Патент на изобретение №2223416
|
||||||||||||||||||||||||||
(54) Способ определения коэффициента полезного действия (КПД) насоса
(57) Реферат: Способ определения КПД насоса относится к гидромашиностроению, авиационно-космической технике и может быть использован для экспериментального определения КПД насосов. Способ заключается в том, что с помощью исследуемого насоса прокачивают фиксированный объем рабочего тела через теплоизолированный замкнутый гидравлический контур с регулируемым дросселем и расширительным бачком. В каждом испытании измеряют перепад давления на насосе и температуру рабочего тела на входе в насос в течение фиксированного промежутка времени. При этом КПД исследуемого насоса вычисляют по расчетной формуле с учетом предварительного определения значений: гидравлического сопротивления замкнутого гидравлического контура, массы рабочего тела в объеме контура, массы материала замкнутого гидравлического контура, также в каждом испытании измеряют частоту вращения вала исследуемого насоса. Изобретение направлено на упрощение системы измерения стендов для испытания насосов, повышение точности определения КПД насосов и обеспечение возможности проведения диагностики насосов различного типа в процессе эксплуатации без демонтажа с объектов. 1 ил. Изобретение относится к гидромашиностроению, авиационно-космической технике и может быть использовано для экспериментального определения КПД насосов. Известен “Способ диагностики объемных гидромашин” (патент РФ 2027907 от 29.08.91), в котором измеряют перепад давления в линиях высокого и низкого давления гидромашины, измеряют разность температур рабочей жидкости между потоком утечек и потоком в линии низкого давления, определяют величину расхода в одном из потоков, который объединяют с потоком утечек, контролируют температуру рабочей жидкости. Для определения общего и объемного КПД гидромашины определяют величину расхода утечек, вычисляемую из условия теплового баланса потока, поступающего к гидромашине, и потока, поступающего на слив после объединения с потоком утечек. Недостатком данного способа является необходимость применения дополнительного насоса для восполнения расхода рабочей жидкости гидромашины, конструктивная сложность организации отбора расхода утечек рабочей жидкости в условиях эксплуатации гидравлических машин, низкая точность косвенного определения величины расхода избыточного расхода рабочей жидкости дополнительного насоса и величины расхода рабочей жидкости гидромашины на основе использования уравнений теплового баланса смешиваемых потоков рабочей жидкости. Наиболее близким техническим решением к заявляемому способу является “Способ диагностирования технического состояния насоса” (авт. св. СССР 1513196 от 17.10.86), в котором измеряют перепад давлений на насосе, температуру жидкости на входе в насос, производят прокачивание фиксированного объема жидкости через байпасную магистраль с регулируемым дросселем, устанавливают одинаковыми перепад давления и количество циклов прокачивания. В качестве диагностического параметра принимают прирост температуры на входе в насос после заданного числа циклов прокачивания. Основным недостатком данного способа является то, что диагностирование ведется без учета теплоотвода в окружающую среду, что снижает точность диагностирования, при этом параметр диагностирования, прирост температуры не отражают напрямую главную энергетическую предлагаемого технического решения характеристику насоса – его КПД. Задачей изобретения является повышение точности определения КПД насоса с возможностью проведения испытаний непосредственно в процессе его эксплуатации без демонтажа с объекта и упрощение системы измерения испытательных стендов. Для решения данной технической задачи в известном способе определения коэффициента полезного действия (КПД) насоса, заключающемся в том, что по замкнутому гидравлическому контуру с помощью исследуемого насоса прокачивают фиксированное количество рабочего тела, измеряют перепад давления на насосе и температуру рабочего тела на входе в насос в течение фиксированного промежутка времени, новым является то, что замкнутый гидравлический контур теплоизолируют, определяют гидравлическое сопротивление замкнутого гидравлического контура, массу рабочего тела в объеме замкнутого гидравлического контура, массу материала замкнутого гидравлического контура, также в процессе испытания измеряют частоту вращения вала насоса, а КПД исследуемого насоса определяют по формуле:
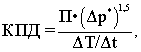
где П – техническая характеристика замкнутого гидравлического контура;
р – перепад полного давления на насосе, Па;
Т – подогрев рабочего тела, град, Т=Ткон-Тнач;
t – время проведения испытаний, с, t=tкон-tнач;
индексы – “кон” и “нач” – соответствуют измеряемым параметрам в моменты начала и окончания испытания насоса; при этом П определяют по формуле:
где F2 – площадь сечения выходного патрубка исследуемого насоса, м2;
– коэффициент гидравлического сопротивления замкнутого гидравлического контура;
рж – плотность рабочего тела, кг/м3;
Мж – масса рабочего тела в объеме замкнутого гидравлического контура, кг;
Срж – теплоемкость рабочего тела, Дж/кг град;
Мтр – масса материала замкнутого гидравлического контура, включая корпус насоса, кг;
Сртр – теплоемкость материала, из которого изготовлены элементы замкнутого гидравлического контура, Дж/кг град.
