треугольника”, ограничивающие распределение всего множества интегральных характеристик для треугольных областей, а для элементов параллелограммной формы изготавливают и испытывают три-четыре образца в виде ромба и по результатам испытания с учетом известного решения для квадратной области строят кривые “интегральная характеристика – коэффициент формы”, ограничивающие распределение всего множества интегральных характеристик для параллелограммных областей. Данное изобретение направлено на сокращение числа испытуемых образцов. 4 ил. Изобретение относится к испытательной технике и может быть использовано для определения интегральных характеристик (максимального прогиба при поперечном изгибе, основной частоты при свободных колебаниях, критической силы при потере устойчивости для конструкций в виде тонких упругих пластинок и приведенной геометрической жесткости сечений для упругих призматических стержней). Форма пластинок и поперечные сечения стержней связаны с областями в виде произвольного треугольника и параллелограмма. Известен способ экспериментального определения физико-механических характеристик элементов конструкций [1, с.105-201], который заключается в изготовлении элемента требуемых размеров, закреплении его в соответствии с условиями эксплуатации, нагружении и измерении исследуемых физико-механических характеристик соответствующими приборами. Недостаток этого способа заключатся в том, что при его реализации требуется изготовление элемента для каждого типа исследуемой конструкции. Известен также экспериментально-теоретический способ определения физико-механических характеристик для заданного множества плоских элементов конструкций с выпуклым контуром, объединенных одним непрерывным геометрическим преобразованием [2] , принятый в качестве прототипа, который заключается в изготовлении двух образцов из этого множества элементов, испытании их в соответствии с условиями эксплуатации, экспериментальном определении исследуемой физико-механической характеристики и теоретическом вычислении значения искомой характеристики для любого элемента из заданного множества с использованием полученных экспериментальных результатов. Недостаток этого способа заключатся в том, что одним непрерывным геометрическим преобразованием невозможно объединить элементы определенного класса форм (например, все треугольные или все параллелограммные области), можно лишь объединить ограниченное множество элементов. Задача, на решение которой направлено изобретение, состоит в существенном сокращении числа испытываемых образцов при распространении способа на все множество элементов треугольных и параллелограммных форм. Это достигается тем, что в способе определения интегральных характеристик для конструкций в виде упругих пластинок и призматических стержней, соответственно форма и поперечное сечение которых имеют вид произвольного треугольника и параллелограмма, заключающемся в изготовлении образцов, испытании их в соответствии с условиями эксплуатации, экспериментальном определении для них исследуемой интегральной характеристики и теоретическом вычислении значения искомой характеристики для любого элемента из заданного множества с использованием полученных экспериментальных результатов, для элементов треугольной формы изготавливают и испытывают по три образца в виде равнобедренных остроугольных треугольников и по три образца в виде равнобедренных тупоугольных треугольников и по результатам испытания с учетом известного решения для области в виде правильного треугольника аналитически строят кривые “интегральная характеристика – угол при основании равнобедренного треугольника”, ограничивающие распределение всего множества интегральных характеристик для треугольных областей, а для элементов параллелограммной формы изготавливают и испытывают три-четыре образца в виде ромба и по результатам испытания с учетом известного решения для квадратной области строят кривые “интегральная характеристика – коэффициент формы”, ограничивающие распределение всего множества интегральных характеристик для параллелограммных областей. Сущность изобретения заключается в следующем. В монографии [3] приведено доказательство закономерности об ограниченности распределения всего множества интегральных характеристик в двумерных задачах теории упругости, связанных с треугольной и параллелограммной областями [3, с.154-194]. К числу таких задач относятся: поперечный изгиб пластинок равномерно распределенной нагрузкой, свободные колебания пластинок в ненагруженном состоянии, продольный изгиб пластинок при всестороннем равномерном сжатии, чистое кручение призматического бруса. Рассматриваемые пластинки имеют однородные граничные условия (либо условия шарнирного опирания по контуру, либо жесткого защемления). Для этих задач характерными интегральными характеристиками являются соответственно: максимальный прогиб w0 основная частота колебаний , критическое усилие при потере устойчивости N0 , приведенная геометрическая жесткость сечения ik . Во всех рассматриваемых задачах точные решения имеются только для областей в виде правильного треугольника и прямоугольников, включая квадрат. Во всех остальных случаях задачи решаются либо приближенными способами, либо с помощью эксперимента.
Физическая и геометрическая сущность изобретения поясняется чертежами, представленными на фиг.1, фиг.2, фиг.3 и фиг.4.
