Патент на изобретение №2223281
|
||||||||||||||||||||||||||
(54) ОТВЕРЖДАЕМАЯ ОБЛУЧЕНИЕМ КОМПОЗИЦИЯ СМОЛЫ
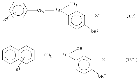
(57) Реферат: Изобретение относится к композициям, отверждаемым с помощью различных видов облучения. Композиция содержит фотополимеризуемую эпоксидную и/или эпоксиакрилатную смолу, 0,1-0,4 моля на 1 моль смолы отвердителя – ангидрида кислоты или его производного и инициатор фото- и термополимеризации – сульфониевую соль общей формулы IV, IV’ или V в количестве 0,1-0,6 м.ч. на 100 м. ч. всех компонентов, за исключением инициатора, или его смесь с инициатором, фотополимеризации – железоалленовым основанием общей формулы I, II или III. Второй вариант отверждаемой облучением композиции содержит в качестве инициатора железоалленовое основание или его смесь с сульфониевой солью. Изобретение позволяет повысить способность смол к отверждению. 2 с. и 28 з. п. ф-лы, 8 табл., 2 ил. Текст описания в факсимильном виде (см. графическую часть)г Формула изобретения 1. Отверждаемая облучением композиция, содержащая фотополимеризуемую эпоксидную и/или эпоксиакрилатную смолу, 0,1-1,4 моль на 1 моль смолы отвердителя – ангидрида кислоты или его производного, способного отвердить фотополимеризуемую смолу без воздействия облучения, и инициатор фото- и термополимеризации, способный инициировать полимеризацию под воздействием как света, так и тепла – сульфониевую соль общей формулы (IV), (IV’) или (V)
в формулах (IV) и (IV’) R6 означает водород, галоген, нитрогруппу или метильную группу;
R7 означает водород, СН3СО или СН3ОСО;
Х– означает SbF–6, PF–6, AsF–6 или BF–4;
в формуле (V) R1 означает водород, метильную группу, ацетильную группу или метоксикарбонильную группу;
R2 и R3 каждый независимо означает водород, галоген или алкильную группу от С1 до С4;
R4 означает водород, галоген или метоксигруппу;
R5 означает алкильную группу от С1 до С4;
Х– означает SbF–6, PF–6, AsF–6 или BF–4,
в количестве 0,1-0,6 мас.ч. на 100 мас.ч. всех компонентов, за исключением инициатора, или его смесь с инициатором фотополимеризации – железо-алленовым основанием общей формулы (I), (II) или (III)
где Х– означает BF–4, PF–6, AsF–6 или SbF–6;
R означает алкильную группу.
2. Композиция по п.1, отличающаяся тем, что она дополнительно содержит ускоритель, который ускоряет отверждение фотополимеризуемой смолы с отвердителем без воздействия облучения.
3. Композиция по п.1 или 2, отличающаяся тем, что в качестве фотополимеризуемой смолы она содержит эпоксидную смолу, имеющую структуру циклического эфира.
4. Композиция по п.2 или 3, отличающаяся тем, что она содержит одноатомные или многоатомные спирты в качестве ускорителя отверждения.
5. Композиция по любому из пп.2-4, отличающаяся тем, что ускоритель представляет собой соединение, не содержащее атомов азота, которое может реагировать с эпоксидной смолой.
6. Композиция по любому из пп.3-5, отличающаяся тем, что в качестве фотополимеризуемой смолы она содержит 3,4-эпоксициклогексилметил-3,4-эпоксициклогексанкарбоксилат.
7. Композиция по любому из пп.1-6, отличающаяся тем, что в качестве отвердителя она содержит малеиновый ангидрид или его производное.
8. Композиция по любому из пп.4-6, отличающаяся тем, что в качестве спирта она содержит полиэтиленгликоль.
9. Композиция по любому из пп.2-8, отличающаяся тем, что она содержит ускоритель в количестве 0,04-0,6 моль/моль отвердителя.
10. Композиция по п.1, отличающаяся тем, что она содержит сульфониевую соль общей формулы (IV), (IV’) или (V) и железо-алленовое основание общей формулы (I), (II) или (III) в качестве инициатора фотополимеризации.
11. Композиция по любому из пп.1-10, отличающаяся тем, что она применяется для получения изделий.
12. Композиция по любому из пп.1-10, отличающаяся тем, что она применяется для получения пастообразного материала.
13. Композиция по любому из пп.1-10, отличающаяся тем, что она применяется для получения композитных формовочных материалов.
14. Композиция по любому из пп.1-10, отличающаяся тем, что она применяется для получения клеев.
15. Композиция по любому из пп.1-10, отличающаяся тем, что она применяется для получения покрывных материалов.