На чертеже изображена схема замкнутого гидравлического контура с исследуемым насосом, реализующего предлагаемый способ определения КПД насоса.
Замкнутый гидравлический контур 1 содержит исследуемый насос 2, входной патрубок 3, выходной патрубок 4, регулируемый дроссель 5, расширительный бачок 6. На входном патрубке 3 установлен датчик 7 температуры (Т) и штуцер 8 отбора давления рабочего тела со входа в насос 2. На выходном патрубке 4 установлен штуцер 9 для отбора давления рабочего тела с выхода насоса 2. К штуцеру 8 и штуцеру 9 подключен датчик 10 дифференциального давления для измерения перепада полного давления ( р ) на насосе 2. Замкнутый гидравлический контур 1 имеет краны 11 и 12. Кран 11 служит для заполнения замкнутого гидравлического контура 1 фиксированным объемом рабочего тела, а кран 12 – для слива рабочего тела из замкнутого рабочего контура 1. На валу насоса 2 установлен датчик 13 частоты вращения. Выходные электрические сигналы датчика 7 температуры, датчика 10 дифференциального давления и датчика 13 частоты вращения вала насоса 2 поступают на вычислительное устройство 14, управляемое задатчиком 15 времени. Замкнутый гидравлический контур 1 вместе с корпусом насоса 2, с входным 3 и выходным 4 патрубками, с корпусом регулируемого дросселя 5, с корпусом расширительного бачка 6 покрыты теплоизоляционным материалом 16.
Способ определения КПД насоса осуществляется следующим образом.
Путем автономной проливки замкнутого гидравлического контура 1 рабочим телом от штуцера 9 отбора давления с выхода из насоса 2 до штуцера 8 отбора давления со входа в насос 2 определяют коэффициент гидравлического сопротивления (*) замкнутого гидравлического контура 1. Замкнутый гидравлический контур 1 подсоединяют к исследуемому насосу 2. Путем взвешивания определяют массу (Мтр) замкнутого гидравлического контура 1, включая массу насоса 2. С помощью кранов 11 и 12 заполняют замкнутый гидравлический контур 1 и исследуемый насос 2 фиксированным объемом рабочего тела. Определяют массу рабочего тела (Мж) в объеме замкнутого гидравлического контура 1. Вычисляют техническую характеристику (П) замкнутого гидравлического контура 1 по формуле:
где ж, Срж, Сртр – табличные значения соответственно: плотности и теплоемкости рабочего тела, а также теплоемкости материала, из которого изготовлены элементы замкнутого гидравлического контура;
– коэффициент гидравлического сопротивления замкнутого гидравлического контура;
F2 – площадь сечения выходного патрубка исследуемого насоса, м2;
Мтр – масса замкнутого гидравлического контура, включая массу исследуемого насоса, кг;
Мж – масса рабочего тела в объеме замкнутого гидравлического контура, кг.
Найденные значения , Мж, Мтр и П заносят в “Паспорт” замкнутого гидравлического контура.
Определив техническую характеристику (П) замкнутого гидравлического контура, последний теплоизолируют, включая корпус насоса 2, регулируемый дроссель 5 и расширительный бачок 6, теплоизоляционным материалом 16. После проведения указанных операций включают привод исследуемого насоса 2. Момент выхода насоса 2 на стационарный режим работы фиксируется задатчиком 15 времени как начальный момент (tнaч). При этом задатчиком 15 времени подается команда на включение вычислительного устройства 14 в режим непрерывной регистрации выходных сигналов с датчика 7 температуры, датчика 10 дифференциального давления и датчика 13 частоты вращения вала насоса 2. Через заданный промежуток времени t в момент tкон ( t=tкон-tнач) по сигналу задатчика 15 времени вычислительное устройство 14 выводит на экран монитора определенное в темпе проведения испытания значение КПД исследуемого насоса 2, вычисляемое по формуле:
,
где р – осредненное за время t значение перепада полного давления на исследуемом насосе;
Т=Ткон-Тнач – подогрев рабочего тела на входе в насос за время t.
Длительность t испытания насоса задается из условия обеспечения надежного измерения подогрева рабочего тела Т и определяется точностью применяемых при исследовании насоса средств измерения.