На фиг.1 в обобщенном виде (для всех рассматриваемых задач) представлена указанная выше закономерность для треугольных областей. По оси ординат отложена обобщенная интегральная характеристика F (или 1/F), а по оси абсцисс – правый угол при основании треугольника . Точка 2 на графике соответствует равностороннему треугольнику, точка 1 – прямоугольному равнобедренному треугольнику, кривая 0-1 – равнобедренным тупоугольным треугольникам, кривая 1-2-3 – равнобедренным остроугольным треугольникам, кривая 1-3 – прямоугольным треугольникам. Кривые 0-1 и 1-3 ограничивают распределение всего множества интегральных характеристик для тупоугольных треугольников, а кривые 1-3 и 1-2-3 – для остроугольных треугольников.
На фиг. 2 показаны характерные этапы изменения формы треугольников при аффинном сдвиге равнобедренного тупоугольного треугольника параллельно основанию. Изменение интегральных характеристик для подмножества треугольных областей, объединенных этим преобразованием, иллюстрируется на фиг 1 кривой а-б-в-г-д. Можно применять и другие преобразования треугольников, например комбинированные аффинные преобразования сдвига и растяжения (сжатия).
Если на концах таких кривых известны значения исследуемых интегральных параметров (например, найденные экспериментально), то для определения F для любой области из рассматриваемого подмножества можно воспользоваться способом-прототипом. Однако проводить испытания двух образцов каждый раз, когда необходимо найти значения интегральных характеристик для некоторого заданного подмножества областей, нерационально. Целесообразно провести испытания образцов только один раз для каждой из рассматриваемых задач теории упругости. При этом необходимо:– изготовить по три разных образца для областей в виде равнобедренного тупоугольного треугольника (например, с углами при вершине =90o, 120o и 150o) и равнобедренного остроугольного треугольника (например, с углами при вершине =45o, 30o и 20o) и провести их испытания;– используя результаты испытаний, а также известный теоретический результат для правильного треугольника, построить аппроксимирующую функцию F – для областей в виде равнобедренных треугольников.
В дальнейшем эту функцию можно, не проводя испытаний, использовать для получения граничных значений F аналитическим путем и применять методику способа-прототипа для определения интегральных характеристик для любой треугольной области.
На фиг.3 в обобщенном виде (для всех рассматриваемых задач) представлена указанная выше закономерность для параллелограммных областей. По оси ординат отложена обобщенная интегральная характеристика F; а по оси абсцисс – обратная величина коэффициента формы 1/Кf. Коэффициент формы для параллелограммов определяется по формуле![]() где а и b – длины сторон параллелограмма, – острый угол между сторонами, характеризует количественно степень отличия параллелограмма от прямоугольника. Из этого выражения получаются формулы для частных случаев: для прямоугольников Кf=4(а/b + b/а); для ромбов Kf-=8/sin .Согласно закономерности, установленной в работе [3], все множество значений интегральных характеристик F (или 1/F) в рассматриваемых задачах теории упругости заключено между двух границ: одну границу образуют прямоугольники (кривая I), другую – ромбы (кривая II). Точка 1 на графике соответствует значениям F для квадрата. Для прямоугольных областей решение всех рассматриваемых задач теории упругости имеется в соответствующей учебной и научной литературе. Поэтому кривую I можно построить аналитически, используя эти известные решения. Для ромбических же областей для некоторых из рассматриваемых задач (например, задачи чистого кручения призматического стержня) решения отсутствуют вообще, а для других задач имеется всего несколько приближенных решений, по которым невозможно построить кривую II. Для этих целей целесообразно воспользоваться экспериментальными методами, проведя испытания не менее трех образцов с различными углами ромбов, например =60o, 45o и 30o. Используя результаты этих испытаний и известное точное решение для квадратной области, можно построить соответствующую аппроксимирующую кривую II.
На фиг. 4 показан приемы использования аффинных преобразований прямоугольника параллельно основанию: на схеме а) – сдвиг прямоугольника параллельно основанию, на схеме б) – сдвиг с растяжением прямоугольника. При этом получается подмножество параллелограммов, в котором одной из промежуточных фигур является ромб. Графически изменение интегральной характеристики F при аффинном сдвиге прямоугольника показано на фиг.3 кривой а-б-в-г. Если известны значения F для прямоугольника и ромба (точки а и в на графике), то для определения значения F для любой промежуточной параллелограммной области можно использовать способ-прототип.
Способ реализуют следующим образом.