16. Отверждаемая облучением композиция, содержащая фотополимеризуемую эпоксидную и/или эпоксиакрилатную смолу, 0,1-1,4 моль на 1 моль смолы отвердителя – ангидрида кислоты или его производного, способного отвердить фотополимеризуемую смолу без воздействия облучения, и инициатор фотополимеризации – железо-алленовое основание общей формулы (I), (II) или (III)
где Х– означает BF–4, BF–6, AsF–6 или SbF–6;
R означает алкильную группу,
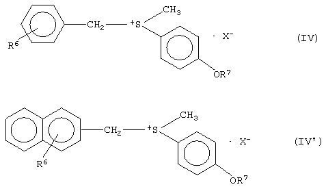
в количестве 0,1-0,6 мас.ч. на 100 мас.ч. всех компонентов, за исключением инициатора, или его смесь с инициатором фото- и термополимеризации – сульфониевой солью общей формулы (IV), (IV’) или (V)
в формулах (IV) и (IV’) R6 означает водород, галоген, нитрогруппу или метильную группу;
R7 означает водород, СН3СО или СН3ОСО;
Х– означает SbF–6, PF–6, AsF–6 или BF–4;
в формуле (V) R1 означает водород, метильную группу, ацетильную группу или метоксикарбонильную группу;
R2 и R3 каждый независимо означает водород, галоген или алкильную группу от С1 до С4;
R4 означает водород, галоген или метоксигруппу;
R5 означает алкильную группу от С1 до С4;
Х– означает SbF–6, PF–6, AsF–6 или BF–4.
17. Композиция по п.16, отличающаяся тем, что она дополнительно содержит ускоритель, который ускоряет отверждение фотополимеризуемой смолы с отвердителем без воздействия облучения.
18. Композиция по п.16 или 17, отличающаяся тем, что в качестве фотополимеризуемой смолы она содержит эпоксидную смолу, имеющую структуру циклического эфира.
19. Композиция по п.17 или 18, отличающаяся тем, что на содержит одноатомные или многоатомные спирты в качестве ускорителя отверждения.
20. Композиция по любому из пп.17-19, отличающаяся тем, что ускоритель представляет собой соединение, не содержащее атомов азота, которое может реагировать с эпоксидной смолой.
21. Композиция по любому из пп.18-20, отличающаяся тем, что в качестве фотополимеризуемой смолы она содержит 3,4-эпоксициклогексилметил-3,4-эпоксициклогексанкарбоксилат.
22. Композиция по любому из пп.16-21, отличающаяся тем, что в качестве отвердителя она содержит малеиновый ангидрид или его производное.
23. Композиция по любому из пп.19-21, отличающаяся тем, что в качестве спирта она содержит полиэтиленгликоль.
24. Композиция по любому из пп.17-23, отличающаяся тем, что она содержит ускоритель в количестве 0,04-0,6 моль/моль отвердителя.
25. Композиция по п.16, отличающаяся тем, что она содержит железо-алленовое основание общей формулы (I), (II) или (III) и сульфониевую соль общей формулы (IV), (IV’) или (V) в качестве инициатора фото- и термополимеризации.
26. Композиция по любому из пп.16-25, отличающаяся тем, что она применяется для получения изделий.
27. Композиция по любому из пп.16-25, отличающаяся тем, что на применяется для получения пастообразного материала.
28. Композиция по любому из пп.16-25, отличающаяся тем, что она применяется для получения композитных формовочных материалов.
29. Композиция по любому из пп.16-25, отличающаяся тем, что она применяется для получения клеев.
30. Композиция по любому из пп.16-25, отличающаяся тем, что она применяется для получения покрывных материалов.
РИСУНКИ
|
||||||||||||||||||||||||||

в формулах (IV) и (IV’) R6 означает водород, галоген, нитрогруппу или метильную группу;
R7 означает водород, СН3СО или СН3ОСО;
Х– означает SbF–6, PF–6, AsF–6 или BF–4;
в формуле (V) R1 означает водород, метильную группу, ацетильную группу или метоксикарбонильную группу;
R2 и R3 каждый независимо означает водород, галоген или алкильную группу от С1 до С4;
R4 означает водород, галоген или метоксигруппу;
R5 означает алкильную группу от С1 до С4;
Х– означает SbF–6, PF–6, AsF–6 или BF–4,
в количестве 0,1-0,6 мас.ч. на 100 мас.ч. всех компонентов, за исключением инициатора, или его смесь с инициатором фотополимеризации – железо-алленовым основанием общей формулы (I), (II) или (III)
где Х– означает BF–4, PF–6, AsF–6 или SbF–6;
R означает алкильную группу.
2. Композиция по п.1, отличающаяся тем, что она дополнительно содержит ускоритель, который ускоряет отверждение фотополимеризуемой смолы с отвердителем без воздействия облучения.
3. Композиция по п.1 или 2, отличающаяся тем, что в качестве фотополимеризуемой смолы она содержит эпоксидную смолу, имеющую структуру циклического эфира.
4. Композиция по п.2 или 3, отличающаяся тем, что она содержит одноатомные или многоатомные спирты в качестве ускорителя отверждения.