При испытании исследуемого насоса происходит нагрев рабочего тела в объеме замкнутого гидравлического контура за счет тепловыделения в каналах насоса и в элементах замкнутого гидравлического контура. Причем темп нарастания T/ t оказывается обратно пропорционален КПД насоса, который, в свою очередь, определяется техническим состоянием насоса. Теплоизоляция замкнутого гидравлического контура совместно с корпусом насоса позволяет практически избежать теплоотвода из системы в окружающую среду и тем самым повысить точность определения КПД насоса. Расширительный бачок в системе замкнутого гидравлического контура обеспечивает нормальную работу насоса при испытании и предотвращает увеличение давления в замкнутом гидравлическом контуре за счет термического расширения рабочего тела при подогреве. Если измеренное в данном испытании значение КПД насоса окажется ниже допустимого значения при зафиксированной в ходе испытания частоте вращения вала насоса, то это свидетельствует о необходимости прекращения эксплуатации насоса.
Применение предлагаемого способа определения КПД насоса существенно упрощает системы измерения стендов для испытания насосов, повышает точность определения КПД насосов, а также дает возможность проводить диагностику насосов различного типа в процессе эксплуатации без демонтажа с объектов.
Формула изобретения Способ определения коэффициента полезного действия (кпд) насоса, заключающийся в том, что по замкнутому гидравлическому контуру с помощью исследуемого насоса прокачивают фиксированное количество рабочего тела, измеряют перепад давления на насосе и температуру рабочего тела на входе в насос в течение фиксированного промежутка времени, отличающийся тем, что замкнутый гидравлический контур теплоизолируют, определяют гидравлическое сопротивление замкнутого гидравлического контура, массу рабочего тела в объеме замкнутого гидравлического контура, массу материала замкнутого гидравлического контура, также в процессе испытания измеряют частоту вращения вала насоса, а кпд исследуемого насоса определяют по формуле
где П – техническая характеристика замкнутого гидравлического контура;
р – перепад полного давления на насосе, Па;
Т – подогрев рабочего тела, град, Т=Ткон-Тнач;
t – время проведения испытаний, сек, t=tкон-tнач;
индексы – “кон” и “нач” – соответствуют измеряемым параметрам в моменты начала и окончания испытания насоса, при этом П определяют по формуле
где F2 – площадь сечения выходного патрубка исследуемого насоса, м2;
– коэффициент гидравлического сопротивления замкнутого гидравлического контура;
ж – плотность рабочего тела, кг/м3;
Мж – масса рабочего тела в объеме замкнутого гидравлического контура, кг;
Срж – теплоемкость рабочего тела, Дж/кг град;
Мтр – масса материала замкнутого гидравлического контура, включая корпус насоса, кг;
Сртр – теплоемкость материала, из которого изготовлены элементы замкнутого гидравлического контура, Дж/кг град.
РИСУНКИ
|
||||||||||||||||||||||||||

где П – техническая характеристика замкнутого гидравлического контура;
р
– перепад полного давления на насосе, Па;
где F2 – площадь сечения выходного патрубка исследуемого насоса, м2;
– коэффициент гидравлического сопротивления замкнутого гидравлического контура;
рж – плотность рабочего тела, кг/м3;
Мж – масса рабочего тела в объеме замкнутого гидравлического контура, кг;
Срж – теплоемкость рабочего тела, Дж/кг
град;
Мтр – масса материала замкнутого гидравлического контура, включая корпус насоса, кг;
Сртр – теплоемкость материала, из которого изготовлены элементы замкнутого гидравлического контура, Дж/кг
град.
На чертеже изображена схема замкнутого гидравлического контура с исследуемым насосом, реализующего предлагаемый способ определения КПД насоса.
Замкнутый гидравлический контур 1 содержит исследуемый насос 2, входной патрубок 3, выходной патрубок 4, регулируемый дроссель 5, расширительный бачок 6. На входном патрубке 3 установлен датчик 7 температуры (Т) и штуцер 8 отбора давления рабочего тела со входа в насос 2. На выходном патрубке 4 установлен штуцер 9 для отбора давления рабочего тела с выхода насоса 2. К штуцеру 8 и штуцеру 9 подключен датчик 10 дифференциального давления для измерения перепада полного давления (
где
ж, Срж, Сртр – табличные значения соответственно: плотности и теплоемкости рабочего тела, а также теплоемкости материала, из которого изготовлены элементы замкнутого гидравлического контура;
,
где
где П – техническая характеристика замкнутого гидравлического контура;
где F2 – площадь сечения выходного патрубка исследуемого насоса, м2;
град;
Мтр – масса материала замкнутого гидравлического контура, включая корпус насоса, кг;
Сртр – теплоемкость материала, из которого изготовлены элементы замкнутого гидравлического контура, Дж/кг
град.