При построении граничных кривых F – для треугольников изготавливают три образца для областей в виде равнобедренного тупоугольного треугольника (например, с углами при вершине =90o, 120o и 150o) и три образца для областей в виде равнобедренного остроугольного треугольника (например, с углами при вершине =45o, 30o и 20o). Далее испытывают эти образцы в соответствии с условиями их работы в сооружении или машине с использованием необходимого оборудования и приборов. При этом прямыми или косвенными методами определяются искомые интегральные характеристики для всех образцов. После этого, используя результаты испытаний и известное точное решение для области в виде равностороннего треугольника, путем аналитической обработки имеющихся данных строят аппроксимирующую функцию F – , которая и является граничной кривой для всего множества интегральных характеристик, связанных с треугольной областью. В дальнейшем при необходимости определения интегральной характеристики для области определенного (заданного) вида выбирают какое-либо геометрическое преобразование, объединяющее подмножество областей, в которое входят заданная область и две области в виде равнобедренного тупоугольного и равнобедренного остроугольного треугольников. Из уравнения кривой F – находят значения интегральных характеристик для этих равнобедренных областей и затем применяют методику способа прототипа для аналитического определения искомой интегральной характеристики для заданной области.
При построении граничных кривых F – 1/Кf для параллелограммов изготавливают три-четыре образца для областей в виде ромба (например, с углами = 60o, 45o и 30o). Далее испытывают эти образцы в соответствии с условиями их работы в сооружении или машине с использованием необходимого оборудования и приборов, прямыми или косвенными методами определяются искомые интегральные характеристики для всех образцов. После этого, используя результаты испытаний и известное точное решение для области в виде квадрата, путем аналитической обработки имеющихся данных строят аппроксимирующую функцию F – Кf, которая и является одной из граничных кривых для всего множества интегральных характеристик, связанных с параллелограммной областью. Другую граничную кривую строят по известным точным решениям соответствующих задач теории упругости для прямоугольников. Далее при определении интегральной характеристики для области определенного (заданного) вида выбирают какое-либо геометрическое преобразование, объединяющее подмножество областей, в которое входят заданная область и две области в виде прямоугольника и ромба. Из уравнения кривой F – Kf находят значения интегральных характеристик для этих прямоугольной и ромбической областей, а затем применяют методику способа-прототипа для аналитического определения искомой интегральной характеристики для заданной области.
Примеры реализации способа.
Пример 1. Рассмотрим задачу определения основной частоты колебаний со параллелограммных пластинок, края которых шарнирно оперты.
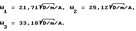
Были изготовлены три образца пластинок одинаковой площади А из дюралюминия толщиной Н=2 мм (модуль упругости Е=0,71 105 МПа, коэффициент Пуассона v= 0,34, цилиндрическая жесткость D= EH3/[12(1-v2)] = 53,52 Нм, плотность =2,71 кг/дм3, масса единицы площади m=0,0542 кг/дм2).
Образец 1: =60o, длина стороны a=34,00 см (А=0,1 м2);образец 2: =45o, длина стороны а=37,61 см (А=0,1 м2);образец 3: =30o, длина стороны а=44,72 см (А=0,1 м2).
Граничные условия шарнирного опирания были реализованы с помощью металлических уголков, накладываемых обушками навстречу друг другу снизу и сверху по краям пластинок на расстоянии 2 мм от боковых граней и закрепленных с помощью трех струбцин с каждой стороны пластинки с незначительным усилием сжатия.
Для измерения частоты колебаний был использован частотомер Ч3-33. Закрепляя поочередно пластинки и возбуждая в них свободные колебания с помощью механического удара по их поверхности молоточком, после статистической обработки результатов были определены основные частоты колебаний всех образцов:f1= 34,67 Гц ( 1 = 217,84 с-1), f2=40,11 Гц ( 2 = 252,02 с-1), f3=52,98 Гц ( 3 =332,88 с-1).
Эти результаты, приведенные к размерности будут иметь следующие значения: ![]() Используя результаты испытаний, а также известное точное решение для квадратной пластинки (f0 = 198,04 Гц), была построена аппроксимирующая функция для ромбических пластинок![]() которая с точностью до 0,025% удовлетворяет экспериментальным данным. Для пластинок прямоугольной формы с шарнирно опертыми краями известно точное аналитическое решение [3, с.187]: ![]() Таким образом, все множество основных частот колебаний параллелограммных пластинок с шарнирно опертым контуром ограничено с двух сторон: ![]() С помощью этих граничных функций можно для любого геометрического преобразования прямоугольника в ромб (например, аффинного преобразования) находить опорные решения и аналитически описывать все решения для подмножества параллелограммных пластинок, соответствующих выбранному преобразованию. Пусть требуется определить основную частоту колебаний шарнирно опертой пластинки в виде параллелограмма с соотношением сторон a b H=-45 30 0,2 см (a/b= 1,5) и углом =60o (Kf=10,007). Этот параллелограмм можно получить из прямоугольника с соотношением сторон a/b=2,002 (Kf=10,007) с помощью аффинного сдвига и растяжения (см. фиг.4б). При таком преобразовании получается также ромб с углом =53,08o (Kf=10,007). Из полученных граничных прямых по формуле (2) находим![]() ![]() Используя усовершенствованную методику способа-прототипа [4], заключающуюся в интерполировании граничных решений по отношению сторон параллелограмма, получим ![]() Подставляя в эту формулу значение a/b=1,5 для заданной параллелограммной пластинки, находим f=28,34 Гц,что отличается от результата испытания этой пластинки f=29,12 Гц на 2,68%. Пример 2. Рассмотрим задачу определения основной частоты колебаний с треугольных пластинок, края которых шарнирно оперты.
