Патент на изобретение №2223275
|
||||||||||||||||||||||||||
(54) Способ получения [1,2,4] триазоло [3,4-в] [1,3] бензтиазол-3 (2Н)-тиона
(57) Реферат: Изобретение относится к способу получения [1,2,4]триазоло[3,4-в][1,3]бензтиазол-3(2Н)-тиона формулы
включающий сплавление [1,2,4]триазоло[3,4-в][1,3]бензтиазола с избытком серы в течение 5-20 минут при температуре 180-200 С с последующим выделением целевого продукта. Технический результат – сокращение времени осуществления процесса, увеличение выхода целевого продукта.
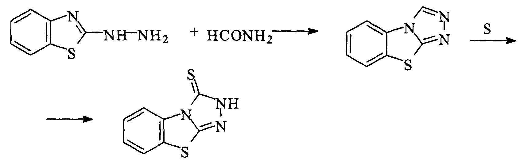
Изобретение относится к способу получения [1,2,4] триазоло [3,4-в] [1,3] бензтиазол -3 (2Н)-тиона формулы
который может найти применение в качестве синтона в синтезе препаратов для уничтожения фитопатогенных организмов.
Известно получение [1,2,4] триазоло [3,4-в] [1,3] бензтиазол-3 (2Н)-тиона длительным (60 часов) кипячением 2-гидразинобензтиазола с сероуглеродом (Пат. США 4064261, кл. А 01 N 9/12, А 01 N 9/82, опубл. 20.12.77 г.).
Недостатком известного способа является большая продолжительность процесса, необходимость работы с ядовитым и взрывоопасным сероуглеродом.
Технический результат заключается в сокращении времени осуществления процесса, увеличении выхода целевого продукта. Кроме того, следует отметить доступность исходных реактивов.
Сущность изобретения заключается в том, что [1,2,4] триазоло [3,4-в] [1,3] бензтиазол сплавляют с избытком серы в течение 5-20 минут при температуре 180-200°С с последующим выделением целевого продукта.
Проходит следующая реакция:
Пример 1. Сплавляют на металлической бане в течение 10 минут при температуре 190°С смесь 10 г [1,2,4] триазоло [3,4-в] [1,3] бензтиазола и 10 г серы. Плав охлаждают, добавляют 10%-ный раствор едкого натра, нагревают до кипения и отфильтровывают. Охлажденный фильтрат нейтрализуют 10%-ной соляной кислотой, выпавший осадок отфильтровывают и кристаллизуются из этанола. Выход 8,2 г (69%). Тпл. 240-242°С.
Найдено:% С 45,96; Н 2,53; N 20,48; C8 H5 N3 S2.
Вычислено:% С 46,38; Н 2,42; N 20,29.
Пример 2. В условиях примера 1 проводят реакцию в течение 20 минут. Выход 61%.
Пример 3. В условиях примера 1 проводят реакцию в течение 5 минут. Выход 52%.
Пример 4. В условиях примера 1 проводят реакцию при температуре 180°С. Выход 60%.
Пример 5. В условиях примера 1 проводят реакцию при температуре 200°С. Выход 45%.
Если температура будет меньше 180°С, то не идет реакция, а если она будет выше 200°С, то идет осмоление продукта.
Преимуществом предлагаемого способа является доступность исходных реактивов, их малая ядовитость и взрывоопасность, простота аппаратурного оформления, малая продолжительность процесса и высокий выход целевого продукта.
Формула изобретения Способ получения [1,2,4] триазоло [3,4-в] [1,3] бензтиазол-3 (2Н)-тиона, отличающийся тем, что [1,2,4] триазоло [3,4-в] [1,3] бензтиазол сплавляют с избытком серы в течение 5-20 мин при температуре 180-200°С с последующим выделением целевого продукта. MM4A Досрочное прекращение действия патента Российской Федерации на изобретение из-за неуплаты в установленный срок пошлины за поддержание патента в силе
Дата прекращения действия патента: 05.12.2004
Извещение опубликовано: 20.07.2006 БИ: 20/2006
|
||||||||||||||||||||||||||

включающий сплавление [1,2,4]триазоло[3,4-в][1,3]бензтиазола с избытком серы в течение 5-20 минут при температуре 180-200
С с последующим выделением целевого продукта. Технический результат – сокращение времени осуществления процесса, увеличение выхода целевого продукта.
Изобретение относится к способу получения [1,2,4] триазоло [3,4-в] [1,3] бензтиазол -3 (2Н)-тиона формулы
который может найти применение в качестве синтона в синтезе препаратов для уничтожения фитопатогенных организмов.
Известно получение [1,2,4] триазоло [3,4-в] [1,3] бензтиазол-3 (2Н)-тиона длительным (60 часов) кипячением 2-гидразинобензтиазола с сероуглеродом (Пат. США 4064261, кл. А 01 N 9/12, А 01 N 9/82, опубл. 20.12.77 г.).
Недостатком известного способа является большая продолжительность процесса, необходимость работы с ядовитым и взрывоопасным сероуглеродом.
Технический результат заключается в сокращении времени осуществления процесса, увеличении выхода целевого продукта. Кроме того, следует отметить доступность исходных реактивов.
Сущность изобретения заключается в том, что [1,2,4] триазоло [3,4-в] [1,3] бензтиазол сплавляют с избытком серы в течение 5-20 минут при температуре 180-200°С с последующим выделением целевого продукта.
Проходит следующая реакция:
Пример 1. Сплавляют на металлической бане в течение 10 минут при температуре 190°С смесь 10 г [1,2,4] триазоло [3,4-в] [1,3] бензтиазола и 10 г серы. Плав охлаждают, добавляют 10%-ный раствор едкого натра, нагревают до кипения и отфильтровывают. Охлажденный фильтрат нейтрализуют 10%-ной соляной кислотой, выпавший осадок отфильтровывают и кристаллизуются из этанола. Выход 8,2 г (69%). Тпл. 240-242°С.
Найдено:% С 45,96; Н 2,53; N 20,48; C8 H5 N3 S2.
Вычислено:% С 46,38; Н 2,42; N 20,29.
Пример 2. В условиях примера 1 проводят реакцию в течение 20 минут. Выход 61%.
Пример 3. В условиях примера 1 проводят реакцию в течение 5 минут. Выход 52%.
Пример 4. В условиях примера 1 проводят реакцию при температуре 180°С. Выход 60%.
Пример 5. В условиях примера 1 проводят реакцию при температуре 200°С. Выход 45%.
Если температура будет меньше 180°С, то не идет реакция, а если она будет выше 200°С, то идет осмоление продукта.
Преимуществом предлагаемого способа является доступность исходных реактивов, их малая ядовитость и взрывоопасность, простота аппаратурного оформления, малая продолжительность процесса и высокий выход целевого продукта.