5. Композиция по любому из пп.2-4, отличающаяся тем, что ускоритель представляет собой соединение, не содержащее атомов азота, которое может реагировать с эпоксидной смолой.
6. Композиция по любому из пп.3-5, отличающаяся тем, что в качестве фотополимеризуемой смолы она содержит 3,4-эпоксициклогексилметил-3,4-эпоксициклогексанкарбоксилат.
7. Композиция по любому из пп.1-6, отличающаяся тем, что в качестве отвердителя она содержит малеиновый ангидрид или его производное.
8. Композиция по любому из пп.4-6, отличающаяся тем, что в качестве спирта она содержит полиэтиленгликоль.
9. Композиция по любому из пп.2-8, отличающаяся тем, что она содержит ускоритель в количестве 0,04-0,6 моль/моль отвердителя.
10. Композиция по п.1, отличающаяся тем, что она содержит сульфониевую соль общей формулы (IV), (IV’) или (V) и железо-алленовое основание общей формулы (I), (II) или (III) в качестве инициатора фотополимеризации.
11. Композиция по любому из пп.1-10, отличающаяся тем, что она применяется для получения изделий.
12. Композиция по любому из пп.1-10, отличающаяся тем, что она применяется для получения пастообразного материала.
13. Композиция по любому из пп.1-10, отличающаяся тем, что она применяется для получения композитных формовочных материалов.
14. Композиция по любому из пп.1-10, отличающаяся тем, что она применяется для получения клеев.
15. Композиция по любому из пп.1-10, отличающаяся тем, что она применяется для получения покрывных материалов.
16. Отверждаемая облучением композиция, содержащая фотополимеризуемую эпоксидную и/или эпоксиакрилатную смолу, 0,1-1,4 моль на 1 моль смолы отвердителя – ангидрида кислоты или его производного, способного отвердить фотополимеризуемую смолу без воздействия облучения, и инициатор фотополимеризации – железо-алленовое основание общей формулы (I), (II) или (III)
где Х– означает BF–4, BF–6, AsF–6 или SbF–6;
R означает алкильную группу,
в количестве 0,1-0,6 мас.ч. на 100 мас.ч. всех компонентов, за исключением инициатора, или его смесь с инициатором фото- и термополимеризации – сульфониевой солью общей формулы (IV), (IV’) или (V)
в формулах (IV) и (IV’) R6 означает водород, галоген, нитрогруппу или метильную группу;
R7 означает водород, СН3СО или СН3ОСО;
Х– означает SbF–6, PF–6, AsF–6 или BF–4;
в формуле (V) R1 означает водород, метильную группу, ацетильную группу или метоксикарбонильную группу;
R2 и R3 каждый независимо означает водород, галоген или алкильную группу от С1 до С4;
R4 означает водород, галоген или метоксигруппу;
R5 означает алкильную группу от С1 до С4;
Х– означает SbF–6, PF–6, AsF–6 или BF–4.
17. Композиция по п.16, отличающаяся тем, что она дополнительно содержит ускоритель, который ускоряет отверждение фотополимеризуемой смолы с отвердителем без воздействия облучения.
18. Композиция по п.16 или 17, отличающаяся тем, что в качестве фотополимеризуемой смолы она содержит эпоксидную смолу, имеющую структуру циклического эфира.
19. Композиция по п.17 или 18, отличающаяся тем, что на содержит одноатомные или многоатомные спирты в качестве ускорителя отверждения.
20. Композиция по любому из пп.17-19, отличающаяся тем, что ускоритель представляет собой соединение, не содержащее атомов азота, которое может реагировать с эпоксидной смолой.
21. Композиция по любому из пп.18-20, отличающаяся тем, что в качестве фотополимеризуемой смолы она содержит 3,4-эпоксициклогексилметил-3,4-эпоксициклогексанкарбоксилат.
22. Композиция по любому из пп.16-21, отличающаяся тем, что в качестве отвердителя она содержит малеиновый ангидрид или его производное.
23. Композиция по любому из пп.19-21, отличающаяся тем, что в качестве спирта она содержит полиэтиленгликоль.
24. Композиция по любому из пп.17-23, отличающаяся тем, что она содержит ускоритель в количестве 0,04-0,6 моль/моль отвердителя.
25. Композиция по п.16, отличающаяся тем, что она содержит железо-алленовое основание общей формулы (I), (II) или (III) и сульфониевую соль общей формулы (IV), (IV’) или (V) в качестве инициатора фото- и термополимеризации.
26. Композиция по любому из пп.16-25, отличающаяся тем, что она применяется для получения изделий.
27. Композиция по любому из пп.16-25, отличающаяся тем, что на применяется для получения пастообразного материала.
28. Композиция по любому из пп.16-25, отличающаяся тем, что она применяется для получения композитных формовочных материалов.
29. Композиция по любому из пп.16-25, отличающаяся тем, что она применяется для получения клеев.
30. Композиция по любому из пп.16-25, отличающаяся тем, что она применяется для получения покрывных материалов.