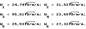
Были изготовлены шесть образцов пластинок одинаковой площади из дюралюминия толщиной Н=2 мм (модуль упругости Е=0,71 105 МПа, коэффициент Пуассона v= 0,34, цилиндрическая жесткость D= ЕН3/[12(1-v2)] = 53,52 Нм, плотность =2,71 кг/дм3, масса единицы площади m=0,0542 кг/дм2). Из них три образца в виде тупоугольного равнобедренного треугольника и три образца в виде остроугольного равнобедренного треугольника.
Образец 1: =90o, a h=63,26 31,63 см (А=0,1 м2);образец 2: =120o, a h=83,24 24,03 см (А=0,1 м2);образец 3: =150o, a h=122,16 16,38 см (А=0,1 м2);образец 4: =45o, a h=40,70 49,14 см (А=0,1 м2);образец 5: =30o, a h=32,74 61,09 см (А=0,1 м2);образец 6: =20o, a h=26,56 75,31 см (А=0,1 м2);Граничные условия шарнирного опирания по сторонам пластинок были реализованы так же, как и в примере 1. Проведя динамические испытания образцов, были получены следующие результаты: f1=39,50 Гц ( 1 =248,19 с-1), f2=50,33 Гц ( 2 =316,23 с-1),f3=88,79 Гц ( 3 =557,88 с-1), f4=37,81 Гц ( 4 =237,57 с-1),f5=40,76 Гц ( 5 =256,10 с-1), f6=43,62 Гц ( 6 =274,07 с-1).
Эти результаты, приведенные к размерности будут иметь следующие значения: ![]() Используя результаты испытаний, а также известное точное решение для пластинки в виде равностороннего треугольника (f0=143,19 Гц), была построена аппроксимирующая функция для пластинок в виде равнобедренных треугольников:![]() которая с точностью до 0,40% удовлетворяет экспериментальным данным. В эту формулу значения следует подставлять в радианах.
С помощью этой граничной функции можно для любого аффинного преобразования треугольников находить опорные решения и аналитически описывать все решения для подмножества треугольных пластинок, соответствующих выбранному преобразованию.
Пусть требуется определить основную частоту колебаний шарнирно опертой пластинки в виде прямоугольного треугольника с углами = 30 и = 60 и размерами a b H=33,98 58,86 0,2 см, выполненную из того же материала, что и образцы.
Этот треугольник можно получить из равнобедренного тупоугольного треугольника с углом при вершине =98,20o ( =41,40o, Кf=12,133) путем аффинного сдвига параллельно основанию (см. фиг.2). При таком преобразовании получается также равносторонний остроугольный треугольник с углом при вершине =25,06o ( =77,47o, Кf=13,986). Из полученной граничной кривой (3) находим![]() ![]() Используя методику способа-прототипа [2, 3], заключающуюся в интерполировании граничных решений по коэффициенту формы области, получим ![]() Подставляя в эту формулу значение коэффициентa формы для заданного прямоугольного треугольника [3] (Kf=12,928) для заданной пластинки, находим f=40,27 Гц,что отличается от результата испытания этой пластинки f=41,53 Гц на 3,03%. Таким образом, технический результат достигается за счет однократного выполнения экспериментальных исследований для нескольких образцов, относящихся к областям в виде равнобедренных треугольников и ромбов, построения аппроксимирующих граничных кривых и дальнейшего аналитического определения интегральных характеристик в рассматриваемых задачах для любого элемента в виде треугольника и параллелограмма с помощью приема интерполяции опорных решений. Источники информации 1. Шаповалов Л.А. Моделирование в задачах механики элементов конструкций. – М.: Машиностроение, 1990. – 287 с. 2. А. с. 1716373 СССР, G 01 N 3/00. Способ определения физико-механических характеристик плоских элементов конструкций. / А.В. Коробко. – Опубл. 29.02.92, Бюл. 08. 3. Коробко А.В. Геометрическое моделирование формы области в двумерных задачах теории упругости. – М.: Изд-во АСВ, 1999. – 302 с. Формула изобретения Способ определения интегральных характеристик для конструкций в виде упругих пластинок и призматических стержней, соответственно форма и поперечное сечение которых имеют вид произвольного треугольника и параллелограмма, заключающийся в изготовлении образцов, испытании их в соответствии с условиями эксплуатации, экспериментальном определении для них исследуемой интегральной характеристики и теоретическом вычислении значения искомой характеристики для любого элемента из заданного множества с использованием полученных экспериментальных результатов, отличающийся тем, что для элементов треугольной формы изготавливают и испытывают по три образца в виде равнобедренных остроугольных треугольников и по три образца в виде равнобедренных тупоугольных треугольников и по результатам испытания с учетом известного решения для области в виде правильного треугольника аналитически строят кривые “интегральная характеристика – правый угол при основании равнобедренного треугольника”, ограничивающие распределение всего множества интегральных характеристик для треугольных областей, а для элементов параллелограммной формы изготавливают и испытывают три – четыре образца в виде ромба и по результатам испытания с учетом известного решения для квадратной области строят кривые “интегральная характеристика-коэффициент формы”, ограничивающие распределение всего множества интегральных характеристик для параллелограммных областей. РИСУНКИ
MM4A Досрочное прекращение действия патента Российской Федерации на изобретение из-за неуплаты в установленный срок пошлины за поддержание патента в силе
Дата прекращения действия патента: 07.05.2004
Извещение опубликовано: 20.02.2006 БИ: 05/2006
|
||||||||||||||||||||||||||

, критическое усилие при потере устойчивости N0 , приведенная геометрическая жесткость сечения ik . Во всех рассматриваемых задачах точные решения имеются только для областей в виде правильного треугольника и прямоугольников, включая квадрат. Во всех остальных случаях задачи решаются либо приближенными способами, либо с помощью эксперимента.
Физическая и геометрическая сущность изобретения поясняется чертежами, представленными на фиг.1, фиг.2, фиг.3 и фиг.4.
На фиг.1 в обобщенном виде (для всех рассматриваемых задач) представлена указанная выше закономерность для треугольных областей. По оси ординат отложена обобщенная интегральная характеристика F (или 1/F), а по оси абсцисс – правый угол при основании треугольника
. Точка 2 на графике соответствует равностороннему треугольнику, точка 1 – прямоугольному равнобедренному треугольнику, кривая 0-1 – равнобедренным тупоугольным треугольникам, кривая 1-2-3 – равнобедренным остроугольным треугольникам, кривая 1-3 – прямоугольным треугольникам. Кривые 0-1 и 1-3 ограничивают распределение всего множества интегральных характеристик для тупоугольных треугольников, а кривые 1-3 и 1-2-3 – для остроугольных треугольников.
На фиг. 2 показаны характерные этапы изменения формы треугольников при аффинном сдвиге равнобедренного тупоугольного треугольника параллельно основанию. Изменение интегральных характеристик для подмножества треугольных областей, объединенных этим преобразованием, иллюстрируется на фиг 1 кривой а-б-в-г-д. Можно применять и другие преобразования треугольников, например комбинированные аффинные преобразования сдвига и растяжения (сжатия).
Если на концах таких кривых известны значения исследуемых интегральных параметров (например, найденные экспериментально), то для определения F для любой области из рассматриваемого подмножества можно воспользоваться способом-прототипом. Однако проводить испытания двух образцов каждый раз, когда необходимо найти значения интегральных характеристик для некоторого заданного подмножества областей, нерационально. Целесообразно провести испытания образцов только один раз для каждой из рассматриваемых задач теории упругости. При этом необходимо:
=90o, 120o и 150o) и равнобедренного остроугольного треугольника (например, с углами при вершине 
105 МПа, коэффициент Пуассона v= 0,34, цилиндрическая жесткость D= EH3/[12(1-v2)] = 53,52 Нм, плотность
=2,71 кг/дм3, масса единицы площади m=0,0542 кг/дм2).
Образец 1:
будут иметь следующие значения: 
(f0 = 198,04 Гц), была построена аппроксимирующая функция для ромбических пластинок





f=28,34 Гц,
будут иметь следующие значения: 
(f0=143,19 Гц), была построена аппроксимирующая функция для пластинок в виде равнобедренных треугольников:
и
= 60


f=40,27 Гц,